Physical Demand Assessment of Volunteer Firefighters During Wildland Firefighting
Abstract
1. Introduction
2. Materials and Methods
2.1. Study Design and Participants
2.2. First Phase: Aerobic Capacity
2.3. Second Phase: Occupational Exposure in Firefront
2.3.1. Energy Expenditure and Metabolic Rate
2.3.2. Heart Rate Variability
2.4. Data Processing
3. Results
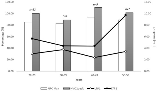
3.1. Aerobic Capacity
3.2. Occupational Exposure in Firefront
3.2.1. Energy Expenditure and Metabolic Rate
3.2.2. Heart Rate Variability Analysis
4. Discussion
5. Recommendations
- Communication Platform: Effective communication between different entities and individuals involved in the program is essential for its success. Therefore, this program proposes the development of a platform accessible to all involved entities, containing information about candidates and all active firefighters, where all safety and health-related information should be shared. This platform does not necessarily need to be developed from scratch, considering the associated costs, and it is suggested that it be integrated into existing platforms;
- Firefighter Candidate Selection Procedure: This procedure outlines the main steps for selecting and monitoring the health status of firefighters. Criteria related to physical condition and medical standards have been established to ensure the firefighter’s safety in performing various tasks. These criteria should be adjusted according to the needs of Occupational Health and Safety Services. The selection process proposed by the HSSPF is based on analysing candidates’ applications and fulfilling pre-existing requirements and criteria defined for each task. The proposed HSSPF selection process is divided into four phases: the application phase, the health assessment phase based on established criteria, the response capacity evaluation phase based on physiological parameters for each task, and the results communication phase;
- Health Monitoring Procedure for Firefighters: The monitoring process aims to assess the health status of firefighters to ensure their fitness to perform tasks. The occupational physician should prescribe appropriate medical examinations according to the tasks performed by the individual and evaluate the emergence of any symptoms or diseases. If the firefighter is deemed healthy, they are considered fit to continue their duties. If symptoms or diseases are present, their incapacity, either total or partial, should be assessed, evaluating their fitness to continue the current task or another suitable task based on the program’s criteria. The occupational physician must communicate the results to Occupational Health and Safety Services, which should monitor the process and implement improvement strategies where possible. Based on the health assessment results, Occupational Health and Safety Services are responsible for communicating with the relevant authorities and supporting the firefighter’s needs during their duties;
- Procedure for Communication, Analysis, and Evaluation of Work-related Accidents: Communicating work-related accidents and studying their severity is crucial for mitigating risks and reducing their frequency. Given the unpredictable nature of firefighting scenarios, risk elimination is challenging. Therefore, this program aims to implement accident reporting via firefighters or their direct supervisors through an internal platform. A coding system should be adopted for quick, efficient accident and injury reporting to facilitate accessible communication for reporting an accident. This program suggests using the Registration, Investigation, and Analysis of Work Accidents (RIAAT) method, which already uses European coding for work-related accidents [82], making accident reporting by fire brigade commanders, firefighters, or other personnel easier, faster, and more efficient;
- Physiological Criteria for the Selection and Monitoring of Firefighters: These criteria outline the ideal profile for firefighters to prevent disease development and ensure individual health safety. Considering the physical demands of firefighting, the program recommends comprehensive blood counts, bone marrow tests, blood coagulation tests, lipoprotein panels, blood enzyme tests, and basic metabolic panels. This battery of tests provides the physician with information on the firefighter’s or candidate’s current health status, particularly regarding blood pressure, glucose levels, blood clotting capacity, heart disease, and kidney function [83]. These evaluation parameters help prevent risk situations such as haemorrhages, early kidney disease caused by heat exposure and dehydration, and cardiovascular diseases developed due to task demands. Important physiological parameters to be evaluated during the individual’s fitness examination include sociodemographic characteristics, maximum work capacity and operational fitness, physical fitness, and psychosocial characteristics. For sociodemographic characteristics, an acceptable range for performing tasks safely should be adopted based on task demands and the individual’s sex.
- Regarding maximum work capacity and operational fitness, it is recommended to establish medical limiting parameters for task execution to aid in selecting and monitoring firefighters’ health, preventing the worsening or onset of diseases. For physical fitness, it is suggested that the firefighter’s profile follows the World Health Organization’s guidelines on biometric data. Lastly, psychosocial characteristics consider the psychological impacts of firefighting. Therefore, this program does not recommend selecting individuals with psychiatric disorders or those susceptible to developing such conditions.
6. Conclusions
Author Contributions
Funding
Institutional Review Board Statement
Informed Consent Statement
Data Availability Statement
Acknowledgments
Conflicts of Interest
References
- Koopmans, E.; Cornish, K.; Fyfe, T.M.; Bailey, K.; Pelletier, C.A. Health risks and mitigation strategies from occupational exposure to wildland fire: A scoping review. J. Occup. Med. Toxicol. 2022, 17, 2. [Google Scholar] [CrossRef] [PubMed]
- Teixeira, T.; Dias, I.; Santos, J.; Bustos, D.; Guedes, J. Firefighters Occupational Exposure Assessment: A Systematic Literature Review. In Proceedings of the 4th Symposium on Occupational Safety and Health Proceedings Book, 27–29 June 2021, Porto, Portugal; FEUP: Porto, Portugal, 2021; pp. 21–30. [Google Scholar] [CrossRef]
- The National Institute for Occupational Safety and Health (NIOSH). Wildland Firefighter Exposure and Health Effects Study. Available online: https://www.cdc.gov/niosh/topics/firefighting/wffhealthstudy.html#print (accessed on 22 November 2023).
- FPS. Volunteer Firefighters in Europe. Available online: https://www.fireproductsearch.com/volunteer-firefighters-in-europe/ (accessed on 22 November 2023).
- Pennington, M.L.; Cardenas, M.; Nesbitt, K.; Coe, E.; Kimbrel, N.A.; Zimering, R.T.; Gulliver, S.B. Career versus volunteer firefighters: Differences in perceived availability and barriers to behavioral health care. Psychol. Serv. 2022, 19, 502–507. [Google Scholar] [CrossRef] [PubMed]
- Banes, C.J. Firefighters’ cardiovascular risk behaviors. Workplace Health Safety. Work. Health Saf. 2014, 62, 27–34. [Google Scholar]
- Durand, G.; Tsismenakis, A.J.; Jahnke, S.A.; Baur, D.M.; Christophi, C.A.; Kales, S.N. Firefighters’ physical activity: Relation to fitness and cardiovascular disease risk. Med. Sci. Sports Exerc. 2011, 43, 1752–1759. [Google Scholar] [CrossRef]
- The National Institute for Occupational Safety and Health (NIOSH). Exposure Assessment: Program Description. Available online: https://www.cdc.gov/niosh/research-programs/portfolio/exposure-assess.html (accessed on 22 November 2023).
- Soteriades, E.S.; Smith, D.L.; Tsismenakis, A.J.; Baur, D.M.; Kales, S.N. Cardiovascular disease in US firefighters: A systematic review. Cardiol. Rev. 2011, 19, 202–215. [Google Scholar] [CrossRef]
- Yoo, H.L.; Franke, W.D. Prevalence of cardiovascular disease risk factors in volunteer firefighters. J. Occup. Environ. Med. 2009, 51, 958–962. [Google Scholar] [CrossRef]
- U.S. Fire Administration. Firefighter Fatalities in the United States. Available online: https://apps.usfa.fema.gov/firefighter-fatalities/ (accessed on 22 November 2023).
- Kales, S.N.; Soteriades, E.S.; Christophi, C.A.; Christiani, D.C. Emergency duties and deaths from heart disease among firefighters in the United States. N. Engl. J. Med. 2007, 356, 1207–1215. [Google Scholar] [CrossRef]
- CDC. Fire Fighter Fatality Map. Available online: https://wwwn.cdc.gov/Wisards/fffmap/ (accessed on 27 June 2024).
- Perroni, F.; Guidetti, L.; Cignitti, L.; Baldari, C. Psychophysiological Responses of Firefighters to Emergencies: A Review. Open Sports Sci. J. 2014, 7, 8–15. [Google Scholar] [CrossRef]
- Morris, C.E.; Chander, H. The Impact of Firefighter Physical Fitness on Job Performance: A Review of the Factors That Influence Fire Suppression Safety and Success. Safety 2018, 4, 60. [Google Scholar] [CrossRef]
- Xu, D.; Song, Y.; Meng, Y.; István, B.; Gu, Y. Relationship between Firefighter Physical Fitness and Special Ability Performance: Predictive Research Based on Machine Learning Algorithms. Int. J. Environ. Res. Public Health 2020, 17, 7689. [Google Scholar] [CrossRef]
- Chizewski, A.; Box, A.; Kesler, R.; Petruzzello, S.J. Fitness Fights Fires: Exploring the Relationship between Physical Fitness and Firefighter Ability. Int. J. Environ. Res. Public Health 2021, 18, 11733. [Google Scholar] [CrossRef]
- Fasching, P.; Rinnerhofer, S.; Wultsch, G.; Birnbaumer, P.; Hofmann, P. The First Lactate Threshold Is a Limit for Heavy Occupational Work. J. Funct. Morphol. Kinesiol. 2020, 5, 66. [Google Scholar] [CrossRef] [PubMed]
- Sollers, J.J.; Sanford, T.A.; Nabors-Oberg, R.; Anderson, C.A.; Thayer, J.F. Examining changes in HRV in response to varying ambient temperature. IEEE Eng. Med. Biol. Mag. 2002, 21, 30–34. [Google Scholar] [CrossRef] [PubMed]
- Berntson, G.G.; Bigger, J.T.; Eckberg, D.L.; Grossman, P.; Kaufmann, P.G.; Malik, M.; Nagaraja, H.N.; Porges, S.W.; Saul, J.P.; Stone, P.H.; et al. Heart rate variability: Origins, methods, and interpretive caveats. Psychophysiology 1997, 34, 623–648. [Google Scholar] [CrossRef] [PubMed]
- Kleiger, R.E.; Stein, P.K.; Bigger, J.T. Heart Rate Variability: Measurement and Clinical Utility. Ann. Noninvasive Electrocardiol. 2005, 10, 88–101. [Google Scholar] [CrossRef]
- Barbosa, J.V.; Alvim-Ferraz, M.C.; Martins, F.G.; Sousa, S.I. Occupational exposure of firefighters to hazardous pollutants during prescribed fires in Portugal. Chemosphere 2024, 352, 141355. [Google Scholar] [CrossRef]
- Gledhill, N.; Jamnik, V.K. Characterization of the physical demands of firefighting. Can. J. Sport Sci. 1992, 17, 207–213. [Google Scholar] [PubMed]
- Hyde, M.; Beighley, A.C. Portugal Wildfire Management in a New Era Assessing Fire Risks, Resources and Reforms. 2018. Available online: https://www.isa.ulisboa.pt/files/cef/pub/articles/2018-04/2018_Portugal_Wildfire_Management_in_a_New_Era_Engish.pdf (accessed on 10 January 2024).
- Bazuelo-Ruiz, B.; de Rosario, H.; Durá-Gil, J.V. Validation of oxygen consumption prediction equations and new formulas for interval training. Apunt. Educ. Fis. Deport. 2020, 143, 9–16. [Google Scholar] [CrossRef]
- Masuo, Y.; Tamaki, A. A step test to estimate cardiorespiratory fitness from heart rates both during and after exercise: A cross-validation study among adolescent university students. Jpn. J. Phys. Fit. Sports Med. 2022, 71, 505–514. [Google Scholar] [CrossRef]
- Sloan, R.; Visentini-Scarzanella, M.; Sawada, S.; Sui, X.; Myers, J. Estimating Cardiorespiratory Fitness Without Exercise Testing or Physical Activity Status in Healthy Adults: Regression Model Development and Validation. JMIR Public Health Surveill. 2022, 8, e34717. [Google Scholar] [CrossRef]
- Matsuo, T.; So, R.; Murai, F. Improved VO2max Estimation by Combining a Multiple Regression Model and Linear Extrapolation Method. J. Cardiovasc. Dev. Dis. 2022, 10, 9. [Google Scholar] [CrossRef]
- Buttar, K.; Saboo, N.; Kacker, S. A review: Maximal oxygen uptake (VO2 max) and its estimation methods. Int. J. Phys. Educ. Sports Health 2019, 6, 24–32. [Google Scholar]
- Sharkey, B.J.; Gaskill, S.E. Fitness & Health; Human Kinetics: Champaign, IL, USA, 2012. [Google Scholar] [CrossRef]
- Patel, H.; Alkhawam, H.; Madanieh, R.; Shah, N.; E Kosmas, C.; Vittorio, T.J. Aerobic vs anaerobic exercise training effects on the cardiovascular system. World J. Cardiol. 2017, 9, 134–138. [Google Scholar] [CrossRef]
- Cooper, K.H.; Gallman, J.S.; McDonald, J.L. Role of aerobic exercise in reduction of stress. Dent. Clin. N. Am. 1986, 30, S133–S142. [Google Scholar]
- MacIntosh, B.R.; Murias, J.M.; Keir, D.A.; Weir, J.M. What Is Moderate to Vigorous Exercise Intensity? Front. Physiol. 2021, 12, 1481. [Google Scholar] [CrossRef] [PubMed]
- Holmér, I.; Gavhed, D. Classification of metabolic and respiratory demands in fire fighting activity with extreme workloads. Appl. Ergon. 2007, 38, 45–52. [Google Scholar] [CrossRef] [PubMed]
- Youssouf, H.; Liousse, C.; Roblou, L.; Assamoi, E.-M.; Salonen, R.O.; Maesano, C.; Banerjee, S.; Annesi-Maesano, I. Non-accidental health impacts of wildfire smoke. Int. J. Environ. Res. Public Health 2014, 11, 11772–11804. [Google Scholar] [CrossRef] [PubMed]
- Sousa, A.; Figueiredo, P.; Zamparo, P.; Pyne, D.B.; Vilas-Boas, J.P.; Fernandes, R.J. Exercise Modality Effect on Bioenergetical Performance at V˙O2max Intensity. Med. Sci. Sports Exerc. 2015, 47, 1705–1713. [Google Scholar] [CrossRef]
- Cardoso, F.; Monteiro, A.S.; Vilas-Boas, J.P.; Pinho, J.C.; Pyne, D.B.; Fernandes, R.J. Effects of Wearing a 50% Lower Jaw Advancement Splint on Biophysical and Perceptual Responses at Low to Severe Running Intensities. Life 2022, 12, 253. [Google Scholar] [CrossRef]
- Cardoso, F.; Coelho, E.P.; Gay, A.; Vilas-Boas, J.P.; Pinho, J.C.; Pyne, D.B.; Fernandes, R.J. Case Study: A Jaw-Protruding Dental Splint Improves Running Physiology and Kinematics. Int. J. Sports Physiol. Perform. 2022, 17, 791–795. [Google Scholar] [CrossRef]
- Beltz, N.M.; Gibson, A.L.; Janot, J.M.; Kravitz, L.; Mermier, C.M.; Dalleck, L.C. Graded Exercise Testing Protocols for the Determination of VO2 max: Historical Perspectives, Progress, and Future Considerations. J. Sports Med. 2016, 2016, 396839. [Google Scholar] [CrossRef]
- Swartz, A.M.; Strath, S.J.; Bassett, D.R., Jr.; O’Brien, W.L.; King, G.A.; Ainsworth, B.E. Estimation of energy expenditure using CSA accelerometers at hip and wrist sites. Med. Sci. Sports Exerc. 2000, 32, S450–S456. [Google Scholar] [CrossRef] [PubMed]
- Lucena, A.; Guedes, J.; Vaz, M.; Silva, L.; Bustos, D.; Souza, E. Modeling Energy Expenditure Estimation in Occupational Context by Actigraphy: A Multi Regression Mixed-Effects Model. Int. J. Environ. Res. Public Health 2021, 18, 10419. [Google Scholar] [CrossRef] [PubMed]
- Fletcher, G.F.; Balady, G.J.; Amsterdam, E.A.; Chaitman, B.; Eckel, R.; Fleg, J.; Froelicher, V.F.; Leon, A.S.; Piña, I.L.; Rodney, R.; et al. Exercise Standards for Testing and Training. Circulation 2001, 104, 1694–1740. [Google Scholar] [CrossRef] [PubMed]
- SJärvelin-Pasanen, S.; Sinikallio, S.; Tarvainen, M.P. Heart rate variability and occupational stress—Systematic review. Ind. Health 2018, 56, 500–511. [Google Scholar] [CrossRef]
- Blair, R.C.; Taylor, R.A. SPSS 15.0 Supplement for: Biostatistics for the Health Sciences, 11th ed.; Pearson Prentice Hall: Saddle River, NJ, USA, 2008. [Google Scholar]
- Ghosh, A.K. Anaerobic threshold: Its concept and role in endurance sport. Malays. J. Med. Sci. 2004, 11, 24–36. [Google Scholar]
- Faude, O.; Kindermann, W.; Meyer, T. Lactate Threshold Concepts. Sports Med. 2009, 39, 469–490. [Google Scholar] [CrossRef] [PubMed]
- Freedson, P.S.; Melanson, E.; Sirard, J. Calibration of the Computer Science and Applications, Inc. accelerometer. Med. Sci. Sports Exerc. 1998, 30, 777–781. [Google Scholar] [CrossRef]
- Jetté, M.; Sidney, K.; Blümchen, G. Metabolic equivalents (METS) in exercise testing, exercise prescription, and evaluation of functional capacity. Clin. Cardiol. 1990, 13, 555–565. [Google Scholar] [CrossRef]
- Coyle, E.F. Physical activity as a metabolic stressor. Am. J. Clin. Nutr. 2000, 72, 512S–520S. [Google Scholar] [CrossRef]
- Thyfault, J.P.; Bergouignan, A. Exercise and metabolic health: Beyond skeletal muscle. Diabetologia 2020, 63, 1464–1474. [Google Scholar] [CrossRef]
- Malchaire, J.; Alfano, F.R.D.; Palella, B.I. Evaluation of the metabolic rate based on the recording of the heart rate. Ind. Health 2017, 55, 219–232. [Google Scholar] [CrossRef]
- Flairty, J.E.; Scheadler, C.M. Perceived and Heart Rate-based Intensities during Self-paced Walking: Magnitudes and Comparison. Int. J. Exerc. Sci. 2020, 13, 677–688. [Google Scholar] [PubMed]
- Anônimo. Heart Rate Variability (HRV) Science for Sport. Available online: https://www.scienceforsport.com/heart-rate-variability-hrv/ (accessed on 11 July 2018).
- The National Institute for Occupational Safety and Health (NIOSH). Work Practices Guide for Manual Lifting. 1981. Available online: https://www.cdc.gov/niosh/docs/81-122/pdfs/81-122.pdf (accessed on 11 January 2024).
- Nystoriak, M.A.; Bhatnagar, A. Cardiovascular Effects and Benefits of Exercise. Front. Cardiovasc. Med. 2018, 5, 135. [Google Scholar] [CrossRef] [PubMed]
- Garde, A.; Laursen, B.; Jørgensen, A.; Jensen, B. Effects of mental and physical demands on heart rate variability during computer work. Eur. J. Appl. Physiol. 2002, 87, 456–461. [Google Scholar] [CrossRef]
- Flickinger, K.; DeMaio, R.; Prescott, P.; Weissman, A.; Salcido, D.D.; Coppler, P.J.; Ratay, C.R.; Nagle, E.; Rittenberger, J.; Goss, F.; et al. Abstract 131: Perceived Exertion and Physical Demand of Performing 10-minutes of Compression-only CPR. Circulation 2022, 146 (Suppl. 1), A131. [Google Scholar] [CrossRef]
- Dong, J.-G. The role of heart rate variability in sports physiology. Exp. Ther. Med. 2016, 11, 1531–1536. [Google Scholar] [CrossRef]
- Franklin, B.A.; Thompson, P.D.; Al-Zaiti, S.S.; Albert, C.M.; Hivert, M.-F.; Levine, B.D.; Lobelo, F.; Madan, K.; Sharrief, A.Z.; Eijsvogels, T.M.; et al. Exercise-Related Acute Cardiovascular Events and Potential Deleterious Adaptations Following Long-Term Exercise Training: Placing the Risks Into Perspective–An Update: A Scientific Statement From the American Heart Association. Circulation 2020, 141, E705–E736. [Google Scholar] [CrossRef]
- Raghuveer, G.; Hartz, J.; Lubans, D.R.; Takken, T.; Wiltz, J.L.; Mietus-Snyder, M.; Perak, A.M.; Baker-Smith, C.; Pietris, N.; Edwards, N.M. Cardiorespiratory Fitness in Youth: An Important Marker of Health: A Scientific Statement From the American Heart Association. Circulation 2020, 142, E101–E118. [Google Scholar] [CrossRef] [PubMed]
- National Joint Council for Local Authority Fire and Rescue Services. Firefighter Fitness: Best Practice Guide; United Kingdom National Joint Council for Local Authority Fire and Rescue Services: London, UK, 2016. [Google Scholar]
- WHO. Physical Activity; WHO: Geneva, Switzerland, 2024. [Google Scholar]
- Hargreaves, M.; Spriet, L.L. Skeletal muscle energy metabolism during exercise. Nat. Metab. 2020, 2, 817–828. [Google Scholar] [CrossRef]
- Ferguson, R.A.; Ball, D.; Krustrup, P.; Aagaard, P.; Kjær, M.; Sargeant, A.J.; Hellsten, Y.; Bangsbo, J. Muscle oxygen uptake and energy turnover during dynamic exercise at different contraction frequencies in humans. J. Physiol. 2001, 536, 261–271. [Google Scholar] [CrossRef] [PubMed]
- Alvar, B.A.; Sell, K.; Deuster, P.A. NSCA’s Essentials of Tactical Strength and Conditioning; Human Kinetics: Champaign, IL, USA, 2022. [Google Scholar]
- McAnaney, C.; Ganti, A. In Response to Metabolic Demand of Hiking in Wildland Firefighting by Sol et al. Wilderness Environ. Med. 2019, 30, 217. [Google Scholar] [CrossRef]
- Kiesewetter, A.; Schmiemann, P. Understanding Homeostatic Regulation: The Role of Relationships and Conditions in Feedback Loop Reasoning. CBE Life Sci. Educ. 2022, 21, ar56. [Google Scholar] [CrossRef]
- Turrigiano, G. Homeostatic signaling: The positive side of negative feedback. Curr. Opin. Neurobiol. 2007, 17, 318–324. [Google Scholar] [CrossRef] [PubMed]
- Ely, B.R.; Cheuvront, S.N.; Kenefick, R.W.; Sawka, M.N. Aerobic Performance Is Degraded, Despite Modest Hyperthermia, in Hot Environments. Med. Sci. Sports Exerc. 2010, 42, 135–141. [Google Scholar] [CrossRef]
- Kaiser, B.W.; Kruse, K.K.; Gibson, B.M.; Santisteban, K.J.; Larson, E.A.; Wilkins, B.W.; Jones, A.M.; Halliwill, J.R.; Minson, C.T. The impact of elevated body core temperature on critical power as determined by a 3-min all-out test. J. Appl. Physiol. 2021, 131, 1543–1551. [Google Scholar] [CrossRef] [PubMed]
- Sawka, M.N.; Wenger, C.B.; Young, A.J.; Pandolf, K.B. Physiological Responses to Exercise in the Heat; Institute of Medicine (US) Committee on Military Nutrition Research: Washington, DC, USA, 1993. [Google Scholar]
- Rowell, L.B.; Murray, J.A.; Brengelmann, G.L.; Kraning, K.K. Human Cardiovascular Adjustments to Rapid Changes in Skin Temperature during Exercise. Circ. Res. 1969, 24, 711–724. [Google Scholar] [CrossRef] [PubMed]
- Galinier, M.; Pathak, A.; Fourcade, J.; Androdias, C.; Curnier, D.; Varnous, S.; Boveda, S.; Massabuau, P.; Fauvel, M.; Senard, J.; et al. Depressed low frequency power of heart rate variability as an independent predictor of sudden death in chronic heart failure. Eur. Hear. J. 2000, 21, 475–482. [Google Scholar] [CrossRef] [PubMed]
- Dekker, J.M.; Crow, R.S.; Folsom, A.R.; Hannan, P.J.; Liao, D.; Swenne, C.A.; Schouten, E.G. Low Heart Rate Variability in a 2-Minute Rhythm Strip Predicts Risk of Coronary Heart Disease and Mortality From Several Causes. Circulation 2000, 102, 1239–1244. [Google Scholar] [CrossRef] [PubMed]
- Michael, S.; Graham, K.S.; Davis, G.M. Cardiac Autonomic Responses during Exercise and Post-exercise Recovery Using Heart Rate Variability and Systolic Time Intervals—A Review. Front. Physiol. 2017, 8, 301. [Google Scholar] [CrossRef] [PubMed]
- Yamamoto, Y.; Hughson, R.L.; Nakamura, Y. Autonomic Nervous System Responses to Exercise in Relation to Ventilatory Threshold. Chest 1992, 101, 206S–210S. [Google Scholar] [CrossRef] [PubMed]
- RPrell, R.; Opatz, O.; Merati, G.; Gesche, B.; Gunga, H.-C.; Maggioni, M.A. Heart Rate Variability, Risk-Taking Behavior and Resilience in Firefighters During a Simulated Extinguish-Fire Task. Front. Physiol. 2020, 11, 482. [Google Scholar] [CrossRef]
- A Tiller, W.; McCraty, R.; Atkinson, M. Cardiac coherence: A new, noninvasive measure of autonomic nervous system order. Altern. Ther. Health Med. 1996, 2, 52–65. [Google Scholar] [PubMed]
- Dias, M.; Silva, L.; Folgado, D.; Nunes, M.L.; Cepeda, C.; Cheetham, M.; Gamboa, H. Cardiovascular load assessment in the workplace: A systematic review. Int. J. Ind. Ergon. 2023, 96, 103476. [Google Scholar] [CrossRef]
- Panumasvivat, J.; Sirikul, W.; Surawattanasakul, V.; Wangsan, K.; Assavanopakun, P. The Urgent Need for Cardiopulmonary Fitness Evaluation among Wildland Firefighters in Thailand. Int. J. Environ. Res. Public Health 2023, 20, 3527. [Google Scholar] [CrossRef] [PubMed]
- Kales, S.N.; Smith, D.L. Firefighting and the Heart. Circulation 2017, 135, 1296–1299. [Google Scholar] [CrossRef]
- Coker, R.H.; Murphy, C.J.; Johannsen, M.; Galvin, G.; Ruby, B.C. Wildland Firefighting. J. Occup. Environ. Med. 2019, 61, e91–e94. [Google Scholar] [CrossRef]
- Jacinto, C.; Santos, F.; Fialho, T.; Guedes Soares, C.; Silva, S. Reliability of Coding of a Set of ESAW Variables Within the Portuguese Official System for Accidents at Work. 2010. Available online: https://www.researchgate.net/publication/305222496_Reliability_of_Coding_of_a_set_of_ESAW_variables_within_the_Portuguese_official_system_for_accidents_at_work (accessed on 10 November 2024).






| Variable | Result |
|---|---|
| VO2peak | 56 ± 16 mL·kg−1·min−1 |
| HRmax | 180 ± 25 bpm |
| LT1 | 3 ± 1 mmol·L−1 |
| LT2 | 6 ± 3 mmol·L−1 |
| Correlation Matrix | ||||||
|---|---|---|---|---|---|---|
| Mean ± SD | Age | HR | LTP1 | LTP2 | VO2peak | |
| p-Value|ρ | p-Value|ρ | p-Value|ρ | p-Value|ρ | p-Value|ρ | ||
| Age (years) | 32 ± 10 | ----- | ||||
| HR (bpm) | 182 ± 24 | 0.25|−0.25 | ----- | |||
| LTP1 (mmol·L−1) | 3 ± 1 | 0.93|0.02 | 0.19|0.28 | ----- | ||
| LTP2 (mmol·L−1) | 6 ± 3 | 0.50|−0.14 | 0.24|0.26 | 0.14|0.32 | ----- | |
| VO2peak (mL·kg−1·min−1) | 55 ± 16 | 0.60|−0.12 | 0.05|0.42 * | 0.24|0.25 | 0.94|0.02 | ----- |
| Task | Task Time (Minutes) | Energy Expenditure (kcal·min−1) | |
|---|---|---|---|
| Total | Nozzle | 535.00 ± 893.00 | 4.78 ± 0.56 |
| Nozzle-Rope | 283.00 ± 244.05 | 4.03 ± 0.69 | |
| COS | 205.00 | 4.92 ± 0.58 | |
| Rope | 141.33 ± 52.32 | 4.28 ± 0.63 | |
| Women | Nozzle | 213.00 | 4.40 * |
| Nozzle/rope | 184.29 ± 95.60 | 3.97 ± 0.79 * | |
| Rope | 141.33 ± 52.32 | 4.28± 0.63 * | |
| Men | Nozzle | 581.00 ± 945.75 | 4.91 ± 0.64 |
| Nozzle/rope | 513.33 ± 318.47 | 4.12 ± 0.46 | |
| COS | 205.00 | 4.74 ± 0.57 |
| Energy Expenditure | VO2peak Equivalent to Energy Expenditure | ||||
|---|---|---|---|---|---|
| Kruskal–Wallis test | p-value | kcal·min −1 | Kruskal–Wallis test | p-value | VO2peak equivalent to energy expenditure (%) |
| 3.997 | 0.136 | 4 ± 0.81 | 7.036 | 0.030 * | 31 ± 6 |
| SDNN (ms) | RMSSD (ms) | pNN 50 (%) | H.R. (bpm) | |||||
|---|---|---|---|---|---|---|---|---|
| Task | M ± SD | p-value = 0.17 | M ± SD | p-value = 0.004 | M ± SD | p-value < 0.001 | M ± SD | p-value <0.001 |
| Rest | 108 ± 51 | 38 ± 24 | 15 ± 13 | 89 ± 31 | ||||
| Nozzle | 87 ± 36 | 26 ± 11 | 6.7 ± 5.5 | 104 ± 12 | ||||
| Nozzle/rope | 83 ± 18 | 20 ± 12 | 3.6 ± 3.5 | 107 ± 13.06 | ||||
| Rope | 102 ± 28 | 26 ± 9.2 | 4.1 ± 2.5 | 100 ± 7.2 | ||||
| COS | 77 ± 3.9 | 19 ± 4.1 | 3.5 ± 1.6 | 108 ± 13.8 | ||||
Disclaimer/Publisher’s Note: The statements, opinions and data contained in all publications are solely those of the individual author(s) and contributor(s) and not of MDPI and/or the editor(s). MDPI and/or the editor(s) disclaim responsibility for any injury to people or property resulting from any ideas, methods, instructions or products referred to in the content. |
© 2024 by the authors. Licensee MDPI, Basel, Switzerland. This article is an open access article distributed under the terms and conditions of the Creative Commons Attribution (CC BY) license (https://creativecommons.org/licenses/by/4.0/).
Share and Cite
Teixeira, T.; Pratas, P.; Santos, J.; Monteiro, P.R.; Baptista, J.S.; Vaz, M.A.P.; Guedes, J.C. Physical Demand Assessment of Volunteer Firefighters During Wildland Firefighting. Fire 2024, 7, 439. https://doi.org/10.3390/fire7120439
Teixeira T, Pratas P, Santos J, Monteiro PR, Baptista JS, Vaz MAP, Guedes JC. Physical Demand Assessment of Volunteer Firefighters During Wildland Firefighting. Fire. 2024; 7(12):439. https://doi.org/10.3390/fire7120439
Chicago/Turabian StyleTeixeira, Tatiana, Pedro Pratas, Joana Santos, Pedro R. Monteiro, João Santos Baptista, Mário A. P. Vaz, and Joana C. Guedes. 2024. "Physical Demand Assessment of Volunteer Firefighters During Wildland Firefighting" Fire 7, no. 12: 439. https://doi.org/10.3390/fire7120439
APA StyleTeixeira, T., Pratas, P., Santos, J., Monteiro, P. R., Baptista, J. S., Vaz, M. A. P., & Guedes, J. C. (2024). Physical Demand Assessment of Volunteer Firefighters During Wildland Firefighting. Fire, 7(12), 439. https://doi.org/10.3390/fire7120439

