Effects of Waste Glass Bottle Nanoparticles and High Volume of Waste Ceramic Tiles on Concrete Performance When Exposed to Elevated Temperatures: Experimental and Theoretical Evaluations
Abstract
1. Introduction
2. Experimental Approaches
2.1. Characterizations Constituent Raw Materials of Concrete
2.2. Fabrication of Mix Designs
2.3. Tests Procedure

| No. | Temperature, °C | Specimens’ Details | Time, Minutes | |||
|---|---|---|---|---|---|---|
| Size, mm | Number | Heating | Furnace Drop Temperature | Cooling in the Lab Condition | ||
| 1 | 27 (control specimens) | 100 × 100 × 100 | 3 | 0 | 0 | 0 |
| 2 | 200 | 100 × 100 × 100 | 3 | 15 | 10 | 60 |
| 3 | 400 | 100 × 100 × 100 | 3 | 45 | 30 | 150 |
| 4 | 600 | 100 × 100 × 100 | 3 | 95 | 60 | 240 |
| 5 | 800 | 100 × 100 × 100 | 3 | 195 | 120 | 360 |
2.4. Theoretical Approach
3. Results and Discussion
3.1. Fresh Concrete’ Slump Values
3.2. Compressive Strength Development
3.3. Loss on Weight
3.4. Residual Compressive Strength
3.5. Ultrasonic Pulse Velocity
3.6. Visual Appearance and Impact of Temperature Rise on Cracks
3.7. Impact of Temperature Rise on Discoloration
3.8. Scanning Electron Microscopy (FESEM)
3.9. Energy Dispersive X-Ray Analysis (EDX)
3.10. Thermogravimetric and Differential Thermal Analyser (TGA)
3.11. FTIR Spectral Analyses of Specimens
4. Modeling and Analysis
4.1. Predictive Equations
4.2. Relationship Between Dependent and Independent Variables
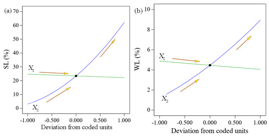
4.3. Variables Interaction Analysis
4.4. Equations Verification
5. Conclusions
- From the obtained results, it is found the workability and compressive strength are significantly influenced by WTCPs and WGBNPs content. The slump value of fresh concrete mixtures tend to decrease with the increasing content of WTCPs and WGBNPs in the OPC matrix. However, the results showed that the added 4% of WGBNPs to the WTCPs-OPC matrix enhances the compressive strength performance among other ratios (2, 6, 8, and 10%).
- Replacement of 60% of OPC by WTCPs significantly improved the durability performance of the proposed concrete by decreasing the loss of compressive strength after exposure to the varying elevated temperatures (200, 400, 600, and 800 °C). It is well known that increasing the aluminosilicate content in the cement matrix increases its thermal stability.
- Varying the content of WGBNPs in the cement matrix considerably increased its resistance to heating by increasing the residual compressive strength and reducing the weight loss percentage.
- The UPV test results indicate that the inclusion of WTCPs and WGBNPs in the cement matrix controlled the internal cracks and pores number and enhanced the performance of the matrix under the heating.
- The microstructures analyses using XRD, FTIR, FESEM, EDX, and TGA measurements demonstrated the good thermal stability of the modified concrete made from high-percentage WTCPs (60%) and WGBNPs when subjected to temperatures up to 800 °C.
- A practical benefit of examining the surface discoloration in fire-modified concrete that contains a high volume of WTCPs and WGBNPs lies in its use for the preliminary assessment of fire-related damage. This allows for a better understanding of the fire’s intensity.
- It is asserted that reusing industrial materials like ceramic tiles and glass bottles can result in the production of highly durable concrete. This approach offers economic benefits, enhances sustainability, and promotes environmental friendliness.
Author Contributions
Funding
Institutional Review Board Statement
Informed Consent Statement
Data Availability Statement
Acknowledgments
Conflicts of Interest
References
- Ji, Z.; Zhang, G.; Liu, R.; Qu, J.; Liu, H. Potential applications of solid waste-based geopolymer materials: In wastewater treatment and greenhouse gas emission reduction. J. Clean. Prod. 2024, 443, 141144. [Google Scholar] [CrossRef]
- Rodriguez-Morales, J.; Burciaga-Diaz, O.; Gomez-Zamorano, L.Y.; Escalante-Garcia, J.I. Transforming construction and demolition waste concrete as a precursor in sustainable cementitious materials: An innovative recycling approach. Resour. Conserv. Recycl. 2024, 204, 107474. [Google Scholar] [CrossRef]
- Kubba, Z.; Samadi, M.; Huseien, G.F. Effects of recycled wastes ceramic as aggregates replacement on flexural behaviour of reinforced concrete beams. AIP Conf. Proc. 2023, 2806, 040038. [Google Scholar]
- Kim, J.E.; Seo, J.; Yang, K.-H.; Kim, H.-K. Cost and CO2 emission of concrete incorporating pretreated coal bottom ash as fine aggregate: A case study. Constr. Build. Mater. 2023, 408, 133706. [Google Scholar] [CrossRef]
- Chaudhury, R.; Sharma, U.; Thapliyal, P.; Singh, L. Low-CO2 emission strategies to achieve net zero target in cement sector. J. Clean. Prod. 2023, 417, 137466. [Google Scholar]
- Huseien, G.F.; Tang, W.; Yu, Y.; Wong, L.S.; Mirza, J.; Dong, K.; Gu, X. Evaluation of high-volume fly-ash cementitious binders incorporating nanosilica as eco-friendly sustainable concrete repair materials. Constr. Build. Mater. 2024, 447, 138022. [Google Scholar] [CrossRef]
- Younas, H.; Yu, J.; Leung, C.K. Mechanical and environmental performance of high-strength strain-hardening cementitious composites with high-dosage ternary supplementary cementitious materials: Fly ash, limestone, and calcined clay. Constr. Build. Mater. 2024, 444, 137856. [Google Scholar] [CrossRef]
- Nazeer, M.; Kapoor, K.; Singh, S. Strength, durability and microstructural investigations on pervious concrete made with fly ash and silica fume as supplementary cementitious materials. J. Build. Eng. 2023, 69, 106275. [Google Scholar] [CrossRef]
- Yaseen, N. Exploring the potential of sugarcane bagasse ash as a sustainable supplementary cementitious material: Experimental investigation and statistical analysis. Results Chem. 2024, 10, 101723. [Google Scholar] [CrossRef]
- Mhaya, A.M.; Huseien, G.F.; Faridmehr, I.; Abidin, A.R.Z.; Alyousef, R.; Ismail, M. Evaluating mechanical properties and impact resistance of modified concrete containing ground Blast Furnace slag and discarded rubber tire crumbs. Constr. Build. Mater. 2021, 295, 123603. [Google Scholar] [CrossRef]
- Chen, H.; Yang, J. A new supplementary cementitious material: Walnut shell ash. Constr. Build. Mater. 2023, 408, 133852. [Google Scholar] [CrossRef]
- Amin, M.N.; Khan, K.; Arab, A.M.A.; Farooq, F.; Eldin, S.M.; Javed, M.F. Prediction of sustainable concrete utilizing rice husk ash (RHA) as supplementary cementitious material (SCM): Optimization and hyper-tuning. J. Mater. Res. Technol. 2023, 25, 1495–1536. [Google Scholar] [CrossRef]
- Shi, C.; Qian, X.; Yin, J.; Gautam, B.; Hu, C. Synergistic performance enhancement of cementitious materials by co-incorporation of waste brick powder and limestone powder. Constr. Build. Mater. 2024, 436, 136893. [Google Scholar] [CrossRef]
- Borinaga-Treviño, R.; Cuadrado, J.; Canales, J.; Rojí, E. Lime mud waste from the paper industry as a partial replacement of cement in mortars used on radiant floor heating systems. J. Build. Eng. 2021, 41, 102408. [Google Scholar] [CrossRef]
- Nunes, G.M.; Anjos, M.A.; Lins, A.B.S.; Negreiros, A.M.S.; Pessoa, L.R. Evaluation of the mechanical behaviour of representative volumetric elements of 3DCP masonry mixtures with partial replacement of cement by limestone filler and metakaolin. J. Build. Eng. 2023, 78, 107650. [Google Scholar] [CrossRef]
- Mhaya, A.M.; Baharom, S.; Baghban, M.H.; Nehdi, M.L.; Faridmehr, I.; Huseien, G.F.; Algaifi, H.A.; Ismail, M. Systematic experimental assessment of POFA concrete incorporating waste tire rubber aggregate. Polymers 2022, 14, 2294. [Google Scholar] [CrossRef] [PubMed]
- Al Shouny, A.; Issa, U.H.; Miky, Y.; Sharaky, I.A. Evaluating and selecting the best sustainable concrete mixes based on recycled waste materials. Case Stud. Constr. Mater. 2023, 19, e02382. [Google Scholar] [CrossRef]
- Huseien, G.F.; Mirza, J.; Ismail, M.; Ghoshal, S.; Hussein, A.A. Geopolymer mortars as sustainable repair material: A comprehensive review. Renew. Sustain. Energy Rev. 2017, 80, 54–74. [Google Scholar] [CrossRef]
- Abera, Y.S.A. Performance of concrete materials containing recycled aggregate from construction and demolition waste. Results Mater. 2022, 14, 100278. [Google Scholar] [CrossRef]
- Bheel, N.; Chohan, I.M.; Ghoto, A.A.; Abbasi, S.A.; Tag-eldin, E.M.; Almujibah, H.R.; Ahmad, M.; Benjeddou, O.; Gonzalez-Lezcano, R.A. Synergistic effect of recycling waste coconut shell ash, metakaolin, and calcined clay as supplementary cementitious material on hardened properties and embodied carbon of high strength concrete. Case Stud. Constr. Mater. 2024, 20, e02980. [Google Scholar] [CrossRef]
- Samadi, M.; Huseien, G.F.; Mohammadhosseini, H.; Lee, H.S.; Lim, N.H.A.S.; Tahir, M.M.; Alyousef, R. Waste ceramic as low cost and eco-friendly materials in the production of sustainable mortars. J. Clean. Prod. 2020, 266, 121825. [Google Scholar] [CrossRef]
- Huseien, G.F.; Sam, A.R.M.; Shah, K.W.; Asaad, M.A.; Tahir, M.M.; Mirza, J. Properties of ceramic tile waste based alkali-activated mortars incorporating GBFS and fly ash. Constr. Build. Mater. 2019, 214, 355–368. [Google Scholar] [CrossRef]
- Sabbrojjaman, M.; Liu, Y.; Tafsirojjaman, T. A comparative review on the utilisation of recycled waste glass, ceramic and rubber as fine aggregate on high performance concrete: Mechanical and durability properties. Dev. Built Environ. 2024, 17, 100371. [Google Scholar] [CrossRef]
- Naenudon, S.; Wongsa, A.; Ekprasert, J.; Sata, V.; Chindaprasirt, P. Enhancing the properties of fly ash-based geopolymer concrete using recycled aggregate from waste ceramic electrical insulator. J. Build. Eng. 2023, 68, 106132. [Google Scholar] [CrossRef]
- Chen, X.; Zhang, D.; Cheng, S.; Xu, X.; Zhao, C.; Wang, X.; Wu, Q.; Bai, X. Sustainable reuse of ceramic waste powder as a supplementary cementitious material in recycled aggregate concrete: Mechanical properties, durability and microstructure assessment. J. Build. Eng. 2022, 52, 104418. [Google Scholar] [CrossRef]
- Zegardło, B. Heat-resistant concretes containing waste carbon fibers from the sailing industry and recycled ceramic aggregates. Case Stud. Constr. Mater. 2022, 16, e01084. [Google Scholar] [CrossRef]
- Robayo-Salazar, R.; Valencia-Saavedra, W.; De Gutiérrez, R.M. Recycling of concrete, ceramic, and masonry waste via alkaline activation: Obtaining and characterization of hybrid cements. J. Build. Eng. 2022, 46, 103698. [Google Scholar] [CrossRef]
- Nepomuceno, M.C.; Isidoro, R.A.; Catarino, J.P. Mechanical performance evaluation of concrete made with recycled ceramic coarse aggregates from industrial brick waste. Constr. Build. Mater. 2018, 165, 284–294. [Google Scholar] [CrossRef]
- Rashid, K.; Razzaq, A.; Ahmad, M.; Rashid, T.; Tariq, S. Experimental and analytical selection of sustainable recycled concrete with ceramic waste aggregate. Constr. Build. Mater. 2017, 154, 829–840. [Google Scholar] [CrossRef]
- Huseien, G.F.; Sam, A.R.M.; Shah, K.W.; Mirza, J. Effects of ceramic tile powder waste on properties of self-compacted alkali-activated concrete. Constr. Build. Mater. 2020, 236, 117574. [Google Scholar] [CrossRef]
- Jiang, X.; Xiao, R.; Zhang, M.; Hu, W.; Bai, Y.; Huang, B. A laboratory investigation of steel to fly ash-based geopolymer paste bonding behavior after exposure to elevated temperatures. Constr. Build. Mater. 2020, 254, 119267. [Google Scholar] [CrossRef]
- Samadi, M.; Hussin, M.W.; Lee, H.S.; Sam, A.R.M.; Ismail, M.A.; Lim, N.H.A.S.; Ariffin, N.F.; Khalid, N.H.A. Properties of mortar containing ceramic powder waste as cement replacement. J. Teknol. 2015, 77, 93–97. [Google Scholar] [CrossRef]
- Zhou, W.; Yan, C.; Duan, P.; Liu, Y.; Zhang, Z.; Qiu, X.; Li, D. A comparative study of high-and low-Al2O3 fly ash based-geopolymers: The role of mix proportion factors and curing temperature. Mater. Des. 2016, 95, 63–74. [Google Scholar] [CrossRef]
- Yusuf, M.O. Performance of slag blended alkaline activated palm oil fuel ash mortar in sulfate environments. Constr. Build. Mater. 2015, 98, 417–424. [Google Scholar] [CrossRef]
- Huseien, G.F.; Mirza, J.; Ismail, M.; Hussin, M.W.; Arrifin, M.; Hussein, A. The Effect of Sodium Hydroxide Molarity and Other Parameters on Water Absorption of Geopolymer Mortars. Indian J. Sci. Technol. 2016, 9, 1–7. [Google Scholar] [CrossRef]
- Huseien, G.F.; Ismail, M.; Tahir, M.M.; Mirza, J.; Khalid, N.H.A.; Asaad, M.A.; Husein, A.A.; Sarbini, N.N. Synergism between palm oil fuel ash and slag: Production of environmental-friendly alkali activated mortars with enhanced properties. Constr. Build. Mater. 2018, 170, 235–244. [Google Scholar] [CrossRef]
- Zhang, B.; Zhu, H.; Cheng, Y.; Huseien, G.F.; Shah, K.W. Shrinkage mechanisms and shrinkage-mitigating strategies of alkali-activated slag composites: A critical review. Constr. Build. Mater. 2022, 318, 125993. [Google Scholar] [CrossRef]
- Huseien, G.F.; Sam, A.R.M.; Mirza, J.; Tahir, M.M.; Asaad, M.A.; Ismail, M.; Shah, K.W. Waste ceramic powder incorporated alkali activated mortars exposed to elevated Temperatures: Performance evaluation. Constr. Build. Mater. 2018, 187, 307–317. [Google Scholar] [CrossRef]
- Huseien, G.F.; Mirza, J.; Ismail, M.; Hussin, M.W. Influence of different curing temperatures and alkali activators on properties of GBFS geopolymer mortars containing fly ash and palm-oil fuel ash. Constr. Build. Mater. 2016, 125, 1229–1240. [Google Scholar] [CrossRef]
- Hossain, M.; Karim, M.; Hossain, M.; Islam, M.; Zain, M.F.M. Durability of mortar and concrete containing alkali-activated binder with pozzolans: A review. Constr. Build. Mater. 2015, 93, 95–109. [Google Scholar] [CrossRef]
- Hussein, A.A.; Jaya, R.P.; Hassan, N.A.; Yaacob, H.; Huseien, G.F.; Ibrahim, M.H.W. Performance of nanoceramic powder on the chemical and physical properties of bitumen. Constr. Build. Mater. 2017, 156, 496–505. [Google Scholar] [CrossRef]
- Huseien, G.F.; Mirzaa, J.; Ismaila, M.; Hussina, M.W.; Ariffina, M.A.M. Potential use coconut milk as alternative to alkali solution for geopolymer production. J. Teknol. 2016, 78, 133–139. [Google Scholar] [CrossRef][Green Version]
- Harada, T.; Takeda, J.; Yamane, S.; Furumura, F. Strength, elasticity and thermal properties of concrete subjected to elevated temperatures. Spec. Publ. 1972, 34, 377–406. [Google Scholar]
- Morley, P.; Royles, R. Response of the bond in reinforced concrete to high temperatures. Mag. Concr. Res. 1983, 35, 67–74. [Google Scholar] [CrossRef]
- Kodur, V. Properties of concrete at elevated temperatures. ISRN Civ. Eng. 2014, 2014, 468510. [Google Scholar] [CrossRef]
- Novak, J.; Kohoutkova, A. Mechanical properties of concrete composites subject to elevated temperature. Fire Saf. J. 2018, 95, 66–76. [Google Scholar] [CrossRef]
- Buchanan, A.H.; Abu, A.K. Structural Design for Fire Safety; John Wiley & Sons: Hoboken, NJ, USA, 2017. [Google Scholar]
- Awal, A.A.; Shehu, I. Performance evaluation of concrete containing high volume palm oil fuel ash exposed to elevated temperature. Constr. Build. Mater. 2015, 76, 214–220. [Google Scholar] [CrossRef]
- Saavedra, W.G.V.; de Gutiérrez, R.M. Performance of geopolymer concrete composed of fly ash after exposure to elevated temperatures. Constr. Build. Mater. 2017, 154, 229–235. [Google Scholar] [CrossRef]
- M. Mhaya, A.; Baghban, M.H.; Faridmehr, I.; Huseien, G.F.; Abidin, A.R.Z.; Ismail, M. Performance evaluation of modified rubberized concrete exposed to aggressive environments. Materials 2021, 14, 1900. [Google Scholar] [CrossRef]
- Ismail, M.; Ismail, M.E.; Muhammad, B. Influence of elevated temperatures on physical and compressive strength properties of concrete containing palm oil fuel ash. Constr. Build. Mater. 2011, 25, 2358–2364. [Google Scholar] [CrossRef]
- Omer, S.A.; Demirboga, R.; Khushefati, W.H. Relationship between compressive strength and UPV of GGBFS based geopolymer mortars exposed to elevated temperatures. Constr. Build. Mater. 2015, 94, 189–195. [Google Scholar] [CrossRef]
- Ranjbar, N.; Mehrali, M.; Alengaram, U.J.; Metselaar, H.S.C.; Jumaat, M.Z. Compressive strength and microstructural analysis of fly ash/palm oil fuel ash based geopolymer mortar under elevated temperatures. Constr. Build. Mater. 2014, 65, 114–121. [Google Scholar] [CrossRef]
- Muhedin, D.A.; Ibrahim, R.K. Effect of waste glass powder as partial replacement of cement & sand in concrete. Case Stud. Constr. Mater. 2023, 19, e02512. [Google Scholar]
- Nodehi, M.; Ren, J.; Shi, X.; Debbarma, S.; Ozbakkaloglu, T. Experimental evaluation of alkali-activated and portland cement-based mortars prepared using waste glass powder in replacement of fly ash. Constr. Build. Mater. 2023, 394, 132124. [Google Scholar] [CrossRef]
- Subhani, M.; Ali, S.; Allan, R.; Grace, A.; Rahman, M. Physical and mechanical properties of self-compacting geopolymer concrete with waste glass as partial replacement of fine aggregate. Constr. Build. Mater. 2024, 437, 136956. [Google Scholar] [CrossRef]
- Paul, D.; Bindhu, K.; Matos, A.M.; Delgado, J. Eco-friendly concrete with waste glass powder: A sustainable and circular solution. Constr. Build. Mater. 2022, 355, 129217. [Google Scholar] [CrossRef]
- Shi, C.; Zheng, K. A review on the use of waste glasses in the production of cement and concrete. Resour. Conserv. Recycl. 2007, 52, 234–247. [Google Scholar] [CrossRef]
- Franco-Luján, V.; Ramírez-Arellanes, S.; Gomez-Sanchez, A.; Pérez-Ramos, A.; Cruz-García, E.; Cruz-Martínez, H. Properties of fresh and hardened cement-based materials with waste glass as supplementary cementitious material: A review. J. Build. Eng. 2024, 95, 110137. [Google Scholar] [CrossRef]
- Dai, T.; Fang, C.; Liu, T.; Zheng, S.; Lei, G.; Jiang, G. Waste glass powder as a high temperature stabilizer in blended oil well cement pastes: Hydration, microstructure and mechanical properties. Constr. Build. Mater. 2024, 439, 137359. [Google Scholar] [CrossRef]
- Xi, X.; Zheng, Y.; Zhuo, J.; Zhang, P.; Golewski, G.L.; Du, C. Influence of water glass modulus and alkali content on the properties of alkali-activated thermally activated recycled cement. Constr. Build. Mater. 2024, 452, 138867. [Google Scholar] [CrossRef]
- Geng, C.; Wu, X.; Yao, X.; Wang, C.; Mei, Z.; Jiang, T. Reusing waste glass powder to improve the strength stability of cement at HTHP. J. Pet. Sci. Eng. 2022, 213, 110394. [Google Scholar] [CrossRef]
- Kim, J.; Yi, C.; Zi, G. Waste glass sludge as a partial cement replacement in mortar. Constr. Build. Mater. 2015, 75, 242–246. [Google Scholar] [CrossRef]
- Khan, M.N.N.; Saha, A.K.; Sarker, P.K. Reuse of waste glass as a supplementary binder and aggregate for sustainable cement-based construction materials: A review. J. Build. Eng. 2020, 28, 101052. [Google Scholar] [CrossRef]
- Khmiri, A.; Samet, B.; Chaabouni, M. Assessment of the waste glass powder pozzolanic activity by different methods. Int. J. Res. Rev. Appl. Sci. 2012, 10, 322–328. [Google Scholar]
- Madandoust, R.; Ghavidel, R. Mechanical properties of concrete containing waste glass powder and rice husk ash. Biosyst. Eng. 2013, 116, 113–119. [Google Scholar] [CrossRef]
- Aliabdo, A.A.; Abd Elmoaty, M.; Aboshama, A.Y. Utilization of waste glass powder in the production of cement and concrete. Constr. Build. Mater. 2016, 124, 866–877. [Google Scholar] [CrossRef]
- Kazmi, D.; Williams, D.J.; Serati, M. Waste glass in civil engineering applications—A review. Int. J. Appl. Ceram. Technol. 2020, 17, 529–554. [Google Scholar] [CrossRef]
- Silvestre, J.; Silvestre, N.; De Brito, J. Review on concrete nanotechnology. Eur. J. Environ. Civ. Eng. 2016, 20, 455–485. [Google Scholar] [CrossRef]
- Luo, Z.; Li, W.; Tam, V.W.; Xiao, J.; Shah, S.P. Current progress on nanotechnology application in recycled aggregate concrete. J. Sustain. Cem. Based Mater. 2019, 8, 79–96. [Google Scholar] [CrossRef]
- Hanus, M.J.; Harris, A.T. Nanotechnology innovations for the construction industry. Prog. Mater. Sci. 2013, 58, 1056–1102. [Google Scholar] [CrossRef]
- Hamzah, H.K.; Huseien, G.F.; Asaad, M.A.; Georgescu, D.P.; Ghoshal, S.; Alrshoudi, F. Effect of waste glass bottles-derived nanopowder as slag replacement on mortars with alkali activation: Durability characteristics. Case Stud. Constr. Mater. 2021, 15, e00775. [Google Scholar] [CrossRef]
- Huseien, G.F.; Faridmehr, I.; Nehdi, M.L.; Abadel, A.A.; Aiken, T.A.; Ghoshal, S. Structure, morphology and compressive strength of Alkali-activated mortars containing waste bottle glass nanoparticles. Constr. Build. Mater. 2022, 342, 128005. [Google Scholar] [CrossRef]
- Samadi, M.; Huseien, G.F.; Lim, N.H.A.S.; Mohammadhosseini, H.; Alyousef, R.; Mirza, J.; Abd Rahman, A.B. Enhanced performance of nano-palm oil ash-based green mortar against sulphate environment. J. Build. Eng. 2020, 32, 101640. [Google Scholar] [CrossRef]
- Onaizi, A.M.; Huseien, G.F.; Shukor Lim, N.H.A.; Tang, W.; Alhassan, M.; Samadi, M. Effective microorganisms and glass nanopowders from waste bottle inclusion on early strength and microstructure properties of high-volume fly-ash-based concrete. Biomimetics 2022, 7, 190. [Google Scholar] [CrossRef]
- ASTM C33; Standard Specification for Concrete Aggregates. American Society for Testing and Materials: Philadelphia, PA, USA, 2003.
- ASTM C150; Standard Specification for Portland Cement. American Society for Testing and Materials: West Conshohocken, PA, USA, 2001.
- ASTM C618-22; Standard Specification for Coal Fly Ash and Raw or Calcined Natural Pozzolan for Use in Concrete. ASTM International: West Conshohocken, PA, USA, 2012; pp. 1–4.
- ASTM C136-06; Standard Test Method for Sieve Analysis of Fine and Coarse Aggregates. ASTM International: West Conshohocken, PA, USA, 2006.
- Canadian Sociological Association. Relative Density, and Absorption of Coarse Aggregate: Concrete Materials and Methods of Concrete Construction—Methods of Tests for Concrete; CSA: Mississauga, ON, USA, 2019; Volume 23, p. 2-12A. [Google Scholar]
- ASTM C128-22; Standard Test Method for Relative Density (Specific Gravity) and Absorption of Fine Aggregate. ASTM International: West Conshohocken, PA, USA, 2015; Volume 1, pp. 2–7.
- ASTM C579-96; Standard Test Methods for Compressive Strength of Chemical-Resistant Mortars. Grouts, Monolithic Surfacings, and Polymer Concretes. ASTM International: West Conshohocken, PA, USA, 2001.
- ASTM C143; Standard Test Method for Slump of Hydraulic-Cement Concrete. ASTM International: West Conshohocken, PA, USA, 2015.
- BS8110; Structural Use of Concrete. British Standard: London, UK, 1986.
- ASTM E119; Standard Test Methods for Fire Tests of Building Construction and Materials. ASTM: Philadelphia, PA, USA, 2012.
- ASTM C109/C109-20; Standard Test Method for Compressive Strength of Hydraulic Cement Mortars (Using 2-in. or [50-mm] Cube Specimens). ASTM International: West Conshohocken, PA, USA, 2009.
- ASTM C109/C109M-20; Standard Test Method for Pulse Velocity Through Concrete. ASTM International: West Conshohocken, PA, USA, 2013.
- ISO/TR 834-3:1994; Fire-Resistance Tests: Elements of Building Construction. Commentary on Test Method and Test Data Application. International Organization for Standardization: Geneva, Switzerland, 1994.
- Algaifi, H.A.; Khan, M.I.; Shahidan, S.; Fares, G.; Abbas, Y.M.; Huseien, G.F.; Salami, B.A.; Alabduljabbar, H. Strength and acid resistance of ceramic-based self-compacting alkali-activated concrete: Optimizing and predicting assessment. Materials 2021, 14, 6208. [Google Scholar] [CrossRef]
- Ray, S.; Haque, M.; Ahmed, T.; Nahin, T.T. Comparison of artificial neural network (ANN) and response surface methodology (RSM) in predicting the compressive and splitting tensile strength of concrete prepared with glass waste and tin (Sn) can fiber. J. King Saud Univ. Eng. Sci. 2023, 35, 185–199. [Google Scholar] [CrossRef]
- Liu, K.; Zhang, L.; Wang, W.; Zhang, G.; Xu, L.; Fan, D.; Yu, R. Development of compressive strength prediction platform for concrete materials based on machine learning techniques. J. Build. Eng. 2023, 80, 107977. [Google Scholar] [CrossRef]
- Huseien, G.F.; Hamzah, H.K.; Sam, A.R.; Khalid, N.H.; Shah, K.W.; Deogrescu, D.P.; Mirza, J. Alkali-activated mortars blended with glass bottle waste nano powder: Environmental benefit and sustainability. J. Clean. Prod. 2020, 243, 118636. [Google Scholar] [CrossRef]
- Huseien, G.F. A Review on Concrete Composites Modified with Nanoparticles. J. Compos. Sci. 2023, 7, 67. [Google Scholar] [CrossRef]
- Onaizi, A.M.; Lim, N.H.A.S.; Huseien, G.F.; Amran, M.; Ma, C.K. Effect of the addition of nano glass powder on the compressive strength of high volume fly ash modified concrete. Mater. Today Proc. 2022, 48, 1789–1795. [Google Scholar] [CrossRef]
- Samadi, M.; Shah, K.W.; Huseien, G.F.; Lim, N.H.A.S. Influence of glass silica waste nano powder on the mechanical and microstructure properties of alkali-activated mortars. Nanomaterials 2020, 10, 324. [Google Scholar] [CrossRef] [PubMed]
- Yoo, D.-Y.; Oh, T.; Banthia, N. Nanomaterials in ultra-high-performance concrete (UHPC)–A review. Cem. Concr. Compos. 2022, 134, 104730. [Google Scholar] [CrossRef]
- Huseien, G.F.; Shah, K.W.; Sam, A.R.M. Sustainability of nanomaterials based self-healing concrete: An all-inclusive insight. J. Build. Eng. 2019, 23, 155–171. [Google Scholar] [CrossRef]
- Shao, Q.; Zheng, K.; Zhou, X.; Zhou, J.; Zeng, X. Enhancement of nano-alumina on long-term strength of Portland cement and the relation to its influences on compositional and microstructural aspects. Cem. Concr. Compos. 2019, 98, 39–48. [Google Scholar] [CrossRef]
- Li, W.; Li, X.; Chen, S.J.; Long, G.; Liu, Y.M.; Duan, W.H. Effects of nanoalumina and graphene oxide on early-age hydration and mechanical properties of cement paste. J. Mater. Civ. Eng. 2017, 29, 04017087. [Google Scholar] [CrossRef]
- Zhou, W.; Mo, J.; Xiang, S.; Zeng, L. Impact of elevated temperatures on the mechanical properties and microstructure of waste rubber powder modified polypropylene fiber reinforced concrete. Constr. Build. Mater. 2023, 392, 131982. [Google Scholar] [CrossRef]
- Mhaya, A.M.; Huseien, G.F.; Abidin, A.R.Z.; Ismail, M. Long-term mechanical and durable properties of waste tires rubber crumbs replaced GBFS modified concretes. Constr. Build. Mater. 2020, 256, 119505. [Google Scholar] [CrossRef]
- Zhang, P.; Sun, Y.; Wu, J.; Hong, J.; Gao, Z. Mechanical properties and microstructure of nano-modified geopolymer concrete containing hybrid fibers after exposure to elevated temperature. Constr. Build. Mater. 2023, 409, 134044. [Google Scholar] [CrossRef]
- Kantarci, F.; Türkmen, İ.; Ekinci, E. Improving elevated temperature performance of geopolymer concrete utilizing nano-silica, micro-silica and styrene-butadiene latex. Constr. Build. Mater. 2021, 286, 122980. [Google Scholar] [CrossRef]
- Tahwia, A.M.; Abd Ellatief, M.; Bassioni, G.; Heniegal, A.M.; Abd Elrahman, M. Influence of high temperature exposure on compressive strength and microstructure of ultra-high performance geopolymer concrete with waste glass and ceramic. J. Mater. Res. Technol. 2023, 23, 5681–5697. [Google Scholar] [CrossRef]
- Wong, L.S. Durability performance of geopolymer concrete: A review. Polymers 2022, 14, 868. [Google Scholar] [CrossRef] [PubMed]
- Huseien, G.F.; Tahir, M.M.; Mirza, J.; Ismail, M.; Shah, K.W.; Asaad, M.A. Effects of POFA replaced with FA on durability properties of GBFS included alkali activated mortars. Constr. Build. Mater. 2018, 175, 174–186. [Google Scholar] [CrossRef]
- Yu, M.; Wang, T.; Chi, Y.; Li, D.; Li, L.-Y.; Shi, F. Residual mechanical properties of GGBS-FA-SF blended geopolymer concrete after exposed to elevated temperatures. Constr. Build. Mater. 2024, 411, 134378. [Google Scholar] [CrossRef]
- Çelikten, S.; Atabey, İ.İ.; Bayer Öztürk, Z. Cleaner environment approach by the utilization of ceramic sanitaryware waste in Portland cement mortar at ambient and elevated temperatures. Iran. J. Sci. Technol. Trans. Civ. Eng. 2022, 46, 4291–4301. [Google Scholar] [CrossRef]
- Praneedpolkrang, P.; Chaiwasee, N.; Koedmontree, P.; Suthiwong, A.; Kaur, H.; Jaturapitakkul, C.; Tangchirapat, W. Effects of elevated temperature on mechanical properties and microstructures of alkali-activated mortar made from low calcium fly ash-calcium carbide residue mixture. Case Stud. Constr. Mater. 2024, 21, e03520. [Google Scholar] [CrossRef]
- Lima, V.M.; Basto, P.A.; Henrique, M.A.; Almeida, Y.M.; de Melo Neto, A.A. Optimizing the concentration of Na2O in alkaline activators to improve mechanical properties and reduce costs and CO2 emissions in alkali-activated mixtures. Constr. Build. Mater. 2022, 344, 128185. [Google Scholar] [CrossRef]
- Mhaya, A.M.; Algaifi, H.A.; Shahidan, S.; Zuki, S.S.M.; Azmi, M.A.M.; Ibrahim, M.H.W.; Huseien, G.F. Systematic Evaluation of Permeability of Concrete Incorporating Coconut Shell as Replacement of Fine Aggregate. Materials 2022, 15, 7944. [Google Scholar] [CrossRef]
- Sujjaviriyasup, T.; Pitiruek, K. A hybridization of MODWT-SVR-DE model emphasizing on noise reduction and optimal parameter selection for prediction of CO2 emission in Thailand. Cogent Eng. 2024, 11, 2317540. [Google Scholar] [CrossRef]
- Algaifi, H.A.; Syamsir, A.; Baharom, S.; Alrshoudi, F.; Qaid, A.; Al-Fakih, A.M.; Mhaya, A.M.; Salah, H.A. Assessment of acoustic and mechanical properties in modified rubberized concrete. Case Stud. Constr. Mater. 2024, 20, e03063. [Google Scholar] [CrossRef]
- Algaifi, H.A.; Syamsir, A.; Baharom, S.; Sallah, H.A.; Anggraini, V.; Al-Fakih, A.M. Mathematical and Experimental Insights into Acid-Resistant Enhancements: Graphene Plates’ Influence on Rubber-Incorporated Cementitious Materials. J. Build. Eng. 2024, 95, 110054. [Google Scholar] [CrossRef]
- Salah, H.A.; Mutalib, A.A.; Kaish, A.; Syamsir, A.; Algaifi, H.A. Development of Ultra-High-Performance Silica Fume-Based Mortar Incorporating Graphene Nanoplatelets for 3-Dimensional Concrete Printing Application. Buildings 2023, 13, 1949. [Google Scholar] [CrossRef]






















| Composition and LOI | OPC | WTCPs | WGBNPs |
|---|---|---|---|
| SiO2 | 17.60 | 71.7 | 69.14 |
| Al2O3 | 4.53 | 13.89 | 13.86 |
| Na2O | 0.13 | 13.21 | 8.57 |
| Fe2O3 | 3.35 | 0.36 | 0.24 |
| CaO | 67.84 | 0.02 | 3.16 |
| MgO | 2.18 | 0.64 | 0.68 |
| K2O | 0.27 | 0.03 | 0.01 |
| SO3 | 2.10 | 0.01 | 4.10 |
| Others | 0.27 | 0.01 | 0.08 |
| LOI | 1.73 | 0.13 | 0.16 |
| Phase | Mix Codes | Mixtures | Binder, kg/m3 | Waste Ceramic, kg/m3 | W/B | SP, % | |||
|---|---|---|---|---|---|---|---|---|---|
| OPC | WTCPs | WGBNPs | Fine | Coarse | |||||
| Control sample | OPC | 100% OPC | 420 | 0 | 0 | 816 | 894 | 0.48 | 1.5 |
| High-volume WTCPs | 60WCP | 60% WTCPs | 168 | 252 | 0 | ||||
| Effect of WGBNPs (2, 4, 6, 8, and 10%) | 2NPs | 2% WGBNPs | 168 | 252 | 8.4 | ||||
| 4NPs | 4% WGBNPs | 16.8 | |||||||
| 6NPs | 6% WGBNPs | 25.2 | |||||||
| 8NPs | 8% WGBNPs | 33.6 | |||||||
| 10NPs | 10% WGBNPs | 42 | |||||||
| No. | Real Values | Codded Value | Groups | ||
|---|---|---|---|---|---|
| WGBNPs, % | Temperatures, °C | X1 | X2 | ||
| 1 | 6 | 500 | 0 | 0 | Central values |
| 2 | 10 | 500 | 1 | 0 | Axial values |
| 3 | 6 | 200 | 0 | −1 | Axial values |
| 4 | 6 | 800 | 0 | 1 | Axial values |
| 5 | 6 | 500 | 0 | 0 | Axial values |
| 6 | 10 | 800 | 1 | 1 | Factorial values |
| 7 | 2 | 200 | −1 | −1 | Factorial values |
| 8 | 2 | 800 | −1 | 1 | Factorial values |
| 9 | 10 | 200 | 1 | −1 | Factorial values |
| Tests | OPC 100% | WTCPs 60% | WGBNPs | ||||
|---|---|---|---|---|---|---|---|
| 2% | 4% | 6% | 8% | 10% | |||
| Slump, mm | 190 | 154 | 149 | 143 | 138 | 132 | 126 |
| Compressive strength, MPa | 43.9 | 26.3 | 28.3 | 36.9 | 35.3 | 31.1 | 26.9 |
| Tests | Temperature, °C | OPC 100% | WTCPs 60% | WGBNPs | |
|---|---|---|---|---|---|
| 4% | 6% | ||||
| Weight loss, % | 0 | 0 | 0 | 0 | 0 |
| 200 | 1.7 | 1.4 | 1.2 | 1.1 | |
| 400 | 5.1 | 3.9 | 3.2 | 2.9 | |
| 600 | 8.8 | 6.3 | 6.1 | 5.8 | |
| 800 | 12.2 | 9.6 | 9.1 | 8.9 | |
| Residual strength (RCS), MPa | 0 | 43.9 | 26.4 | 36.9 | 35.3 |
| 200 | 42.01 | 25.4 | 35.7 | 34.2 | |
| 400 | 29.9 | 22.6 | 32.5 | 31.7 | |
| 600 | 16.1 | 15.9 | 23.9 | 23.1 | |
| 800 | 10.49 | 9.34 | 13.68 | 13.27 | |
| UPV readings, m/s | 0 | 4480 | 3692 | 4410 | 4376 |
| 200 | 4436 | 3680 | 4396 | 4352 | |
| 400 | 4152 | 3446 | 4236 | 4210 | |
| 600 | 3520 | 3084 | 3766 | 3790 | |
| 800 | 2236 | 2410 | 2488 | 2604 | |
| Response | Developed Equations with Their Validations | |
|---|---|---|
| Strength loss (%) | ||
| Weight loss (%) | ||
| UPV (m/s) | ||
| Dependent Variables | Term | Mean Square | Sum of Squares | p-Value | F-Value | Note |
|---|---|---|---|---|---|---|
| SL | Model | 1810.39 | 5431.2 | <0.0001 | 2233.2 | significant |
| 9.63 | 9.63 | 0.0183 | 11.88 | |||
| 5251.1 | 5251.1 | <0.0001 | 6477.4 | |||
| 170.51 | 170.51 | <0.0001 | 210.3 | |||
| WL | Model | 22.92 | 91.69 | <0.0001 | 1784.5 | significant |
| 1.01 | 1.01 | 0.0009 | 78.84 | |||
| 89.78 | 89.78 | <0.0001 | 6989.9 | |||
| 0.116 | 0.116 | 0.0399 | 9 | |||
| 0.773 | 0.773 | 0.0015 | 60.18 | |||
| UPV | Model | 9.25 × 105 | 3.69 × 106 | 0.0023 | 34.53 | significant |
| 2773.5 | 2773.5 | 0.7637 | 0.1036 | |||
| 3.09 × 106 | 3.09 × 106 | 0.0004 | 115.44 | |||
| 2.42 × 105 | 2.42 × 105 | 0.0396 | 9.05 | |||
| 3.61 × 105 | 3.61 × 105 | 0.0213 | 13.50 |
| Output | Input | Experimental | Predicted | Error Percentage (%) | |
|---|---|---|---|---|---|
| WGBNPs, (%) | T, (°C) | ||||
| SL (%) | 4 | 400 | 13.99 | 14.78 | 5.6 |
| WL (%) | 4 | 400 | 3.354 | 3.482 | 3.8 |
| UPV (m/s) | 4 | 400 | 4050 | 3985 | 1.61 |
Disclaimer/Publisher’s Note: The statements, opinions and data contained in all publications are solely those of the individual author(s) and contributor(s) and not of MDPI and/or the editor(s). MDPI and/or the editor(s) disclaim responsibility for any injury to people or property resulting from any ideas, methods, instructions or products referred to in the content. |
© 2024 by the authors. Licensee MDPI, Basel, Switzerland. This article is an open access article distributed under the terms and conditions of the Creative Commons Attribution (CC BY) license (https://creativecommons.org/licenses/by/4.0/).
Share and Cite
Joudah, Z.H.; Hafizah A. Khalid, N.; Algaifi, H.A.; Mhaya, A.M.; Xiong, T.; Alsultani, R.; Huseien, G.F. Effects of Waste Glass Bottle Nanoparticles and High Volume of Waste Ceramic Tiles on Concrete Performance When Exposed to Elevated Temperatures: Experimental and Theoretical Evaluations. Fire 2024, 7, 426. https://doi.org/10.3390/fire7120426
Joudah ZH, Hafizah A. Khalid N, Algaifi HA, Mhaya AM, Xiong T, Alsultani R, Huseien GF. Effects of Waste Glass Bottle Nanoparticles and High Volume of Waste Ceramic Tiles on Concrete Performance When Exposed to Elevated Temperatures: Experimental and Theoretical Evaluations. Fire. 2024; 7(12):426. https://doi.org/10.3390/fire7120426
Chicago/Turabian StyleJoudah, Zahraa Hussein, Nur Hafizah A. Khalid, Hassan Amer Algaifi, Akram M. Mhaya, Teng Xiong, Riyadh Alsultani, and Ghasan Fahim Huseien. 2024. "Effects of Waste Glass Bottle Nanoparticles and High Volume of Waste Ceramic Tiles on Concrete Performance When Exposed to Elevated Temperatures: Experimental and Theoretical Evaluations" Fire 7, no. 12: 426. https://doi.org/10.3390/fire7120426
APA StyleJoudah, Z. H., Hafizah A. Khalid, N., Algaifi, H. A., Mhaya, A. M., Xiong, T., Alsultani, R., & Huseien, G. F. (2024). Effects of Waste Glass Bottle Nanoparticles and High Volume of Waste Ceramic Tiles on Concrete Performance When Exposed to Elevated Temperatures: Experimental and Theoretical Evaluations. Fire, 7(12), 426. https://doi.org/10.3390/fire7120426

