Abstract
Volatile oils in forest fuel can significantly affect forest fire behavior, especially extreme fire behavior, e.g., deflagration, fire storms, blowups, eruptive fires and crown fires. However, how these oils influence fire behavior remains unclear, as few qualitative studies have been performed globally. In the present study, we compared the volatile oil contents and components in live branches and surface dead fuel of Pinus yunnanensis Franch, which is widely distributed in Southwest China, to explore their potential effects on extreme fire behavior. Fifteen samples of live branches and fifteen samples of surface dead fuel were collected. Volatile oils were extracted from the samples using steam distillation, and their components were identified and analyzed using gas chromatography–mass spectrometry (GC-MS). The results show that the volatile oil content in live branches was as high as 8.28 mL·kg−1 (dry weight) and was significantly higher than that in surface dead fuel (3.55 mL·kg−1). The volatile oil content in the P. yunnanensis forest was 126.12 kg per hectare. The main volatile oil components were terpenoids, of which monoterpenes accounted for the highest proportion based on their content (62.63%), followed by sesquiterpenes (22.44%). The terpenoid compounds in live branches were more abundant than those in surface dead fuel. Monoterpenes and sesquiterpenes in volatile oils in forest fuel have low boiling points, high calorific values and a lower explosion limit (LEL; 38.4 g·m−3), which are important characteristics in the manifestation of extreme fire behavior such as deflagration. The analysis results indicate that when heated, the oily gases from P. yunnanensis forest could fill 3284.26 m3 per hectare, with a gas concentration reaching the LEL. We conclude that volatile oil in P. yunnanensis has an important influence on the manifestation of extreme fire behavior, and live branches have a greater effect than surface dead fuel.
1. Introduction
Deflagration, firestorms, blowups, eruptive fires, crown fires and other types of extreme fire behavior in forests are characterized by high burning intensity, fast spread and a high smoke concentration, and they manifest suddenly and accidentally [1,2]. Extreme fire behavior poses a significant threat to the safety of front-line firefighters. In a deflagration in Daofu County, Ganzi Tibetan Autonomous Prefecture of Sichuan Province, in December 2010 and a sudden deflagration in March 2019 in Muli County, Liangshan Prefecture of Sichuan Province, during firefighting operations, 22 and 31 firefighters were killed, respectively. This event raised concerns about the safety of firefighters locally and abroad. Such extreme fire behavior may manifest based on the combustion of gases from volatile oil [3,4]. Viegas and Simeoni [5] posited that the accumulation of flammable gas from volatile oil is one of the possible causes of detonation fires. However, because of the uncertain influence of volatile oil on forest fire behavior (including deflagration and other extreme phenomena), it is not currently used as an input parameter when generating forest fire models. Currently, the most commonly used fire modeling system, Behave Plus, based on the Rothermel equation [6], does not explicitly consider the role of volatile oil in predicting fire dynamics and spread speed of surface fire, thus weakening the ability of this modeling system to simulate and provide warnings of extreme fire behavior.
Previously, researchers have reported that the burning behavior of live fuel is consistent with that of dead fuel [7] and that the moisture content of live fuel has an influence on the rate of fire spread [8]. The Rothermel model, for example, simulates the spread of wildfires [9]; it includes the effect of the moisture of fuel but does not distinguish between live and dead fuel. However, experimental results show that fuel moisture is not the only factor affecting the flammability of live fuel [10,11,12,13]. Many researchers believe that terpenoids are components of flammability that are as important as fuel moisture [14,15,16]. Terpenoids are products of secondary metabolism in plants and the main components of volatile oils, which mainly exist in the living tissues of plants. When heated, certain terpenoids, e.g., monoterpenes and sesquiterpenes, turn into highly flammable and dangerous organic gases [17]. However, studies linking terpenoid content with flammability are few compared with those on the effects of leaf moisture and other leaf features on fuel flammability. Few studies have explored the flammability of terpenoids in both live and dead fuel [18]. In addition, researchers have mainly considered the total amount of terpenes, such as De Lillis et al. [19], without differentiating among the known subgroups, or have focused on their most abundant components, i.e., monoterpenes [15,16,20] and sesquiterpenes [18,21,22]. Studies have shown that different concentrations of monoterpenes, sesquiterpenes and diterpenes have varying degrees of influence on the flammability of needles and litter [22,23]. The effects of sesquiterpenoid content in leaves mainly affects the burning time, which emphasizes the potential of terpene-containing species to influence fire behavior, as studied by Romero et al. [24].
Thus, although the literature on volatile oils in forest fuel includes few studies on the terpenoid content in fresh and dead plant leaves and the effects of different terpenoid subgroups (e.g., monoterpenoids and sesquiterpenoids) on fuel flammability, such studies could be critical for managing or preventing extreme fire behavior, because the terpenoid content of plants increases with predictions of climate warming [25]. Against the background of the current climate warming, many regions of the world have shown a trend of temperature increase and extreme weather events such as drought periods and heat waves, and droughts lead to significant increases in the root and needle terpenoid contents in conifers [26]. Pinus yunnanensis Franch. is a common conifer species in Southwest China, where deflagration and other types of extreme fire behavior frequently manifest. It is widely distributed, has a high oil content and high fuel loading and is one of the main tree species that causes major wildfire events [27,28,29]. In the present study, we selected live branches and surface dead fuel of P. yunnanensis to compare the volatile oil contents and components in live and dead fuel, with the following objectives: (1) to obtain the volatile oil contents in live branches and surface dead fuel of P. yunnanensis, analyze their composition and percentage, examine the total terpene contents and the percentages of their subgroups (such as monoterpenes, sesquiterpenes and other terpenes) and discuss their effects on fuel flammability; (2) to analyze the potential effect of these volatile oils on extreme fire behavior. The experimental results could provide a deeper understanding of the effects of volatile oils (specifically terpenoids) on the flammability of fuel and offer scientific data that could be used to further optimize spread simulation and early warning technology, which are used to combat deflagration and other types of extreme fire behavior.
2. Materials and Methods
2.1. Study Region
The study area was in Lengshuigou Village, Shigu Town, Yulong County, Lijiang City, Yunnan Province(Figure 1). The rainy season mainly occurs from July to September, with an average annual precipitation of 749.6 mm and an annual average temperature of 14.6 °C. The hottest month is July, with an average monthly temperature of 21 °C, and the coldest month is January, with an average monthly temperature of 6.7 °C. The vegetation in Yunnan Province is divided into six types. Among them, coniferous forests account for 15.44% of all vegetation, and P. yunnanensis forests (red in Figure 1) account for more than half (51.34%) of all coniferous forests. The terrain of Yunnan Province is high in the northwest and low in the southeast. As shown in Figure 1 and Figure S1, P. yunnanensis forests are mainly distributed in the middle- and high-altitude areas in the central and eastern parts of Yunnan Province.
Figure 1.
Distribution map showing vegetation types in Yunnan Province.
2.2. Forest Stand and Surface Fuel Characteristics of P. yunnanensis Forest
The altitude of the P. yunnanensis forest sample plot is 1963 m on the northeast slope (at an angle of <30°) (Table 1). The canopy density is 0.60, and the main tree species are P. yunnanensis and Alnus sp., in a composition ratio of 9:1 (average tree heights of 22.10 m and 7.50 m, respectively, and average DBHs of 14.49 and 5.60 cm, respectively). The density of P. yunnanensis is 650 plants per hectare. The main shrubs in this forest are Pistacia weinmanniifolia J. Poisson ex Franchet, Rhododendron simsii Planch. and oak saplings. The average height of these shrubs is 148.71 cm; the crown width is 73.30 cm; and the coverage is 15%. The herbaceous stratum is dominated by Stipa lessingiana Trin. et Rupr. and Imperata latifolia (Hook. f.) L. Liou, with a coverage of up to 100% and a height of 30–40 cm.
Table 1.
Characteristics of the P. yunnanensis forest plots.
2.3. Sample Collection
The high-risk period for fires in Yunnan Province is from March to April every year. Samples were collected in this period, specifically on 6 April 2021. A typical P. yunnanensis forest in Lengshuigou Village (Lijiang City, Yunnan Province) was selected as the sample collection area. Three 20 × 20 m plots were designated in the sampling area to investigate the forest stand and surface dead fuel. The longitude, latitude, altitude, slope, aspect and other topographic factors of the plots, as well as the stand characteristics, were determined, as shown in Table 1. Five quadrats (1 × 1 m) were set up at the four corners and the central point of each plot. All surface dead fuel in each quadrat was collected and weighted. Fifteen samples (no less than 1 kg) of surface dead fuel were collected from each quadrat.
In this paper, the standard branch method was used to investigate the fuel loading of live branches (branches with a base diameter of <1 cm and the needles growing on them) in the canopy [30]. Three P. yunnanensis trees representing the average growth level were selected for standard branch sampling. Five standard branches were sampled from each tree, for a total of fifteen samples. Every standard branch should represent most branches of the sampled tree. Each standard branch was weighted. Live branches of no less than 1 kg were collected as samples from each standard branch and promptly placed in separate sampling bags, which were sealed and then placed in a medical cooler with an ice pack for the subsequent measuring of volatile oil contents.
2.4. Fuel Moisture and Fuel Loading
First, samples of approximately 500 g fresh weight of live branches and surface dead fuel were collected. These samples were then placed in an oven at 80 °C until a constant (dry) weight was obtained. The ratio of dry-to-fresh weight of fuel samples was calculated according to Equation (1) below.
where H is the ratio of dry-to-fresh weight of fuel samples in %, W1 is the weight of fresh samples in kg and W2 is the weight of dry samples in kg.
The loading of surface dead fuel was calculated using Equation (2).
where Ldead is the loading of surface dead fuel in t·ha−1, Wdead is the weight of surface dead fuel in a quadrat in kg and H is the ratio of dry-to-fresh weight of fuel samples in %.
The loading of live branch was calculated using Equation (3):
where Llive is the loading of live branches in t·ha−1, WStandard Branch is the weight of the standard branch in kg, N is the number of live branches of the sampling tree, H is the ratio of dry-to-fresh weight of fuel samples in % and N0 is the number of P. yunnanensis plants per hectare.
2.5. Isolation of Volatile Oils and Analysis
The volatile oils in the live branches and surface dead fuel under study were identified by means of hydrodistillation using a Clevenger apparatus. Live branch and dead needle samples were cut into pieces of approximately 1 cm long, and 200–300 g (accurate to 0.01 g) of these was then added to 600 mL of distilled water. The flask containing the mixture was connected to the receiver tube and the condensate reflux pipe, and the electric heating sleeve was heated until the mixture reached the boiling point. The mixture was kept at a low boil for 6 h until the oil content in the tester no longer increased. The electric sleeve was then switched off, and the piston at the lower end of the tester was opened. The condenser of the Clevenger apparatus ensured the condensation of volatile oil and separated it from the aqueous phase. At the end of the distillation process, the liquid was divided into two phases, the hydrolate phase and the organic phase (volatile oil), which was less dense than water. The water was removed until the oil layer was 5 mm deep on a scale of 0. The amount of volatile oil was measured after the oil layer was left to stand for more than 3 h. The volatile oil contents in the samples were calculated according to Equation (4) [31].
where R is the volatile oil content of the sample in mL·kg−1, V is the amount of volatile oil collected from the samples in mL, W3 is the weight of the samples used for volatile oil collection in kg and H is the ratio of dry-to-fresh weight of fuel samples in %.
The volatile oil was stored at 20 °C in the dark. A sample of volatile oil (10 µL) was dissolved in ethyl acetate and dehydrated overnight using anhydrous sodium sulfate for GC-MS analysis.
The model of the instrument used for gas chromatography–mass spectrometry was GC-MS2010 (Shimadzu, Kyoto, Japan). The chromatographic column was DB-5HT (30 m × 0.25 mm; Agilent, Santa Clara, CA, USA). The inlet temperature was set at 250 °C and the GC procedure was as follows: the initial temperature was set at 70 °C, maintained for 1 min, increased to 150 °C at 2 °C/min, maintained for 5 min, heated to 200 °C at 5 °C/min and maintained for 5 min. The parameters for the mass spectrometer were as follows: the solvent shear time was 2 min; the interface temperature was set at 230 °C; the ion source temperature was set at 250 °C; the power supply was an electron impact ion source (EI), which is an ion source that uses an energetic electron beam to ionize gaseous sample molecules or atoms; in GC-MS, EI is the most common ion source. The scanning range was m/z 50–550. GC-MS real-time analysis software (Version 4.11, Shimadzu, Kyoto, Japan) was used to extract high-quality spectra and collect data from the samples. The NIST spectral library was searched using the GC-MS postrun analysis software (Shimadzu, Kyoto, Japan) to identify the main components in the chromatographic peaks obtained by means of integration. The height of the base peak (the strongest peak) in the mass spectrum is 100%, and the peak intensity of the other peaks expressed in proportion to the base peak is the relative abundance.
2.6. Lower Explosion Limit (LEL) Determination
The percentage by volume values of LEL (%LEL) and the concentration of LEL (LELi) were calculated using Equations (5) and (6), respectively, according to the method of Dalmazzone et al. [32].
where i represents the molecule in question for the calculation of the LEL, %LELi is the v/v in air in %, (ΔH°C(i))298 is the standard enthalpy of combustion, MM(i) is the molecular mass (MM(a-pinene) =136 g·mol−1), M is the air mass (m = 28.84 g·mol−1) and C1 is the chemical thermodynamic and energy hazard evaluation first parameter (C1= −0.345).
where LELi is the concentration equal to %LELi in g·m−3 and Vm is the molar volume of the gas at 298 K (25 °C) and 100 kPa (1 bar) (Vm = 24.8 L·mol−1, and %LELi and MM(i) are the same as in Equation (5)).
The potential space filled with flammable gas reaching the LEL was calculated using Equation (7).
where Vspace is the volatile oil in the potential space filled with flammable gas reaching the LEL in the P. yunnanensis forest per hectare in m3, Wloading is the fuel loading of live branches or surface dead fuel in t·ha−1, Cvolatileoil is the volatile oil content of live branches or surface dead fuel in mL·kg−1 and Mvolatileoil is the volume mass density of α-pinene at 298 K (25 °C) and 100 kPa (1 bar) (i.e., 0.86 g·mL−1).
2.7. Statistical Analysis
SPSS 24.0 statistical software (SPSS, Chicago, IL, USA) was used to perform analysis of variance (ANOVA) on the experimental data. Two-way ANOVA was used to test the difference in volatile oil contents and fuel loading of live branches and surface dead fuel among the three plots. The significance level was set at α = 0.05. Moreover, Origin Pro 8.5 software was used for plotting.
3. Results
3.1. Fuel Loading
The fuel loading of live branches from the three P. yunnanensis forest plots was different, with a minimum value of 13.99 t·ha−1, a maximum value of 17.37 t·ha−1, and an average of 15.55 t·ha−1 (Table 2). The fuel loading of surface dead fuel on each P. yunnanensis forest plot ranged from 4.34 to 5.51 t·ha−1, with an average of 5.04 t·ha−1. The loading of live branches was about three times that of surface dead fuel. As can be seen in Table 3, there were no significant differences in fuel loading between the plot factor and the interaction between the plot factor and the fuel type (p > 0.05), but the fuel type had a significant effect on fuel loading. The loading of live branches was significantly higher than that of surface dead fuel (p < 0.05).
Table 2.
Fuel loading and volatile oil contents in live branches and surface dead fuel of P. yunnanensis in three plots.
Table 3.
Two-way ANOVA of fuel loading of live branches and surface dead fuel of P. yunnanensis.
3.2. Volatile Oil Contents in P. yunnanensis Live Branches and Surface Dead Fuel
The mean values of volatile oil contents in live branches and surface dead fuel were 8.28 mL·kg−1 and 3.55 mL·kg−1, respectively (Table 2). According to the two-way ANOVA results (Table 4), neither the plot factor nor the interaction had significant effects on the volatile oil contents in P. yunnanensis (p > 0.05), but the fuel type factor had a significant effect on volatile oil contents (p < 0.05).
Table 4.
Two-way ANOVA of volatile oil contents in live branches and surface dead fuel of P. yunnanensis.
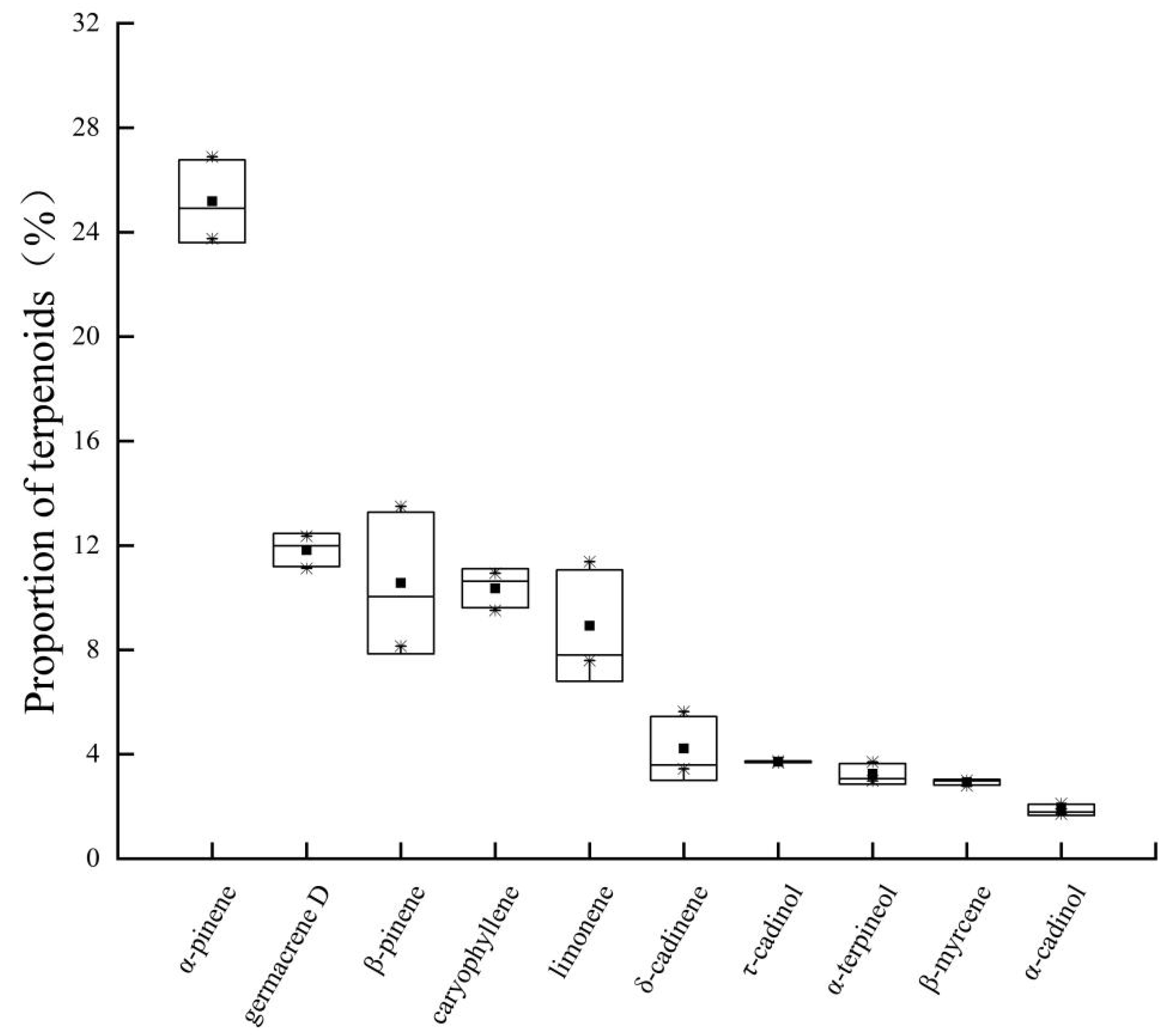
The GC-MS analysis results of the volatile oil extracted from live branches are shown in Figure 2. A total of 26 chromatographic peaks were isolated, including 10 monoterpenes, 10 sesquiterpenes and 6 other compounds. The top 10 terpenoids accounted for 82.81% of all components (Figure 3), including monoterpenes ((C5H8)2) α-pinene, β-pinene, limonene and β-myrcene, with relative content values of 25.18%, 10.56%, 8.92% and 2.93%, respectively. The sesquiterpenes ((C5H8)3) were germacrene D and β-caryophyllene, accounting for 11.82% and 10.35% of all terpenes, respectively. The other terpenoids were δ-cadinene, τ-cadinol, L-α-terpineol and α-cadinol, with relative content values of 4.22%, 3.71%, 3.25% and 1.87%, respectively.
Figure 2.
Chromatographic profile of the volatile oil from live branches of P. yunnanensis. 1, α-tricyclene; 2, α-pinene; 3, camphene; 4, sabinene; 5, β-pinene; 6, β-myrcene; 7, limonene; 8, γ-terpinene; 9, terpinolene; 10, β-elemene; 11, β-caryophyllene; 12, humulene; 13, germacrene D; 14, germacrene B; 15, α-muurolene; 16, γ.-muurolene; 17, δ-cadinene; 18, linalool; 19, terpinen-4-ol; 20, α-terpineol; 21, isobornyl acetate; 22, τ-cadinol; 23, α-cadinol; 24, farnesol; 25, sclareol; 26, 1-naphthalenol, 1,2,3,4,4a,7,8,8a-octahydro-1,6-dimethyl-4-(1-methylethyl)-, [1R-(1.α.,4.β.,4a.β.,8a.β.)]-.
Figure 3.
Ten most abundant terpenoids in the volatile oil from live branches. (The top and bottom asterisks indicate the maximum and the minimum, respectively. The top and the bottom lines in the boxes indicate the upper and the lower quartiles, respectively. The lines within the boxes indicate the median lines, and the solid square indicate the mean values).
The GC-MS analysis results for the volatile oil extracted from surface dead fuel are shown in Figure 4. A total of 19 chromatographic peaks were isolated, including 8 monoterpenes, 4 sesquiterpenes and 7 other compounds. The top 10 terpenoids accounted for 87.83% of all components (Figure 5), including monoterpenes α-pinene, β-pinene, limonene, camphene and terpinolene, with relative content values of 48.92%, 9.35%, 5.64%, 2.30% and 2.26%, respectively. The sesquiterpene was β-caryophyllene. Other terpenoids were α-terpineol, terpinen-4-ol, α-cadinol and caryophyllene oxide, with relative content values of 4.57%, 3.55%, 2.68% and 2.25%, respectively.
Figure 4.
Chromatographic profile of the volatile oil from the surface dead fuel. 1, α-pinene; 2, camphene; 3, β-pinene; 4, β-myrcene; 5,limonene; 6, γ-terpinene; 7, terpinolene; 8, β-caryophyllene; 9, humulene; 10, germacrene D; 11, δ-cadinene; 12, p-cymene; 13, pinocarveol; 14, terpinen-4-ol; 15, α-terpineol; 16, spathulenol; 17, caryophyllene oxide; 18, τ-cadinol; 19, α-cadinol.
Figure 5.
Ten most abundant terpenoids in volatile oil from surface dead fuel. (The top and the bottom lines in the boxes indicate the upper and the lower quartiles, respectively. The lines within the boxes indicate the median lines, and the solid square indicate the mean values).
A comparison of Figure 2 and Figure 4 shows that, although the main components of the volatile oils from both live branches and surface dead fuel were α-pinene and β-pinene, the terpenoids varied between the two sample types. Live branches contained other terpenoids, including α-tricyclene, sabinene, β-elemene, germacrene B, α-muurolene, γ-muurolene, linalool, isobornyl acetate, farnesol, sclareol and 1-naphthalenol,1,2,3,4,4a,7,8,8a-octahydro-1,6-dimethyl-4-(1methylethyl)-,[1R(1.α.,4.beta.,4a.β.,8a.β.)]-. By contrast, the unique terpenoids in surface dead fuel were p-cymene, pinocarveol, spathulenol and caryophyllene oxide. Compared with live branches, there were seven fewer terpenoids species in surface dead fuel.
3.3. Proportions of Volatile Oil Components in Live Branches and Surface Dead Fuel from P. yunnanensis Forest
The volatile oil content in live branches was significantly higher (p < 0.05) than that in surface dead fuel (i.e., 2.33 times that in surface dead fuel). As shown in Figure 6, the proportions of monoterpene compounds in volatile oils from live branches and surface dead fuel were 53.23% and 72.03%, respectively. This proportion was higher than 50% (averaging 62.63%) in both sample types, and monoterpene compounds were the most abundant components in volatile oil extracts. The proportions of sesquiterpenes were 34.67% and 10.21%, respectively, with an average of 22.44%, second only to monoterpenes.
Figure 6.
Proportions of monoterpenes, sesquiterpenes and other volatile compounds in live branches and surface dead fuel.
The proportion of monoterpenes in surface dead fuel was 72.03% higher than that in live branches (53.23%); however, the percentage of sesquiterpenes in live branches was 34.67% higher than that in surface dead fuel (10.21%).
3.4. Lower Explosion Limit (LEL)
According to the results of the volatile oil extraction experiment in this study, because a-pinene was the most abundant terpene in live branches (Figure 2 and Figure 3) and surface dead fuel (Figure 4 and Figure 5) of P. yunnanensis, we infer that the LEL of α-pinene represented the LEL of the oily gases from the volatile oils from live branches and surface dead fuel. Based on Equations (5) and (6), the volume value of %LEL and the concentration of LEL for α-pinene were 0.7% v/v and 38.4 g·m−3, respectively.
3.5. Potential Space Filled with Flammable Gas Reaching the LEL
The volatile oil content in live branches and that in surface dead fuel from the P. yunnanensis forest were 110.73 kg·ha−1 and 15.39 kg·ha−1, respectively (Table 5).
Table 5.
Potential space filled with flammable gas reaching the LEL per hectare of P. yunnanensis forest when heated in a fire environment.
Table S1 lists the names, molecular formulas, boiling points and flash points of the main volatile oil components of fuel. The boiling point of each volatile oil component is lower than 300 °C. The lowest boiling point among the monoterpenes is approximately 175 °C on average, and the boiling point of α-tricyclene is the lowest, 150 °C. Although the sesquiterpenes have slightly higher boiling points, they remain at approximately 270 °C on average. The low-boiling-point characteristics of monoterpenes and sesquiterpenes indicate that they can easily escape from plant tissues and become flammable gases when heated by a low amount of heat in a fire environment. If these gases are not burned immediately, they accumulate in an environment with no or weak wind, especially in confined spaces, because their molecular weight is greater than that of air.
The volatile oil from live branches or surface dead fuel could fill a space of 2883.55 m3 or 400.71 m3, respectively, with flammable gas reaching the LEL. In total, each hectare of P. yunnanensis forest could potentially fill 3284.26 m3 of space, with flammable gas reaching the LEL when heated in a fire environment (Table 5).
4. Discussion
4.1. Volatile Oils from P. yunnanensis Branches and Needles
The results of the present study are consistent with those of previous studies [33,34], indicating that P. yunnanensis branches and needles contain large amounts of volatile oils. The volatile oil contents were as high as 8.28 mL·kg−1 (7.12 mg·g−1) in dry live branches and 3.55 mL·kg−1 (3.05 mg·g−1) in dry surface dead fuel. Many plants, especially coniferous species, produce and store resin. Volatile oil is a part of resin, and its components have been identified [35,36] to include hundreds of compounds, such as monoterpenes, oxygenated monoterpenes and sesquiterpenes. The relative concentrations of stored and released compounds vary greatly among different plant species [37]. The GC-MS results based on the ion peak area show that the main components of volatile oils were terpenoids, which is also consistent with previous research results [38]. However, the relative content of each component obtained using the GC-MS peak area ratio method is not precise, and accuracy requires the use of standards for the quantification of the constituents or a GC-FID analysis of essential oils.
The flash point indicates the ignition point of flammable gases. The lower the flash point is, the more likely it is that a gas can be ignited by a flame. Monoterpenes such as α-pinene, β-pinene and β-myrcene have flash points below 40 °C, and that of α-tricyclene is below 30 °C. Such temperatures can be reached easily, even in non-fire environments. However, even if monoterpenes can cause flashover, they still need fuel, combustion-supporting gas and an environment that supports heat accumulation and raises the temperature to the point of ignition for sustained combustion [39]. The flash point of sesquiterpenes is approximately 100 °C, which can be easily attained in a fire environment. The low-flash-point characteristics of the main volatile oil components from P. yunnanensis branches and needles indicate that explosive combustion may occur with a small spark, as long as the LEL (0.7% by volume for monoterpenes) of these oily gases is reached in the environment. The relationship between terpene content and flammability is extraordinarily close [40]. For example, monoterpenes and sesquiterpenes enhance the flammability of Rosmarinus officinalis [22]. However, the effects of terpenoids on fuel flammability vary from one compound to another, from one flammability variable to another and from one season to another [41].
The volatile oil content in live branches was 2.33 times that in surface dead fuel. Moreover, the sesquiterpene content in live branches was significantly higher than that in surface dead fuel. Although the results of this study show that the content of terpenes in surface dead fuel was significantly lower than that in live fuel, some studies found no such difference [42], which may have been due to the method of sample collection. Terpenoids are the products of secondary metabolism in living plants. Living plant tissues are vigorous and contain high amounts of terpenoids. The content of terpenoids in freshly fallen needles is about the same as that in fresh ones, and terpenoid contents in needles gradually decrease over time [43]. If the sample is from newly fallen needles, it is possible to conclude that the terpene content is similar to that of fresh needles. Although the boiling points and flash points of sesquiterpenes are higher than those of monoterpenes (Table S1), the flame combustion temperatures usually exceed 500 °C. Even though the ambient temperature of fire decreases with the distance from the flame, there is still a wide range of fire environments at temperatures higher than 300 °C [44], so sesquiterpenes may also be burned. During extreme fire behavior manifestation, e.g., forest fire deflagration, firestorms and crown fires, the flame temperature can become higher than 1500 °C [45], far exceeding the boiling point of sesquiterpenes. The results of previous combustion bed experiments also show that the sensitivity of different terpene concentrations to flammability was different, and the concentration of sesquiterpenes was more sensitive to flammability than that of monoterpenes [23]. Combustion time, flame height and spread rate were more sensitive to changes in the concentrations of humulene, β-caryophyllene and caryophyllene oxides than to changes in α-pinene and β-pinene [46]. Though more studies have focused on the flash point and ignition point of monoterpenes [47,48], several studies have also investigated the effects of sesquiterpenes on fire behavior [22,46]. We believe that sesquiterpenes in volatile oils should also receive the same attention as monoterpenes. Our results show that the number of terpenoids was higher in volatile oil from live branches than in oil from surface dead fuel. As needles wither and fall, their moisture content decreases, causing certain terpenoids to degrade. It has been recorded that volatile terpenes and their production within plants increase under abiotic stress [49] and that altitude, canopy position and season have a significant interactive effect on most monoterpenes [50]. According to the above analysis, fresh P. yunnanensis branches and needles have high volatile oil contents, with an abundance of terpenoids, which could have a great impact on forest fire behavior, especially of the extreme type.
4.2. Effect of Volatile Oil on Extreme Fire Behavior
Extreme wildfires can cause human injury and death, and these phenomena are still not fully understood. Large-scale wildfires and extreme fire behavior are influenced by climate warming [51] and the occurrence of violent pyroconvection [52]. In addition, recent research has suggested that under certain terrain and wind conditions, combustible gases produced by heated vegetation, particularly volatile organic compounds (VOCs) common in Mediterranean plants, or products from the incomplete burning of wildfire fronts accumulate at the fire source and quickly erupt into flames, causing explosions [53]. At present, research on deflagration focuses on the dynamic process of terrain, atmosphere and fire behavior but ignores the involvement of high concentrations of flammable gases and huge heat energy [54]. The case of deflagration shows that high concentrations of premixed gases exist on site when deflagration occurs, and these gases are the material basis for deflagration [55]. Without these gases, deflagration is impossible, even if the terrain and meteorological conditions are available. Wind direction abrupt changes and wind strength enhancement occur in almost all forest fires during deflagration [56], but scholars generally believe that though wind direction mutation and wind strength are conducive to the occurrence of deflagration, they are not necessary conditions for the occurrence of deflagration, and that high concentrations of unburned combustible gases in local areas represent the key factor leading to the occurrence of deflagration [57]. Forest fire deflation involves many theories of combustion science, meteorology, aerodynamics, etc., and as the real combustion environment is very complex, including factors such as the number of ignition points, fire intensity, fuel, terrain, meteorology, trigger probability, etc., there are uncertainties. Fuel, terrain and meteorological factors are the most important environmental factors in fire. It is speculated that the process of deflagration may be as follows: First of all, flammable volatile gases are released by high-oil fuel under the heating conditions of the fire site; then, these gases accumulate under specific terrain and meteorological conditions until they reach the gas concentration that can cause explosive combustion. Under favorable meteorological conditions, these high-concentration accumulated flammable gases are detonated in a small range; then, the canyon terrain accelerates its spread speed and forest fire intensity, eventually triggering the phenomenon of large-area deflagration. We can infer from our findings that volatile oils are important because they can increase the probability of various types of extreme fire behavior, such as deflagration, firestorms and crown fires (which mainly burn in the canopy), which is consistent with explosions in Mediterranean plants [53]. This deduction could explain the extreme fire behavior (e.g., flames burning above the canopy and hanging in the air during deflagration) described in the literature [50,58]. Such fire behavior is often found in vegetation dominated by highly dense species rich in volatile oil [59]. The results obtained here are consistent with those of several previous studies. Ormeño et al. [46] pointed out in their study on the volatile oil content in surface dead leaves and forest fire behavior that the terpenoid content in dead leaves was significantly positively correlated with flame height and significantly negatively correlated with flame residence time and ignition delay. Adnan et al. [60] showed that live leaves release volatile compounds when heated and that the rapid release of volatile compounds leads to the preheating of adjacent pine needles, consequently causing combustion. The calorific value of monoterpenes and sesquiterpenes was approximately 32.36 MJ·kg−1. Mancilla-Leytón et al. [61] showed that plants (e.g., R. officinalis) with higher volatile organic compounds (resins, terpenes and essential oils) have higher calorific values. Compared with the calorific value of cellulose (15.23 MJ·kg−1), hemicellulose (15.19 MJ·kg−1) and lignin (23.25 MJ·kg−1) [62], volatile oil has a higher calorific value, releases more heat energy during its combustion and produces higher fire intensity [63].
In a fire environment, volatile oil very easily spills out from the fuel and becomes oily gas when heated. Oily gas burns violently and has great fire intensity, which easily leads to extreme fire behavior, such as crown fires and fire storms. In addition, if oily gas is not immediately ignited by fire, it accumulates in low concave areas, because the molecular weight of terpenoids (e.g., MMα-pinene = 136 g·mol−1) is higher than that of air (29 g·mol−1). The LEL of terpenoids is low, about 0.7% (v/v), and it is 38.4 g·m−3 for monoterpene. The present study showed that volatile oil from the P. yunnanensis forest in the study area has the potential to fill space, with flammable gas reaching the LEL when heated in a fire environment. It has been reported that flammable gases from Pinus pumila, Larix gmelinii and Pinus sylvestris under simulated fire conditions were mostly monoterpenes, such as α-pinene [38], similar in composition to the volatile oil obtained using steam distillation in this study. The potential space was calculated based on only one component (α-pinene) in the present study, and other flammable components were not considered in the calculation. However, the calculated space was not an accurate value. To accurately obtain the real space size in emission experiments simulating fire environments, the calculation should involve all gas components—not only flammable gases but also other gases. When the wind changes direction and the fire spreads to areas where high concentrations of flammable gases have accumulated, a deflagration fire could be triggered. Therefore, future studies investigating extreme fire behavior such as deflagration should pay more attention to the amount of live branches in coniferous canopies and consider it an important parameter in fire modeling, as this may significantly improve the prediction ability of fire models designed for extreme fire behavior.
5. Conclusions
The volatile oil content in live branches was 8.28 mL·kg−1 and was significantly higher than that in surface dead fuel (3.55 mL·kg−1). The main volatile oil components were terpenoids, the highest proportion of which was monoterpenes (62.63%), mainly α-pinene, followed by sesquiterpenes (22.44%). The identified terpenoid compounds varied between live branches and surface dead fuel. The volatile oil content of P. yunnanensis forest was 126.12 kg·ha−1, and the lower explosion limit (LEL) of the main component of volatile oil, α-pinene, was 38.4 g·m−3. When heated, these volatile oils have the potential to fill 3284.26 m3 of space with flammable gases, reaching the LEL (38.4 g·m−3). Compared with surface dead fuel, live branches had a greater impact on forest fire behavior, especially deflagration, firestorms, crown fires and other types of extreme fire behavior that mainly manifest in the canopy. Further studies should focus on the volatile oil contents and components of fresh leaves of species with a high oil content, such as conifers and eucalyptus. The latest tools, such as an electronic nose based on a sensor array, could be used to monitor the concentration of the major VOCs in trees to assess their impact on extreme fire behavior. Moreover, the volatile oil content should be considered as an important input parameter in fire spread models, which could improve the simulation and warning technology for fire models designed for extreme fire behavior. To conclude, plants rich in volatile oils are prone to extreme fire behavior such as deflagration and crown fires.
Supplementary Materials
The following supporting information can be downloaded at: https://www.mdpi.com/article/10.3390/fire6030113/s1, Figure S1: Elevation analysis map of Yunnan Province; Table S1: Formulas, boiling points and flash points of the main terpenoids in P. yunnanensis.
Author Contributions
F.C. and L.S. conceptualized the study and analyzed the data; F.Z. and M.W. collected the data; F.C. drafted the manuscript; F.Z. participated in the revision of the manuscript. All authors have read and agreed to the published version of the manuscript.
Funding
This research project was funded by National Key Research and Development Project (grant number 2022YFC3003003) and National Natural Science Foundation of China (grant number 32071778; 32271895).
Institutional Review Board Statement
Not applicable.
Informed Consent Statement
Not applicable.
Data Availability Statement
Data can be made available by contacting the corresponding author.
Conflicts of Interest
The authors declare no conflict of interest.
References
- Zhang, W.W.; Wang, Q.H.; Xu, W.H.; Yan, X.X.; Long, T.T.; Wei, J.H.; Gao, Z.L. Review on “Deflagration” in Forest Fire. For. Inventory Plan 2021, 46, 61–66, 114. [Google Scholar]
- McAllister, S.; Weise, D.R. Effects of Season on Ignition of Live Wildland Fuels Using the Forced Ignition and Flame Spread Test Apparatus. Combust. Sci. Technol. 2017, 189, 231–247. [Google Scholar] [CrossRef]
- Courty, L.; Chetehouna, K.; Halter, F.; Foucher, F.; Garo, J.P.; Mounaim-Rousselle, C. Experimental determination of emission and laminar burning speeds of α-pinene. Combust. Flame 2012, 159, 1385–1392. [Google Scholar] [CrossRef]
- Núñez-Regueira, L.; Rodríguez-Añón, J.A.; Proupín, J.; Mouriño, B.; Artiaga-Diaz, R. Energetic study of residual forest biomass using calorimetry and thermal analysis. J. Anal. Calorim. 2005, 80, 457–464. [Google Scholar] [CrossRef]
- Viegas, D.X.; Simeoni, A. Eruptive behavior of forest fires. Fire Technol. 2011, 47, 303–320. [Google Scholar] [CrossRef]
- Andrews, P.L. Current status and future needs of the Behave Plus Fire Modeling System. Int. J. Wildland Fire 2014, 23, 21–33. [Google Scholar] [CrossRef]
- Finney, M.A.; Cohen, J.D.; Mc Allister, S.S.; Jolly, W.M. On the need for a theory of wildland fire spread. Int. J. Wildland Fire 2013, 22, 25–36. [Google Scholar] [CrossRef]
- Rossa, C.G.; Fernandes, P.M. Live fuel moisture content: The ‘pea under the mattress’ of fire spread rate modeling? Fire 2018, 1, 43. [Google Scholar] [CrossRef]
- Rothermel, R.C. A Mathematical Model for Predicting Fire Spread in Wildland Fuels; US Department of Agriculture: Ogden, UT, USA, 1972; Volume 40, p. 115. [Google Scholar]
- Yebra, M.; Dennison, P.E.; Chuvieco, E.; Riaño, D.; Zylstra, P.; HuntJr, E.R.; Danson, F.M.; Qi, Y.; Jurdao, S. A global review of remote sensing of live fuel moisture content for fire danger assessment: Moving towards operational products. Remote Sens. Environ. 2013, 136, 455–468. [Google Scholar] [CrossRef]
- Weise, D.R.; Zhou, X.; Sun, L.; Mahalingam, S. Fire spread in chaparral-‘go or no-go?’. Int. J. Wildland Fire 2005, 14, 99–106. [Google Scholar] [CrossRef]
- Page, W.G.; Jenkins, M.J.; Runyon, J.B. Mountain pine beetle attack alters the chemistry and flammability of lodgepole pine foliage. Can. J. For. Res. 2012, 42, 1631–1647. [Google Scholar] [CrossRef]
- Campos-Ruiz, R.; Parisien, M.A.; Flannigan, M.D. Physicochemical characteristics controlling the flammability of live Pinus banksiana needles in central Alberta, Canada. Int. J. Wildland Fire 2022, 31, 857–870. [Google Scholar] [CrossRef]
- Della Rocca, G.; Danti, R.; Hernando, C.; Guijarro, M.; Michelozzi, M.; Carrillo, C.; Madrigal, J. Terpenoid Accumulation Links Plant Health and Flammability in the Cypress-Bark Canker Pathosystem. Forests 2020, 11, 651. [Google Scholar] [CrossRef]
- Alessio, G.A.; Penuelas, J.; De Lillis, M.; Llusia, J. Implications of foliar terpene content and hydration on leaf flammability of Quercus ilex and Pinus halepensis. Plant Biol. 2008, 10, 123–128. [Google Scholar] [CrossRef]
- Alessio, G.A.; Penuelas, J.; Llusia, J.; Ogaya, R.; Estiarte, M.; De Lillis, M. Influence of water and terpenes on flammability in some dominant Mediterranean species. Int. J. Wildland Fire 2008, 17, 274–286. [Google Scholar] [CrossRef]
- Barboni, T.; Cannac, M.; Leoni, E.; Chiaramonti, N. Emission of biogenic volatile organic compounds involved in eruptive fire: Implications for the safety of firefighters. Int. J. Wildland Fire 2011, 20, 152–161. [Google Scholar] [CrossRef]
- Della Rocca, G.; Madrigal, J.; Marchi, E.; Michelozzi, M.; Moya, B.; Danti, R. Relevance of terpenoids on flammability of Mediterranean species: An experimental approach at a low radiant heat flux. IForest 2017, 10, 766–775. [Google Scholar] [CrossRef]
- De Lillis, M.; Bianco, P.M.; Loreto, F. The influence of leaf water content and terpenoids on flammability of some Mediterranean woody species. Int. J. Wildland Fire 2009, 18, 203–212. [Google Scholar] [CrossRef]
- White, C.S. Monoterpenes: Their effect on ecosystem nutrient cycling. J. Chem. Ecol. 1994, 20, 1381–1406. [Google Scholar] [CrossRef]
- Guerrero, F.; Hernández, C.; Toledo, M.; Espinoza, L.; Carrasco, Y.; Arriagada, A.; Muñoz, A.; Taborga, L.; Bergmann, J.; Carmona, C. Leaf thermal and chemical properties as natural drivers of plant flammability of native and exotic tree species of the Valparaíso region, Chile. Int. J. Environ. Res. Public Health 2021, 18, 7191. [Google Scholar] [CrossRef]
- Pausas, J.G.; Alessio, G.A.; Moreira, B.; Segarra-Moragues, J.G. Secondary compounds enhance flammability in a Mediterranean plant. Oecologia 2016, 180, 103–110. [Google Scholar] [CrossRef]
- Dewhirst, R.A.; Smirnoff, N.; Belcher, C.M. Pine Species That Support Crown Fire Regimes Have Lower Leaf-Level Terpene Contents Than Those Native to Surface Fire Regimes. Fire 2020, 3, 17. [Google Scholar] [CrossRef]
- Romero, B.; Fernandez, C.; Lecareux, C.; Ormeo, E.; Ganteaume, A. How terpene content affects fuel flammability of wildland–urban interface vegetation. Int. J. Wildland Fire 2019, 28, 614–627. [Google Scholar] [CrossRef]
- Kleist, E.; Mentel, T.F.; Andres, S.; Bohne, A.; Folkers, A.; Kiendler-Scharr, A.; Rudich, Y.; Springer, M.; Tillmann, R.; Wildt, J. Irreversible impacts of heat on the emissions of monoterpenes, sesquiterpenes, phenolic BVOC and green leaf volatiles from several tree species. Biogeosciences 2012, 9, 5111–5123. [Google Scholar] [CrossRef]
- Kleiber, A.; Duan, Q.; Jansen, K.; Junker, L.V.; Kammerer, B.; Rennenberg, H.; Ensminger, I.; Gessler, A.; Kreuzwieser, J. Drought effects on root and needle terpenoid content of a coastal and an interior Douglas fir provenance. Tree Physiol. 2017, 37, 1648–1658. [Google Scholar] [CrossRef] [PubMed]
- Gao, Z.L.; Wei, J.H.; Long, T.T.; Li, Z.; Zhou, R.L.; Shu, L.F.; Wang, Q.H. Response Law of Forest Fire Disasters of P. yunnanensis under of Climate Change. J. West China For. Sci. 2021, 50, 12–18. [Google Scholar]
- Wang, Q.H.; Li, W.; Liu, S.Y.; Ren, J.X.; Li, S.Y.; Liu, B. A Study on the Fire Environment of Forest Fire in Kunming Area. Acta Agric. Univ. Jiangxiensis Nat. Sci. Ed. 2015, 37, 108–113. [Google Scholar]
- Wang, Q.H.; Shu, L.F.; Li, S.Y. Study on spotting of P. yunnanensis forest during burning. J. Saf. Sci. Technol. 2011, 7, 48–53. [Google Scholar]
- Wang, S.; Niu, S.K.; Li, D.; Wang, J.H.; Chen, F.; Sun, W. Vertical distribution of fuels in Pinus yunnanensis forest and related affecting factors. Chin. J. Appl. Ecol. 2013, 24, 331–337. [Google Scholar]
- Amine, S.; Bouhrim, M.; Mechchate, H.; Ailli, A.; Radi, M.; Sahpaz, S.; Amalich, S.; Mahjoubi, M.; Zair, T. Influence of abiotic factors on the phytochemical profile of two species of Artemisia: A. herba alba Asso and A. mesatlantica Maire. Int. J. Plant Biol. 2022, 13, 7. [Google Scholar] [CrossRef]
- Dalmazzone, D.; Laforest, J.C.; Petit, J.P. Application of thermochemical energy hazard criteria to the prediction of lower flammability limits of hydrocarbons in air. Oil Gas Sci. Technol. 2001, 56, 365–372. [Google Scholar] [CrossRef]
- Tian, Y.H.; Li, Z.; Wu, S.H.; Huang, Q. Antimicrobial Activity of Essential Oil from Pinus yunnanensis Franch.var tenuifolia Growing in China. In Advanced Materials Research; Trans Tech Publications Ltd.: Stafa-Zurich, Switzerland, 2012; Volume 430–432, pp. 438–442. [Google Scholar]
- Li, X.; Li, Y.; Dong, J.; Zhang, H.; Song, Z. Optimization of extraction process and antioxidant activity of essential oil from needles of Pinus yunnanensis. China Food Addit. 2020, 31, 27–35. [Google Scholar]
- Da Costa, J.S.; Andrade, W.M.S.; de Figueiredo, R.O.; Santos, P.V.L.; Freitas, J.J.d.S.; Setzer, W.N.; daSilva, J.K.R.; Maia, J.G.S.; Figueiredo, P.L. Chemical composition and variability of the volatile components of Myrciaria species growing in the Amazon region. Molecules 2022, 27, 2234. [Google Scholar] [CrossRef] [PubMed]
- Guenther, A.B.; Jiang, X.; Heald, C.L.; Sakulyanontvittaya, T.; Duhl, T.; Emmons, L.K.; Wang, X. The Model of Emissions of Gases and Aerosols from Nature version 2.1 (MEGAN2.1): An extended and updated framework for modeling biogenic emissions. GeoSci. Model Dev. 2012, 5, 1471–1492. [Google Scholar] [CrossRef]
- Zhao, F.J.; Wang, M.Y.; Shu, L.F.; Tian, X.R.; Liu, K.Z. Supercritical extracts of forest fuels in Great Xing’an Mountains. J. Res. 2016, 27, 1143–1151. [Google Scholar] [CrossRef]
- Zhao, F.J.; Shu, L.F.; Wang, Q.H.; Tian, X.R. Investigation of emissions from heated essential-oil-rich fuels at 200 °C. Fire Mater. 2013, 37, 391–400. [Google Scholar] [CrossRef]
- Rowley, J. Flammability Limits, Flash Points, and Their Consanguinity: Critical Analysis, Experimental Exploration, and Prediction; Brigham Young University: Provo, UT, USA, 2010. [Google Scholar]
- Ciccioli, P.; Centritto, M.; Loreto, F. Biogenic volatile organic compound emissions from vegetation fires. Plant Cell Environ. 2014, 37, 1810–1825. [Google Scholar] [CrossRef] [PubMed]
- Ganteaume, A.; Romero, B.; Fernandez, C.; Ormeo, E.; Lecareux, C. Volatile and semi-volatile terpenes impact leaf flammability: Differences according to the level of terpene identification. Chemoecology 2021, 31, 259–275. [Google Scholar] [CrossRef]
- Isidorov, V.A.; Vinogorova, V.T.; Rafalowski, K. HS-SPME analysis of volatile organic compounds of coniferous needle litter. Atmos. Environ. 2003, 37, 4645–4650. [Google Scholar] [CrossRef]
- Schönwitz, R.; Lohwasser, K.; Kloos, M.; Ziegler, H. Seasonal variation in the monoterpenes in needles of Picea abies (L.) Karst. Trees 1990, 4, 34–40. [Google Scholar] [CrossRef]
- Neary, D.G.; Klopatek, C.C.; DeBano, L.F.; Ffolliott, P.F. Fire effects on belowground sustainability: A review and synthesis. For. Ecol. Manage. 1999, 122, 51–71. [Google Scholar] [CrossRef]
- Chatelon, F.J.; Sauvagnargues, S.; Dusserre, G.; Balbi, J.H. Generalized blaze flash, a “flashover” behavior for forest fires-analysis from the firefighter’s point of view. Open J. For. 2014, 4, 547–557. [Google Scholar] [CrossRef]
- Ormeño, E.; Céspedes, B.; Sánchez, I.A.; Velasco-García, A.; Moreno, J.M.; Fernandez, C.; Baldy, V. The relationship between terpenes and flammability of leaf litter. Ecol. Manag. 2009, 257, 471–482. [Google Scholar] [CrossRef]
- Zhao, F.J.; Shu, L.F.; Wang, Q.H.; Wang, M.Y. Emissions of volatile organic compounds from heated needles and twigs of Pinus pumila. J. For. Res. 2011, 22, 243–248. [Google Scholar] [CrossRef]
- Chetehouna, K.; Barboni, T.; Zarguili, I.; Leoni, E.; Simeoni, A.; Fernandez-Pello, A.C. Investigation on the emission of volatile organic compounds from heated vegetation and their potential to cause an eruptive forest fire. Combust. Sci. Technol. 2009, 181, 1273–1288. [Google Scholar] [CrossRef]
- Ormeño, E.; Ruffault, J.; Gutigny, C.; Madrigal, J.; Guijarro, M.; Hernando, C.; Ballini, C. Increasing cuticular wax concentrations in a drier climate promote litter flammability. Ecol. Manag. 2020, 473, 118242. [Google Scholar] [CrossRef]
- Večeřová, K.; Klem, K.; Veselá, B.; Holub, P.; Grace, J.; Urban, O. Combined Effect of altitude, season and light on the accumulation of extractable terpenes in Norway Spruce needles. Forests 2021, 12, 1737. [Google Scholar] [CrossRef]
- Varga, K.; Jones, C.; Trugman, A.; Carvalho, L.M.V.; McLoughlin, N.; Seto, D.; Thompson, C.; Daum, K. Megafires in a warming world: What wildfire risk factors led to California’s largest recorded wildfire. Fire 2022, 5, 16. [Google Scholar] [CrossRef]
- Giannaros, T.M.; Papavasileiou, G.; Lagouvardos, K.; Kotroni, V.; Dafis, S.; Karagiannidis, A.; Dragozi, E. Meteorological Analysis of the 2021Extreme Wildfires in Greece: Lessons Learned and Implications for Early Warning of the Potential for Pyroconvection. Atmosphere 2022, 13, 475. [Google Scholar] [CrossRef]
- Romero, B.; Ganteaume, A. Effect of Fire Frequency on the Flammability of Two Mediterranean Pines: Link with Needle Terpene Content. Plants 2021, 10, 2164. [Google Scholar] [CrossRef]
- Li, X.X.; Zhao, F.J.; Wang, M.Y.; Si, L.Q.; Li, W.K. Review on Mechanisms of Eruptive Forest fire. Terr. Ecosyst. Conserv. 2022, 2, 55–61. [Google Scholar]
- Dold, J.; Simeoni, A.; Zinoviev, A.; Weber, R. The Palasca fire, September 2000:Eruption or Flashover. In Viegas DX (ed) Recent Forest Fire Accidents in Europe; JRC-IES, European Commission: Ispra, Italy, 2009. [Google Scholar]
- Lv, Z.Y.; He, C.; Shu, L.F.; Ji, R.X.; Zhang, S.Y.; Wang, Y.; Gao, J.Q.; Zhao, F.J. Deflagration characteristics of forest trees from the perspective of UAV. Spectrosc. Spectr. Anal. 2019, 39, 3946–3952. [Google Scholar]
- Butler, B.W.; Bartlette, R.A.; Bradshaw, L.S.; Cohen, J.D. Fire Behavior Associated with the 1994 South Canyon Fire on Storm King Mountain, Colorado; USDA, Forest Service, Rocky Mountain Research Station: Ogden, UT, USA, 1998; Volume 82. [Google Scholar]
- Chetehouna, K.; Courty, L.; Garo, J.P.; Viegas, D.X.; Fernandez-Pello, C. Flammability limits of biogenic volatile organic compounds emitted by fire-heated vegetation (Rosmarinus officinalis) and their potential link with accelerating forest fires in canyons: A Froude-scaling approach. J. Fire Sci. 2014, 32, 459–479. [Google Scholar] [CrossRef]
- Yang, G.; Yuan, S.B.; Shu, L.F.; Ning, J.B.; Sun, S.Q.; Di, X.Y. Research Progress of High-energy Forest Fire: Spotting. Fire World For. Res. 2020, 33, 20–25. [Google Scholar]
- Adnan, D.A.; Ahmad, M.A.; Ahmad, S.; Nelson, K.A.; Mark, F.; Jason, M.F.; Kozo, S. Ignition and burning mechanisms of live spruce needles. Fuel 2021, 304, 121371. [Google Scholar]
- Mancilla-Leytón, J.M.; Hernando, C.; Cambrollé, J.; Muñoz-Vallés, S.; Pino-Mejías, R.; Vicente, Á.M. Can shrub flammability be affected by goatgrazing? flammability parameters of Mediterranean shrub species under grazing. Sustainability 2021, 13, 1555. [Google Scholar] [CrossRef]
- Chen, D.Y.; Anjiang Gao, A.J.; Cen, K.H.; Zhang, J.; Cao, X.B.; Ma, Z.Q. Investigation of biomass torrefaction based on three major components: Hemicellulose, cellulose, and lignin. Energy Convers. Manag. 2018, 169, 228–237. [Google Scholar] [CrossRef]
- Zhao, F.J.; Wang, Q.H.; Shu, L.F.; Yang, L.J.; Liu, K.Z. Correlations between supercritical extracts of coniferous fuel and the heat yield value and ignition point. Sci. Silvae Sin. 2016, 52, 68–74. [Google Scholar]
Disclaimer/Publisher’s Note: The statements, opinions and data contained in all publications are solely those of the individual author(s) and contributor(s) and not of MDPI and/or the editor(s). MDPI and/or the editor(s) disclaim responsibility for any injury to people or property resulting from any ideas, methods, instructions or products referred to in the content. |
© 2023 by the authors. Licensee MDPI, Basel, Switzerland. This article is an open access article distributed under the terms and conditions of the Creative Commons Attribution (CC BY) license (https://creativecommons.org/licenses/by/4.0/).





