Differentiating Fire Regimes and Their Biophysical Drivers in Central Portugal
Abstract
1. Introduction
2. Data and Methods
2.1. Study Area
2.2. Data Collection and Pre-Processing
2.2.1. Fire Regime Parameters
2.2.2. Potential Fire Regime Drivers
2.3. Cluster Analysis
2.4. Classification Tree
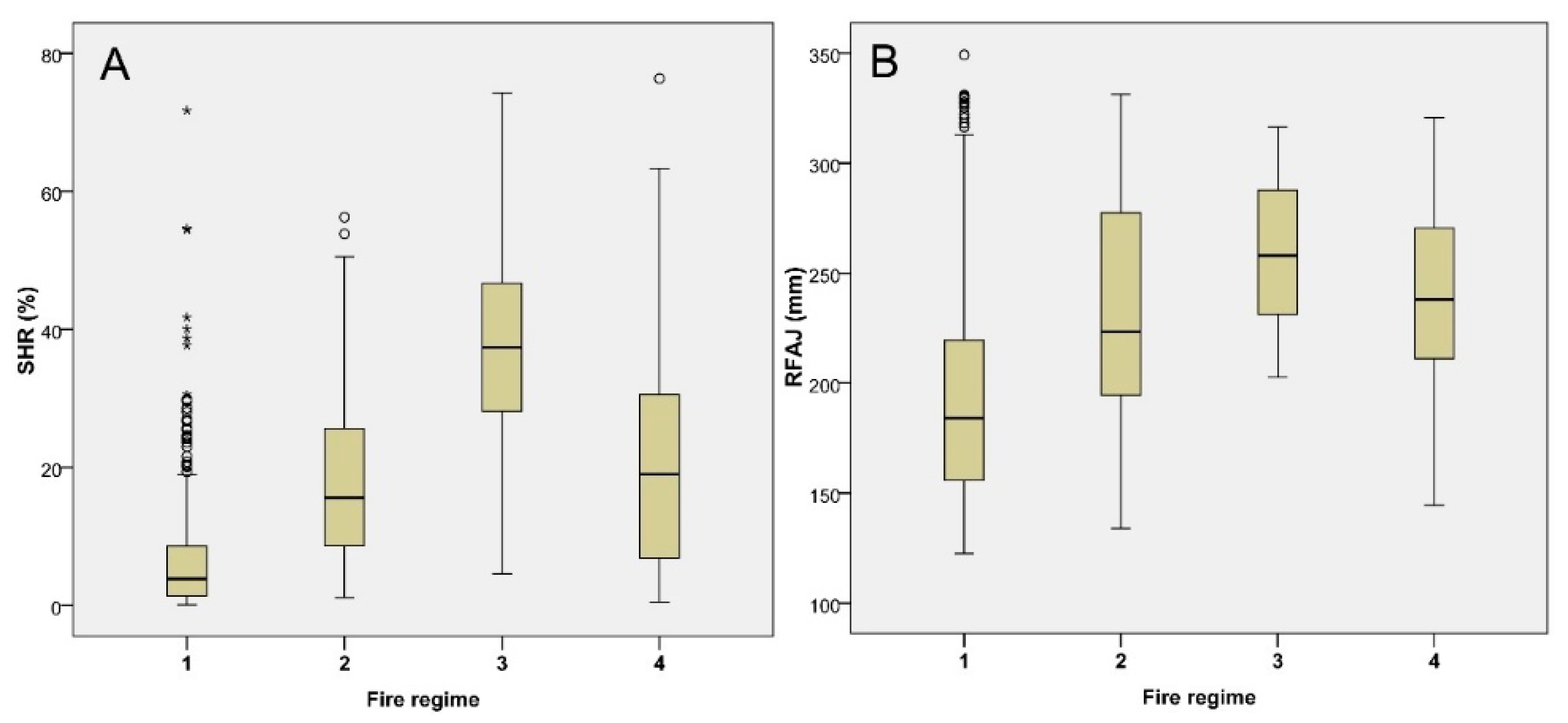
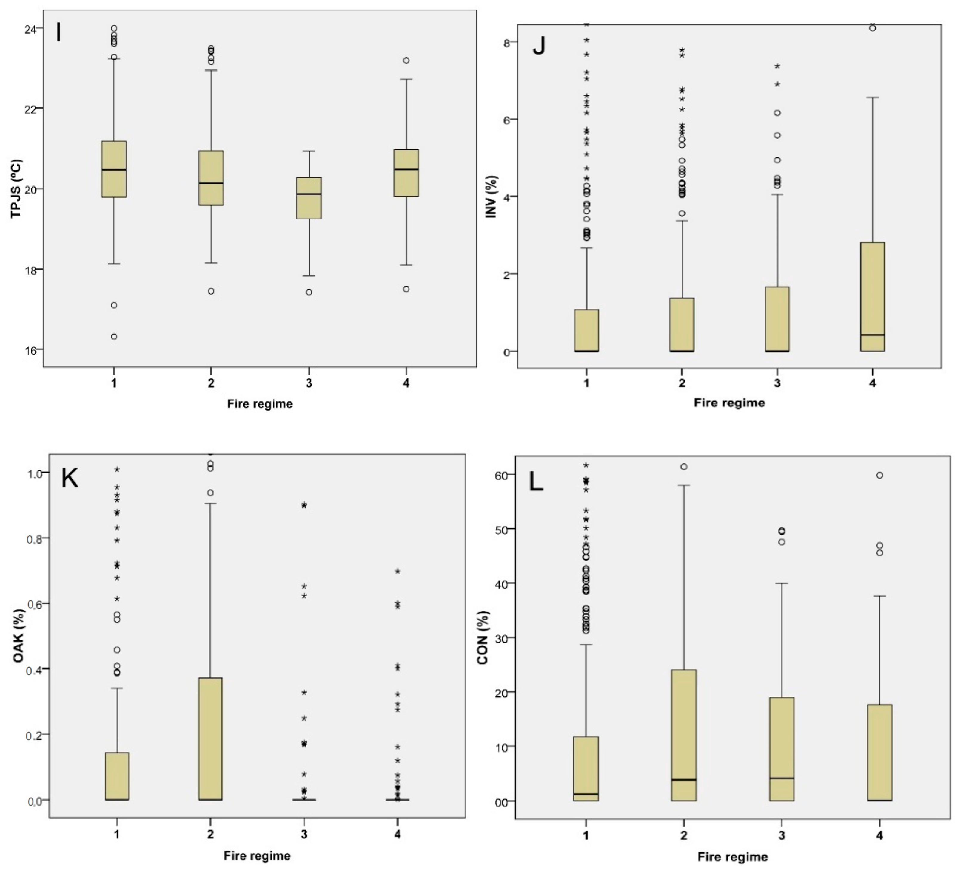
3. Results
3.1. Cluster Analysis
3.2. Classification Tree (CT) Model
4. Discussion
4.1. Classification Tree Model Accuracy
4.2. Relations between Fire Regimes and Biophysical Factors
4.2.1. FR1
4.2.2. FR3
4.2.3. FR2
4.2.4. FR4
4.2.5. Biophysical Factors with Uncertain Roles in the CT Model
4.3. Implications to Wildfire Management
- (a)
- Reducing fuel availability through land use planning policies promoting shrubland removal or substitution with less fire prone LULC types (such as agriculture or different types of forest) by landowners.
- (b)
- Reducing ignitions through awareness campaigns or legal constraints to the use of fire in critical areas and times of the year.
- (c)
- Focusing existing early detection and suppression capabilities on extinguishing the frequent wildfires at the earliest possible stage. This possibly implies the capacity for active suppression in several locations at the same time.
- (a)
- (b)
- Focusing early detection and early response capabilities on ensuring that ignitions, although relatively infrequent, are not allowed to develop. This implies quick mobilization of means to an ignition location and the timely allocation of surveillance resources to the more hazardous areas at the beginning of the main fire season.
4.4. Limitations and Uncertainties
5. Conclusions
Author Contributions
Funding
Institutional Review Board Statement
Informed Consent Statement
Data Availability Statement
Conflicts of Interest
References
- Pausas, J.G.; Keeley, J.E. Abrupt Climate-Independent Fire Regime Changes. Ecosystems 2014, 17, 1109–1120. [Google Scholar] [CrossRef]
- Oddi, F.J. Fire Regime. In Encyclopedia of Wildfires and Wildland-Urban Interface (WUI) Fires; Manzello, S.L., Ed.; Springer International Publishing: Cham, Switzerland, 2018; pp. 1–12. [Google Scholar]
- Brotons, L.; Aquilué, N.; de Cáceres, M.; Fortin, M.J.; Fall, A. How Fire History, Fire Suppression Practices and Climate Change Affect Wildfire Regimes in Mediterranean Landscapes. PLoS ONE 2013, 8, e62392. [Google Scholar] [CrossRef]
- Oliveira, S.; Zêzere, J.L. Assessing the biophysical and social drivers of burned area distribution at the local scale. J. Environ. Manag. 2020, 264, 110449. [Google Scholar] [CrossRef]
- Fernandes, P.M.; Guiomar, N.; Rossa, C.G. Analysing eucalypt expansion in Portugal as a fire-regime modifier. Sci. Total Environ. 2019, 666, 79–88. [Google Scholar] [CrossRef] [PubMed]
- Gómez-González, S.; Ojeda, F.; Fernandes, P.M. Portugal and Chile: Longing for sustainable forestry while rising from the ashes. Environ. Sci. Policy 2018, 81, 104–107. [Google Scholar] [CrossRef]
- Curt, T.; Fréjaville, T.; Lahaye, S. Modelling the spatial patterns of ignition causes and fire regime features in southern France: Implications for fire prevention policy. Int. J. Wildl. Fire 2016, 25, 785–796. [Google Scholar] [CrossRef]
- Connor, S.E.; Vannière, B.; Colombaroli, D.; Anderson, R.S.; Carrión, J.S.; Ejarque, A.; Gil Romera, G.; González-Sampériz, P.; Hoefer, D.; Morales-Molino, C.; et al. Humans take control of fire-driven diversity changes in Mediterranean Iberia’s vegetation during the mid–late Holocene. Holocene 2019, 29, 886–901. [Google Scholar] [CrossRef]
- San-Miguel-Ayanz, J.; Durrant, T.; Boca, R.; Maianti, P.; Libertà, G.; Artes Vivancos, T.; Jacome Felix Oom, D.; Branco, A.; De Rigo, D.; Ferrari, D.; et al. Forest Fires in Europe, Middle East and North Africa 2019, EUR 30402 EN; Publications Office of the European Union: Luxembourg, 2020. [Google Scholar]
- Nunes, A.N.; Lourenço, L.; Meira, A.C.C. Exploring spatial patterns and drivers of forest fires in Portugal (1980–2014). Sci. Total Environ. 2016, 573, 1190–1202. [Google Scholar] [CrossRef] [PubMed]
- Oliveira, S.; Gonçalves, A.; Zêzere, J.L. Reassessing wildfire susceptibility and hazard for mainland Portugal. Sci. Total Environ. 2020, 762, 143121. [Google Scholar] [CrossRef]
- Tonini, M.; Pereira, M.G.; Parente, J.; Vega Orozco, C. Evolution of forest fires in Portugal: From spatio-temporal point events to smoothed density maps. Nat. Hazards 2017, 85, 1489–1510. [Google Scholar] [CrossRef]
- Catry, F.X.; Rego, F.; Moreira, F.; Fernandes, P.M.; Pausas, J.G. Post-fire tree mortality in mixed forests of central Portugal. For. Ecol. Manag. 2010, 260, 1184–1192. [Google Scholar] [CrossRef]
- Maia, P.; Pausas, J.G.; Vasques, A.; Keizer, J.J. Fire severity as a key factor in post-fire regeneration of Pinus pinaster (Ait.) in Central Portugal. Ann. For. Sci. 2012, 69, 489–498. [Google Scholar] [CrossRef]
- Benali, A.; Sá, A.C.L.; Pinho, J.; Fernandes, P.M.; Pereira, J.M.C. Understanding the Impact of Different Landscape-Level Fuel Management Strategies on Wildfire Hazard in Central Portugal. Forests 2021, 12, 522. [Google Scholar] [CrossRef]
- Bergonse, R.; Oliveira, S.; Zêzere, J.L.; Moreira, F.; Ribeiro, P.F.; Leal, M.; Lima e Santos, J.M. Biophysical controls over fire regime properties in Central Portugal. Sci. Total Environ. 2022, 810, 152314. [Google Scholar] [CrossRef] [PubMed]
- de Brito, R.S. (Ed.) Atlas de Portugal, 1st ed.; Instituto Geográfico Português: Lisboa, Portugal, 2005.
- Brown, M.C. Using Gini-style indices to evaluate the spatial patterns of health practitioners: Theoretical considerations and an application based on Alberta data. Soc. Sci. Med. 1994, 38, 1243–1256. [Google Scholar] [CrossRef]
- Carmo, M.; Moreira, F.; Casimiro, P.; Vaz, P. Land use and topography influences on wildfire occurrence in northern Portugal. Landsc. Urban Plan. 2011, 100, 169–176. [Google Scholar] [CrossRef]
- Leuenberger, M.; Parente, J.; Tonini, M.; Pereira, M.G.; Kanevski, M. Wildfire susceptibility mapping: Deterministic vs. stochastic approaches. Environ. Model. Softw. 2018, 101, 194–203. [Google Scholar] [CrossRef]
- Gralewicz, N.J.; Nelson, T.A.; Wulder, M.A. Factors influencing national scale wildfire susceptibility in Canada. For. Ecol. Manag. 2012, 265, 20–29. [Google Scholar] [CrossRef]
- Díaz-Delgado, R.; Lloret, F.; Pons, X. Spatial patterns of fire occurrence in Catalonia, NE, Spain. Landsc. Ecol. 2004, 19, 731–745. [Google Scholar] [CrossRef]
- Oliveira, S.; Oehler, F.; San-Miguel-Ayanz, J.; Camia, A.; Pereira, J.M.C. Modeling spatial patterns of fire occurrence in Mediterranean Europe using Multiple Regression and Random Forest. For. Ecol. Manag. 2012, 275, 117–129. [Google Scholar] [CrossRef]
- Fick, S.E.; Hijmans, R.J. WorldClim 2: New 1-km spatial resolution climate surfaces for global land areas. Int. J. Climatol. 2017, 37, 4302–4315. [Google Scholar] [CrossRef]
- Ventura, J.; Vasconcelos, M.J. O Fogo como Processo Físico-Químico e Ecológico. In Incêndios Florestais em Portugal—Caracterização, Impactes e Prevenção; Pereira, J.S., Pereira, J.M.C., Rego, F.C., Silva, J.M.N., Silva, T.P., Eds.; ISAPress: Lisboa, Portugal, 2006; pp. 93–113. [Google Scholar]
- Aldersley, A.; Murray, S.J.; Cornell, S.E. Global and regional analysis of climate and human drivers of wildfire. Sci. Total Environ. 2011, 409, 3472–3481. [Google Scholar] [CrossRef] [PubMed]
- Nunes, M.C.S.; Vasconcelos, M.J.; Pereira, J.M.C.; Dasgupta, N.; Alldredge, R.J.; Rego, F.C. Land Cover Type and Fire in Portugal: Do Fires Burn Land Cover Selectively? Landsc. Ecol. 2005, 20, 661–673. [Google Scholar] [CrossRef]
- Marques, S.; Borges, J.G.; Garcia-Gonzalo, J.; Moreira, F.; Carreiras, J.M.B.; Oliveira, M.M.; Cantarinha, A.; Botequim, B.; Pereira, J.M.C. Characterization of wildfires in Portugal. Eur. J. For. Res. 2011, 130, 775–784. [Google Scholar] [CrossRef]
- Moreira, F.; Vaz, P.; Catry, F.; Silva, J.S. Regional variations in wildfire susceptibility of land-cover types in Portugal: Implications for landscape management to minimize fire hazard. Int. J. Wildl. Fire 2009, 18, 563–574. [Google Scholar] [CrossRef]
- Caetano, M.; Igreja, C.; Marcelino, F. Especificações Técnicas da Carta de uso e Ocupação do solo de Portugal Continental para 1995, 2007, 2010 e 2015. Relatório Técnico; Direção-Geral do Território: Lisboa, Portugal, 2018.
- Curt, T.; Borgniet, L.; Bouillon, C. Wildfire frequency varies with the size and shape of fuel types in southeastern France: Implications for environmental management. J. Environ. Manag. 2013, 117, 150–161. [Google Scholar] [CrossRef]
- Pausas, J.G.; Ribeiro, E. The global fire-productivity relationship. Glob. Ecol. Biogeogr. 2013, 22, 728–736. [Google Scholar] [CrossRef]
- Calheiros, T.; Nunes, J.P.; Pereira, M.G. Recent evolution of spatial and temporal patterns of burnt areas and fire weather risk in the Iberian Peninsula. Agric. For. Meteorol. 2020, 287, 107923. [Google Scholar] [CrossRef]
- Trigo, R.M.; Sousa, P.M.; Pereira, M.G.; Rasilla, D.; Gouveia, C.M. Modelling wildfire activity in Iberia with different atmospheric circulation weather types. Int. J. Climatol. 2016, 36, 2761–2778. [Google Scholar] [CrossRef]
- Papagiannaki, K.; Giannaros, T.M.; Lykoudis, S.; Kotroni, V.; Lagouvardos, K. Weather-related thresholds for wildfire danger in a Mediterranean region: The case of Greece. Agric. For. Meteorol. 2020, 291, 108076. [Google Scholar] [CrossRef]
- 36. Everitt, B.S.; Landau, S.; Leese, M.; Stahl, D. Cluster Analysis, 5th ed.; John Wiley & Sons: Hoboken, NJ, USA, 2011. [Google Scholar]
- Maroco, J. Análise Estatística com Utilização do SPSS, 3rd ed.; Edições Sílabo: Lisboa, Portugal, 2007. [Google Scholar]
- Breiman, L.; Friedman, J.H.; Olshen, R.A.; Stone, C.J. Classification and Regression Trees; Chapman & Hall/CRC: Boca Raton, FL, USA, 1984. [Google Scholar]
- Kelly, M.; Meentemeyer, R.K. Landscape dynamics of the spread of sudden oak death. Photogramm. Eng. Remote Sens. 2002, 68, 1001–1009. [Google Scholar]
- Lozano, F.J.; Suárez-Seoane, S.; Kelly, M.; Luis, E. A multi-scale approach for modeling fire occurrence probability using satellite data and classification trees: A case study in a mountainous Mediterranean region. Remote Sens. Environ. 2008, 112, 708–719. [Google Scholar] [CrossRef]
- Jaafari, A.; Zenner, E.K.; Thai, B. Wildfire spatial pattern analysis in the Zagros Mountains, Iran: A comparative study of decision tree based classifiers. Ecol. Inform. 2018, 43, 200–211. [Google Scholar] [CrossRef]
- Amatulli, G.; Rodrigues, M.J.; Trombetti, M.; Lovreglio, R. Assessing long-term fire risk at local scale by means of decision tree technique. J. Geophys. Res. Biogeosci. 2006, 111, 1–15. [Google Scholar] [CrossRef]
- Fernandes, P.M.; Monteiro-Henriques, T.; Guiomar, N.; Loureiro, C.; Barros, A.M.G. Bottom-Up Variables Govern Large-Fire Size in Portugal. Ecosystems 2016, 19, 1362–1375. [Google Scholar] [CrossRef]
- Rodrigues, M.; De La Riva, J. An insight into machine-learning algorithms to model human-caused wildfire occurrence. Environ. Model. Softw. 2014, 57, 192–201. [Google Scholar] [CrossRef]
- Jain, P.; Coogan, S.C.P.; Subramanian, S.G.; Crowley, M.; Taylor, S.; Flannigan, M.D. A review of machine learning applications in wildfire science and management. Environ. Rev. 2020, 28, 478–505. [Google Scholar] [CrossRef]
- Steinberg, D. CART: Classification and Regression Trees. In The Top Ten Algorythms in Data Mining; Wu, X., Kumar, V., Eds.; CRC Press: Boca Raton, FL, USA, 2009; pp. 179–201. [Google Scholar]
- Pausas, J.G.; Fernández-Muñoz, S. Fire regime changes in the Western Mediterranean Basin: From fuel-limited to drought-driven fire regime. Clim. Change 2012, 110, 215–226. [Google Scholar] [CrossRef]
- Rogers, B.M.; Balch, J.K.; Goetz, S.J.; Lehmann, C.E.R.; Turetsky, M. Focus on changing fire regimes: Interactions with climate, ecosystems, and society. Environ. Res. Lett. 2020, 15, 030201. [Google Scholar] [CrossRef]
- Syphard, A.D.; Radeloff, V.C.; Keeley, J.E.; Hawbaker, T.J.; Clayton, M.K.; Stewart, S.I.; Hammer, R.B. Human influence on California fire regimes. Ecol. Appl. 2007, 17, 1388–1402. [Google Scholar] [CrossRef]
- Oliveira, S.; Moreira, F.; Boca, R.; San-Miguel-Ayanz, J.; Pereira, J.M.C. Assessment of fire selectivity in relation to land cover and topography: A comparison between Southern European countries. Int. J. Wildl. Fire 2014, 23, 620–630. [Google Scholar] [CrossRef]
- Meneses, B.M.; Reis, E.; Reis, R. Assessment of the recurrence interval of wildfires in mainland portugal and the identification of affected luc patterns. J. Maps 2018, 14, 282–292. [Google Scholar] [CrossRef]
- Moreira, F.; Viedma, O.; Arianoutsou, M.; Curt, T.; Koutsias, N.; Rigolot, E.; Barbati, A.; Corona, P.; Vaz, P.; Xanthopoulos, G.; et al. Landscape—wildfire interactions in southern Europe: Implications for landscape management. J. Environ. Manag. 2011, 92, 2389–2402. [Google Scholar] [CrossRef]
- Pereira, M.G.; Trigo, R.M.; Da Camara, C.C.; Pereira, J.M.C.; Leite, S.M. Synoptic patterns associated with large summer forest fires in Portugal. Agric. For. Meteorol. 2005, 129, 11–25. [Google Scholar] [CrossRef]
- Xystrakis, F.; Kallimanis, A.S.; Dimopoulos, P.; Halley, J.M.; Koutsias, N. Precipitation dominates fire occurrence in Greece (1900-2010): Its dual role in fuel build-up and dryness. Nat. Hazards Earth Syst. Sci. 2014, 14, 21–32. [Google Scholar] [CrossRef]
- Parente, J.; Pereira, M.G. Structural fire risk: The case of Portugal. Sci. Total Environ. 2016, 573, 883–893. [Google Scholar] [CrossRef]
- Xanthopoulos, G.; Calfapietra, C.; Fernandes, P. Fire hazard and flammability of european forest types. In Post-Fire Management and Restoration of Southern European Forests; Moreira, F., Arianoutsou, M., Corona, P., De Las Heras, J., Eds.; Springer: Berlin/Heidelberg, Germany, 2012; pp. 79–92. [Google Scholar]
- Ryu, S.R.; Chen, J.; Zheng, D.; Lacroix, J.J. Relating surface fire spread to landscape structure: An application of FARSITE in a managed forest landscape. Landsc. Urban Plan. 2007, 83, 275–283. [Google Scholar] [CrossRef]
- Moreira, F.; Catry, F.X.; Rego, F.; Bacao, F. Size-dependent pattern of wildfire ignitions in Portugal: When do ignitions turn into big fires? Landsc. Ecol. 2010, 25, 1405–1417. [Google Scholar] [CrossRef]
- Viegas, D.X. Modelação do comportamento do fogo. In Incêndios Florestais em Portugal—Caracterização, Impactes e Prevenção; Pereira, J.S., Pereira, J.M.C., Rego, F.C., Silva, J.M.N., da Silva, T.P., Eds.; ISAPress: Lisboa, Portugal, 2006; pp. 287–325. [Google Scholar]
- Viegas, D.X.; Reis, R.M.; Cruz, M.G.; Viegas, M.T. Calibração do sistema Canadiano de Perigo de Incêndio para aplicação em Portugal. Silva Lusit. 2004, 12, 77–93. [Google Scholar]
- Piñol, J.; Beven, K.; Viegas, D.X. Modelling the effect of fire-exclusion and prescribed fire on wildfire size in Mediterranean ecosystems. Ecol. Model. 2005, 183, 397–409. [Google Scholar] [CrossRef]
- San-Miguel-Ayanz, J.; Moreno, J.M.; Camia, A. Analysis of large fires in European Mediterranean landscapes: Lessons learned and perspectives. For. Ecol. Manag. 2013, 294, 11–22. [Google Scholar] [CrossRef]
- Moreira, F.; Ascoli, D.; Safford, H.; Adams, M.A.; Moreno, J.M.; Pereira, J.M.C.; Catry, F.X.; Armesto, J.; Bond, W.; González, M.E.; et al. Wildfire management in Mediterranean-type regions: Paradigm change needed. Environ. Res. Lett. 2020, 15, 011001. [Google Scholar] [CrossRef]
- Ruffault, J.; Curt, T.; Martin-Stpaul, N.K.; Moron, V.; Trigo, R.M. Extreme wildfire events are linked to global-change-type droughts in the northern Mediterranean. Nat. Hazards Earth Syst. Sci. 2018, 18, 847–856. [Google Scholar] [CrossRef]
- Turco, M.; Marcos-Matamoros, R.; Castro, X.; Canyameras, E.; Llasat, M.C. Seasonal prediction of climate-driven fire risk for decision-making and operational applications in a Mediterranean region. Sci. Total Environ. 2019, 676, 577–583. [Google Scholar] [CrossRef]
- Ruffault, J.; Curt, T.; Moron, V.; Trigo, R.M.; Mouillot, F.; Koutsias, N.; Pimont, F.; Martin-StPaul, N.; Barbero, R.; Dupuy, J.L.; et al. Increased likelihood of heat-induced large wildfires in the Mediterranean Basin. Sci. Rep. 2020, 10, 13790. [Google Scholar] [CrossRef]
- Mcevoy, D.J.; Hobbins, M.; Brown, T.J.; Vandermolen, K.; Wall, T.; Huntington, J.L.; Svoboda, M. Establishing Relationships between Drought Indices and Wildfire Danger Outputs: A Test Case for the California-Nevada Drought Early Warning System. Climate 2019, 7, 52. [Google Scholar] [CrossRef]
- Rodrigues, M.; Trigo, R.M.; Vega-García, C.; Cardil, A. Identifying large fire weather typologies in the Iberian Peninsula. Agric. For. Meteorol. 2020, 280, 107789. [Google Scholar] [CrossRef]
- Ruffault, J.; Moron, V.; Trigo, R.M.; Curt, T. Objective identification of multiple large fire climatologies: An application to a Mediterranean ecosystem. Environ. Res. Lett. 2016, 11, 075006. [Google Scholar] [CrossRef]








| Type | Variable Code | Variable | Temporal Extent | Original Spatial Resolution | Units |
|---|---|---|---|---|---|
| Topography | SLO80 | Slope percentile 80 | n.a. | 25 m | ° |
| Climate | RFAJ | Mean cumulative rainfall April–June | 1970–2000 | Approx. 1000 m | mm |
| TPJS | Mean monthly temperature July–September | °C | |||
| Biomass | NPP | Net primary productivity | 2000–2014 | 500 m | KgC/m2 |
| Land use/land cover | AGR | % parish area occupied by agriculture | 1990–2018 | Vector data Minimum mapped area 1 ha | % |
| OAK | % parish area occupied by holm-oak and cork-oak forests | ||||
| EUC | % parish area occupied by eucalyptus forests | ||||
| INV | % parish area occupied by forests of invasive species | 1995–2018 | |||
| CON | % parish area occupied by forests of coniferous species other than maritime or stone pine | 1990–2018 | |||
| BRD | % parish area occupied by forests of broadleaved species other than holm-oak, cork-oak, and eucalyptus | ||||
| SHR | % parish area occupied by brushland and spontaneous herbaceous species | ||||
| LULC patch fragmentation | FRAGF | Fragmentation of forest patches | 1995–2018 | Centroids/ha of forest |
| Cluster 1 | Cluster 2 | Cluster 3 | Cluster 4 | |||||
|---|---|---|---|---|---|---|---|---|
| No. of parishes | 450 | 401 | 86 | |||||
| Variable | Mean | SD | Mean | SD | Mean | SD | ||
| CPAB | 37.6 | 41.0 | 130.1 | 66.6 | 240.7 | 100.0 | ||
| AWWF | 0.4 | 0.3 | 1.18 | 0.56 | 3.33 | 0.96 | ||
| GCI | 94.3 | 2.7 | 84.6 | 5.6 | 74.6 | 6.2 | ||
| No. of parishes | 450 | 299 | 86 | 102 | ||||
| Variable | Mean | SD | Mean | SD | Mean | SD | Mean | SD |
| CPAB | 37.6 | 41.0 | 102.9 | 47.6 | 240.7 | 100.0 | 209.9 | 47.5 |
| AWWF | 0.4 | 0.3 | 1.3 | 0.6 | 3.3 | 1.0 | 0.9 | 0.4 |
| GCI | 94.3 | 2.7 | 83.4 | 5.6 | 74.8 | 6.2 | 87.9 | 3.8 |
| Observed | Predicted | % Correct | |||
|---|---|---|---|---|---|
| 1 | 2 | 3 | 4 | ||
| 1 | 369 | 70 | 1 | 10 | 82.0 |
| 2 | 58 | 209 | 17 | 15 | 69.9 |
| 3 | 0 | 22 | 61 | 3 | 70.9 |
| 4 | 17 | 42 | 4 | 39 | 38.2 |
| Final tree accuracy | 72.4 | ||||
| Cross-validated accuracy | 68.7 | ||||
Disclaimer/Publisher’s Note: The statements, opinions and data contained in all publications are solely those of the individual author(s) and contributor(s) and not of MDPI and/or the editor(s). MDPI and/or the editor(s) disclaim responsibility for any injury to people or property resulting from any ideas, methods, instructions or products referred to in the content. |
© 2023 by the authors. Licensee MDPI, Basel, Switzerland. This article is an open access article distributed under the terms and conditions of the Creative Commons Attribution (CC BY) license (https://creativecommons.org/licenses/by/4.0/).
Share and Cite
Bergonse, R.; Oliveira, S.; Zêzere, J.L.; Moreira, F.; Ribeiro, P.F.; Leal, M.; Santos, J.M.L. Differentiating Fire Regimes and Their Biophysical Drivers in Central Portugal. Fire 2023, 6, 112. https://doi.org/10.3390/fire6030112
Bergonse R, Oliveira S, Zêzere JL, Moreira F, Ribeiro PF, Leal M, Santos JML. Differentiating Fire Regimes and Their Biophysical Drivers in Central Portugal. Fire. 2023; 6(3):112. https://doi.org/10.3390/fire6030112
Chicago/Turabian StyleBergonse, Rafaello, Sandra Oliveira, José Luís Zêzere, Francisco Moreira, Paulo Flores Ribeiro, Miguel Leal, and José Manuel Lima Santos. 2023. "Differentiating Fire Regimes and Their Biophysical Drivers in Central Portugal" Fire 6, no. 3: 112. https://doi.org/10.3390/fire6030112
APA StyleBergonse, R., Oliveira, S., Zêzere, J. L., Moreira, F., Ribeiro, P. F., Leal, M., & Santos, J. M. L. (2023). Differentiating Fire Regimes and Their Biophysical Drivers in Central Portugal. Fire, 6(3), 112. https://doi.org/10.3390/fire6030112

