River Flows Are a Reliable Index of Forest Fire Risk in the Temperate Tasmanian Wilderness World Heritage Area, Australia
Abstract
1. Introduction
2. Materials and Methods
2.1. Soil Moisture Calibration
2.2. River Flows and Fire Risk Thresholds
3. Results
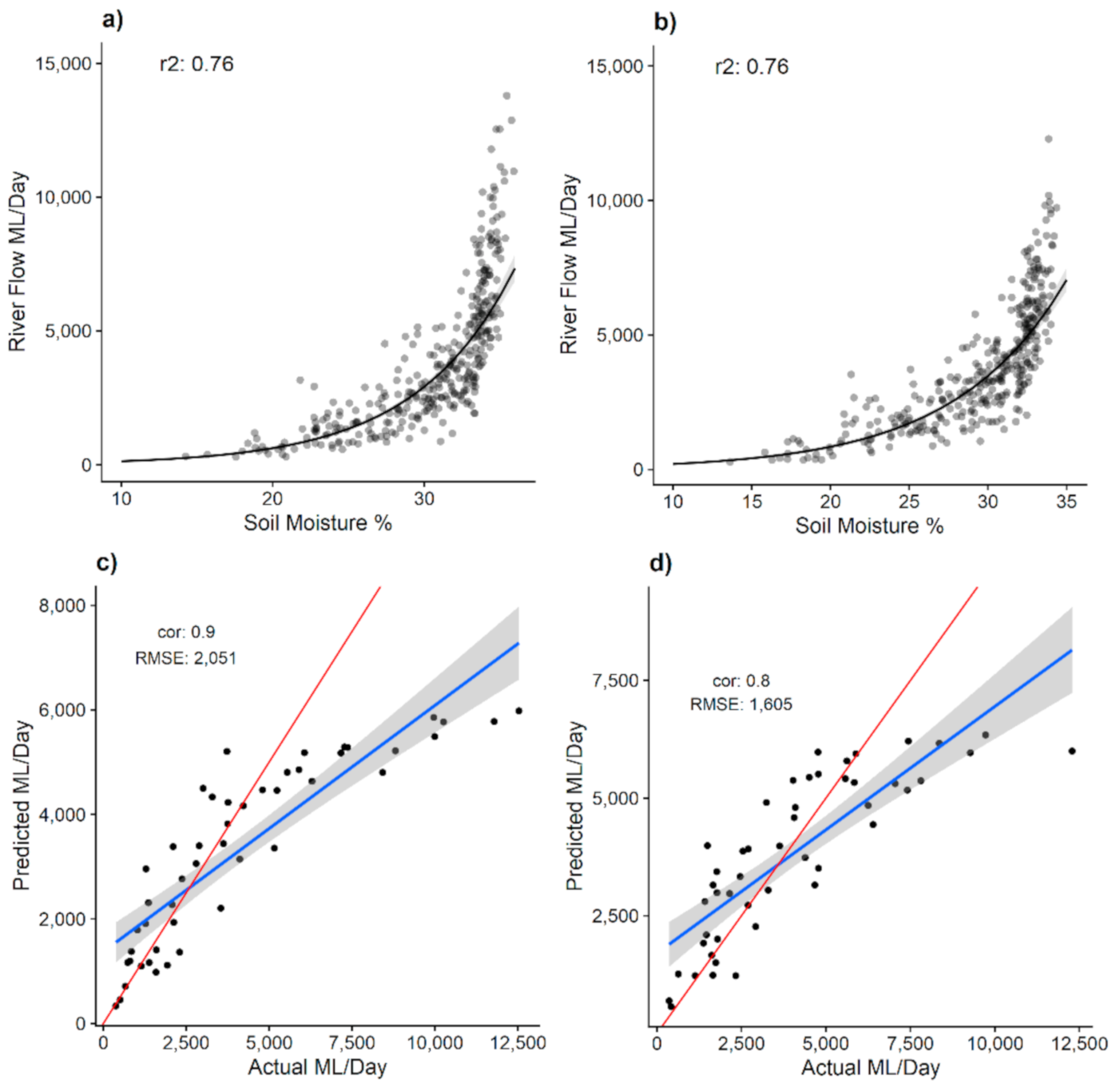
3.1. Soil Moisture Calibration
3.2. River Flow and Fire Risk Thresholds
4. Discussion
Author Contributions
Funding
Institutional Review Board Statement
Informed Consent Statement
Data Availability Statement
Acknowledgments
Conflicts of Interest
References
- Hardy, C.C. Wildland fire hazard and risk: Problems, definitions, and context. For. Ecol. Manag. 2005, 211, 73–82. [Google Scholar] [CrossRef]
- Nolan, R.H.; Boer, M.M.; Resco de Dios, V.; Caccamo, G.; Bradstock, R.A. Large-scale, dynamic transformations in fuel moisture drive wildfire activity across southeastern Australia. Geophys. Res. Lett. 2016, 43, 4229–4238. [Google Scholar] [CrossRef]
- Slijepcevic, A.; Anderson, W. Hourly variation in fine fuel moisture in eucalypt forests in Tasmania. For. Ecol. Manag. 2006, 234, S36. [Google Scholar] [CrossRef]
- Flannigan, M.D.; Wotton, B.M.; Marshall, G.A.; de Groot, W.J.; Johnston, J.; Jurko, N.; Cantin, A.S. Fuel moisture sensitivity to temperature and precipitation: Climate change implications. Clim. Chang. 2016, 134, 59–71. [Google Scholar] [CrossRef]
- Noble, I.; Gill, A.; Bary, G. McArthur’s fire-danger meters expressed as equations. Aust. J. Ecol. 1980, 5, 201–203. [Google Scholar] [CrossRef]
- Keetch, J.J.; Byram, G.M. A Drought Index for Forest Fire Control; US Department of Agriculture, Forest Service, Southeastern Forest Experiment Station: Asheville, NC, USA, 1968; Volume 38.
- Field, R.; Spessa, A.; Aziz, N.; Camia, A.; Cantin, A.; Carr, R.; De Groot, W.; Dowdy, A.; Flannigan, M.; Manomaiphiboon, K. Development of a global fire weather database. Nat. Hazards Earth Syst. Sci. 2015, 15, 1407–1423. [Google Scholar] [CrossRef]
- Marlon, J.R.; Bartlein, P.J.; Gavin, D.G.; Long, C.J.; Anderson, R.S.; Briles, C.E.; Brown, K.J.; Colombaroli, D.; Hallett, D.J.; Power, M.J. Long-term perspective on wildfires in the western USA. Proc. Natl. Acad. Sci. USA 2012, 109, E535–E543. [Google Scholar] [CrossRef]
- Westerling, A.L. Increasing western US forest wildfire activity: Sensitivity to changes in the timing of spring. Philos. Trans. R. Soc. B: Biol. Sci. 2016, 371, 20150178. [Google Scholar] [CrossRef]
- Department of Primary Industries Parks Water and Environment. Tasmanian Wilderness World Heritage Area Management Plan 2016; Department of Primary Industries, Parks, Water and Environment: Hobart, Australia, 2016.
- Department of Agriculture Water and the Environment. World Heritage Places—Tasmanian Wilderness. Available online: http://www.environment.gov.au/heritage/places/world/tasmanian-wilderness (accessed on 3 March 2021).
- Bureau of Meteorology. Mean Monthly, Seasonal and Annual Rainfall Data (Base Climatological Data Sets). Available online: http://www.bom.gov.au/jsp/ncc/climate_averages/rainfall/index.jsp#info (accessed on 3 March 2021).
- Bowman, D.M.; Perry, G.L. Soil or fire: What causes treeless sedgelands in Tasmanian wet forests? Plant Soil 2017, 420, 1–18. [Google Scholar] [CrossRef]
- Tng, D.; Williamson, G.; Jordan, G.; Bowman, D. Giant eucalypts-globally unique fire-adapted rain-forest trees? New Phytol. 2012, 196, 1001–1014. [Google Scholar] [CrossRef]
- Wood, S.W.; Murphy, B.P.; Bowman, D.M. Firescape ecology: How topography determines the contrasting distribution of fire and rain forest in the south-west of the Tasmanian Wilderness World Heritage Area. J. Biogeogr. 2011, 38, 1807–1820. [Google Scholar] [CrossRef]
- Press, A. Tasmanian Wilderness World Heritage Area Bushfire and Climate Change Research Project; Tasmanian Government: Hobart, Australia, 2016.
- Styger, J.; Kirkpatrick, J.B. Less than 50 millimetres of rainfall in the previous month predicts fire in Tasmanian rainforest. Pap. Proc. R. Soc. Tasman. 2015, 149, 1–5. [Google Scholar] [CrossRef]
- Prior, L.D.; French, B.J.; Storey, K.; Williamson, G.J.; Bowman, D.M. Soil moisture thresholds for combustion of organic soils in western Tasmania. Int. J. Wildland Fire 2020, 29, 637–647. [Google Scholar] [CrossRef]
- Marsden-Smedley, J.B.; Catchpole, W.R.; Pyrke, A. Fire modelling in Tasmanian buttongrass moorlands. IV. Sustaining versus non-sustaining fires. Int. J. Wildland Fire 2001, 10, 255–262. [Google Scholar] [CrossRef]
- Bureau of Meteorology. Water Data Online. Available online: http://www.bom.gov.au/waterdata/ (accessed on 3 March 2021).
- Department of Primary Industries Parks Water and Environment. The CFEV Assessment Framework Summary. Available online: https://dpipwe.tas.gov.au/water/water-monitoring-and-assessment/cfev-program/cfev-resources#TheCFEVTechnicalReport (accessed on 3 March 2021).
- Bureau of Meteorology. Atmospheric High-Resolution Regional Reanalysis for Australia. Available online: http://www.bom.gov.au/research/projects/reanalysis/ (accessed on 3 March 2021).
- Department of Primary Industries Parks Water and Environment. Fire History. Available online: https://www.thelist.tas.gov.au/app/content/data/geo-meta-data-record?detailRecordUID=b94d4388-995d-416a-9844-a39de2798bed (accessed on 3 March 2021).
- Department of Primary Industries Parks Water and Environment. TASVEG—The Digital Vegetation Map of Tasmania. Available online: https://dpipwe.tas.gov.au/conservation/development-planning-conservation-assessment/planning-tools/monitoring-and-mapping-tasmanias-vegetation-(tasveg)/tasveg-the-digital-vegetation-map-of-tasmania (accessed on 4 March 2021).
- Team, R.C. R: A Language and Environment for Statistical Computing. Available online: https://www.R-project.org/ (accessed on 4 March 2021).
- Pebesma, E. Simple features for R: Standardized support for spatial vector data. R J. 2018, 10, 439–446. [Google Scholar] [CrossRef]
- Lüdecke, D. Ggeffects: Tidy data frames of marginal effects from regression models. J. Open Source Softw. 2018, 3, 772. [Google Scholar] [CrossRef]
- Nicholls, N.; Lucas, C. Interannual variations of area burnt in Tasmanian bushfires: Relationships with climate and predictability. Int. J. Wildland Fire 2007, 16, 540–546. [Google Scholar] [CrossRef]
- Styger, J.; Marsden-Smedley, J.; Kirkpatrick, J. Changes in lightning fire incidence in the Tasmanian wilderness world heritage area, 1980–2016. Fire 2018, 1, 38. [Google Scholar] [CrossRef]
- Fox-Hughes, P. A fire danger climatology for Tasmania. Aust. Meteorol. Mag. 2008, 57, 109–120. [Google Scholar]
- Williamson, G.J.; Prior, L.D.; Jolly, W.M.; Cochrane, M.A.; Murphy, B.P.; Bowman, D.M. Measurement of inter-and intra-annual variability of landscape fire activity at a continental scale: The Australian case. Environ. Res. Lett. 2016, 11, 035003. [Google Scholar] [CrossRef]
- Tasmania, S.T. Planned Burns: What We Do. Available online: https://www.sttas.com.au/forest-operations-management/our-operations/planned-burns (accessed on 3 March 2021).
- Fox-Hughes, P.; Harris, R.; Lee, G.; Grose, M.; Bindoff, N. Future fire danger climatology for Tasmania, Australia, using a dynamically downscaled regional climate model. Int. J. Wildland Fire 2014, 23, 309–321. [Google Scholar] [CrossRef]
- Allen, K.; Nichols, S.; Evans, R.; Cook, E.; Allie, S.; Carson, G.; Ling, F.; Baker, P. Preliminary December–January inflow and streamflow reconstructions from tree rings for western T asmania, southeastern A ustralia. Water Resour. Res. 2015, 51, 5487–5503. [Google Scholar] [CrossRef]
- Nampak, H.; Love, P.; Fox-Hughes, P.; Watson, C.; Aryal, J.; Harris, R. Characterizing Spatial and Temporal Variability of Lightning Activity Associated with Wildfire over Tasmania, Australia. Fire 2021, 4, 10. [Google Scholar] [CrossRef]
- Bowman, D. When will the jungle burn? Nat. Clim. Chang. 2017, 7, 390–391. [Google Scholar] [CrossRef]
- Ponomarev, E.I.; Ponomareva, T.V.; Prokushkin, A.S. Intraseasonal Dynamics of River Discharge and Burned Forest Areas in Siberia. Water 2019, 11, 1146. [Google Scholar] [CrossRef]
- Watt, M.S.; Kirschbaum, M.U.; Moore, J.R.; Pearce, H.G.; Bulman, L.S.; Brockerhoff, E.G.; Melia, N. Assessment of multiple climate change effects on plantation forests in New Zealand. For. Int. J. For. Res. 2019, 92, 1–15. [Google Scholar] [CrossRef]
- Seidl, R.; Thom, D.; Kautz, M.; Martin-Benito, D.; Peltoniemi, M.; Vacchiano, G.; Wild, J.; Ascoli, D.; Petr, M.; Honkaniemi, J. Forest disturbances under climate change. Nat. Clim. Chang. 2017, 7, 395–402. [Google Scholar] [CrossRef] [PubMed]








Publisher’s Note: MDPI stays neutral with regard to jurisdictional claims in published maps and institutional affiliations. |
© 2021 by the authors. Licensee MDPI, Basel, Switzerland. This article is an open access article distributed under the terms and conditions of the Creative Commons Attribution (CC BY) license (https://creativecommons.org/licenses/by/4.0/).
Share and Cite
Bowman, D.M.J.S.; Williamson, G.J. River Flows Are a Reliable Index of Forest Fire Risk in the Temperate Tasmanian Wilderness World Heritage Area, Australia. Fire 2021, 4, 22. https://doi.org/10.3390/fire4020022
Bowman DMJS, Williamson GJ. River Flows Are a Reliable Index of Forest Fire Risk in the Temperate Tasmanian Wilderness World Heritage Area, Australia. Fire. 2021; 4(2):22. https://doi.org/10.3390/fire4020022
Chicago/Turabian StyleBowman, David M. J. S., and Grant J. Williamson. 2021. "River Flows Are a Reliable Index of Forest Fire Risk in the Temperate Tasmanian Wilderness World Heritage Area, Australia" Fire 4, no. 2: 22. https://doi.org/10.3390/fire4020022
APA StyleBowman, D. M. J. S., & Williamson, G. J. (2021). River Flows Are a Reliable Index of Forest Fire Risk in the Temperate Tasmanian Wilderness World Heritage Area, Australia. Fire, 4(2), 22. https://doi.org/10.3390/fire4020022

