Next Article in Journal
Energy Efficiency of Plasma Jets: Electrical Modeling Based on Experimental Results
Previous Article in Journal
Formation of Fine Structures in Incompressible Hall Magnetohydrodynamic Turbulence Simulations
 
 
Font Type:
Arial Georgia Verdana
Font Size:
Aa Aa Aa
Line Spacing:
Column Width:
Background:
Article

Polishing Ceramic Samples with Fast Argon Atoms at Different Angles of Their Incidence on the Sample Surface

by
Sergey N. Grigoriev
,
Alexander S. Metel
*,
Marina A. Volosova
,
Enver S. Mustafaev
and
Yury A. Melnik
Department of High-Efficiency Processing Technologies, Moscow State University of Technology “STANKIN”, Vadkovskiy per. 3A, 127055 Moscow, Russia
*
Author to whom correspondence should be addressed.
Plasma 2024, 7(4), 816-825; https://doi.org/10.3390/plasma7040043
Submission received: 19 September 2024 / Revised: 14 October 2024 / Accepted: 15 October 2024 / Published: 17 October 2024

Abstract

Mechanical polishing of a product makes it possible to decrease the roughness of its surface to Ra = 0.001 µm by rubbing it with a fine abrasive contained in a fabric or other soft material. This method takes too much time and is associated with abrasive particles and microscopic scratches remaining after the processing. As such, a non-contact treatment with plasma and accelerated particles has been chosen in the present work to study polishing of ceramic samples. The small angular divergence of fast argon atoms made it possible to obtain the dependence of the sample roughness on the angle α of the atom’s incidence on its surface. It was found that the roughness weakly depends on the angle α, if not exceeding the threshold value αo ~ 50°, and rapidly decreases with increasing α > αo. Polishing with fast argon atoms leads to a noticeable decrease in friction of ceramic samples.

1. Introduction

The quality of engineering products can be significantly improved due to reducing the roughness of their surface by polishing. Mechanical polishing involves removing material with abrasive grains applied to the workpiece by a movable support, usually a disk or sanding belt, and smoothing the surface by rubbing the surface with a fine abrasive, usually contained in a fabric or other soft material.
Mechanical polishing is relatively cheap and can ensure uniformity of the surface structure, but it also has a number of disadvantages, such as abrasive particles and microscopic scratches remaining on the surface layer of the material as a result of mechanical processing, the difficulty of processing bulk products, carryover of material during processing, and the difficulty of controlling this process.
To reduce the surface roughness of metal materials, electrolytic etching is used, which consists of using an electrolyte specific to each material and a direct or pulsed current, which makes it possible to control the etching rate and, accordingly, the thickness of the etched layer [1]. However, this method has disadvantages, such as the lack of universality of application (each metal requires a specific electrolyte component), the need to use expensive reagents, and the need to dispose of the aggressive products of the etching reaction. The latter circumstance is a major obstacle to the use of these methods in the development of new technologies and may pose a potential environmental hazard.
The metal surface can be polished using a laser [2,3]. Plasma is ignited in metal vapor above the polished surface by means of a laser beam and maintained in a continuous optical discharge. Changing the polishing mode is carried out by moving the center of the plasma relative to the surface being polished. The method is suitable for “rough” treatment with deep penetration and volumetric vaporization, as well as for “fine” polishing of the surface, and is remarkable due to its simplicity and high productivity. Its shortcomings are the local action of the beam and the need to protect the material from oxidation and evaporation of the surface material. Another serious problem is that when polishing a part, some of its sections block the access of the laser beam to the surface of other sections.
It was recently proposed to polish the surface of metal products with electron beams [4]. The authors used samples in the form of metal plates with dimensions of 15 × 30 × 5 mm. In the optimal mode for the VT6 titanium alloy, in which the maximum reduction in surface roughness was observed, the energy density per pulse was 45 J/cm2, and the pulse width was 200 μs at the pulse frequency of 0.3 Hz. Study of the sample surface showed that as a result of electron beam exposure, the roughness decreased from Ra = 11 μm to Ra = 1.1 μm. The porosity of the sample surface layer disappeared. However, the roughness decreased only to Ra > 1 μm, which is much higher than the Ra~0.04 μm of the highest 14 class of the surface cleanliness.
Recently, interest in polishing products with beams of accelerated ions and fast neutral atoms has increased [5]. In this case, the roughness is reduced due to sputtering the surface with the beams [6]. The sputtering rate of a sample is as follows:
v (m/s) = Y(j/e)(M/ρ),
where Y is the sputtering coefficient equal to the ratio of the number of atoms leaving the substrate to the number of ions bombarding its surface, j is the current density of ions on the substrate, e is the elementary charge, M is the mass of an atom of the substrate substance, and ρ is its density. The coefficient Y depends mainly on the type of ions, their energy and the substrate material.
For example, when sputtering a titanium substrate with ρ = 4.5 × 103 kg/m3 and M = 47.9 × 1.66 × 10−27 kg = 7.95 × 10−26 kg by argon ions with an energy of 600 eV (Y ≈ 0.6) and current density j = 10 A/m2, the sputtering rate is equal to v = 0.6 × (10/1.6 × 10−19)(7.95 × 10−26/4.51 × 103) = 0.66 × 10−9 m/s = 0.66 nm/s = 2.38 µm/h.
The sputtering coefficient Y grows with increasing mass of the ion M and its energy ε. However, at a certain energy εmax it reaches a maximum, and decreases with a further growth of ε. This is explained by the increase in the depth of the ion’s penetration into the material with the increasing ε. Despite the increase in the number of atoms knocked out by the ions from the crystal lattice, which is proportional to the energy ε, due to the increase in the length of their path to the substrate surface, the number of atoms capable of reaching the surface decreases.
It is well known that the sputtering coefficient depends not only on the energy of ions but also on the angle α of their incidence on the sample surface. It keeps a constant value when the angle α increases from 0 to α~60° and starts to grow with a further increase in the angle. It was shown in [7] that ion beam polishing is effective only at large angles of incidence (α = 78°–82°) of accelerated particles on the surface of the sample.
The smaller the nuclear charge and the mass of the ion, the smaller the energy εmax and the maximum value of the sputtering coefficient Ymax. However, if ions bombard the substrate at an angle to the surface of α > 60°, the sputtering coefficient increases noticeably. This is explained by the fact that in this case the depth of the ion penetration into the material and the length of the path to the surface of the atoms knocked out from the crystal lattice are reduced. As a result, at ε > εmax, the sputtering coefficient Y can exceed Ymax. For example, the sputtering coefficient of a molybdenum substrate by deuterium ions D+ with an energy of 100 keV reaches a maximum value Ymax when the angle of incidence of ions on its surface is α = 87°, which is more than 122 times higher than the sputtering coefficient at the normal incidence of these ions.
Sputtering coefficients (Y) strongly depend on the substrate material [8]. For example, when sputtering graphite by krypton ions with an energy of 600 eV, the sputtering coefficient is equal to Y = 0.18. It amounts to 0.53 for titanium, 0.64 for silicon, 1.11 for aluminum, 1.23 for iron, and 2.8 for copper, and reaches a maximum value of Y = 3.9 when sputtering silver. Sputtering coefficients of chemical compounds, for example, with oxygen, are usually lower than those of the starting substances. The sputtering coefficients of silicon and aluminum by argon ions with an energy of 1 keV exceed unity, and for silicon oxide (SiO2) and aluminum oxide (Al2O3) they are equal to 0.13 and 0.04, respectively.
Analysis of the above polishing methods shows that chemical and electrochemical etching can be used only for metal materials. The defective layer stripping from a sample surface with laser or electron beam cannot ensure a high enough surface finishing class. Mechanical polishing is capable of reaching very low roughness. However, this processing is quite expensive and time-consuming. As for polishing with fast argon atoms, this still requires experimental investigation, and this investigation is the goal of the present article.

2. Materials and Methods

Figure 1 presents an experimental setup for etching samples with fast argon atoms. It comprises a vacuum chamber and a 50 cm long rectangular housing connected to the chamber. The housing’s height is 15 cm, and its width is 20 cm. Both vacuum vessels communicate through a rectangular 80 mm high and 130 mm wide opening in the chamber wall. They are evacuated with a turbomolecular pump through a vacuum channel on the bottom of the housing. The working gas is supplied to the chamber and enters the housing through the opening between them.
The opening is covered with an accelerating grid, which consists of 15 parallel titanium plates with a thickness of 0.5 mm, 4.5 mm apart from each other. The height of the grid is 70 mm, the width is 120 mm, and its thickness—the distance between the front and rear ends of its plates—is 50 mm. Using ceramic isolators, the grid is rigidly fastened in the housing. An accelerating voltage power supply is connected between the chamber and the grid. The grid transparency amounts to η = 0.75. The chamber surface area is equal to S = 0.69 m2, the grid surface area is equal to Sg = 0.07 m2, and at the discharge current Id = 2 A the ion current density j = Id/(S + Sg) = 2/0.76 = 2.63 A/m2. At an accelerating voltage U = 5000 V and j = 2.63 A/m2, the grid sheath width amounts to d = 4.4 cm.
As the charge exchange length λc = 1/noσc of argon ions with energy of 5 keV at the gas pressure of 0.2 Pa amounts to 0.12 m and exceeds the grid sheath width by 3 times, we may suppose that all fast argon atoms arrive to the holder (Figure 1) with energies of e(U + Ud)~5.35 keV.
The opposite end of the housing is closed with a removable flange. Inside the housing is a substrate holder rotating at a speed of 60 rpm. The angle between the axes of the housing and the rotating rod of the substrate holder amounts to 80°. A central orifice in the removable flange makes it possible to mount a quartz window for observation of the substrate and the measuring of its temperature using an infrared pyrometer. A sliding shutter on the inner surface of the flange prevents the deposition of opaque films on the window. The central orifice can be also used to fasten the substrate holder on the housing axis. In the latter case, the incidence to the substrate surface of particles moving from the grid parallel to the housing axis amounts to zero.
There is an anode inside the chamber, and a discharge power supply is connected between them. When at the argon pressure of 0.1 Pa, the power supply is switched on, glow discharge is initiated, and the chamber is filled with the discharge plasma. At the discharge voltage Ud = 350 V, the discharge current Id = 2 A and the grid voltage U = 5350 V. The beam current Ib = IdSg/(Sg + Sc) = 0.092 Id = 0.184 A, where the grid surface area Sg = 0.07 m2 and the chamber surface area Sc = 0.69 m2.
Dividing the beam current Ib = 0.184 A by the grid surface area Sg = 0.07 m2, we obtain the flux of 5350-eV argon atoms per unit of treated area 2.63 A/m2.
Application to the grid of the accelerating voltage U results in the acceleration of ions from the plasma. At U = 5.35 kV, the width of the sheath between the plasma and the grid exceeds the 4.5 mm gaps between the grid plates by several times. Therefore, angular divergence of ions entering the gaps is low, and they can only slightly touch the plates.
Every touch of a plate causes it to emit an electron-neutralizing charge of the ion, and this turns into a fast neutral atom. The maximum angle between the housing axis and the trajectory of the fast atom leaving the grid is limited by the ratio of the gap width of 4.5 mm to the grid thickness of 50 mm, which is 0.09 or 5°. The angular divergence of the fast atom beam is ~2°, and this should be taken into account while assessing the dependence of the sputtering coefficient on the angle of the fast atoms’ incidence on the sample surface.

3. Results

3.1. Dependence of the Sample Sputtering on the Angle of Fast Atoms’ Incidence on Its Surface

In order to obtain the dependance of the sputtering coefficient for fast atoms striking flat samples (Figure 1) on the angle of their incidence on the sample surface, it is necessary to use at least ten samples, sputter them one after another at different angles, and measure the thickness of surface layers stripped from the samples. Obviously, such measurements would take too much time.
For this reason, the rotating holder of the flat samples was removed from the housing and a 20 mm in diameter ceramic cylinder was fastened perpendicular to the housing axis and parallel to the edges of the grid plates. After evacuating the chamber to ~0.001 Pa, argon was supplied to the chamber, and its pressure was set to 0.1 Pa using a gas supply regulator. Turning on the power supplies resulted in filling the chamber with gas discharge plasma and resulted in the acceleration of ions from the plasma into the grid gaps. As a result, the ceramic sample in the housing was subjected to processing by a homogeneous beam with a low angular divergence ~1°.
After processing for 1 h, the ceramic sample was removed from the housing and the roughness of its surface was measured with a HOMMEL TESTER T8000 high-precision profilometer manufactured by the company Hommelwerke GmbH (Mannheim, Germany). Line 1 in Figure 2 shows the azimuthal distribution of the roughness. It has a maximum value of Ra ≈ 0.12 µm on the surface facing the accelerating grid and is practically independent of the angle of incidence of fast atoms α within the range from 0 to ~50°. Starting from 60°, the roughness begins to decrease, and at the angle α = 80° it is an order of magnitude smaller than at α = 0°.
A second cylinder of the same size and material was mechanically polished and fastened in the housing. Line 2 in Figure 2 presents the azimuthal distribution of the roughness Ra~0.02 µm before etching the mechanically polished cylinder with fast argon atoms. After etching the second cylinder for 1 h, the roughness of its surface within the range from α = 0 to ~50° increased to Ra~0.04 µm (line 3 in Figure 2). Starting from 60°, the roughness values were close to those of the first cylinder (line 1). It should be stressed that line 1 relates to sample 1, and that lines 2 and 3 both relate to sample 2.

3.2. Sample Surface Polishing with Simultaneous Deposition of Its Material

Roughness refers to the microgeometry of a solid and determines its most important operational properties. First of all, it is the wear resistance from abrasion, chemical resistance, strength, and appearance. Depending on the operating conditions of the surface, the roughness parameter is assigned when designing machine parts; there is also a relationship between the maximum deviation of size and roughness. The initial roughness is a consequence of the technological processing of the material surface, for example, with abrasives. As a result of friction and wear, the parameters of the initial roughness usually change.
Figure 3 presents a schematic of a rough surface being processed by a beam of fast atoms with low angular divergence. The surface exhibits alternating protrusions and depressions. Generally, the roughness is a set of surface irregularities with relatively small steps on the base length, and it is measured in micrometers.
The diagram in Figure 3 shows that the surface of the depressions is in the shadow of the protrusions, and for this reason it is not sputtered by fast argon atoms. Sputtering the tops of protrusions results in lowering the line of protrusions and does not affect the line of depressions. When decreasing the angle α of fast atoms’ incidence on the sample surface, the shaded part of the surface diminishes to zero at a critical angle α = αo, and the polishing effect disappears. According to line 1 in Figure 2, for the first sample, the critical angle amounts to αo~50°.
Polishing reduces the distance between the line of protrusions and the line of depressions. The process can be accelerated when the sample material is deposited in its depressions simultaneously along with the sputtering of the protrusions.
To test this idea, two 50 mm-high flat targets were mounted on either side of the rotating sample holder (Figure 4). They were made of the same ceramic as the sample and were fastened facing the housing center. The fast argon atoms strike the targets and an appreciable part of sputtered target material is deposited on the sample.
The deposition occurs over the entire surface of the sample, both on the protrusions and in the depressions. Argon atoms with a large angle of incidence on the sample surface sputter the coatings applied to the tops of the protrusions. At the same time, the coatings at the bottom of the depressions are in the shadow of the protrusions and are deposited without hindrance. As a result, along with the lowering of the protrusions line, the depression line rises, and this reduces the polishing time.
To find out how the sputtering of target material and its deposition on the sample surface could change the chemical composition of the sample surface, we used a VEGA3 LMH scanning electron microscope (Tescan, Brno, Czech Republic). The elemental analysis of the sample material that was carried out with this equipment revealed no changes.
The transfer of target material to the sample surface could also change its mechanical properties. Therefore, the abrasion resistance of the samples was measured. A Calotest instrument produced by CSM Instruments (Alpnach, Switzerland) was used for investigation of their abrasion resistance. It turned out that polishing slightly improves the resistance.
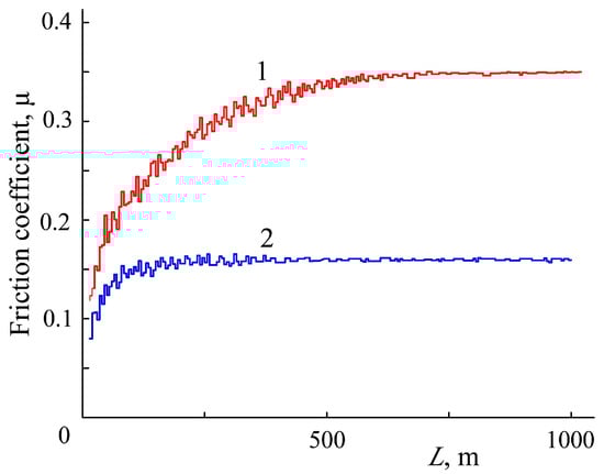
Usually, polishing metal parts reduces friction between them. To find out how fast argon atoms influence the friction of ceramic parts a test machine, a Tetra Basalt N2 precision tribometer (Falex Tribology NV, Rotselaar, Belgium) was used.
A 4 mm ball made of silicon carbide was used as the counter body. The tests of the samples were carried out at identical normal loads on the counter body (1.0 N), with a rotation speed of 3 RPS at a trajectory radius of 5 mm, i.e., a relative displacement speed of 9.4 cm/s and a sliding distance of 1000 m (1600 cycles). The influence of the surface roughness on the friction coefficient is demonstrated in Figure 5.
In both cases, the initial value of the friction coefficient is relatively low. However, during the test, it grows and reaches a stable value of 0.35 for the untreated sample with the roughness Ra = 0.15 µm (1) and reaches a stable value of 0.16 for the sample with the roughness Ra = 0.017 µm (2). This shows that the sample polishing appreciably decreases the friction coefficient.
The low friction coefficients at the beginning of the friction tests are due to the adsorption to the sample surface of the water acting as a lubricant, which disappears during the test. The reduction in the friction coefficient on the polished sample is due to a decrease in size and the number of the protrusions on its surface.
When sputtering a sample with fast argon atoms at an incidence angle of α = 0, the surface morphology can take the appearance of individual grains of the sample material. As an example, Figure 6 presents a SEM image of a sample made of pure polycrystalline α-Al2O3 ceramic after sputtering with fast argon atoms at zero angle of incidence. As a result of the sample sputtering, its surface roughness did not decrease, but on the contrary, it increased from Ra ~ 0.02 µm to Ra ~ 0.04 µm. Zero-angle sputtering reveals the surface layer structure, the same as with metallographic etching used to study the properties of metals at a microscopic level. The grains of the sample material appear to be roundish, and cracks can be seen between them.
Figure 7 presents a SEM image of a sample made of pure polycrystalline α-Al2O3 ceramic after sputtering with fast argon atoms at the angle of incidence α = 80°. As a result of the sample sputtering, the surfaces of the grains are flat and lie in the same plane.

4. Discussion

The above experimental results have proven the ability of fast argon atoms to polish ceramic samples. After polishing a sample made of pure polycrystalline α-Al2O3 ceramic using 5 keV argon atoms with an angle of incidence α = 80° to the sample surface, its roughness decreased from Ra = 0.15 µm to Ra = 0.017 µm. As a result, the friction coefficient of the sample surface decreased from 0.35 to 0.16.
The results show that the attainable roughness of the sample depends on the fast atoms’ angle of incidence α to the sample surface. After sputtering begins, the roughness decreases from Ra = 0.15 µm to a certain limit, for instance to Ra = 0.017 µm if α = 80°. When the angle of incidence is smaller, for example, it is α = 75°, and then the roughness decreases from Ra = 0.15 µm to some larger limit, for example, to Ra = 0.05 µm.
There exists a critical angle of incidence αo, at which the sample surface shaded by protrusions diminishes to zero, and the whole surface is sputtered homogeneously, and for this reason the polishing effect disappears.
The sputtering of ceramic samples can be carried out using a wide variety of ion sources available on the market and known from scientific publications. First of all, there are ion sources with a broad cross-section of the beam [9]. In these sources, the plasma emission of ions is produced in a gas discharge with a thermionic cathode. One of the sources generates a beam with diameter of 38 cm [10]. Another source generates a beam with a maximum current of 1 A and ion energy of 1 keV, its diameter amounting to 50 cm [11].
The common disadvantage of the above ion sources is their inability to work in chemically active gases. To solve this, problem hollow-cathode glow discharge plasma has been used [12]. On the basis of discharge, gaseous ion sources have been successfully developed [13]. Nevertheless, the interaction of charged particles with atoms of dielectric materials leads to some undesirable effects in the surface layers. Therefore, the use of fast neutral atoms is more preferable. The neutral beams have been successfully applied in micro- and nanoelectronics [14].
A source of fast atoms has been developed on the basis of a hollow cathode in [15]. The ions from the gas discharge plasma accelerated by a flat grid enter a vacuum chamber. Due to charge transfer collisions in the chamber, they turn into fast neutral atoms. Measurements of the angular divergence of the fast neutral atoms have shown that the angle can reach ~10°. It is obvious that such divergence of the beam does not allow us to obtain angular distribution of fast neutral atoms in a comparable range of ~10°.
As the measurement results are very sensitive to the angle of fast atoms’ incidence on the sample surface, a special setup for sample etching was developed, which ensures angular divergence of the beam not exceeding 1° (Figure 1). It allowed us to reveal the connection of the sample polishing with the morphology of the surface. The surface roughness decreases when the angles of incidence to the sample surface of fast argon atoms α exceed some threshold value αo depending on the size and shape of the material grains. The grains’ sputtering leads to a gradual decrease in their size and a change in their shape, thus increasing the threshold value αo.
The analysis carried out after polishing with simultaneous deposition of the same material in depressions revealed no changes in the chemical composition.
The transfer of the target material to the sample surface has not changed its mechanical properties. The measurement of the sample’s abrasion resistance using a Calotest instrument by CSM Instruments (Alpnach, Switzerland) showed that polishing improves the resistance.
One of the most significant results of polishing ceramic samples with fast argon atoms is an appreciable decrease in friction. Using a precision tribometer (Tetra Basalt N2 (Falex Tribology NV, Rotselaar, Belgium)), it was found that a decrease in roughness from Ra = 0.15 µm to Ra = 0.017 µm results in a decrease in the friction coefficient from 0.35 to 0.16.

5. Conclusions

  • Sputtering with fast argon atoms makes it possible to polish ceramic samples. The polishing efficiency depends on the angle α of fast atoms’ incidence on the sample surface.
  • At angles (α) not exceeding a certain critical value αo, which is determined by the surface morphology, sputtering does not lead to a polishing effect, and due to inhomogeneity of the surface grains, it can even cause an increase in the surface roughness.
  • At α > αo the sputtering leads to a noticeable decrease in roughness with increasing α; its achievable value depends on α and can be smaller by an order of magnitude than at α < αo.
  • Polishing ceramic samples with fast argon atoms leads to a noticeable decrease in friction.

Author Contributions

Conceptualization, A.S.M., M.A.V. and S.N.G.; methodology, A.S.M. and M.A.V.; software, E.S.M.; validation, A.S.M., M.A.V. and Y.A.M.; formal analysis, Y.A.M.; investigation, E.S.M. and Y.A.M.; resources, E.S.M. and Y.A.M.; data curation, M.A.V. and Y.A.M.; writing—original draft preparation, A.S.M. and M.A.V.; writing—review and editing, A.S.M. and S.N.G.; visualization, E.S.M.; supervision, A.S.M. and S.N.G.; project administration, M.A.V.; funding acquisition, A.S.M. All authors have read and agreed to the published version of the manuscript.

Funding

This research was funded by the Russian Science Foundation, grant no. 23-19-00517.

Institutional Review Board Statement

Not applicable.

Informed Consent Statement

Not applicable.

Data Availability Statement

The data presented in this study are available on request from the corresponding author.

Acknowledgments

The study was carried out with the equipment of the center of collective use of MSUT “STANKIN”.

Conflicts of Interest

The authors declare no conflicts of interest.

References

  1. Danilov, I.; Hackert-Oschätzchen, M.; Zinecker, M.; Meichsner, G.; Edelmann, J.; Schubert, A. Process Understanding of Plasma Electrolytic Polishing through Multiphysics Simulation and Inline Metrology. Micromachines 2019, 10, 214. [Google Scholar] [CrossRef] [PubMed]
  2. Obeidi, M.A.; McCarthy, E.; O’Connell, B.; Ul Ahad, I.; Brabazon, D. Laser Polishing of Additive Manufactured 316L Stainless Steel Synthesized by Selective Laser Melting. Materials 2019, 12, 991. [Google Scholar] [CrossRef] [PubMed]
  3. Schanz, J.; Hofele, M.; Hitzler, L.; Merkel, M.; Riegel, H. Laser Polishing of Additive Manufactured AlSi10Mg Parts with an Oscillating Laser Beam. Adv. Struct. Mater. 2016, 61, 159–169. [Google Scholar] [CrossRef]
  4. Koval, N.N.; Teresov, A.D.; Ivanov, Y.F.; Petrikova, E.A. Pulse Electron-Beam Metal Product Surface Polishing Method. RU Patent 2619543, 13 May 2016. [Google Scholar]
  5. Ieshkin, A.E.; Kushkina, K.D.; Kireev, D.S.; Ermakov, Y.A.; Chernysh, V.S. Polishing superhard material surfaces with gas-cluster ion beams. Tech. Phys. Lett. 2017, 43, 95–97. [Google Scholar] [CrossRef]
  6. Kaminsky, M. Atomic and Ionic Impact Phenomena on Metal Surfaces; Springer: Berlin, Germany, 1965; p. 402. Available online: https://scholar.google.com/scholar_lookup?title=Atomic+and+Ionic+Impact+Phenomena+on+Metal+Surfaces&author=Kaminsky,+M.&publication_year=1965 (accessed on 10 October 2024).
  7. Grigoriev, S.N.; Metel, A.S.; Melnik, Y.A.; Mustafaev, E.S.; Volosova, M.A. Combined processing of optical parts through surface polishing with a beam of fast argon atoms and deposition of nanostructured protective films by magnetron target sputtering. In Nanoengineering: Fabrication, Properties, Optics, Thin Films, and Devices XVIII, Proceedings of the SPIE Nanoscience + Engineering, San Diego, CA, USA, 1 August 2021; SPIE: Bellingham, WA, USA, 2021; Volume 11802. [Google Scholar] [CrossRef]
  8. Behrisch, R. Physical Sputtering of Single-Element Solids. In Sputtering by Particle Bombardment; Behrisch, R., Ed.; Springer: New York, NY, USA, 1981; p. 284. [Google Scholar] [CrossRef]
  9. Kaufman, H.R. Broad-beam ion sources. Rev. Sci. Instrum. 1990, 61, 230–235. [Google Scholar] [CrossRef]
  10. Kaufman, H.R.; Hughes, W.E.; Robinson, R.S.; Tompson, G.R. Thirty-eight-centimeter ion source. Nucl. Instrum. Meth. Phys. Res. B 1989, 37–38, 98–102. [Google Scholar] [CrossRef]
  11. Hayes, A.V.; Kanarov, V.; Vidinsky, B. Fifty centimeter ion beam source. Rev. Sci. Instrum. 1996, 67, 1638–1641. [Google Scholar] [CrossRef]
  12. Oks, E.M.; Vizir, A.V.; Yushkov, G.Y. Low-pressure hollow-cathode glow discharge plasma for broad beam gaseous ion source. Rev. Sci. Instrum. 1998, 69, 853–855. [Google Scholar] [CrossRef]
  13. Vizir, A.V.; Yushkov, G.Y.; Oks, E.M. Further development of a gaseous ion source based on low-pressure hollow cathode glow. Rev. Sci. Instrum. 2000, 71, 728–730. [Google Scholar] [CrossRef]
  14. Kudrya, V.P.; Maishev, Y.P. Applications of the Technology of Fast Neutral Particle Beams in Micro- and Nanoelectronics. Russ. Microelectron. 2018, 47, 332–343. [Google Scholar] [CrossRef]
  15. Grigoriev, S.N.; Melnik, Y.A.; Metel, A.S.; Panin, V.V. Broad beam source of fast atoms produced as a result of charge exchange collisions of ions accelerated between two plasmas. Instrum. Exp. Tech. 2009, 52, 602–608. [Google Scholar] [CrossRef]
Figure 1. Schematic of a setup for sample etching.
Figure 1. Schematic of a setup for sample etching.
Plasma 07 00043 g001
Figure 2. Dependence of ceramic cylinder roughness on the angle α of fast atoms’ incidence on its surface.
Figure 2. Dependence of ceramic cylinder roughness on the angle α of fast atoms’ incidence on its surface.
Plasma 07 00043 g002
Figure 3. Schematic of a rough surface being processed by a beam of fast atoms.
Figure 3. Schematic of a rough surface being processed by a beam of fast atoms.
Plasma 07 00043 g003
Figure 4. The sample polishing with simultaneous coating deposition (top view).
Figure 4. The sample polishing with simultaneous coating deposition (top view).
Plasma 07 00043 g004
Figure 5. Dependence of the friction coefficient µ on the sliding distance L for an untreated sample with a roughness of Ra = 0.15 µm (1) and a sample with Ra = 0.017 µm after polishing by fast argon atoms with the angle of incidence α = 80° (2).
Figure 5. Dependence of the friction coefficient µ on the sliding distance L for an untreated sample with a roughness of Ra = 0.15 µm (1) and a sample with Ra = 0.017 µm after polishing by fast argon atoms with the angle of incidence α = 80° (2).
Plasma 07 00043 g005
Figure 6. SEM image of a polycrystalline α-Al2O3 sample after treatment by fast argon atoms with a zero angle of incidence on the sample surface.
Figure 6. SEM image of a polycrystalline α-Al2O3 sample after treatment by fast argon atoms with a zero angle of incidence on the sample surface.
Plasma 07 00043 g006
Figure 7. SEM image of a polycrystalline α-Al2O3 sample after treatment by fast argon atoms with the angle of incidence α = 80° on the sample surface.
Figure 7. SEM image of a polycrystalline α-Al2O3 sample after treatment by fast argon atoms with the angle of incidence α = 80° on the sample surface.
Plasma 07 00043 g007
Disclaimer/Publisher’s Note: The statements, opinions and data contained in all publications are solely those of the individual author(s) and contributor(s) and not of MDPI and/or the editor(s). MDPI and/or the editor(s) disclaim responsibility for any injury to people or property resulting from any ideas, methods, instructions or products referred to in the content.

Share and Cite

MDPI and ACS Style

Grigoriev, S.N.; Metel, A.S.; Volosova, M.A.; Mustafaev, E.S.; Melnik, Y.A. Polishing Ceramic Samples with Fast Argon Atoms at Different Angles of Their Incidence on the Sample Surface. Plasma 2024, 7, 816-825. https://doi.org/10.3390/plasma7040043

AMA Style

Grigoriev SN, Metel AS, Volosova MA, Mustafaev ES, Melnik YA. Polishing Ceramic Samples with Fast Argon Atoms at Different Angles of Their Incidence on the Sample Surface. Plasma. 2024; 7(4):816-825. https://doi.org/10.3390/plasma7040043

Chicago/Turabian Style

Grigoriev, Sergey N., Alexander S. Metel, Marina A. Volosova, Enver S. Mustafaev, and Yury A. Melnik. 2024. "Polishing Ceramic Samples with Fast Argon Atoms at Different Angles of Their Incidence on the Sample Surface" Plasma 7, no. 4: 816-825. https://doi.org/10.3390/plasma7040043

APA Style

Grigoriev, S. N., Metel, A. S., Volosova, M. A., Mustafaev, E. S., & Melnik, Y. A. (2024). Polishing Ceramic Samples with Fast Argon Atoms at Different Angles of Their Incidence on the Sample Surface. Plasma, 7(4), 816-825. https://doi.org/10.3390/plasma7040043

Article Metrics

Back to TopTop