Next Article in Journal
A Boltzmann Electron Drift Diffusion Model for Atmospheric Pressure Non-Thermal Plasma Simulations
Next Article in Special Issue
Physical Processes That Occur in Self-Organized Tokamak Plasma
Previous Article in Journal / Special Issue
Tailoring Black TiO2 Thin Films: Insights from Hollow Cathode Hydrogen Plasma Treatment Duration
 
 
Font Type:
Arial Georgia Verdana
Font Size:
Aa Aa Aa
Line Spacing:
Column Width:
Background:
Article

Radiation Limit for the Energy Gain of the p–11B Reaction

by
Alexei Yu. Chirkov
* and
Kirill D. Kazakov
Thermal Physics Department, Bauman Moscow State Technical University, 105005 Moscow, Russia
*
Author to whom correspondence should be addressed.
Plasma 2023, 6(3), 379-392; https://doi.org/10.3390/plasma6030026
Submission received: 18 April 2023 / Revised: 28 June 2023 / Accepted: 29 June 2023 / Published: 30 June 2023
(This article belongs to the Special Issue Feature Papers in Plasma Sciences 2023)

Abstract

The feasibility of positive energy yield in systems with the p–11B reaction is considered here by considering refined (optimistic) data on the reaction rate. The analysis was carried out within the traditional framework for magnetic confinement systems, but without taking into account a particular type of plasma configuration. The energy balance was considered both for the ions and electrons. The balance of particles includes all species as well as the products of fusion (alpha particles). Calculations have shown that accounting for the content of thermalized reaction products (alpha particles) leads to an increase in radiation losses and a decrease in gain to Q < 1. In the steady-state scenario, the energy gain Q~5–10 can be obtained in p–11B plasma, if only the fast (high-energy) population of fusion alpha particles is considered. For pulsed modes, the gain value is proportional to the content of alpha particles, and it is limited by the complete burn of one of the fuel components (boron), so it does not exceed unity. In the analysis we did not rely on any assumptions about the theoretically predicted mechanisms for increasing the cross section and the reaction rate, and only radiation losses (primarily bremsstrahlung) dramatically affect the gain Q. Thus, the regimes found can be considered as limiting in the framework of the classical concepts of processes in hot fusion plasma.

1. Introduction

The aneutronic reaction p–11B is attractive with the potential possibility of realization of a clean energy source based on thermonuclear fusion and therefore there is a high interest in finding possible concepts for its practical use for the production of electricity, other forms of energy, non-energy applications, and in the study of states of matter. Such studies have a rather long history [1,2,3,4,5,6,7,8,9,10,11,12,13,14,15,16,17,18,19,20,21,22,23,24,25,26,27,28,29].
The rate of the p–11B reaction in plasma is relatively low even at very high temperatures T > 100 keV, and from power balance studies, it became clear that at such high temperatures, bremsstrahlung losses are practically equal to the energy released or greater [1,2,3,13,18,28]. In addition, for this reason, it is impossible to consider systems with a strong magnetic field in the plasma, since under such conditions the radiation losses will be even greater due to synchrotron radiation.
A noticeable yield of p–11B fusion alpha particles was realized in experiments on the initiation of a reaction in the laser produced plasma [8]. In more recent works the alpha particle yield has been increased by many orders of magnitude going from 105 to more than 1010 alpha particles per laser shot [19,20,24,25]. The yield of alpha particles was detected in recent experiments in oscillating plasma with electrostatic confinement [22]. Additionally of note were experiments with p–11B reaction in magnetically confinement plasma [30].
In [18] the search for possible regimes of p–11B fusion is associated, in particular, with new data on the cross section of this reaction and the corresponding reaction rate [31]. In [31], it was shown that the reaction cross section is approximately 20% higher than the results presented in [32], which have recently been widely used. However, there are still large uncertainties in the measurements of the p–11B fusion cross section. These uncertainties have stimulated new, and still ongoing, work on measurements of the cross section [29].
The present study was carried out within the traditional framework for magnetic confinement systems, but without taking into account a particular type of plasma configuration. An analysis of the energy balance for the plasma with the reaction p–11B is of interest, considering the refined data on the reaction rate and accurate approximation for bremsstrahlung losses. The main aim of the present work was to find the conditions corresponding to the maximum efficiency characterized by fusion gain:
Q = Wfus/Win,
where Wfus is the fusion energy, Win is the energy input for heating and maintaining the plasma parameters (both Wfus and Win are related to a certain time period).
It is noteworthy that for nuclear physics the reaction p–11B is of essential interest, especially its mechanism [33,34,35,36,37]. The main channel can be represented as
p + 11B → 34He + 8.68 MeV.
There are also other reaction channels, but their contribution is small [33,34], therefore, from the point of view of thermonuclear fusion, we are not interested in them. Formally, transformation (2) proceeds in two stages:
p + 11B → 8Be* + 4He,
8Be* → 4He + 4He,
where the energy of an alpha particle in reaction (3) should be Eα1~4 MeV, the energy of each alpha particle in reaction (4) should be Eα2~2.3 MeV.
Since the decay of an excited nucleus 8Be* occurs in a very short time (~ 10−16 s), then steps (3) and (4) should not be considered as independent. For this reason, in experiments, the spectrum of alpha particles has a maximum in the energy range of 3.5–5 MeV and a wide range at energies < 3.5 MeV [36]. Figure 1 shows the reaction scheme used for the calculations [35,36]. Figure 2 shows the calculated spectrum [35], which corresponds to the spectra obtained experimentally [37].
The energy spectrum of alpha particles is important for the energy balance of thermonuclear plasma since the fraction of energy transferred from alpha particles to the ion and electron components of the plasma depends on the energy of the alpha particle. A favorable regime can be realized if the alpha particles transfer almost all their energy to the ions. In this case, a high temperature of the ions is maintained, which is necessary for a high reaction rate. At the same time, the electron temperature is minimal, and, consequently, the radiation losses are minimal.
Even a slight increase in the reaction rate can essentially affect the improvement of the energy balance considered here. The “new” data on the p–11B reaction cross section presented in [31] show higher values in the energy range of >500 keV compared to the “old” data [32]. In particular, at the incident proton energy Ep = 520 keV the “new” cross section is about 12% higher than the “old” one. The reaction rate is characterized by the fusion reactivity parameter < σ v > , i.e., the product of the reaction cross section and the relative velocity of the colliding particles, averaged over their distribution functions. Figure 3 shows a comparison of “new” and “old” data on the reactivity parameter for the case of Maxwellian velocity distributions of reacting ions with temperature Ti.
Note, in addition to the main reaction channel (2) the following reactions can occur in parallel:
p + 11B → 12C + γ + 16.0 MeV,
p + 11B → 11C + n − 2.76 MeV.
At relatively low energies, the cross sections of reactions (5) and (6) are much lower than the cross section for the main reaction (2). If the incident proton energy increases to Ep~4 MeV, the cross sections of reactions (2) and (6) become approximately equal in value. The reaction rates and product yields are determined by the reactivity parameter < σ v > , so it is the ratio of the reactivity parameters that determines the share of the yield realized in the corresponding reactions. Using the data [38], one can estimate that in the most important ion temperature range Ti = 200–500 keV, the ratios of the reactivity parameters of reactions (5) and (6) to the reactivity parameter of reaction (2) are ~10−4 and <3·10−3, respectively.
High-energy alpha particles produced in reaction (2) can interact with 11B nuclei:
4He + 11B → 14C + p + 0.783 MeV,
4He + 11B → 14N + n + 0.157 MeV.
The cross sections of these secondary reactions become approximately equal to the cross section of the main reaction (2) at energies of the incident alpha particle Eα~3 MeV. At Ti~300 keV, the ratios of the reactivity parameters of reactions (7) and (8) to the reactivity parameter of reaction (2) are ~5·10−4 and ~2·10−2, respectively. In the case of a significant accumulation of alpha particles in the plasma, the yield of reaction products (8) is noticeable.
Note that in the presence of an admixture of the 10B isotope in the fuel, in addition to the indicated parallel and secondary reactions, reactions with its participation can occur in the plasma, but we do not consider such reactions here. Taking into account both the reaction rates and the energy released in each of the reactions (2), (5)–(8), neutrons and radioactive products account for less than 1% of the energy yield. Therefore, the p–11B fuel cycle is usually called aneutronic, although some insignificant level of radioactivity is not excluded.
The first estimates of p–11B reactor parameters were made for inertial fusion systems. However, the required parameters turned out to be extremely hard both for systems with laser-driven targets [4] and for inertial-electrostatic confinement systems [5]. This situation remains typical even today, both for classical inertial fusion and for magneto-inertial systems. The physics of laser-plasma interactions [14,15] was used to analyze the possibilities of applying the reaction in inertial and magneto-inertial fusion schemes, including generation of pulses of an ultra-strong magnetic field by laser pulses [16]. We also note the idea of fusion in a system with oscillating fields in the interaction of positive boron ions with negative hydrogen ions [26].
Recently, the possibilities of systems with a plasma focus have been actively studied in application to p–11B fusion [10,11,12]. The physics of the processes in the plasma focus [39,40] just makes it possible to provide such conditions when radiation losses do not lead to dramatic consequences, but, on the contrary, contribute to strong plasma compression in the focus (the so-called radiative collapse mode). In this case, of course, the question is how compression is limited by the development of constriction instability.
For preliminary estimates of plasma density n and confinement time τ, one can consider the value of the Lawson parameter ~6·1021 m−3s required for p–11B fusion [41]. The relatively high Lawson parameter shows that a very long confinement time and high plasma density are required. For example, considering the magnetic confinement of plasma with a density n~1021 m−3, one can find the required value of the magnetic field of ~ 10 T and higher. The corresponding confinement time will then be τ~10 s. The presence of a strong magnetic field in the plasma leads to very high losses due to synchrotron radiation. From this it followed that the fusion process must be organized in such a way as to increase the reaction rate, for example, due to the oncoming motion of components (protons and boron nuclei) with a higher relative velocity. Such concepts with beam-plasma fusion have been proposed in the projects of the CBFR (Colliding Beam Fusion Reactor) [6] and the ACT (Asymmetrical Centrifugal Trap) [9]. However, from the point of view of all processes included in the energy balance of such a non-equilibrium plasma, and especially taking into account relaxation [42], there are many questions on the feasibility of such approaches.
Note that there is a fundamental possibility of increasing the reaction rate when using spin polarized nuclei [43,44]. The possibility of applying this effect requires further research. Potentially, the cross section (and the rate) of p–11B reaction can be increased by a factor of 1.6 compared to non-polarized nuclei.
The formation of an increased population of high-energy protons due to elastic nuclear interactions with fusion alpha particles was considered in [21,45]. In this case, the reaction rate should increase, but the influence of this effect should be considered correctly [21,46].
In our analysis, the energy balance was considered for both ion and electron components, as well as the balance of particles of all species, including fusion products (alpha particles). The content of products was estimated from the balance of their production in the reaction and the intensity of losses with a typical confinement time τ. The accumulation of products contaminates the plasma and leads to an increase in radiation losses due to impurities. In stationary plasma, the product content is so high that the gain is Q < 1. Probably, for pulsed regimes this problem is not like that for the steady-state scenario, but only under such conditions where the ion component is heated quickly. One can consider non-stationary regimes in which the pulse time τ0 is less than the characteristic particle loss (confinement) time τ. In this case, essential accumulation of products can be avoided, and the plasma will remain relatively clean during the entire pulse.
Note, we did not rely on any assumptions about the efficiency of the theoretically predicted mechanisms to increase the cross section and the reaction rate. The considered modes are justified only by classical balance relations.

2. Methods

The balance of energy and particles in plasma is considered under the following simplifications. The intensity of particle losses, as well as energy losses associated with diffusion and heat conduction, are described by the characteristic confinement time τ. The plasma is considered spatially homogeneous. In this case, we do not associate the shape of the plasma with any particular geometry or any particular system. The equations describing the balance of fuel ions (protons and 11B nuclei) are as follows:
d N i d t = N i τ x B N p n p < σ v > + S i ,
where Ni is the number of particles of a given type (i = p, 11B), ni = Ni/V is the density (concentration) of particles, V is the plasma volume, x B = N B / N p is the relative content of boron ions, Si is the intensity an external source of particles (optional, if it is required to maintain their specified content).
The number of alpha particles is found from the relation below:
d N α d t = N α τ + 3 x B N p n p < σ v > .
The number of electrons is determined from the quasi-neutrality condition below:
N e = i , α Z i N i ,
where Zi is the charge of the ion, the summation is carried out over all types of ions, i.e., protons, borons, and alpha particles.
The energy balance equations for fuel ions (i = p, 11B) and electrons are considered in the following form:
1 V d d t 3 2 n i k B T i V = α i P f u s + P e x t P i e 3 2 n i k B T i τ ,
1 V d d t 3 2 n e k B T e V = α e P f u s + P i e P b 3 2 n e k B T e τ .
Here kB is the Boltzmann constant; αi and αe are the fractions of the energy of charged products transferred to ions and electrons, respectively; Pfus is the power released in fusion reactions; Pext is the external heating power (optional); Pie is the power transferred from ions to electrons due to collisions; Pb is the bremsstrahlung power.
Fusion power is as follows:
P f u s = x B n p 2 < σ v > E f u s ,
where Efus = 8.68 MeV is the total energy of alpha particles, i.e., the fusion energy released in the reaction.
The power transferred from ions of each kind i to electrons in collisions is as follows:
P i e = 3 2 n i k B ( T i T e ) τ i e ,
where τie is the ion-electron collision time for ions of the considered type.
The collision frequency νie = τie−1 decreases (τie increases) with increasing electron temperature, and according to Equation (15), the difference between the ion and electron temperatures is greater for higher plasma temperatures. In a thermonuclear plasma with a temperature Ti~300 keV, the difference between the ion and electron temperatures can reach ~100 keV. It is known that relativistic effects become noticeable in the process of electron–ion energy exchange at electron temperatures Te > 100 keV [47]. In particular, according to [2], considering the relativism of electrons, in the range Te = 100–200 keV, the collision frequency νie = τie−1 is 9–13% higher than the classical non-relativistic values. This effect was taken into account when calculating (15).
The values αi and αe included in the energy balance Equations (12) and (13) and the contribution of fast particles to the reaction rate are calculated on the basis of the velocity distribution function. In the distribution of alpha particles, one can conditionally distinguish between “thermal” and “fast” populations. The thermal population is characterized by a distribution close to the Maxwellian and energies of the order of kBTi. The energy of fast alpha particles E has a value in the range kBTi << E < Eα, where Eα is the energy of the alpha particle birth. The total number of alpha particles is determined by Equation (10). To estimate the number of fast alpha particles, one can use approximate expressions for the distribution function of fast particles [48] for the case when the characteristic Coulomb slow-down time τs is large compared to the confinement time, i.e., τs >> τ. For a group of particles produced with a velocity v α 0 = 2 E α / m α (mα is the mass of an alpha particle), such a velocity distribution function in the region of superthermal energies has the form [48] below:
f α ( v ) N ˙ α τ s 4 π ( v 3 + v c 3 ) ,
where N ˙ α = 3 x B N p n p < σ v > is the number of alpha particles produced per unit time as a result of the reaction; τs is the slow-down time; v c is the critical velocity (velocity at which slow-down on electrons is equal to slow-down on ions).
The corresponding number of fast alpha particles is as follows:
N α 1 3 N ˙ α τ s ln E α / E c 3 / 2 + 1 ,
where E c = m α v c 2 / 2 is the critical energy.
The fraction of energy transferred by an alpha particle to electrons is as below [49]:
α e E c E α 0 E α / E c x 3 / 2 1 + x 3 / 2 d x .
The velocity distribution function is represented by Equation (16) corresponding to the isotropic plasma (limiting case in a certain sense). Such an approximation can be used in the case when the features of the plasma configuration are not considered. We emphasize that (16) describes only the high-energy population of alpha particles at E > ˜ E c . Outside this energy range, the relaxing alpha particles form a thermal population with a temperature close to the fuel ion temperature. The critical energy depends on the electron temperature. At Te~150 keV, the critical energy is Ec~1 MeV; therefore, when analyzing the influence of fast alpha particles, we do not consider particles with lower energies. Since Equations (17) and (18) are based on the velocity distribution function (16), by using these expressions approximate estimates can be obtained. The energy spectrum of the produced alpha particles (Figure 2) depends on the energy, so some averaging of (17) and (18) over the energy is necessary. For accurate calculations, it is necessary to have an exact expression for the spectrum or its high-precision fit, which cannot be extracted with high accuracy from published experimental data. It also makes no sense to carry out quantum mechanical calculations due to the approximate nature of Equations (16)–(18). Therefore, we use a rather rough algebraic approximation, in which we take into account the features of two energy ranges of the spectrum of born alpha particles with only one value of the characteristic energy for each range. For the high energy range (>3.5 MeV), we take the following parameters: characteristic energy E1 = 4.5 MeV, weight factor g1 = 0.33. For the range of relatively low energies (1–3.5 MeV), we take the following: E2 = 2.09 MeV, g2 = 0.67. The effect of spectral features outside the indicated ranges is not very important, since they account for about 11% of the born alpha particles [35]. Note that such choice qualitatively reflects the features of the spectrum and corresponds to the total energy of the alpha particles. The averaging operation in this case has the simplest form: φ ( E α ) k = 1 , 2 g k φ ( E k ) , where φ(Eα) means the averaged energy dependence. Note that alpha particles produced with energies > 3.5 MeV make the largest contribution to the total content of fast particles. They also transfer a noticeable proportion of their initial energy to electrons. Alpha particles, born with lower energies, give almost all of their energy to plasma ions. The estimates made showed that, on average, the fraction of alpha particle energy transferred to electrons is αe~0.05.
Bremsstrahlung occurs when electrons collide with ions and electrons. Such radiation is not absorbed by the plasma of thermonuclear parameters and is not reflected from the reactor walls surrounding the plasma. Therefore, just like neutrons, this is an inevitable channel of energy loss from plasma. Considering the content of the reaction products confined in the plasma, bremsstrahlung can exceed the heating of the plasma by the products of the p–11B reaction. Therefore, the energy loss due to bremsstrahlung must be calculated with the highest possible accuracy. The results of numerical calculations of bremsstrahlung in electron–ion and electron–electron interactions and rigorous analysis of the approximating formulas for the bremsstrahlung power are analyzed in detail in [50] for a wide range of electron temperatures (from low to ultra-relativistic values). In this work, we use the method given in [50] for calculating bremsstrahlung losses. The structure of the formula for bremsstrahlung power is as follows:
P b = C b n e 2 ( Z e f f 2 φ i ( T e ) + φ e ( T e ) ) ,
where Cb is some constant, Z e f f 2 = i Z i 2 n i / n e is the effective square of the ion charge, φ i ( T e ) and φ e ( T e ) are functions of the electron temperature that take into account electron–ion and electron–electron bremsstrahlung, respectively.
In a non-stationary mode with a working pulse duration of τ0, the gain Q is determined directly by Formula (1), where
W f u s = 0 τ 0 P f u s V d t ,
W i n = 3 2 n i 0 k B T i 0 + 3 2 n e 0 k B T e 0 V 0 + 0 τ 0 P e x t V d t ,
the symbol “0” marks the initial parameters, i.e., the starting plasma parameters.
In stationary mode, d ( ) / d t = 0 , i.e., the left parts of Equations (9), (10), (12), and (13) are equal to zero. Energy losses must be compensated by heating by fusion the alpha particles as well as heating from an external source. In accordance with (12), (13), the absorbed power of external heating is as follows:
P e x t = P b + 3 2 n i k B T i + 3 2 n e k B T e τ P f u s ,
and the gain is then the following:
Q = P f u s P e x t = 1 P b P f u s + 3 2 ( n i / n p ) k B T i + 3 2 ( n e / n p ) k B T e n p τ ( P f u s / n p 2 ) 1 .
It can be seen from (14) and (19) that in a plasma with a certain composition of components, the ratio P b / P f u s depends only on the temperatures Ti and Te, while the value ( P f u s / n p 2 ) depends only on Ti. Thus, Equation (23) connects the following quantities: Q, Ti, Te, and the product npτ. But the temperatures Ti and Te are not independent since they are interconnected by the energy exchange between the ion and electron components.
As we already noted, the accumulation of reaction products in the plasma is a problem for p–11B fusion. From Equation (10) it is easy to obtain an estimate of the content of products in the stationary mode as below:
N α = 3 x B N p n p < σ v > τ ,
x α = N α S / N p = 3 x B < σ v > n p τ ,
where for the stationary regime the number of protons and boron nuclei, as well as their density, are assumed to be constant.
The content of products can be relatively small, but their presence in plasma leads to dramatic changes in the value of Q.
From Equation (23) it can be seen that in the stationary mode, the following conditions correspond to the highest gain: (i) as long as possible confinement time; (ii) minimal radiation losses, i.e., pure plasma, practically free of fusion products and other impurities. For a stationary scenario, these conditions cannot be met simultaneously. Nevertheless, approaching these ideal conditions allows one to estimate the theoretical limit for the gain. Equation (23) shows that if
P f u s P b ,
then a self-sustaining reaction (without external heating, Q → ∞) is possible.
High gain Q imposes a slightly softer requirement, namely P f u s P b . In any case, it follows from these conditions that the content of fusion products (alpha particles) in the plasma must be minimal, otherwise bremsstrahlung losses will be unacceptably high. We can say that the gain is restricted by the radiation limit.
Let us consider non-stationary (pulsed) regimes. When the pulse duration τ0 << τ, the relative content of alpha particles is limited in growth by the value below:
x α = N α / N p = 3 x B n p < σ v > τ 0 .
At the same time, according to (20) and (21), at constant temperature and density
Q = W f u s W i n = x B n p 2 < σ v > E f u s τ 0 3 2 n i k B T i + 3 2 n e k B T e .
Using (27) we obtain the following:
Q = 2 9 x α 1 + x B + ( 1 + 5 x B ) T e T i E f u s k B T i .
As can be seen from the resulting expression, power gain is higher, if the content of products (alpha particles) is higher. However, at the same time radiation losses cannot exceed a certain value. This leads to a restriction on xα and, respectively, on Q.
Let us consider an approach to estimating the maximum achievable Q for a pulsed regime. This value corresponds to the conditions that one of the fuel components (in this case it is boron-11) burns out completely. In this case, the released fusion energy is proportional to the fusion energy, and the supplied energy corresponds to the characteristic temperature. These considerations lead to the following expression for the limiting gain:
Q = 2 3 x B 1 + x B + ( 1 + 5 x B ) T e T i E f u s k B T i .
To estimate this value, we take Ti~300 keV, Te~150 keV, xB~0.2. Then we find that, according to Equation (30), the maximum gain will be Q~1. The reason for such a low value of Q is the very large requirement to heat the fuel in order to achieve the necessary thermonuclear temperatures. In the next section, we consider the limiting parameters of proton-boron plasma with a stationary fuel composition.

3. Results

Note that the purpose of our analysis is to find a “window of parameters” in which one can expect high gain, at least under somewhat idealized conditions. The calculations showed that the results are highly sensitive to small variations in the parameters of the model. In particular, an increase in the reaction rate by ~10% makes it possible to find conditions with a maximum gain not with Q~1, but with Q~10. As we noted above, the values of the cross section obtained in [31] are slightly higher than the values in [32], which up to that time looked the most optimistic. Therefore, we provide a comparison for two cases: (i) the reaction rate corresponding to the “old” data [32], and (ii) the reaction rate corresponding to the “new” data [18,31].
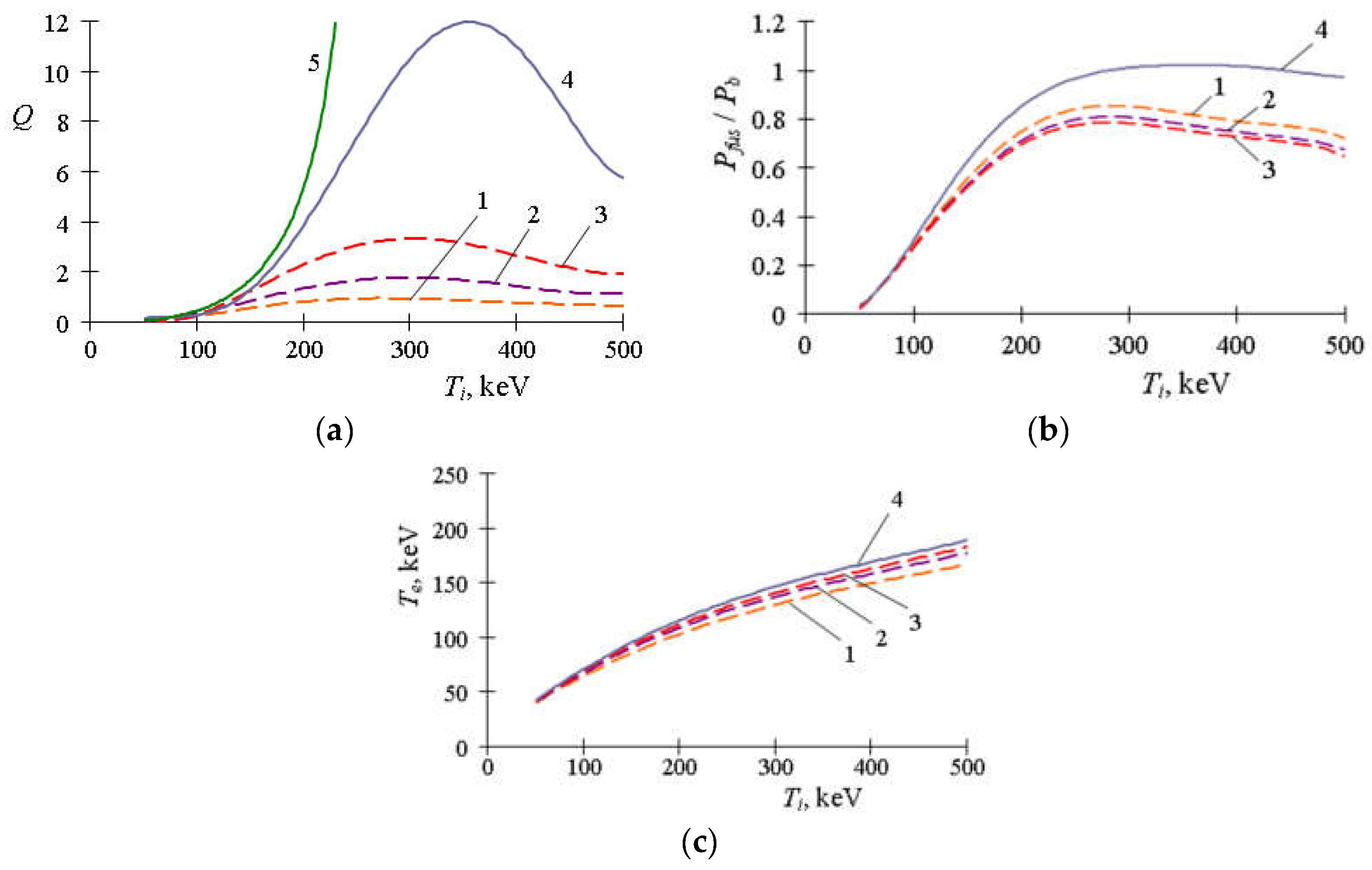
In the first series of calculations, we considered clean plasma, i.e., the content of alpha particles was not taken into account. This approach is similar to the assumption used in [18], and our results are also close to the results of that work. In the calculations, we were guided by the value of the Lawson parameter ~6·1021 m−3s estimated in [41]. Figure 4 shows the gain Q and the ratio of the fusion power to the bremsstrahlung loss power Pfus/Pb as functions of the ion temperature. The electron temperature determined from the balance Equations (12) and (13) for the steady-state regime is also shown. As one can see, the use of “new” data for the reaction rate led to the changing in the theoretical limit of the value of Pfus/Pb upward from ~0.8 to >1, and accordingly the opening of the “ignition window”.
Note that balance Equations (12) and (13) retain the similarity in the parameter npτ, where np is the density (concentration) of protons. Therefore, the results presented in Figure 4 and below are characterized not by the value of the required confinement time τ, but by the complex double product parameter npτ. The fuel composition (value xB) for optimal conditions is somewhat different when using the “old” and “new” reaction rates. Figure 4 shows the data for boron content xB, which characterizes the maximum gain.
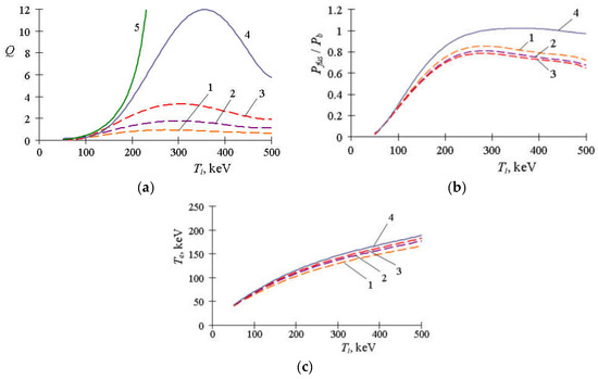
In the second series of calculations, we assumed that the confinement time of alpha particles is determined by a finite value τ, so this time should not be too short or too long. The calculation results are shown in Figure 5. As the analysis showed, the limiting gain does not exceed unity. The content of alpha particles xα in these calculations was determined by Equation (25). If the confinement time τ is too short, the content of alpha particles is relatively small, but the plasma losses are large. Modes with Pfus/Pb > 1 are possible, but at the same time Q is low due to plasma losses. With a long confinement time τ, the content of alpha particles is high and, accordingly, the losses due to bremsstrahlung are high. Fast alpha particle content xα is somehow lower in comparison with the value given by Equation (25).
If the accumulation of alpha particles is completely neglected, the most optimistic regimes correspond to an infinitely long confinement, i.e., τ → ∞ (for fuel ions and electrons). Within the framework of this assumption, one can analyze the influence of the content of alpha particles in the plasma, considering this value as a given parameter. Figure 6 shows the gain and ratio Pfus/Pb versus the given alpha particle content.
It probably makes no sense to consider the complete removal of alpha particles within the framework of the thermal scheme, since it is hardly possible to implement such regimes. Therefore, consider an idealized scenario when high-energy alpha particles transfer their energy to ions (protons and borons) and plasma electrons, slow down to thermal energies, and then they are removed from the plasma. The number of alpha particles in the high-energy (superthermal) range depends on the intensity of the reaction and the temperature of the electrons. In this case, the total number of alpha particles corresponds only to such a high-energy population. Within the framework of the described idealized scheme, we can consider a hypothetical case when the confinement time for fuel ions and electrons is τ → ∞, but the confinement time for thermalized alpha particles is τ → 0. For such conditions, the content of fast alpha particles x α = N α / N p = n α / n p (here Nα and n α are the number of fast particles and their density, respectively) is shown in Figure 7.
As can be seen in Figure 7, the content of fast alpha particles is about 2.5 times lower than the content, at which Q~10 can be expected. Therefore, further searches for optimistic regimes can be apparently associated with the study of methods for forced removing of thermalized alpha particles from the plasma core (a kind of “pumping out”). The physical principles of such “pumping out” have been theoretically developed [51,52], but have not yet been tested in experiments.

4. Discussion and Conclusions

The use of both updated (“new”) cross section and reaction rate showed the possibility of finding optimistic regimes for p–11B fusion. In particular, a parameter window is possible in which the ratio of fusion power to bremsstrahlung power is Pfus/Pb > 1. However, the existence of such a window turned out to be very sensitive to the features of the model and its characteristic parameters. Unfortunately, within the framework of the classical concept of plasma with Coulomb collisions, gain of Q > 5 can be obtained only if the thermalized alpha particles (the reaction products) are removed from the plasma.
At the present time, the development of schemes with the removal of alpha particles is the most realistic way towards the implementation of p–11B fusion energy. Non-equilibrium and non-stationary systems, of course, should also be considered in order to understand their physical features and the real possibilities for improving the energy balance compared to the classical case.

Author Contributions

Conceptualization, A.Y.C. and K.D.K.; methodology, A.Y.C.; software, K.D.K.; validation, A.Y.C. and K.D.K.; formal analysis, A.Y.C.; investigation, K.D.K.; data curation, A.Y.C.; writing—original draft preparation, A.Y.C.; writing—review and editing, A.Y.C.; visualization, K.D.K.; supervision, A.Y.C. All authors have read and agreed to the published version of the manuscript.

Funding

This research received no external funding.

Institutional Review Board Statement

Not applicable.

Data Availability Statement

Information on the details of the presented data and additional data (in the presence of them) can be obtained from the corresponding author upon request by e-mail.

Conflicts of Interest

The authors declare no conflict of interest.

References

  1. Moreau, D.C. Potentiality of the Proton-Boron Fuel for Controlled Thermonuclear Fusion. Nucl. Fusion 1977, 17, 13–20. [Google Scholar] [CrossRef]
  2. Kukushkin, A.B.; Kogan, V.I. Relativistic boron-hydrogen plasma as a fusion fuel. Sov. J. Plasma Phys. 1979, 5, 1264–1270. (In Russian) [Google Scholar]
  3. McNally, J.R. Physics of Fusion Fuel Cycles. Nucl. Technol.—Fusion 1982, 2, 9–28. [Google Scholar] [CrossRef]
  4. Miley, G.H.; Hora, H.; Cicchitelli, L.; Kasotakis, G.V.; Stening, R.J. An Advanced Fuel Laser Fusion and Volume Compression of p-11B Laser-Driven Targets. Fusion Technol. 1991, 19, 43–51. [Google Scholar] [CrossRef]
  5. Rider, T.H. A General Critique of Inertial-Electrostatic Confinement Fusion Systems. Phys. Plasmas 1995, 2, 1853–1872. [Google Scholar] [CrossRef]
  6. Rostoker, N.; Binderbauer, M.W.; Monkhorst, H.J. Colliding Beam Fusion Reactor. Science 1997, 278, 1419–1422. [Google Scholar] [CrossRef]
  7. Nevins, W.M. A Review of Confinement Requirements for Advanced Fuels. J. Fusion Energy 1998, 17, 25–32. [Google Scholar] [CrossRef]
  8. Belyaev, V.S.; Matafonov, A.P.; Vinogradov, V.I.; Krainov, V.P.; Lisitsa, V.S.; Roussetski, A.S.; Ignatyev, G.N.; Andrianov, V.P. Observation of Neutronless Fusion Reactions in Picosecond Laser Plasmas. Phys. Rev. E 2005, 72, 026406. [Google Scholar] [CrossRef]
  9. Volosov, V.I. Aneutronic Fusion on the Base of Asymmetrical Centrifugal Trap. Nucl. Fusion 2006, 46, 820–828. [Google Scholar] [CrossRef]
  10. Lerner, E.J.; Krupakar Murali, S.; Haboub, A. Theory and Experimental Program for p-B11 Fusion with the Dense Plasma Focus. J. Fusion Energy 2011, 30, 367–376. [Google Scholar] [CrossRef]
  11. Abolhasani, S.; Habibi, M.; Amrollahi, R. Analytical Study of Quantum Magnetic and Ion Viscous Effects on p11B Fusion in Plasma Focus Devices. J. Fusion Energy 2013, 32, 189–195. [Google Scholar] [CrossRef]
  12. Di Vita, A. On Some Necessary Conditions for p-11B Ignition in the Hot Spots of a Plasma Focus. Eur. Phys. J. D 2013, 67, 191. [Google Scholar] [CrossRef]
  13. Chirkov, A.Y. Energy efficiency of an alternative fusion systems with magnetic plasma confinement. Nucl. Phys. Eng. Yad. Fiz. i Inzhiniring 2013, 4, 1050–1059. (In Russian) [Google Scholar] [CrossRef]
  14. Picciotto, A.; Margarone, D.; Velyhan, A.; Bellutti, P.; Krasa, J.; Szydlowsky, A.; Bertuccio, G.; Shi, Y.; Mangione, A.; Prokupek, J.; et al. Boron-Proton Nuclear-Fusion Enhancement Induced in Boron-Doped Silicon Targets by Low-Contrast Pulsed Laser. Phys. Rev. X 2014, 4, 031030. [Google Scholar] [CrossRef]
  15. Gus’kov, S.Y.; Korneev, F.A. Neutronless Nuclear Reaction at Inertial Confinement of the Magnetized Plasma of Laser-Accelerated Protons and Boron Nuclei. JETP Lett. 2016, 104, 1–5. [Google Scholar] [CrossRef]
  16. Hora, H.; Eliezer, S.; Nissim, N.; Lalousis, P. Non-Thermal Laser Driven Plasma-Blocks for Proton Boron Avalanche Fusion as Direct Drive Option. Matter Radiat. Extrem. 2017, 2, 177–189. [Google Scholar] [CrossRef]
  17. Belloni, F.; Margarone, D.; Picciotto, A.; Schillaci, F.; Giuffrida, L. On the Enhancement of p–11B Fusion Reaction Rate in Laser-Driven Plasma by α → p Collisional Energy Transfer. Phys. Plasmas 2018, 25, 020701. [Google Scholar] [CrossRef]
  18. Putvinski, S.V.; Ryutov, D.D.; Yushmanov, P.N. Fusion Reactivity of the pB11 Plasma Revisited. Nucl. Fusion 2019, 59, 076018. [Google Scholar] [CrossRef]
  19. Margarone, D.; Morace, A.; Bonvalet, J.; Abe, Y.; Kantarelou, V.; Raffestin, D.; Giuffrida, L.; Nicolai, P.; Tosca, M.; Picciotto, A.; et al. Generation of α-Particle Beams With a Multi-KJ, Peta-Watt Class Laser System. Front. Phys. 2020, 8, 343. [Google Scholar] [CrossRef]
  20. Giuffrida, L.; Belloni, F.; Margarone, D.; Petringa, G.; Milluzzo, G.; Scuderi, V.; Velyhan, A.; Rosinski, M.; Picciotto, A.; Kucharik, M.; et al. High-Current Stream of Energetic α Particles from Laser-Driven Proton-Boron Fusion. Phys. Rev. E 2020, 101, 013204. [Google Scholar] [CrossRef]
  21. Belloni, F. On a Fusion Chain Reaction via Suprathermal Ions in High-Density H–11B Plasma. Plasma Phys. Control Fusion 2021, 63, 055020. [Google Scholar] [CrossRef]
  22. Kurilenkov, Y.K.; Oginov, A.V.; Tarakanov, V.P.; Gus’kov, S.Y.; Samoylov, I.S. Proton-Boron Fusion in a Compact Scheme of Plasma Oscillatory Confinement. Phys. Rev. E 2021, 103, 043208. [Google Scholar] [CrossRef] [PubMed]
  23. Shmatov, M.L. Analysis of the p-11B Fusion Scenario with Compensation of the Transfer of Kinetic Energy of Protons and Alpha Particles to the Gas Medium by the Electric Field. Laser Part. Beams 2022, 2022, 7473118. [Google Scholar] [CrossRef]
  24. Bonvalet, J.; Nicolaï, P.; Raffestin, D.; D’humieres, E.; Batani, D.; Tikhonchuk, V.; Kantarelou, V.; Giuffrida, L.; Tosca, M.; Korn, G.; et al. Energetic α-Particle Sources Produced through Proton-Boron Reactions by High-Energy High-Intensity Laser Beams. Phys. Rev. E 2021, 103, 053202. [Google Scholar] [CrossRef]
  25. Margarone, D.; Bonvalet, J.; Giuffrida, L.; Morace, A.; Kantarelou, V.; Tosca, M.; Raffestin, D.; Nicolai, P.; Picciotto, A.; Abe, Y.; et al. In-Target Proton–Boron Nuclear Fusion Using a PW-Class Laser. Appl. Sci. 2022, 12, 1444. [Google Scholar] [CrossRef]
  26. Wong, A.Y.; Shih, C.-C. Enhancement of Nuclear Fusion in Plasma Oscillation Systems. Plasma 2022, 5, 176–183. [Google Scholar] [CrossRef]
  27. Cai, J.; Xie, H.; Li, Y.; Tuszewski, M.; Zhou, H.; Chen, P. A Study of the Requirements of p-11B Fusion Reactor by Tokamak System Code. Fusion Sci. Technol. 2022, 78, 149–163. [Google Scholar] [CrossRef]
  28. Kolmes, E.J.; Ochs, I.E.; Fisch, N.J. Wave-Supported Hybrid Fast-Thermal p-11B Fusion. Phys. Plasmas 2022, 29, 110701. [Google Scholar] [CrossRef]
  29. 2nd International Workshop on Proton-Boron Fusion, Rome, Italy, 5–8 September 2022. Available online: https://agenda.infn.it/event/30291/timetable/ (accessed on 10 June 2023).
  30. Magee, R.M.; Ogawa, K.; Tajima, T.; Allfrey, I.; Gota, H.; McCarroll, P.; Ohdachi, S.; Isobe, M.; Kamio, S.; Klumper, V.; et al. First Measurements of p11B Fusion in a Magnetically Confined Plasma. Nat. Commun. 2023, 14, 955. [Google Scholar] [CrossRef]
  31. Sikora, M.H.; Weller, H.R. A New Evaluation of the 11B(p,α)αα Reaction Rates. J. Fusion Energy 2016, 35, 538–543. [Google Scholar] [CrossRef]
  32. Nevins, W.M.; Swain, R. The Thermonuclear Fusion Rate Coefficient for p-11B Reactions. Nucl. Fusion 2000, 40, 865–872. [Google Scholar] [CrossRef]
  33. Cavaignac, J.F.; Longequeue, N.; Honda, T. Direct Reaction Mechanism in the 11B(p, α) Reaction. Nucl. Phys. A 1971, 167, 207–215. [Google Scholar] [CrossRef]
  34. Yamashita, Y.; Kudo, Y. Reaction Mechanism of 11B(p, α)8Be Reaction at Astrophysically Relevant Energies. Nucl. Phys. A 1995, 589, 460–474. [Google Scholar] [CrossRef]
  35. Dmitriev, V.F. α-Particle Spectrum in the Reaction p + 11B → α + 8Be* → 3α. Phys. Atom. Nuclei 2009, 72, 1165–1167. [Google Scholar] [CrossRef]
  36. Stave, S.; Ahmed, M.W.; France, R.H.; Henshaw, S.S.; Müller, B.; Perdue, B.A.; Prior, R.M.; Spraker, M.C.; Weller, H.R. Understanding the 11B(p,α)αα Reaction at the 0.675 MeV Resonance. Phys. Lett. B 2011, 696, 26–29. [Google Scholar] [CrossRef]
  37. Spraker, M.C.; Ahmed, M.W.; Blackston, M.A.; Brown, N.; France, R.H.; Henshaw, S.S.; Perdue, B.A.; Prior, R.M.; Seo, P.-N.; Stave, S.; et al. The 11B(p,α)8Be → α + α and the 11B(α,α)11B Reactions at Energies Below 5.4 MeV. J. Fusion Energy 2012, 31, 357–367. [Google Scholar] [CrossRef]
  38. Feldbacher, R. Nuclear Reaction Cross Sections and Reactivity Parameter; IAEA: Vienna, Austria, 1987. [Google Scholar]
  39. Auluck, S.; Kubes, P.; Paduch, M.; Sadowski, M.J.; Krauz, V.I.; Lee, S.; Soto, L.; Scholz, M.; Miklaszewski, R.; Schmidt, H.; et al. Update on the Scientific Status of the Plasma Focus. Plasma 2021, 4, 450–669. [Google Scholar] [CrossRef]
  40. Akel, M.; AL-Hawat, S.; Ahmad, M.; Ballul, Y.; Shaaban, S. Features of Pinch Plasma, Electron, and Ion Beams That Originated in the AECS PF-1 Plasma Focus Device. Plasma 2022, 5, 184–195. [Google Scholar] [CrossRef]
  41. Wurzel, S.E.; Hsu, S.C. Progress toward Fusion Energy Breakeven and Gain as Measured against the Lawson Criterion. Phys. Plasmas 2022, 29, 062103. [Google Scholar] [CrossRef]
  42. Nevins, W.M. Feasibility of a Colliding Beam Fusion Reactor. Science 1998, 281, 307. [Google Scholar] [CrossRef]
  43. Dmitriev, V.F. Effect of Polarization on the Cross Section for the Reaction 11B(p, α)8Be* and Angular Distributions of Its Products. Phys. Atom. Nucl. 2006, 69, 1461–1462. [Google Scholar] [CrossRef]
  44. Ahmed, M.W.; Weller, H.R. Nuclear Spin-Polarized Proton and 11B Fuel for Fusion Reactors: Advantages of Double Polarization in the 11B(p, α)8Be * Fusion Reaction. J. Fusion Energy 2014, 33, 103–107. [Google Scholar] [CrossRef]
  45. Eliezer, S.; Hora, H.; Korn, G.; Nissim, N.; Martinez Val, J.M. Avalanche Proton-Boron Fusion Based on Elastic Nuclear Collisions. Phys. Plasmas 2016, 23, 050704. [Google Scholar] [CrossRef]
  46. Shmatov, M.L. Comment on “Avalanche Proton-Boron Fusion Based on Elastic Nuclear Collisions” [Phys. Plasmas 23, 050704 (2016)]. Phys. Plasmas 2016, 23, 094703. [Google Scholar] [CrossRef]
  47. Ho, S.K.; Smith, G.R.; Nevins, W.M.; Miley, G.H. An Alpha Particle Distribution Function for Mirror Loss-Cone Type Instability Calculations. Fusion Technol. 1986, 10, 1171–1176. [Google Scholar] [CrossRef]
  48. Putvinskii, S.V. Reviews of Plasma Physics; Kadomtsev, B.B., Ed.; Consultants Bureau: New York, NY, USA, 1993; Volume 18, p. 239. [Google Scholar]
  49. Dzhavakhishvili, D.I.; Tsintsadze, N.L. Transport Phenomena in a Completely Ionized Ultrarelativistic Plasma. Sov. Phys.-JETP 1973, 37, 666–671. [Google Scholar]
  50. Chirkov, A.Y. Plasma Bremsstrahlung Emission at Electron Energy from Low up to Extreme Relativistic Values. 2011. Available online: https://arxiv.org/abs/1005.3411. (accessed on 12 April 2023).
  51. Baldwin, D.E.; Byers, J.A.; Chen, Y.J.; Kaiser, T.B. Drift Pumping of Tandem Mirror Thermal Barriers. In IAEA International Conference on Plasma Physics and Controlled Nuclear Fusion Research, Kyoto, Japan, 12 November 1986; IAEA: Vienna, Austria, 1986; pp. 293–303. [Google Scholar]
  52. Khvesyuk, V.I.; Shabrov, N.V.; Lyakhov, A.N. Ash Pumping from Mirror and Toroidal Magnetic Confinement Systems. Fusion Technol. 1995, 27, 406–408. [Google Scholar] [CrossRef]
Figure 1. Schematic diagram of the reaction, where 12C* is a compound nucleus (p + 11B), α is alpha particle.
Figure 1. Schematic diagram of the reaction, where 12C* is a compound nucleus (p + 11B), α is alpha particle.
Plasma 06 00026 g001
Figure 2. Energy spectrum [35] (dashed line) and schematic sketch of two characteristic energy ranges of alpha particles.
Figure 2. Energy spectrum [35] (dashed line) and schematic sketch of two characteristic energy ranges of alpha particles.
Plasma 06 00026 g002
Figure 3. Comparison of “new” (1) and “old” (2) fusion reactivity values calculated according [31] and [32], respectively.
Figure 3. Comparison of “new” (1) and “old” (2) fusion reactivity values calculated according [31] and [32], respectively.
Plasma 06 00026 g003
Figure 4. (a) Fusion gain, (b) fusion to bremsstrahlung power ratio, and (c) electron temperature versus ion temperature for the case of clean plasma (the content of alpha particles is not taken into account) for “old” (dashed) and “new” (solid) data on the reactivity. 1—npτ = 1.7·1021 m−3s, xB = 0.19; 2—npτ = 5.0·1021 m−3s, xB = 0.19; 3—τ → ∞, xB = 0.19; 4—npτ = 16.2·1021 m−3s, xB = 0.14; 5—τ → ∞, xB = 0.14. Data for case 5 are not shown in panels (b,c) as they very close to case 4 at Ti < 220 keV, and there is no energy balance at higher temperatures for these ideal conditions.
Figure 4. (a) Fusion gain, (b) fusion to bremsstrahlung power ratio, and (c) electron temperature versus ion temperature for the case of clean plasma (the content of alpha particles is not taken into account) for “old” (dashed) and “new” (solid) data on the reactivity. 1—npτ = 1.7·1021 m−3s, xB = 0.19; 2—npτ = 5.0·1021 m−3s, xB = 0.19; 3—τ → ∞, xB = 0.19; 4—npτ = 16.2·1021 m−3s, xB = 0.14; 5—τ → ∞, xB = 0.14. Data for case 5 are not shown in panels (b,c) as they very close to case 4 at Ti < 220 keV, and there is no energy balance at higher temperatures for these ideal conditions.
Plasma 06 00026 g004
Figure 5. (a) Fusion gain, (b) fusion to bremsstrahlung power ratio, (c) electron temperature, and (d) fusion alpha particle content versus ion temperature under stationary conditions with xB = 0.19 for “old” (dashed) and “new” (solid) data on the reactivity. 1—npτ = 0.5·1021 m−3s; 2—npτ = 1.7·1021 m−3s; 3—npτ = 3.5·1021 m−3s.
Figure 5. (a) Fusion gain, (b) fusion to bremsstrahlung power ratio, (c) electron temperature, and (d) fusion alpha particle content versus ion temperature under stationary conditions with xB = 0.19 for “old” (dashed) and “new” (solid) data on the reactivity. 1—npτ = 0.5·1021 m−3s; 2—npτ = 1.7·1021 m−3s; 3—npτ = 3.5·1021 m−3s.
Plasma 06 00026 g005
Figure 6. (a) Fusion gain, and (b) fusion to bremsstrahlung power ratio versus the given alpha particle content for “new” data on the reactivity at Ti = 375 keV, xB = 0.14, confinement time for fuel ions and electrons τ → ∞.
Figure 6. (a) Fusion gain, and (b) fusion to bremsstrahlung power ratio versus the given alpha particle content for “new” data on the reactivity at Ti = 375 keV, xB = 0.14, confinement time for fuel ions and electrons τ → ∞.
Plasma 06 00026 g006
Figure 7. The content of fast alpha particles versus ion temperature for “new” data on the reactivity at xB = 0.14, τ → ∞.
Figure 7. The content of fast alpha particles versus ion temperature for “new” data on the reactivity at xB = 0.14, τ → ∞.
Plasma 06 00026 g007
Disclaimer/Publisher’s Note: The statements, opinions and data contained in all publications are solely those of the individual author(s) and contributor(s) and not of MDPI and/or the editor(s). MDPI and/or the editor(s) disclaim responsibility for any injury to people or property resulting from any ideas, methods, instructions or products referred to in the content.

Share and Cite

MDPI and ACS Style

Chirkov, A.Y.; Kazakov, K.D. Radiation Limit for the Energy Gain of the p–11B Reaction. Plasma 2023, 6, 379-392. https://doi.org/10.3390/plasma6030026

AMA Style

Chirkov AY, Kazakov KD. Radiation Limit for the Energy Gain of the p–11B Reaction. Plasma. 2023; 6(3):379-392. https://doi.org/10.3390/plasma6030026

Chicago/Turabian Style

Chirkov, Alexei Yu., and Kirill D. Kazakov. 2023. "Radiation Limit for the Energy Gain of the p–11B Reaction" Plasma 6, no. 3: 379-392. https://doi.org/10.3390/plasma6030026

APA Style

Chirkov, A. Y., & Kazakov, K. D. (2023). Radiation Limit for the Energy Gain of the p–11B Reaction. Plasma, 6(3), 379-392. https://doi.org/10.3390/plasma6030026

Article Metrics

Back to TopTop