Phase Transformations upon Formation of Transparent Lithium Alumosilicate Glass-Ceramics Nucleated by Yttrium Niobates
Abstract
1. Introduction
2. Materials and Methods
2.1. Materials Preparation
2.2. Characterization
2.2.1. Thermal Analysis
2.2.2. Powder X-ray Diffraction (PXRD)
2.2.3. Small Angle X-ray Scattering
2.2.4. Scanning Electron Microscopy (SEM) and Energy Dispersive X-ray (EDX)-Based Element Analysis
2.2.5. Raman Spectroscopy
2.2.6. Absorption Spectroscopy
2.2.7. The Linear Coefficient of Thermal Expansion
3. Results
3.1. DTA and XRD Studies
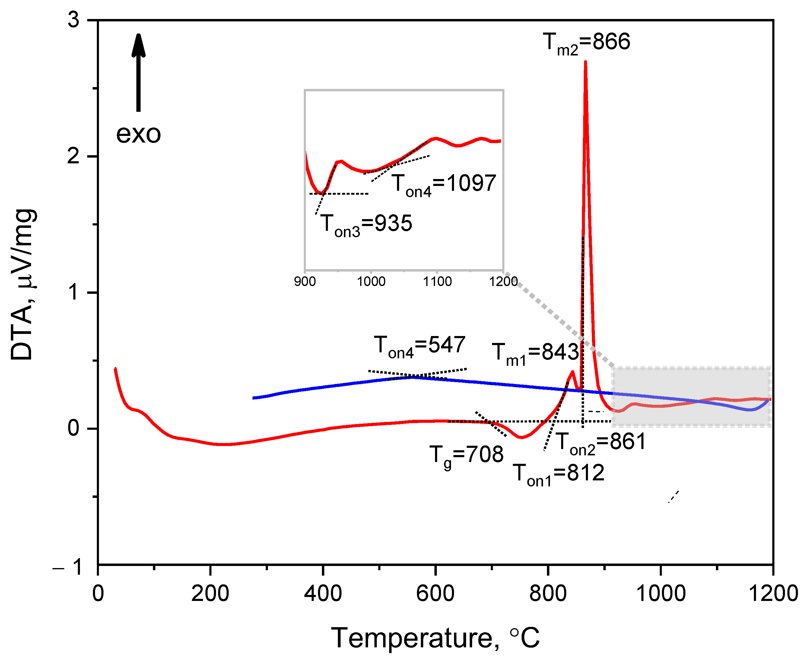
3.1.1. DTA Study
3.1.2. Isothermal Heat-Treatments
3.1.3. In Situ High-Temperature XRD Study
3.2. Raman Spectroscopy Study
3.3. Small Angle X-ray Scattering Study
3.4. SEM-EDX Study
3.5. Absorption Spectra
3.6. Linear Coefficient of Thermal Expansion
4. Discussion
5. Conclusions
Author Contributions
Funding
Institutional Review Board Statement
Informed Consent Statement
Data Availability Statement
Acknowledgments
Conflicts of Interest
References
- Holand, W.; Beall, G.H. (Eds.) Glass-Ceramic Technology, 3rd ed.; Wiley/American Ceramic Society: New York, NY, USA, 2020; pp. 82–87, 273–281. [Google Scholar]
- Bach, H.; Krause, D. (Eds.) Low Thermal Expansion Glass Ceramics, 2nd ed.; Springer: Berlin/Heidelberg, Germany, 2005; p. 260. [Google Scholar]
- Fujita, S.; Tanabe, S. Structural evolution of Er3+ ions in Li2O–Al2O3–SiO2 glass-ceramics. J. Ceram. Soc. Jpn. 2008, 116, 1121–1125. [Google Scholar] [CrossRef]
- Beall, G.H. Milestones in glass-ceramics: A personal perspective. Int. J. Appl. Glass Sci. 2014, 5, 93–103. [Google Scholar] [CrossRef]
- Dymshits, O.; Shepilov, M.; Zhilin, A. Transparent glass-ceramics for optical applications. MRS Bull. 2017, 42, 200–205. [Google Scholar] [CrossRef]
- Dymshits, O.S.; Alekseeva, I.P.; Zhilin, A.A.; Tsenter, M.Y.; Loiko, P.A.; Skoptsov, N.A.; Malyarevich, A.M.; Yumashev, K.V.; Mateos, X.; Baranov, A.V. Structural characteristics and spectral properties of novel transparent lithium aluminosilicate glass-ceramics containing (Er,Yb)NbO4 nanocrystals. J. Lumin. 2015, 160, 337–345. [Google Scholar] [CrossRef]
- Loiko, P.A.; Dymshits, O.S.; Alekseeva, I.P.; Zhilin, A.A.; Tsenter, M.Y.; Vilejshikova, E.V.; Yumashev, K.V.; Bogdanov, K.V. Structure and spectroscopic properties of transparent glass-ceramics with (Eu3+,Yb3+):YNbO4 nanocrystals. J. Lumin. 2016, 179, 64–73. [Google Scholar] [CrossRef]
- Blasse, G. Luminescence processes in niobates with fergusonite structure. J. Lumin. 1976, 14, 231–233. [Google Scholar] [CrossRef]
- Mao, J.; Jiang, B.; Wang, P.; Qiu, L.; Abass, M.T.; Wei, X.; Chen, Y.; Yin, M. A study on temperature sensing performance based on the luminescence of Eu3+ and Er3+ co-doped YNbO4. Dalton Trans. 2020, 49, 8194–8200. [Google Scholar] [CrossRef]
- Wang, X.; Li, X.; Shen, R.; Xu, S.; Zhang, X.; Cheng, L.; Sun, J.; Zhang, J.; Chen, B. Optical transition and luminescence properties of Sm3+-doped YNbO4 powder phosphors. J. Am. Ceram. 2020, 103, 1037–1045. [Google Scholar] [CrossRef]
- Hirano, M.; Ishikawa, K. Intense up-conversion luminescence of Er3+/Yb3+ co-doped YNbO4 through hydrothermal route. J. Photochem. Photobiol. A Chem. 2016, 316, 88–94. [Google Scholar] [CrossRef]
- Đačanin, L.R.; Lukić-Petrović, S.R.; Petrović, D.M.; Nikolić, M.G.; Dramićanin, M.D. Temperature quenching of luminescence emission in Eu3+- and Sm3+-doped YNbO4 powders. J. Lumin. 2014, 151, 82–87. [Google Scholar] [CrossRef]
- Niu, C.; Li, L.; Li, X.; Lv, Y.; Lang, X. Upconversion photoluminescence properties of Ho3+/Yb3+ co-doped YNbO4 powder. Opt. Mater. 2018, 75, 68–73. [Google Scholar] [CrossRef]
- Đačanin Far, L.; Lukić-Petrović, S.R.; Đorđević, V.; Vuković, K.; Glais, E.; Viana, B.; Dramićanin, M.D. Luminescence temperature sensing in visible and NIR spectral range using Dy3+ and Nd3+ doped YNbO4. Sens. Actuator A Phys. 2018, 270, 89–96. [Google Scholar] [CrossRef]
- Đačanin Far, L.; Ćirić, A.; Sekulić, M.; Periša, J.; Ristić, Z.; Antić, Ž.; Dramićanin, M.D. Judd-Ofelt description of radiative properties of YNbO4 activated with different Eu3+ concentrations. Optik 2023, 272, 170398. [Google Scholar]
- Zhou, Y.; Ma, Q.; Lü, M.; Qiu, Z.; Zhang, A. Combustion synthesis and photoluminescence properties of YNbO4-based nanophosphors. J. Phys. Chem. C 2008, 112, 19901–19907. [Google Scholar] [CrossRef]
- Barth, T. The structure of synthetic, metamict, and recrystallized fergusonite. Nor. Geol. Tidsskr. 1926, 9, 23–36. [Google Scholar]
- Komkov, A.I. The structure of natural fergusonite, and of a polymorphic modification. Kristallografiya (Sov. Phys. Crystallogr.) 1959, 4, 836–841. (In Russian) [Google Scholar]
- Stubican, V. High-temperature transitions in rare-earth niobates and tantaIates. J. Am. Ceram. Soc. 1964, 47, 55–58. [Google Scholar] [CrossRef]
- Jurkschat, K.; Sarin, P.; Siah, L.F.; Kriven, W.M. In Situ High-temperature phase transformations in rare earth niobates. Adv. X-ray Anal. 2004, 47, 357–359. [Google Scholar]
- Yamaguchi, O.; Matsui, K.; Kawabe, T.; Shimizu, K. Crystallization and transformation of distorted tetragonal YNbO4. J. Am. Ceram. Soc. 1985, 68, 275–276. [Google Scholar] [CrossRef]
- Mather, S.A.; Davies, P.K. Nonequilibrium phase formation in oxides prepared at low temperature: Fergusonite-related phases. J. Am. Ceram. Soc. 1995, 78, 2737–2745. [Google Scholar] [CrossRef]
- Kang, U.; Dymshits, O.S.; Zhilin, A.A.; Chuvaeva, T.I.; Petrovsky, G.T. Structural states of Co(II) in β-eucryptite-based glass-ceramics nucleated with ZrO2. J. Non-Cryst. Solids 1996, 204, 151–157. [Google Scholar] [CrossRef]
- Lipson, H.; Steeple, H. Interpretation of X-ray Powder Patterns; McMillan, Ed.; Martins Press: London, UK, 1970; p. 335. [Google Scholar]
- Filipovich, V.N. Toward the theory of Small-Angle X-ray Scattering. Zh. Tekh. Fiz. 1956, 26, 398–416. (In Russian) [Google Scholar]
- Andreev, N.S.; Filipovich, V.N.; Mazurin, O.V.; Porai-Koshits, E.A.; Roskova, G.P. Phase Separation in Glass; Elsevier Science Publishers B.V.: Amsterdam, The Netherlands, 1984. [Google Scholar]
- Wu, F.; Wu, P.; Zhou, Y.; Chong, X.; Feng, J. The thermo-mechanical properties and ferroelastic phase transition of RENbO4 (RE = Y, La, Nd, Sm, Gd, Dy, Yb) ceramics. J. Am. Ceram. Soc. 2020, 103, 2727–2740. [Google Scholar] [CrossRef]
- Bondar, A.; Koroleva, L.N.; Toropov, N.A. Phase equilibriums in the yttrium sesquioxide-niobium pentoxide system. Izv. Akad. Nauk SSSR Neorg. Mater. 1969, 5, 1730–1733. [Google Scholar]
- Moore, R.L.; Haynes, B.S.; Montoya, A. Effect of the local atomic ordering on the stability of β-spodumene. Inorg. Chem. 2016, 55, 6426–6434. [Google Scholar] [CrossRef] [PubMed]
- Trunov, V.K.; Efremov, V.A.; Velikopodnyi, Y.A.; Averina, I.M. The structure of YNbO4 crystals at room temperature. Kristallografiya (Sov. Phys. Crystallogr.) 1981, 26, 67–71. (In Russian) [Google Scholar]
- McMillan, P. Structural studies of silicate glasses and melts—Applications and limitations of Raman spectroscopy. Am. Min. 1984, 69, 622–644. [Google Scholar]
- Huanxin, G.; Zhongcai, W.; Shizhuo, W. Properties and structure of niobosilicate glasses. J. Non-Cryst. Solids 1989, 112, 332–335. [Google Scholar] [CrossRef]
- Yashima, M.; Lee, J.-H.; Kakihana, M.; Yoshimura, M. Raman spectral characterization of existing phases in the Y2O3-Nb2O5 system. J. Phys. Chem. Solids 1997, 58, 1593–1597. [Google Scholar] [CrossRef]
- Alekseeva, I.; Dymshits, O.; Ermakov, V.; Zhilin, A.; Petrov, V.; Tsenter, M. Raman spectroscopy quantifying the composition of stuffed β-quartz derivative phases in lithium aluminosilicate glass-ceramics. J. Non-Cryst. Solids 2008, 354, 4932–4939. [Google Scholar] [CrossRef]
- Blasse, G. Vibrational spectra of yttrium niobate and tantalite. J. Solid State Chem. 1972, 7, 169–171. [Google Scholar] [CrossRef]
- Guene-Girard, S.; Courtois, J.; Dussauze, M.; Heintz, J.-M.; Fargues, A.; Roger, J.; Nalin, M.; Cardinal, T.; Jubera, V. Comparison of structural and spectroscopic properties of Ho3+-doped niobate compounds. Mater. Res. Bull. 2021, 143, 111451. [Google Scholar] [CrossRef]
- Sekulić, M.; Dramićanin, T.; Ćirić, A.; Đačanin Far, L.; Dramićanin, M.D.; Đorđević, V. Photoluminescence of the Eu3+-activated YxLu1−xNbO4 (x = 0, 0.25, 0.5, 0.75, 1) solid-solution phosphors. Crystals 2022, 12, 427. [Google Scholar] [CrossRef]
- Weyl, W.A. Coloured Glasses, 2nd ed.; Dawson’s of Pall Mall: London, UK, 1959; p. 558. [Google Scholar]
- Bamford, C.R. The application of ligand field theory to coloured glasses. Phys. Chem. Glasses 1962, 3, 189–202. [Google Scholar]
- Bogdanova, G.C.; Antonova, C.L.; Dzhurinskii, B.F. Distribution of coloring ions in the structure of glass-ceramics. Izv. Akad. Nauk SSSR Neorg. Mater. 1969, 5, 204–206, (in J. Am. Ceram. Soc. 1971, 54, 193d). [Google Scholar]









| Heat-Treatment Schedule, °C/h | Yttrium Niobate | β-Quartz ss | ||
|---|---|---|---|---|
| Crystal Size, nm | Lattice Parameters, Å | Crystal Size, nm | ||
| a, ±0.003 | c, ±0.003 | |||
| Initial glass | 11.0 ± 0.3 | 5.120 | 11.03 | - |
| 700/6 | 10.0 ± 0.3 | 5.121 | 11.08 | - |
| 700/6 + 750/6 | 10.5 ± 0.3 | 5.128 | 11.06 | - |
| 700/6 + 800/6 | 10.0 ± 0.3 | 5.120 | 11.03 | 46.0 ± 1.5 |
| 700/6 + 900/6 | 12.0 ± 0.3 | 5.157 | 11.04 | 42.0 ± 1.0 |
| 700/6 + 1000/6 | 15.5 ± 0.4 | 5.158 | 11.01 | 40.5 ± 1.0 |
| Spectrum Mark | O | Al | Si | Y | Nb | Total |
|---|---|---|---|---|---|---|
| % Atom | ||||||
| 1 | 65.33 | 11.36 | 2.72 | 8.64 | 11.95 | 100.00 |
| 2 | 63.31 | 19.39 | 6.05 | 5.99 | 5.26 | 100.00 |
| Heat-Treatment Schedule, °C | Glass | 700 | 700 + 750 | 700 + 800 | 700 + 850 | 700 + 900 | 700 + 1000 | 700 + 1350 |
|---|---|---|---|---|---|---|---|---|
| CTE, ±1.0, ×10−7 K−1 | 61.5 | 60.5 | 61.5 | 12.0 | 8.5 | 11.5 | 13.5 | 27.0 |
Disclaimer/Publisher’s Note: The statements, opinions and data contained in all publications are solely those of the individual author(s) and contributor(s) and not of MDPI and/or the editor(s). MDPI and/or the editor(s) disclaim responsibility for any injury to people or property resulting from any ideas, methods, instructions or products referred to in the content. |
© 2023 by the authors. Licensee MDPI, Basel, Switzerland. This article is an open access article distributed under the terms and conditions of the Creative Commons Attribution (CC BY) license (https://creativecommons.org/licenses/by/4.0/).
Share and Cite
Dymshits, O.; Bachina, A.; Alekseeva, I.; Golubkov, V.; Tsenter, M.; Zapalova, S.; Bogdanov, K.; Danilovich, D.; Zhilin, A. Phase Transformations upon Formation of Transparent Lithium Alumosilicate Glass-Ceramics Nucleated by Yttrium Niobates. Ceramics 2023, 6, 1490-1507. https://doi.org/10.3390/ceramics6030092
Dymshits O, Bachina A, Alekseeva I, Golubkov V, Tsenter M, Zapalova S, Bogdanov K, Danilovich D, Zhilin A. Phase Transformations upon Formation of Transparent Lithium Alumosilicate Glass-Ceramics Nucleated by Yttrium Niobates. Ceramics. 2023; 6(3):1490-1507. https://doi.org/10.3390/ceramics6030092
Chicago/Turabian StyleDymshits, Olga, Anastasia Bachina, Irina Alekseeva, Valery Golubkov, Marina Tsenter, Svetlana Zapalova, Kirill Bogdanov, Dmitry Danilovich, and Alexander Zhilin. 2023. "Phase Transformations upon Formation of Transparent Lithium Alumosilicate Glass-Ceramics Nucleated by Yttrium Niobates" Ceramics 6, no. 3: 1490-1507. https://doi.org/10.3390/ceramics6030092
APA StyleDymshits, O., Bachina, A., Alekseeva, I., Golubkov, V., Tsenter, M., Zapalova, S., Bogdanov, K., Danilovich, D., & Zhilin, A. (2023). Phase Transformations upon Formation of Transparent Lithium Alumosilicate Glass-Ceramics Nucleated by Yttrium Niobates. Ceramics, 6(3), 1490-1507. https://doi.org/10.3390/ceramics6030092

