Phase Formation and Properties of Multicomponent Solid Solutions Based on Ba(Ti, Zr)O3 and AgNbO3 for Environmentally Friendly High-Efficiency Energy Storage
Abstract
:1. Introduction
2. Materials and Methods
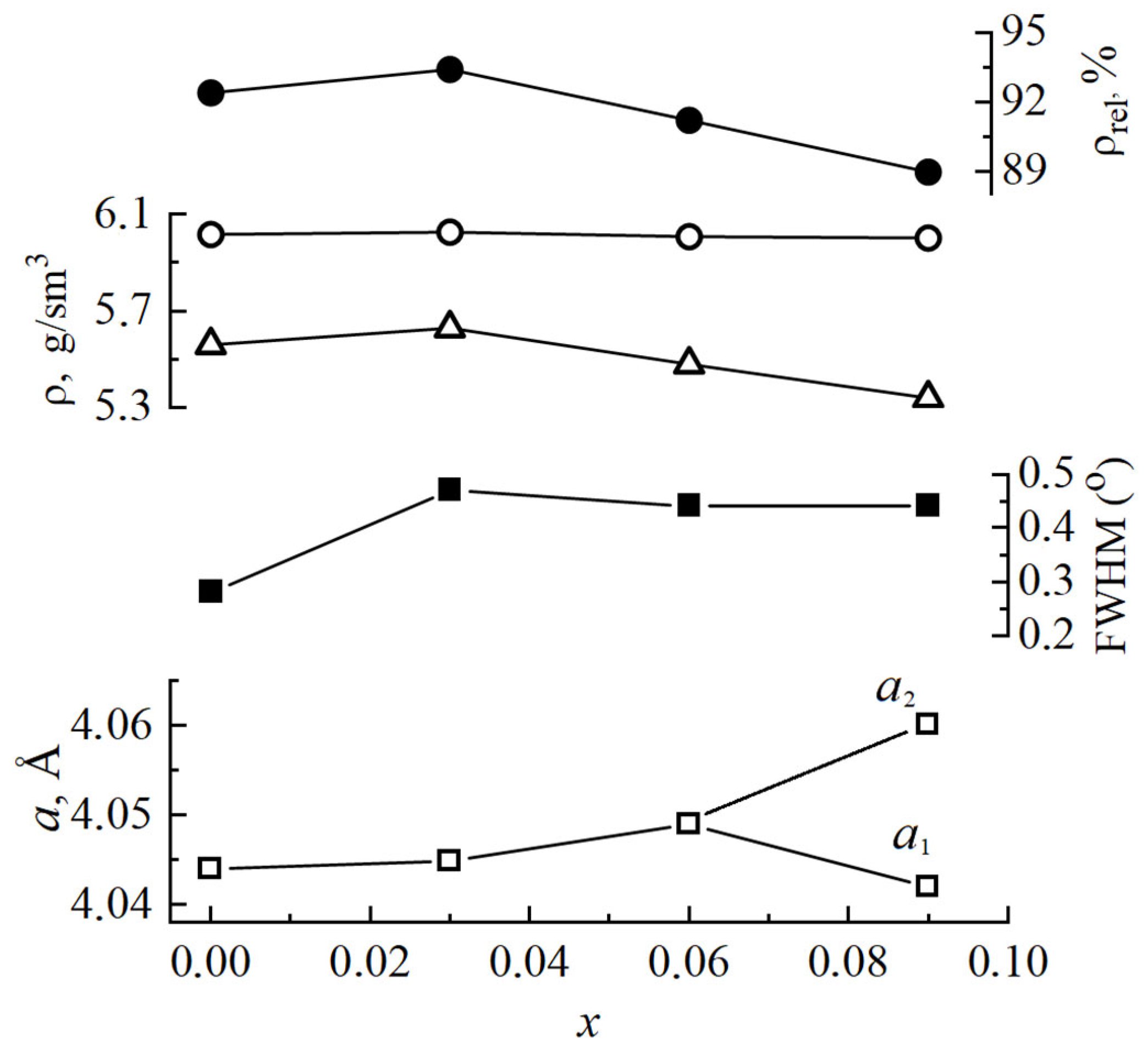
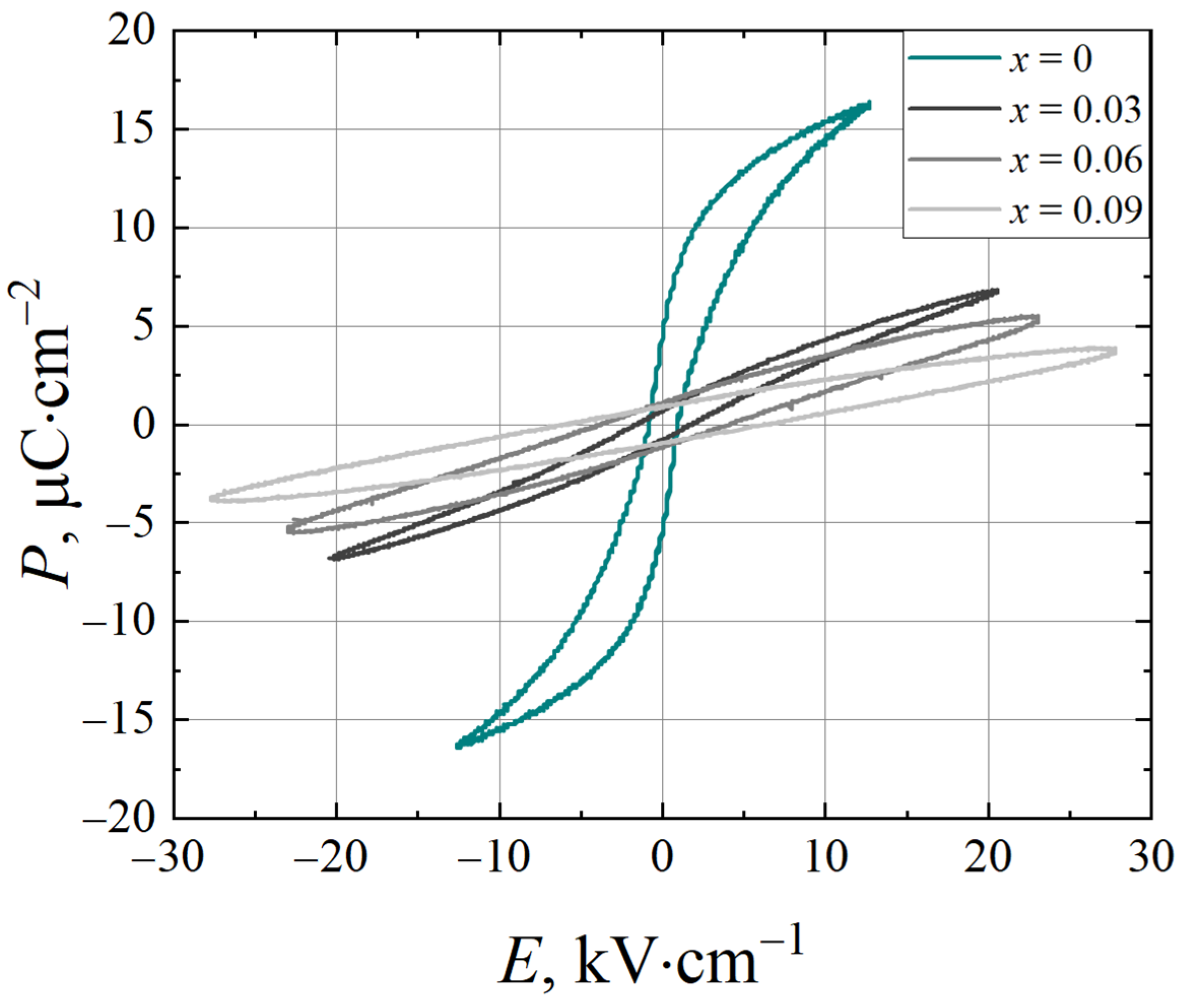
3. Result and Discussion
4. Conclusions
Author Contributions
Funding
Institutional Review Board Statement
Informed Consent Statement
Data Availability Statement
Acknowledgments
Conflicts of Interest
References
- Ishchuk, V.; Kuzenko, D.; Sobolev, V. Piezoelectric and functional properties of materials with coexisting ferroelectric and antiferroelectric phases. AIMS Mater. Sci. 2018, 5, 711–741. [Google Scholar] [CrossRef]
- Neagu, A.; Ciuchi, I.V.; Mitoseriu, L.; Galassi, C.; Tai, C.-W. Study of ferroelectric-antiferroelectric phase coexistence in La-doped PZT ceramics. In European Microscopy Congress 2016: Proceedings; Wiley-VCH Verlag GmbH & Co. KGaA: Weinheim, Germany, 2016; pp. 1034–1035. [Google Scholar]
- Bai, W.; Li, L.; Wang, W.; Shen, B.; Zhai, J. Phase diagram and electrostrictive effect in BNT-based ceramics. Solid State Commun. 2015, 206, 22–25. [Google Scholar] [CrossRef]
- Cheng, H.; Ouyang, J.; Zhang, Y.-X.; Ascienzo, D.; Li, Y.; Zhao, Y.-Y.; Ren, Y. Demonstration of ultra-high recyclable energy densities in domain-engineered ferroelectric films. Nat. Commun. 2017, 8, 1999. [Google Scholar] [CrossRef]
- Song, S.; Jiao, Y.; Chen, F.; Zeng, X.; Wang, X.; Zhou, S.; Ai, T.; Liu, G.; Yan, Y. Ultrahigh electric breakdown strength, excellent dielectric energy storage density, and improved electrocaloric effect in Pb-free (1−x)Ba(Zr0.15Ti0.85)O3−xNaNbO3 ceramics. Ceram. Int. 2022, 48, 10789–10802. [Google Scholar] [CrossRef]
- Pokharel, B.P.; Kumar, L.S.; Ariga, K.; Pandey, E.D. Demonstration of Reentrant Relaxor Ferroelectric Phase Transitions in Antiferroelectric-Based (Pb0.50Ba0.50)ZrO3. Ceramics 2018, 11, 850. [Google Scholar] [CrossRef]
- Nguyena, M.D.; Rijndersc, G. Thin films of relaxor ferroelectric/antiferroelectric heterolayered structure for energy storage. Thin Solid Films 2018, 659, 89–93. [Google Scholar] [CrossRef]
- Ishchuk, V.M.; Sobolev, V.L. Solid solutions with coexisting ferroelectric and antiferroelectric phases for creation of new materials. Low Temp. Phys. 2020, 46, 809. [Google Scholar] [CrossRef]
- Geng, L.D.; Jin, Y.M.; Tan, D.Q.; Wang, Y.U. Computational study of nonlinear dielectric composites with field-induced antiferroelectric-ferroelectric phase transition. J. Appl. Phys. 2018, 124, 164109. [Google Scholar] [CrossRef]
- Liu, Z.; Lu, T.; Ye, J.; Wang, G.; Dong, X.; Withers, R.; Liu, Y. Antiferroelectrics for Energy Storage Applications: A Review. Adv. Mater. Technol. 2018, 3, 1800111. [Google Scholar] [CrossRef]
- Puli, V.S.; Pradhan, D.K.; Chrisey, D.B. Structure, dielectric, ferroelectric, and energy density properties of (1−x)BZT–xBCT ceramic capacitors for energy storage applications. J. Mater. Sci. 2013, 48, 2151–2157. [Google Scholar] [CrossRef]
- Chauhan, A.; Patel, S.; Vaish, R.; Bowen, C.R. Anti-Ferroelectric Ceramics for High Energy Density Capacitors. Materials 2015, 8, 8009–8031. [Google Scholar] [CrossRef] [PubMed]
- Wu, L.; Huan, Y.; Wang, X. A combinatorial improvement strategy to enhance the energy storage performances of the KNN–based ferroelectric ceramic capacitors. J. Mater. Sci. 2022, 57, 15876–15888. [Google Scholar] [CrossRef]
- Palneedi, H.; Peddigari, M.; Upadhyay, A.; Silva, P.B.; Hwang, G.-T.; Ryu, J. 9-Lead-based and lead-free ferroelectric ceramic capacitors for electrical energy storage. In Ferroelectric Materials for Energy Harvesting and Storage; Woodhead Publishing: Cambridge, UK, 2021; pp. 279–356. [Google Scholar]
- Zhao, P.; Cai, Z.; Wu, L.; Zhu, C.; Li, L. Perspectives and challenges for lead-free energy-storage multilayer ceramic capacitors. J. Adv. Ceram. 2021, 10, 1153–1193. [Google Scholar] [CrossRef]
- Fu, D.; Endo, M.; Taniguchi, H.; Taniyama, T.; Mitsuru, I. AgNbO3: A lead-free material with large polarization and electromechanical response. Appl. Phys. Lett. 2007, 90, 252907. [Google Scholar] [CrossRef]
- Kravchenko, O.Y.; Gadzhiev, G.G.; Omarov, Z.M.; Reznichenko, L.A.; Abdullaev, K.K.; Razumovskaya, O.N.; Shilkina, L.A.; Komarov, V.D.; Verbenko, I.A. Phase transformations and properties of ceramics of the composition Ag1−yNbO3−y/2 (0 ≤ y ≤ 0.20). Inorg. Mater. 2011, 47, 1014–1020. [Google Scholar] [CrossRef]
- Kravchenko, O.Y.; Gadzhiev, G.G.; Omarov, M.; Reznichenko, L.A.; Abdullaev, X.X.; Razumovskaya, O.N.; Shilkina, L.A.; Komarov, V.D.; Verbenko, I.A. Properties of environmentally friendly ceramics of the composition Ag1−yNbO3−y/2. Ecol. Ind. Prod. 2010, 3, 50–61. [Google Scholar]
- Łukaszewski, M.; Pawełczyk, M.; Haňderek, J.; Kania, A. On the phase transitions in silver niobate AgNbO3. Phase Transit. A Multinatl. J. 1983, 33, 247–257. [Google Scholar] [CrossRef]
- Gao, J.; Li, Q.; Zhang, S.; Li, J.-F. Lead-free antiferroelectric AgNbO3: Phase transitions and structure engineering for dielectric energy storage applications. J. Appl. Phys. 2020, 128, 070903. [Google Scholar] [CrossRef]
- Tian, Y.; Jin, L.; Zhang, H.; Xu, Z.; Wei, X.; Politova, E.D.; Stefanovich, S.Y.; Tarakina, N.V.; Abrahams, I.; Yan, H. Phase Transitions in Tantalum-Modified Silver Niobate Ceramics for High Power Energy Storage. J. Mater. Chem. A 2016, 4, 17279. [Google Scholar] [CrossRef]
- Gao, J.; Zhao, L.; Liu, Q.; Wang, X.; Zhang, S. Antiferroelectric-ferroelectric phase transition in lead-free AgNbO3 ceramics for energy storage applications. J. Am. Ceram. Soc. 2018, 101, 5443–5450. [Google Scholar] [CrossRef]
- Maiti, T.; Guo, R.; Bhalla, A.S. Evaluation of Experimental Resume of BaZrxTi1−xO3 with Perspective to Ferroelectric Relaxor Family: An Overview. Ferroelectrics 2011, 425, 4–26. [Google Scholar] [CrossRef]
- Abubakarov, A.G.; Shilkina, L.A.; Andryushina, I.N.; Andryushin, K.P.; Verbenko, I.A.; Reznichenko, L.A. Influence of thermodynamic prehistory on the microstructure of ferroactive niobate materials. Constr. Made Compos. Mater. 2017, 3, 53–69. [Google Scholar]
- Skrypnik, M.Y.; Shikina, T.V.; Volkov, D.V.; Shilkina, L.A. Effect of mechanoactivation on phase formation and structural characteristics of a solid solution system based on BaZrxTi1−xO3. LFPM—2022 2022, 1, 221–225. [Google Scholar]
- Powder Diffraction File. Data Card. Inorganic Section. Set 32, Card 484; JCPDS: Swarthmore, PA, USA, 1948.
- Bokiy, G.B. Introduction to Crystal Chemistry; MSU Publishing House: Moscow, Russia, 1954. [Google Scholar]
- Urusov, V.S. Theory of Isomorphic Mixing; Science: Moscow, Russia, 1977. [Google Scholar]
- Bokov, A.A.; Ye, Z.G. Recent progress in relaxor ferroelectrics with perovskite structure. J. Mater. Sci. 2006, 41, 31–52. [Google Scholar] [CrossRef]
- Bogatin, A.S.; Turik, A.V. Processes of Relaxation Polarization in Dielectrics with High through Conductivity; Publishing House Phoenix: Rostov-on-Don, Russia, 2013. [Google Scholar]
- Suchanicz, J.; Stopa, K.; Koroska, B. Influence of axial pressure on dielectric properties of AgNbO3 single crystals and ceramics. Phase Transit. 2007, 80, 123–129. [Google Scholar] [CrossRef]
- Maiti, T.; Guo, R.; Bhalla, A.S. Structure-Property Phase Diagram of BaZrxTi1-xO3 System. J. Am. Ceram. Soc. 2008, 91, 1769. [Google Scholar] [CrossRef]









| Composition | W, J∙cm−3 | Wrec, J∙cm−3 | η, % |
|---|---|---|---|
| x = 0 | 0.081 | 0.043 | 53.1 |
| x = 0.03 | 0.074 | 0.053 | 76.5 |
| x = 0.06 | 0.067 | 0.037 | 54.9 |
| x = 0.09 | 0.063 | 0.031 | 48.6 |
Disclaimer/Publisher’s Note: The statements, opinions and data contained in all publications are solely those of the individual author(s) and contributor(s) and not of MDPI and/or the editor(s). MDPI and/or the editor(s) disclaim responsibility for any injury to people or property resulting from any ideas, methods, instructions or products referred to in the content. |
© 2023 by the authors. Licensee MDPI, Basel, Switzerland. This article is an open access article distributed under the terms and conditions of the Creative Commons Attribution (CC BY) license (https://creativecommons.org/licenses/by/4.0/).
Share and Cite
Volkov, D.V.; Glazunova, E.V.; Shilkina, L.A.; Nazarenko, A.V.; Pavelko, A.A.; Bobylev, V.A.; Reznichenko, L.A.; Verbenko, I.A. Phase Formation and Properties of Multicomponent Solid Solutions Based on Ba(Ti, Zr)O3 and AgNbO3 for Environmentally Friendly High-Efficiency Energy Storage. Ceramics 2023, 6, 1840-1849. https://doi.org/10.3390/ceramics6030112
Volkov DV, Glazunova EV, Shilkina LA, Nazarenko AV, Pavelko AA, Bobylev VA, Reznichenko LA, Verbenko IA. Phase Formation and Properties of Multicomponent Solid Solutions Based on Ba(Ti, Zr)O3 and AgNbO3 for Environmentally Friendly High-Efficiency Energy Storage. Ceramics. 2023; 6(3):1840-1849. https://doi.org/10.3390/ceramics6030112
Chicago/Turabian StyleVolkov, Dmitry V., Ekaterina V. Glazunova, Lydia A. Shilkina, Aleksandr V. Nazarenko, Aleksey A. Pavelko, Vyacheslav A. Bobylev, Larisa A. Reznichenko, and Ilya A. Verbenko. 2023. "Phase Formation and Properties of Multicomponent Solid Solutions Based on Ba(Ti, Zr)O3 and AgNbO3 for Environmentally Friendly High-Efficiency Energy Storage" Ceramics 6, no. 3: 1840-1849. https://doi.org/10.3390/ceramics6030112
APA StyleVolkov, D. V., Glazunova, E. V., Shilkina, L. A., Nazarenko, A. V., Pavelko, A. A., Bobylev, V. A., Reznichenko, L. A., & Verbenko, I. A. (2023). Phase Formation and Properties of Multicomponent Solid Solutions Based on Ba(Ti, Zr)O3 and AgNbO3 for Environmentally Friendly High-Efficiency Energy Storage. Ceramics, 6(3), 1840-1849. https://doi.org/10.3390/ceramics6030112

