Process Development of Zirconolite Ceramics for Pu Disposition: Use of a CuO Sintering Aid
Abstract
1. Introduction
2. Materials and Methods
2.1. Solid State Zirconolite Fabrication
2.2. Materials Characterisation
3. Results
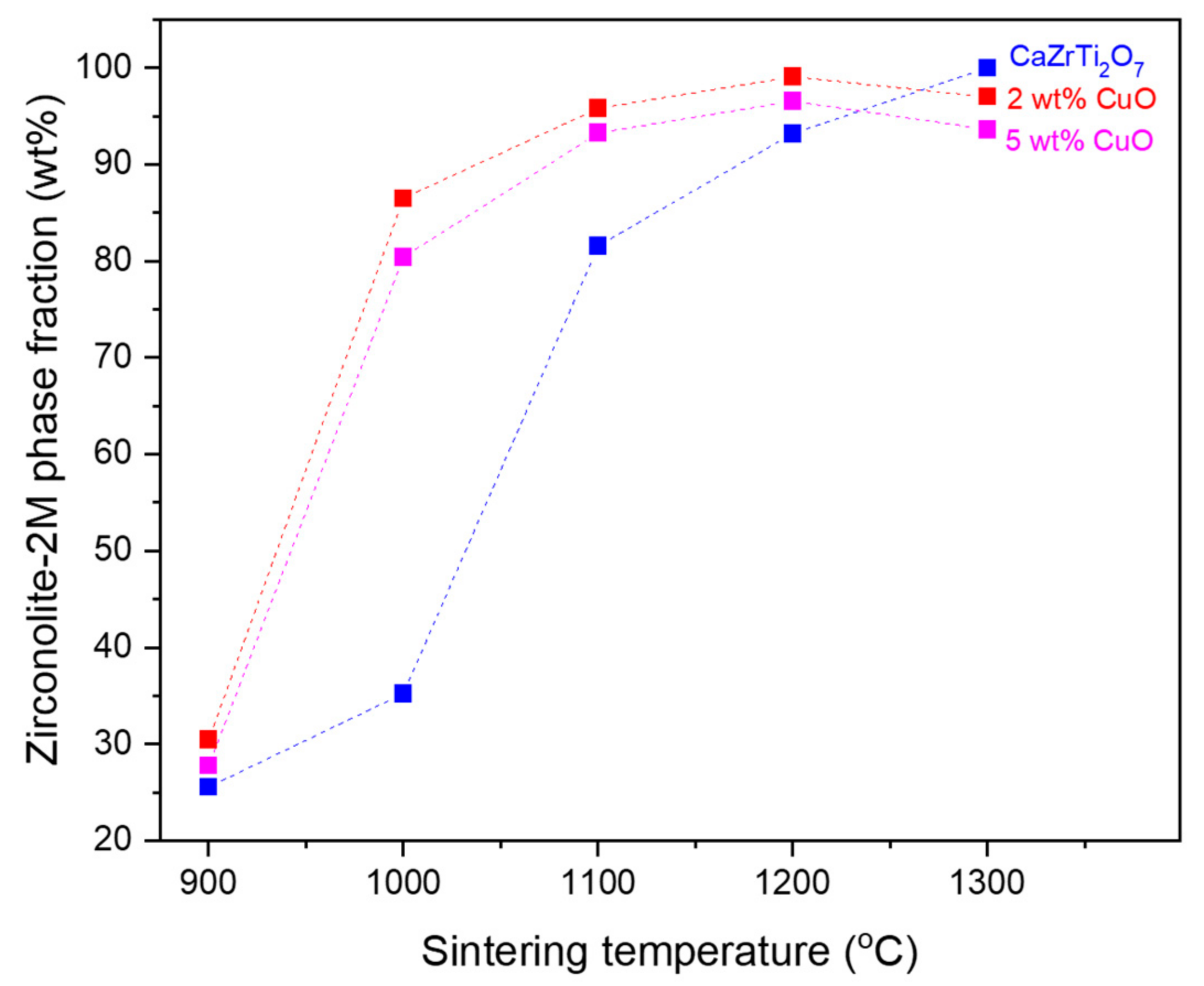
3.1. Influence of CuO Loading on Phase Assemblage
3.2. Microstructure and Density
4. Conclusions
Author Contributions
Funding
Data Availability Statement
Acknowledgments
Conflicts of Interest
References
- Hyatt, N.C. Plutonium management policy in the United Kingdom: The need for a dual track strategy. Energy Policy 2017, 101, 303–309. [Google Scholar] [CrossRef]
- Hyatt, N.C. Safe management of the UK separated plutonium inventory: A challenge of materials degradation. NPJ Mater. Degrad. 2020, 4, 28. [Google Scholar] [CrossRef]
- NDA Report–SMS/TS/B1-PLUT/002/A, Plutonium Credible Options Analysis (Gate A); Nuclear Decommissioning Authority: Risley, UK, 2010.
- Hobbs, J.W.; Scales, C.; Maddrell, E.R.; Stewart, M.W.A.; Moricca, S.A. A programme to immobilise plutonium residues at Sellafield. In Proceedings of the 53rd Annual Institute of Nuclear Materials Management (INMM), Orlando, FL, USA, 15–19 July 2012. [Google Scholar]
- Thornber, S.M.; Jovanovic, M.; Davis, J.; Vance, E.R.; Gregg, D.; Chavara, D.T.; Watson, I.; Stennett, M.C.; Hyatt, N.C. A preliminary validation study of PuO2 incorporation into zirconolite glass-ceramics. MRS Adv. 2018, 3, 1065–1071. [Google Scholar] [CrossRef]
- Lumpkin, G.R.; Whittle, K.R.; Howard, C.; Zhang, Z.; Berry, F.J.; Oates, G.; Williams, C.T.; Zaitsev, A.N. Crystal Chemistry and Cation Ordering in Zirconolite 2M. In MRS Online Proceedings Library (OPL); Cambridge University Press: Cambridge, UK, 2006; Volume 932. [Google Scholar]
- Ringwood, A.E.; Kesson, S.E.; Ware, N.G.; Hibberson, W.; Major, A. Immobilisation of high level nuclear reactor wastes in SYNROC. Nature 1979, 278, 219–223. [Google Scholar] [CrossRef]
- Blackburn, L.R.; Sun, S.; Gardner, L.J.; Maddrell, E.R.; Stennett, M.C.; Hyatt, N.C. A systematic investigation of the phase assemblage and microstructure of the zirconolite CaZr1-xCexTi2O7 system. J. Nucl. Mater. 2020, 535, 152137. [Google Scholar] [CrossRef]
- Vance, E.R.; Lumpkin, G.R.; Carter, M.L.; Cassidy, D.J.; Ball, C.J.; Day, R.A.; Begg, B.D. Incorporation of Uranium in Zirconolite (CaZrTi2O7). J Am. Ceram. Soc. 2002, 85, 1853–1859. [Google Scholar] [CrossRef]
- Vance, E.R.; Ball, C.J.; Day, R.A.; Smith, K.L.; Blackford, M.G.; Begg, B.D.; Angel, P.J. Actinide and rare earth incorporation into zirconolite. J. Alloys Compd. 1994, 213/214, 406–409. [Google Scholar] [CrossRef]
- Begg, B.D.; Day, R.A.; Brownscombe, A. Structural Effect of Pu substitutions on the Zr site in Zirconolite. Mater. Res. Soc. Symp. Proc. 2001, 663, 259. [Google Scholar] [CrossRef]
- Begg, B.D.; Vance, E.R.; Conradson, S.D. The Incorporation of Plutonium and Neptunium in Zirconolite and Perovskite. J. Alloys Compd. 1998, 271–273, 221–226. [Google Scholar] [CrossRef]
- Blackburn, L.R.; Sun, S.; Lawson, S.M.; Gardner, L.J.; Ding, H.; Corkhill, C.L.; Maddrell, E.R.; Stennett, M.C.; Hyatt, N.C. Synthesis and Characterisation of Ca1-xCexZrTi2-2xCr2xO7: Analogue Zirconolite Wasteform for the Immobilisation of Stockpiled UK Plutonium. J. Eur. Ceram. Soc. 2020, 40, 5909–5919. [Google Scholar] [CrossRef]
- Blackburn, L.R.; Sun, S.K.; Gardner, L.J.; Maddrell, E.R.; Stennett, M.C.; Corkhill, C.L.; Hyatt, N.C. Synthesis, structure, and characterization of the thorium zirconolite CaZr1-xThxTi2O7 system. J. Am. Ceram. Soc. 2021, 104, 2937–2951. [Google Scholar] [CrossRef]
- Zhong, M.-X.; Walkley, B.; Bailey, D.J.; Blackburn, L.R.; Ding, H.; Wang, S.-Q.; Bao, W.-C.; Gardner, L.J.; Sun, S.-K.; Stennett, M.C.; et al. Synthesis of Ca1-xCexZrTi2-2xAl2xO7 zirconolite ceramics for plutonium disposition. J. Nucl. Mater. 2021, 556, 153198. [Google Scholar] [CrossRef]
- Blackburn, L.R.; Gardner, L.J.; Sun, S.K.; Maddrell, E.R.; Stennett, M.C.; Corkhill, C.L.; Hyatt, N.C. Hot Isostatically Pressed Zirconolite Wasteforms for Actinide Immobilisation. In Proceedings of the IOP Conference Series: Materials Science and Engineering, Manchester, UK, 10–13 September 2020; Volume 818. [Google Scholar]
- Blackburn, L.R.; Cole, M.R.; Gardner, L.J.; Bailey, D.J.; Kuman, M.; Mason, A.R.; Sun, S.K.; Maddrell, E.R.; Stennett, M.C.; Corkhill, C.L.; et al. Synthesis and characterisation of HIP Ca0.80Ce0.20ZrTi1.60Cr0.40O7 zirconolite and observations of the ceramic–canister interface. MRS Adv. 2021, 6, 112–116. [Google Scholar] [CrossRef]
- Zhang, Y.; Stewart, M.W.A.; Li, H.; Carter, M.L.; Vance, E.R.; Moricca, S. Zirconolite-rich titanate ceramics for immobilisation of actinides—Waste form/HIP can interactions and chemical durability. J. Nucl. Mater. 2009, 395, 69–74. [Google Scholar] [CrossRef]
- Hostaša, J.; Picelli, F.; Hříbalová, S.; Nečina, V. Sintering aids, their role and behaviour in the production of transparent ceramics. Open Ceram. 2021, 7, 100137. [Google Scholar] [CrossRef]
- Meng, F. Influence of sintering temperature on semi-conductivity and nonlinear electrical properties of TiO2-based varistor ceramics. Mater. Sci. Eng. B 2005, 117, 77–80. [Google Scholar] [CrossRef]
- Chang, J.-C.; Chen, Y.-F.; Jean, J.-H. Low-fire processing and dielectric properties of TiO2 with MnOx-CuO. Jpn. J. Appl. Phys. 2004, 43, 4267. [Google Scholar] [CrossRef]
- Nie, J.; Chan, J.M.; Qin, M.; Zhou, N.; Luo, J. Liquid-like grain boundary complexion and sub-eutectic activated sintering in CuO-doped TiO2. Acta Mater. 2017, 130, 329–338. [Google Scholar] [CrossRef]
- Coelho, A.A. Whole-profile structure solution from powder diffraction data using simulated annealing. J. Appl. Crystallogr. 2000, 33, 899–908. [Google Scholar] [CrossRef]
- Coelho, A.A. A charge-flipping algorithm incorporating the tangent formula for solving difficult structures. Acta Crystallogr. Sect. A Found. Crystallogr. 2007, 63, 400–406. [Google Scholar] [CrossRef]
- Blackburn, L.R.; Bailey, D.J.; Sun, S.; Gardner, L.J.; Martin, M.C.; Corkhill, C.L.; Hyatt, N.C. Review of zirconolite crystal chemistry and aqueous durability. Adv. Appl. Ceram. 2021, 120, 69–83. [Google Scholar] [CrossRef]
- Blackburn, L.R.; Crawford, R.; Walling, S.A.; Gardner, L.J.; Cole, M.R.; Sun, S.; Gausse, C.; Mason, A.R.; Stennett, M.C.; Maddrell, E.R.; et al. Influence of accessory phases and surrogate type on accelerated leaching of zirconolite wasteforms. NPJ Mater. Degrad. 2021, 4, 28. [Google Scholar] [CrossRef]
- Hyatt, N.C.; Corkhill, C.L.; Stennett, M.C.; Hand, R.J.; Gardner, L.J.; Thorpe, C.L. The HADES Facility for High Activity Decommissioning Engineering & Science: Part of the UK National Nuclear User Facility. In Proceedings of the IOP Conference Series: Materials Science and Engineering, 2020; Volume 818, pp. 1–8. [Google Scholar]





| Nominal Composition | Sintering Temperature (°C) | Phase Fraction (wt.%) | ||||
|---|---|---|---|---|---|---|
| Zirconolite 2M | CaTiO3 | CaCu3Ti4O12 | ZrO2 | TiO2 | ||
| CaZrTi2O7 | 900 | 25.6 (30) | 29.5 (12) | - | 28.2 (11) | 16.8 (21) |
| +2 wt.% CuO | 900 | 30.5 (5) | 25.1 (3) | 3.5 (2) | 26.7 (3) | 14.3 (2) |
| +5 wt.% CuO | 900 | 27.8 (6) | 23.7 (3) | 9.9 (2) | 27.1 (3) | 11.5 (2) |
| CaZrTi2O7 | 1000 | 35.2 (4) | 25.4 (3) | - | 25.5 (2) | 13.9 (2) |
| +2 wt.% CuO | 1000 | 86.5 (2) | 4.5 (2) | 3.0 (1) | 6.0 (1) | - |
| +5 wt.% CuO | 1000 | 80.4 (2) | 4.4 (1) | 9.5 (1) | 5.8 (1) | - |
| CaZrTi2O7 | 1100 | 81.6 (5) | 5.6 (2) | - | 8.4 (2) | 4.4 (4) |
| +2 wt.% CuO | 1100 | 95.8 (3) | 2.4 (3) | 1.8 (1) | - | - |
| +5 wt. % CuO | 1100 | 93.3 (3) | 2.6 (3) | 4.2 (2) | - | - |
| CaZrTi2O7 | 1200 | 93.2 (16) | - | - | 6.8 (5) | - |
| +2 wt.% CuO | 1200 | 99.1 (1) | - | 0.8 (1) | - | - |
| +5 wt.% CuO | 1200 | 96.6 (1) | - | 3.3 (1) | - | - |
| CaZrTi2O7 | 1300 | 100 (0) | - | - | - | - |
| +2 wt.% CuO | 1300 | 97.0 (2) | 2.0 (2) | 1.0 (1) | - | - |
| +5 wt.% CuO | 1300 | 93.6 (2) | 2.3 (1) | 4.1 (1) | - | - |
| Nominal Composition | Sintering Temperature (°C) | Archimedes Density (g/cm3) | Relative Density |
|---|---|---|---|
| CaZrTi2O7 | 1100 | 3.81(55) | 85.8(124) |
| CaZrTi2O7 + 2 wt.% CuO | 1100 | 4.18(6) | 94.1(14) |
| CaZrTi2O7 + 5 wt.% CuO | 1100 | 4.18(2) | 94.1(4) |
| CaZrTi2O7 | 1200 | 4.18(6) | 94.1(14) |
| CaZrTi2O7 + 2 wt.% CuO | 1200 | 4.24(4) | 95.5(9) |
| CaZrTi2O7 + 5 wt.% CuO | 1200 | 4.31(3) | 97.1(7) |
| CaZrTi2O7 | 1300 | 4.21(12) | 94.8(27) |
| CaZrTi2O7 + 2 wt.% CuO | 1300 | 4.27(3) | 96.2(7) |
| CaZrTi2O7 + 5 wt.% CuO | 1300 | 4.25(3) | 95.7(7) |
Disclaimer/Publisher’s Note: The statements, opinions and data contained in all publications are solely those of the individual author(s) and contributor(s) and not of MDPI and/or the editor(s). MDPI and/or the editor(s) disclaim responsibility for any injury to people or property resulting from any ideas, methods, instructions or products referred to in the content. |
© 2023 by the authors. Licensee MDPI, Basel, Switzerland. This article is an open access article distributed under the terms and conditions of the Creative Commons Attribution (CC BY) license (https://creativecommons.org/licenses/by/4.0/).
Share and Cite
Friskney, A.A.; Aldean, I.; Corkhill, C.L.; Blackburn, L.R. Process Development of Zirconolite Ceramics for Pu Disposition: Use of a CuO Sintering Aid. Ceramics 2023, 6, 678-685. https://doi.org/10.3390/ceramics6010041
Friskney AA, Aldean I, Corkhill CL, Blackburn LR. Process Development of Zirconolite Ceramics for Pu Disposition: Use of a CuO Sintering Aid. Ceramics. 2023; 6(1):678-685. https://doi.org/10.3390/ceramics6010041
Chicago/Turabian StyleFriskney, Aidan A., Ismail Aldean, Claire L. Corkhill, and Lewis R. Blackburn. 2023. "Process Development of Zirconolite Ceramics for Pu Disposition: Use of a CuO Sintering Aid" Ceramics 6, no. 1: 678-685. https://doi.org/10.3390/ceramics6010041
APA StyleFriskney, A. A., Aldean, I., Corkhill, C. L., & Blackburn, L. R. (2023). Process Development of Zirconolite Ceramics for Pu Disposition: Use of a CuO Sintering Aid. Ceramics, 6(1), 678-685. https://doi.org/10.3390/ceramics6010041

