Abstract
The aim of this work was to study the mechanisms of polymorphic transformations in ZrO2 ceramics under irradiation with heavy ions, as well as to determine the nature of structural distortions in the case of t-ZrO2 → c-ZrO2 type transformations and associated anisotropic deformations. The samples of ZrO2 ceramics were irradiated with Kr15+ heavy ions with an energy of 150 MeV and fluences of 1011–1016 ion/cm2. During evaluation of the structural changes depending on the irradiation fluence, it was found that at low irradiation fluences (1011–1012 ion/cm2), the main role is played by deformation distortions of the crystal lattice, which have a pronounced anisotropic character. Meanwhile, at fluences above 1013 ion/cm2, the main role is played by polymorphic transformations of the t-ZrO2 → c-ZrO2 type, followed by amorphization of the damaged layer at fluences above 1015 ion/cm2. It was established that the anisotropic distortion of the crystal lattice is more pronounced along the crystallographic a axis, as well as the (011) texture orientation, which is characteristic of t-ZrO2. The polymorphic transformation processes of the t-ZrO2 → c-ZrO2 type occur at irradiation fluences of 1013–1014 ions/cm2, which are characterized by the formation of an overlap of local areas of defects that appear along the trajectory of ions in the material. The dependences of changes in the strength and thermophysical properties of ZrO2 ceramics on the irradiation fluence were obtained. The mechanisms of influence of the structural disorder and polymorphic transformations on the decrease in strength and crack resistance were established.
1. Introduction
The problem of polymorphic transformations or phase transformations in zirconium dioxide (ZrO2) has been known for a long time and, at the same time, is one of the limiting factors for the use of this type of ceramic under operating conditions capable of initiating these processes [1,2,3]. As a rule, the mechanisms of polymorphic transformations in zirconium dioxide occur as a result of the mechanical effects of a large load, thermal heating, or radiation damage caused by irradiation or processes of nuclear or transmutation reactions [4,5]. Moreover, in most cases, this effect is irreversible, which should be taken into account when designing power plants using these types of ceramics as structural materials. The polymorphic transformation processes themselves are changes associated with the crystal lattice rearrangement, as well as phase transformations, which, in turn, can affect both the strength and thermal parameters of ceramics [6,7,8].
In the case of ceramic materials, which in most cases have a dielectric nature, such structural changes can seriously affect the characteristics of the ceramics, while the nature of these changes can lead to irreversible consequences and deterioration of certain properties [9,10]. However, in several studies, it was found that the processes of polymorphic transformation in ZrO2 ceramics, resulting from the accumulation of radiation damage, can lead to a decrease in the degradation rate of the near-surface layer during prolonged irradiation, causing a cumulative effect from radiation defects [11,12,13]. Such changes may be associated with the formation of intergranular or interfacial boundaries, as well as the change in density during structural rearrangement and the subsequent formation of a reinforcing layer.
It should be noted that zirconium dioxide, which has an ionic interatomic bond, can exist in three different crystalline modifications: cubic, monoclinic, and tetragonal [14,15]. In this case, the possibility of a transformational transition or polymorphic transformation from a metastable tetragonal phase to more stable monoclinic or cubic phases leads to a change in the strength characteristics of ceramics. Such polymorphic transformations can be initiated as a result of external impact processes, for example, heating or mechanical deformation. In this case, polymorphic transformations, as a rule, are accompanied by a change in the volume of the crystal lattice and the density of the ceramics, as well as the density of the dislocation and point defects [16]. In a number of works [17,18,19], it was found that the processes of polymorphic transformation occur during irradiation with heavy ions [20,21]. At the same time, the authors found that the processes of polymorphic transformation only occur in the case of overcoming the threshold values of the energies of atomic displacement and the binding energies in the ceramics [22]. In addition, the processes themselves have a pronounced dependence on the irradiation fluence. The observed changes in the structural and strength changes in ceramics subjected to irradiation, and the fact that polymorphic transformations are initialized at sufficiently large irradiation fluences, as well as in the case of large ionization losses, indicates that the process of polymorphic transformation has a pronounced dependence, not only on temperature, but also on the degree of deformation of the structure [18,19,20,21,22].
Furthermore, an important issue in the processes of polymorphic transformation in ZrO2 ceramics under long-term radiation exposure is understanding the nature of the mechanisms that cause these changes, as well as dose dependences [23,24]. Moreover, if in the case of the polymorphic transformations caused by mechanical action or thermal heating, the processes themselves have been sufficiently well explained and confirmed, then in the case of such transformations caused by irradiation, the exact nature has not been fully explained. The lack of a common understanding and explanation of these transformations under radiation exposure is due to the difficulties in interpreting these changes, as well as the combination of effects, thermal heating of local areas, and deformation distortions arising from the interaction of incident ions with matter. The dual nature of the interaction of incident ions with the ceramic structure, as well as the dielectric properties of ceramics, can be accompanied by the formation of regions with a strongly deformed crystal structure, as well as the formation of anisotropy of the electron density distribution [25,26]. At the same time, according to the generally accepted theories of radiation damage, the formation of such metastable regions of disorder occurs due to elastic and inelastic interactions of incident ions, followed by the transformation of the transferred kinetic energy into thermal energy over short time intervals (less than 10−11 s), which leads to the rapid heating of locally damaged regions [27,28,29]. The temperature of these local areas can vary, from several hundred to thousands of degrees, and the lifetime of these areas is quite short, but the changes resulting from these areas can be very significant. In the case of a number of ceramics, according to literature data [20,21,22], this can lead to the formation of amorphous inclusions or regions of structural disorder, in the form of discontinuous latent tracks [30,31,32].
In this regard, the study of the mechanisms of polymorphic transformations in ZrO2 ceramics, as well as their influence on the change in the properties of the material and understanding the nature of the associated processes, is very interesting and promising, not only from a fundamental point of view, but also from a practical standpoint. The fundamental purpose of these studies is to obtain new knowledge about the nature and mechanisms of these transformations associated with exposure to ionizing radiation, which will then be used to expand the general theory of radiation-induced damage in ceramics and insulators. The practical significance of such studies consists in determining the critical doses of radiation-induced damage that can lead to partial or complete phase polymorphic transformation, as well as establishing the dependence of changes in the strength, optical, or thermophysical characteristics of ceramics on the degree of polymorphic transformations and the structural changes caused by them. These results will be very useful in the future, in determining the efficiency of using these ceramics as structural materials for nuclear power [33,34]. At the same time, it should be noted that there is no unified theory about the origin of polymorphic transformations in ZrO2 ceramics under the action of ionizing radiation, since the current literature data have differences in the observed effects, primarily related to differences in the initial samples, as well as the conditions of exposure to ionizing radiation [19,20,21,22,23,24]. However, despite the differences in the data obtained, all research groups agreed that the processes of polymorphic transformations themselves occur when certain fluences or radiation doses are reached, which indicates that the initialization of the processes of transformation of the crystal structure occurs as a result of a cumulative effect, which in some cases is associated with structural distortions, as well as deformation of the crystal lattice.
2. Materials and Methods of Research
2.1. Irradiation of Samples for Simulation of Radiation Damage Processes
The study of the mechanisms of radiation damage caused by irradiation with heavy ions and the subsequent evolution of structural changes and polymorphic transformations during irradiation was carried out by irradiating the studied samples with Kr15+ heavy ions with an energy of 150 MeV. Irradiation was carried out in vacuum at room temperature, which was controlled and maintained using special water-cooled holders. Maintaining the room temperature of the sample was due to the need to remove the effect of volume heating of the target, which can occur during irradiation and lead to partial or complete annihilation of the resulting radiation defects. Irradiation was carried out at the heavy ion accelerator DC-60 (AB INP, Astana, Kazakhstan). Control over the fluence set was implemented using an integrated system with Faraday cylinders. The density of the incident particles was no more than 109 ions/cm2∙s. Irradiation fluences were 1011–1016 ions/cm2. The assessment of radiation damage and energy losses was carried out using the SRIM Pro 2013 program code, which makes it possible to determine the ionization losses of incident ions during their interaction with the electronic and nuclear subsystems of the target material. Figure 1 shows the results of the ionization losses of incident ions in the target along the ion trajectory. For calculations, we used a ZrO2 target with a density of 5.68 g/cm3 and a thickness of 20 μm. The calculations were performed using a model that takes into account full cascade collisions.
Figure 1.
Simulation results of ionization losses of incident ions in the target material.
As can be seen from the calculated data, the maximum penetration depth of incident Kr15+ ions was 13.5–14.0 µm, which was approximately 70% of the entire sample thickness. Thus, the observed structural changes in the damaged layer, taking into account the selection of X-ray diffraction imaging conditions, made it possible to evaluate structural changes and related polymorphic transformations in the ceramics. It should be noted that, according to the calculations, over most of the ion penetration depth, ionization losses of incident ions dominated during the interaction with the electron subsystem, and the main contribution to atomic displacements was only observed when the maximum penetration depth was reached, where ionization losses during collision with nuclei dominated.
2.2. Applied Methods for Characterization of the Test Samples
The polymorphic transformations and the dose dynamics of changes in the structural parameters were established using the X-ray diffraction method, by taking X-ray diffraction patterns in the Bragg–Brentano geometry in the angular range of 2θ = 20–90°. Estimates of anisotropic changes in the structural parameters and the effect of polymorphic transformations on anisotropic structural distortion were carried out by recording X-ray diffraction patterns in the geometry φ = 0–360°, with a step of φ = 10° in the angular range of 2θ = 25–36°. The application of this technique makes it possible to estimate the degree of isotropy of structural distortions associated with the deformation processes of the crystal lattice and caused by external influences. The measurements were carried out on a D8 Advance ECO X-ray diffractometer (Bruker, Berlin, Germany).
The morphological features of the synthesized ceramics were studied using scanning electron microscopy, implemented on a Jeol 7500F microscope (Jeol, Tokyo, Japan) and atomic force microscopy, using an AIST NT microscope (Novato, CA 94949, USA).
The thermophysical parameters and their changes were determined using the method of measuring the longitudinal heat flux in the temperature range from 25 to 700 °C, and based on these changes, the thermal conductivity coefficient was calculated. These measurements were carried out using a KIT-800 instrument (Teplofon, Novomoskovsk, Russia).
The determination of the change in strength characteristics was carried out using two methods of analysis. The hardness and softening of the near-surface layer, depending on the irradiation conditions, was evaluated using the method of indentation of the samples. For measurements, a LECO 700M microhardness tester (LECO, Tokyo, Japan) was used. The crack resistance of the ceramics was determined from their single compression at a constant loading rate on the indenter, until the determination of microcracks and destruction of the samples. Based on the obtained values of the maximum pressure that the ceramics could withstand under external action until the moment of cracking, the value of ceramic crack resistance was determined, as well as the dynamics of its change depending on the irradiation fluence.
3. Results and Discussions
3.1. Characterization of the Initial Sample
Polycrystalline ceramics obtained by high-temperature pressing from zirconium dioxide powders were chosen as the samples under study. The samples for irradiation were ceramic plates 20 µm thick and 10 × 10 mm in size. The thickness of the samples was chosen experimentally, to be able to assess the processes and mechanisms of radiation damage in the entire volume of the ceramics, as well as to assess the mechanisms of polymorphic transformation caused by the irradiation. Before irradiation, the studied samples were subjected to polishing, in order to eliminate surface defects arising during the preparation process. Figure 2a,b show the results of the sample surface morphology before irradiation, performed using scanning electron microscopy and atomic force microscopy.
Figure 2.
(a) Results of studying the surface morphology of the ZrO2 ceramic samples in the initial state: (a) SEM image; (b) 3D surface reconstruction made using atomic force microscopy.
As can be seen from the presented data, the roughness of the obtained samples after polishing was no more than 3–4 nm, while the formation of large structural defects or polishing bands was not observed on the surface.
Figure 3 shows the results of X-ray diffraction of the sample before irradiation. In the initial state, the sample of the studied ceramic was a highly ordered ceramic with a dominant tetragonal ZrO2 phase (PDF-00-050-1089), with the parameters a = 3.5624 ± 0.0024 Å, c = 5.1045 ± 0.0021 Å, and an impurity cubic ZrO2 phase (PDF-01-071-4810) with a crystal lattice parameter a = 5.0912 ± 0.0017 Å. The t-ZrO2/c-ZrO2 phase ratio was 79/21.
Figure 3.
X-ray diffraction pattern of ZrO2 ceramics in the initial state, reflecting the presence of a dominant tetragonal phase (t-ZrO2) and an impurity cubic phase (c-ZrO2).
Based on the obtained data of the crystal lattice parameters, the deformation factor was calculated, which reflects the deviation of the crystal lattice parameters from the reference values for characteristic structures. This deformation factor was calculated considering these parameters for the reference ZrO2 phase, with a tetragonal crystal lattice a = 3.5910 Å, c = 5.1690 Å (PDF-00-050-1089). The deformation factor of the crystal lattice parameters were 0.79% for a and 1.24% for c, which was due to the processes of obtaining the ceramics and was also associated with the structural changes caused by deformation of the structure during synthesis. At the same time, the differences in the deformation factor for different crystallographic axes indicated the presence of anisotropic structural distortions of the crystal lattice, which are characteristic of hexagonal and tetragonal types in dielectric ceramics.
3.2. Study of the Processes of Polymorphic Transformations and Anisotropic Distortion of the Crystal Structure
As shown in a number of works [35,36,37], regarding the dielectric nature of ceramics or polymers, the processes of structural deformation are anisotropic in nature, which can manifest itself, both in the form of differences in the magnitude of deformation distortions of the crystal lattice along each axis and as anisotropic deformation of crystallites. At the same time, the nature of anisotropic distortions is most pronounced at high fluences of irradiation with high-energy ions, which are characterized by the presence of effects from overlapping structurally disordered regions, formed along the trajectory of ions in the material. In the case of ZrO2 ceramics, irradiation with high-energy ions is accompanied by polymorphic transformations of the t-ZrO2 → c-ZrO2 type, as a result of which these processes can lead to anisotropic deformation, or vice versa, anisotropic deformation processes can contribute to polymorphic transformations.
These changes and their dynamics can be most informatively assessed by changing the shape and intensity of the diffraction reflections when taking X-ray diffraction patterns in the geometry φ = 0–360°. This method of analysis and interpretation of the nature of anisotropic distortions is based on the following assumption: When taking X-ray diffraction patterns in the geometry of φ = 0–360° of the main (most intense) diffraction reflections, the change in intensity depending on the rotation angle φ at a fixed initial value, in the case of isotropy and sphericity of coherent scattering regions (crystallites), should not be observed in the entire measured angular range of φ = 0–360°. The occurrence of deviations in the intensity of diffraction reflections upon rotation by φ in any angular range indicates a violation of the sphericity of the coherent scattering regions and the formation of anisotropic distortions of the crystal lattice.
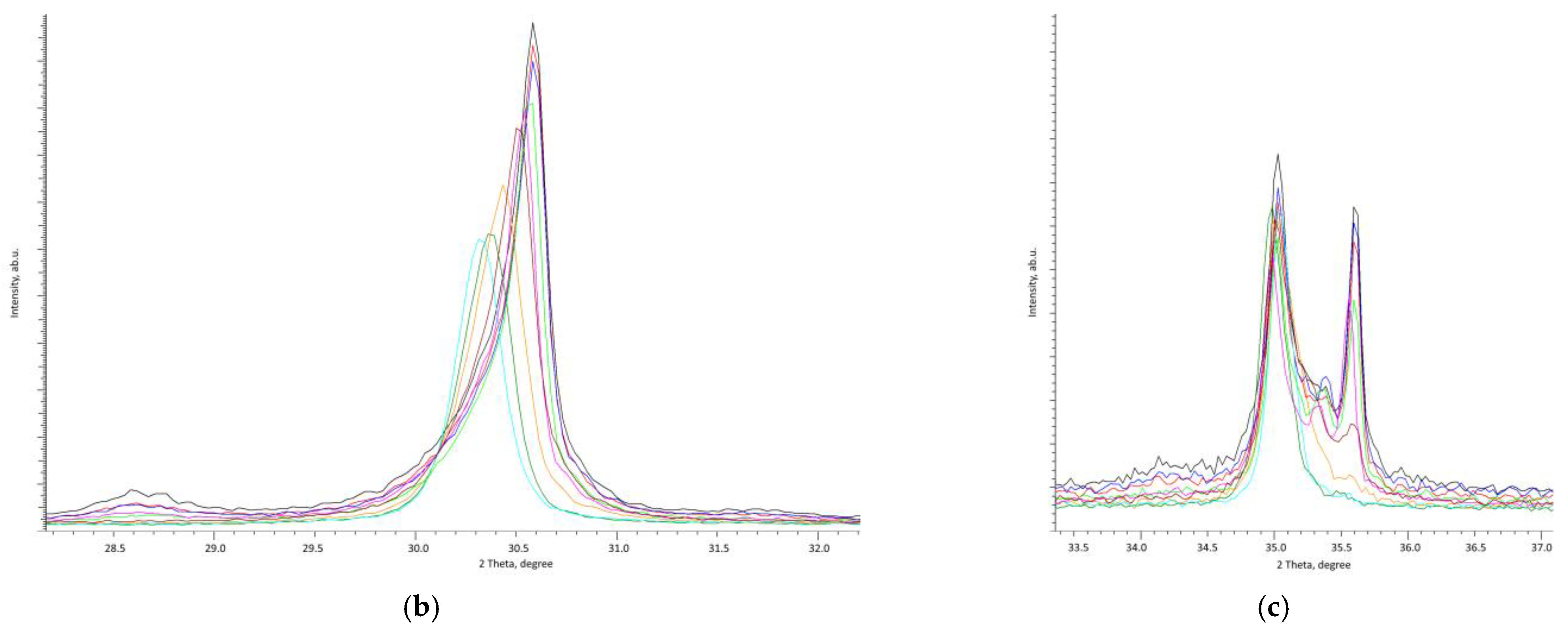
Figure 4a shows X-ray diffraction patterns of ZrO2 ceramics, depending on the irradiation fluence, and which clearly reflect the changes that occurred in the samples as a result of irradiation associated with the processes of polymorphic transformation. The general view of the observed changes can be divided into three stages, characteristic of different fluences: The first stage of changes in X-ray diffraction patterns is typical for irradiation fluences of 1011–5 × 1012 ion/cm2. At this stage, an increase in the irradiation fluence leads to a slight shift of diffraction reflections to the region of small angles, as well as the absence of significant changes in the ratio of the intensities of diffraction reflections for the tetragonal and cubic phases, which indicates the absence of polymorphic transformation processes at these fluences [20,21,22,23].

Figure 4.
(a) X-ray diffraction patterns of the studied samples of ZrO2 ceramics depending on the irradiation fluence; (b) Dynamics of changes in diffraction reflections in the region of 2θ = 29–31°; (c) Dynamics of changes in diffraction reflections in the region of 2θ = 34–36°.
The second stage of changes is typical for fluences of 1013–1014 ion/cm2, which is characterized not only by a shift of diffraction reflections, indicating the deformation nature of structural changes, but also by a change in the ratio of the intensities of diffraction reflections for t-ZrO2 and c-ZrO2, which indicates processes of polymorphic transformations type t-ZrO2 → c-ZrO2, followed by rearrangement of the crystal structure and the dominance of the cubic phase. Such structural and phase changes at given irradiation fluences can be explained as follows. Changes in the main diffraction reflections reflecting polymorphic transformations are presented in Figure 4b,c.
In the case of low irradiation fluences (below 1012 ion/cm2), the damaged regions formed along the ion motion trajectory in the material are local in nature and isolated from each other. At the same time, the probability of overlapping defective regions at low fluences is quite low, due to the stochastic nature of irradiation. The isolation of these local defect regions leads to the fact that the main changes are localized in a small volume, and most of the structural defects can relax in short time intervals. It should also be noted that the main contribution to the structural changes from heavy ions, almost along the entire trajectory of ion motion in the material, is made by the interactions of ions with the electronic subsystem, which exceed the interactions of ions with nuclei by almost a thousand times in energy equivalence. In this regard, due to the dielectric nature of ceramics, the change in the electron density along the trajectory of ions in the material, in contrast to metals, is practically irreversible, with a low relaxation rate. With an increase in the irradiation fluence above 5 × 1012 ion/cm2, the local defect regions formed along the trajectory of ions in the ceramic material, having characteristic dimensions of 5–7 nm in diameter, begin to break. The formation of such local overlaps leads to the accumulation of structural distortions and deformations, which in turn leads to the formation of highly deformed regions or metastable structural formations, which in turn can lead to the initialization of processes of polymorphic transformations of the t-ZrO2 → c-ZrO2 type. In this case, polymorphic transformations in zirconium dioxide are, as a rule, accompanied by a destructive change in the volume [38] and grain size [2], as well as a change in their structural properties. At the same time, in a number of works [39,40], it was noted that the processes of polymorphic transformations can be associated with both deformation processes and thermal heating. At the same time, deformation processes during irradiation with heavy ions are associated with the formation of point defects and their evolution, changes in electron density, and atomic displacements, which are characteristic of irradiation with large fluences. In the case of irradiation with heavy ions with large fluences, according to the thermal peak model [41], in locally deformed regions formed along the trajectory of ions in the material, short-lived (10−13 s) regions with an increased temperature (500–1500 K) can appear, which, in the case of overlapping defective regions, can contribute to the processes of polymorphic transformations [17,18,19]. An analysis of the obtained dependences of the change in intensities for the tetragonal and cubic phases on the irradiation fluence (see the data in Figure 5a) indicated that the main processes of polymorphic transformation ended at fluences of 5 × 1013–1014 ion/cm2. In this case, there is a sharp decrease in the contributions of the reflection intensities characteristic of the tetragonal phase of zirconium dioxide and the dominance of the contributions of the cubic phase. It should be noted that the processes of polymorphic transformations of the t-ZrO2 → c-ZrO2 type at an irradiation fluence of 1013 ion/cm2 lead to an almost equal phase ratio in the structure of ceramics, while at an irradiation fluence of 5 × 1013 ion/cm2, the t-ZrO2 phase is almost completely replaced, the contribution of which does not exceed 10%.
Figure 5.
(a) Results of the evaluation of the contributions of t-ZrO2 and c-ZrO2 in ceramics irradiated with ZrO2 depending on the irradiation fluence; (b) Results of evaluation of the crystallinity degree in ZrO2 ceramics depending on the irradiation fluence.
The third stage of changes is typical for fluences of 1014–1016 ion/cm2, which are characterized by the dominance of the c-ZrO2 cubic phase, indicating that the processes of polymorphic transformations of the t-ZrO2 → c-ZrO2 type completely displace the tetragonal phase from the volume. The main changes in diffraction reflections for these fluences are associated with a shift of reflections to the region of small angles 2θ°, indicating deformation of the crystal lattice, as well as a decrease in the intensity of reflections and an increase in their shape asymmetry.
Analyzing the ratio of the areas of diffraction reflections and the background, in order to determine the degree of crystallinity of the samples under study, as well as its change depending on the irradiation fluence, the following results were obtained, which are presented in Figure 5b. The following expression (1) was used to determine the degree of crystallinity.
where Speak—the areas of diffraction reflections, Sbackground—the area of background radiation.
In the initial state, the degree of crystallinity was more than 97%, which indicated a small contribution of amorphous or structurally disordered inclusions in the composition of the ceramics. The change in the degree of crystallinity of the surface layer with a change in the irradiation fluence indicated the formation of amorphous inclusions as a result of polymorphic transformations t-ZrO2 → c-ZrO2.
As can be seen from the data presented in Figure 5b on the change in the ratio of the crystalline and amorphous phases in the composition of ceramics with increasing fluence, the main changes occur at fluences above 1014 ion/cm2, which are characterized by the formation of a large number of structural defects, as a result of the overlap of defective regions. At the same time, it should be noted that at irradiation fluences of 1011–5 × 1012 ion/cm2, no change in the degree of crystallinity was observed, which indicates that in the case of the formation of locally isolated defect regions, the main changes in the intensities of diffraction reflections are associated with deformation processes, and not with amorphization of the structure. In the case of irradiation fluences of 1013–1014 ion/cm2, which are characteristic of polymorphic transformations t-ZrO2 → c-ZrO2, a slight increase in the content of the amorphous phase was observed. This indicates that the processes of polymorphic transformations are accompanied by the formation of amorphous-like inclusions or structurally disordered regions, the formation of which is associated with the processes of recrystallization and rearrangement of the crystal lattice upon deformation.
The nature of the deformation of the crystal structure in ceramics plays a very important role in assessing the resistance of materials to external influences, as well as the mechanisms of the destruction caused by irradiation (See Figure 6). Previously, in [35,36,37], the application of the technique of taking X-ray diffraction patterns in the geometry φ = 0–360° to assess the isotropy of the structural distortions caused by irradiation in dielectric ceramics and polymers was shown. The obtained series of diffraction patterns in the geometry of φ = 0–360°, according to the hypothesis put forward in the case of isotropic distortion of the structure, should reflect the same dynamics of changes in the intensity of reflections when the sample is rotated through the angle ∆φ. In the case of anisotropic distortion, the obtained diffraction patterns will show a change in their intensity values depending on the angular position φ. Moreover, the greater this change in the intensity of diffraction reflections, the greater the anisotropic distortion of the structure. The appearance of intensity asymmetry in the angular range φ = 0–360° can be interpreted as a structural distortion of coherent scattering regions (crystallites), as well as deformation of their shape and the deviation from spherical. It should also be noted that the evaluation of these changes can allow a qualitative assessment of the presence of anisotropic distortion of the structure; and, quantitatively, the anisotropy of the distortion can be estimated from the change in the deformation factors of the crystal lattice in the case of non-cubic crystal lattices. Figure 6 shows the results of the X-ray diffraction of the studied samples of ZrO2 ceramics in the geometry φ = 0–360°, depending on the fluence of irradiation with heavy Kr15+ ions. The diffraction patterns were recorded in the angular range of 2θ = 27–37°, which is characteristic of the main reflections of the tetragonal phase, with Miller indices (011) and (110) characterizing changes in the crystal lattice parameter a, and indices (002) characterizing changes in the crystal lattice parameter c for the tetragonal type of structure; for the cubic phase with Miller indices (220) and (311).

Figure 6.
Resulting X-ray diffraction patterns of the studied samples in the survey geometry of φ = 0–360°.
In the case of the original sample, the change in the intensity of the main reflections at 2θ = 29–31° and 2θ = 34–36° in the geometry φ = 0–360° remained practically unchanged, which indicated the isotropy of the structural characteristics and crystallites. Small changes in the reflection at 2θ = 29–31° can be explained by the superposition of two phases.
For the ceramic samples irradiated with fluences of 1011–1012 ion/cm2, it is clearly seen that anisotropic distortion in the irradiated samples began to manifest itself in the form of changes in the intensities of diffraction reflections at 2θ = 29–31° with an increase in the rotation angle φ, which indicates that during the interaction of incident particles with the structure (See Figure 6 and Figure 7), the main deformations occurred along the texture (011) for the tetragonal phase and (220) for the cubic phase. At the same time, at these irradiation fluences, no change in the intensity of the remaining reflections was observed. The appearance of anisotropy of the reflection intensities at 2θ = 29–31°, in the absence of changes in the degree of crystallinity (see the data in Figure 5b), indicates that the locally isolated defect regions formed led to the formation of deformation distortions with a preferred direction. In addition, this anisotropy can be explained by the rotation of grains of different phases and their deformation as a result of the transferred ion kinetic energy and its subsequent transformation into thermal energy.
Figure 7.
(a) Results of the change in the deformation factor of the crystal lattice parameters for the t-ZrO2 and c-ZrO2 phases, depending on the irradiation fluence; (b) Results of the change in the crystal lattice volume during the radiation damage accumulation.
An increase in the irradiation fluence to 5 × 1012 ion/cm2 and higher led to an increase in the anisotropy of the diffraction reflection of 2θ = 29–31°, as well as the formation of an anisotropic distortion of the (002) reflection, which is characteristic of distortions of the crystallographic axis c of the tetragonal phase of t-ZrO2. From the observed changes, we can conclude that an increase in the irradiation fluence leads to anisotropic deformation of the tetragonal phase, first along the selected texture direction (011), then, with an increase in the irradiation fluence, also along the (002) direction.
In the case of irradiation fluences, which are characteristic of the initialization of polymorphic transformations of the t-ZrO2 → c-ZrO2 type, at an irradiation fluence of 1014 ions/cm2, a small anisotropic distortion of the (220) reflection and a complete absence of changes for the (311) reflection characteristic of the cubic phase were observed. An increase in the irradiation fluence above 1014 ion/cm2 led to an anisotropic distortion of the cubic phase, the deformation of which can also be explained by the formation of structurally disordered regions in the damaged layer caused by the radiation damage accumulation.
Thus, analyzing the obtained data on the changes in diffraction patterns in the geometry φ = 0–360°, we can draw the following conclusions. At low irradiation fluences (1011–1012 ion/cm2), the main anisotropic changes were associated with the deformation of the crystal structure along the selected direction (011), which is characteristic of the tetragonal phase of t-ZrO2. At the same time, the absence of amorphization processes for these irradiation fluences indicates that the anisotropic distortion was associated with the deformation processes of the tetragonal phase, while the reflections characteristic of the c-ZrO2 cubic phase remained unchanged. An increase in the irradiation fluence above 1012 ion/cm2 led to anisotropic distortion of the (011) and (002) reflections, which indicates the deformation of the crystal structure in two textural directions coinciding with changes in the crystallographic axes a and c for the tetragonal lattice. In this case, the nature of the anisotropy depending on the angle of rotation φ is different, which also indicates a different degree of deformation of the structure. For fluences of 5 × 1013–1014 ions/cm2, characteristic of polymorphic transformations of the t-ZrO2 → c-ZrO2 type, it was found that the polymorphic transformation and displacement of the tetragonal phase led to a small anisotropy of the cubic phase. An increase in the irradiation fluence above 1014 led to an increase in the anisotropic distortion of the cubic phase, which was due to the formation of amorphous inclusions due to an increase in the overlapping regions of local defective regions and disordering of the structure of the damaged layer.
Figure 7a shows the results of estimating the change in the crystal lattice parameters for the tetragonal and cubic phases of ZrO2, in the form of the dependences of the deformation factor on the irradiation fluence, which reflects the degree and nature of the distortion of the crystal lattice. The general view of the nature of the change in the deformation factor for both phases indicates tensile stresses and deformations, the concentration of which increases with increasing fluence, which indicates a cumulative effect. As can be seen from the presented data, the distortion of the crystal lattice for the tetragonal phase had an anisotropic character depending on the fluence, which confirmed these changes in the position of the diffraction reflections and their intensity in the survey geometry φ = 0–360°. The most pronounced deformations in the tetragonal lattice were observed along the crystallographic axis a, while deformation distortion of the crystallographic axis c at low fluences was practically not observed. In this case, the initialization of the processes of polymorphic transformations of the t-ZrO2 → c-ZrO2 type led to a sharp increase in the deformation of the crystal lattice along both crystallographic axes; however, the anisotropic nature of the distortions became more pronounced. Deformation of the crystal lattice for the cubic phase of ZrO2 was most pronounced after the displacement of the tetragonal phase and the increase in the irradiation fluence above 1014 ion/cm2, which are characterized by the accumulation of radiation-induced damage, leading to partial amorphization or strong disordering of the damaged layer. In this case, the deformation of the crystal lattice of the cubic phase sharply increased and, at the maximum irradiation fluence, was more than 3.5%.
Figure 7b shows the results of the change in the crystal lattice volume for the tetragonal and cubic phases of ZrO2 depending on the fluence of heavy ion irradiation. These changes characterized the deformation of the crystal lattice volume during the radiation damage accumulation. The presented data on the change in the crystal lattice volume indicates swelling processes, which were most pronounced at fluences above 1013 ion/cm2. Moreover, the nature of the swelling of the tetragonal and cubic lattices was different. At low irradiation fluences (1011–1012 ion/cm2), only swelling of the tetragonal lattice was observed, while the cubic lattice volume remained unchanged, which indicates that the main deformation and distorting processes occurred in the tetragonal lattice. For irradiation fluences of 5 × 1013–1014 ions/cm2, which are characteristic of the stage of polymorphic transformations, a sharp increase in the tetragonal lattice volume was observed, indicating its deformation, accompanied by transformation into a cubic phase. At the same time, the change in the cubic lattice volume for these fluences was less than 1%, which indicates a high resistance of the cubic phase to deformation distortions and destruction during the radiation damage accumulation. A further increase in the irradiation fluence above 1014 ion/cm2, which led to the formation of locally disordered or amorphous regions in the structure of the damaged layer, led to swelling of the crystal lattice volume for the cubic phase, which indicated a decrease in the resistance of the ceramics to radiation damage during their accumulation.
3.3. Study of the Stability of the Strength Properties of ZrO2 Ceramics Depending on the Irradiation Fluence
One of the most important characteristics of the applicability of ceramic materials as a basis for structural materials or inert matrices for nuclear fuel is the preservation of the stability of their strength and mechanical properties during the accumulation of radiation damage and the structural changes caused, including polymorphic transformations. As a rule, the accumulation of radiation damage occurs in a small near-surface layer, the thickness of which depends on the energy of the incident ions, as well as the density of the material and on the structural deformations and swelling of the crystal lattice. Figure 8a shows the results of changes in the hardness of the near-surface layer of ceramics depending on the irradiation fluence, determined using the indentation method. Vickers hardness was determined using expression (2).
where P is the applied load, and d is the average diagonal of the imprint.
Figure 8.
(a) Results of the assessment of changes in the hardness of the near-surface damaged layer depending on the irradiation fluence; (b) Results of the assessment of changes in the value of the maximum pressure the ceramics were capable of withstanding under a single compression.
As can be seen from the data presented, at low irradiation fluences, which are characterized by anisotropic distortions of the crystal lattice of the tetragonal phase, there was practically no change in hardness. The absence of serious changes in the hardness of the damaged layer at low irradiation fluences (1010–1012 ion/cm2) can be explained by the fact that the main structural damage for this range of irradiation fluences is associated with anisotropic distortions of the crystal lattice, as well as the formation of isolated local defect regions, which do not significantly affect the change in resistance to external influences. The most pronounced changes in hardness, expressed in the softening of the damaged layer, were observed with an increase in fluence above 5 × 1012 ion/cm2, which were characterized by the initialization of polymorphic transformation processes, followed by a destructive increase in the crystal lattice volume. This change in hardness was also due to the fact that, with an increase in the irradiation fluence above 1013 ion/cm2, overlapping of local defective regions was observed, which led to the formation of disordered regions, with a subsequent increase in their concentration in the damaged layer. In this case, partial amorphization of the damaged layer [42], which is expressed in the crystal lattice swelling, as well as an increase in the contributions of disordered regions, led to a significant weakening of the damaged layer.
Figure 8b shows the results of determining the resistance of the ceramics to a single compression, which characterizes the resistance to cracking and destruction under mechanical stress on the ceramics. As in the case of the data on the hardness of the near-surface layer, the nature of the change in crack resistance followed a similar dynamic of changes depending on the irradiation fluence. The main changes occurred with fluences characteristic of the stage of polymorphic transformations, which led to a destructive change in the volume and disorder of the damaged layer, which negatively affected the resistance to cracking.
Figure 9 shows the results of changes in the values of softening and resistance to cracking depending on the amount of swelling of the crystal lattice, as well as the content of amorphous inclusions in the composition of the damaged layer, determined by analyzing X-ray diffraction patterns.
Figure 9.
Data on changes in the degree of softening and crack resistance, depending on the crystal lattice swelling value (a) and the content of amorphous inclusions in the damaged layer (b).
The general view of the dependences presented in Figure 9 indicates that the strength characteristics of the ceramics had a pronounced dependence on the degree of swelling, as well as the concentration of amorphous inclusions. The most dramatic deterioration in strength characteristics was characteristic of swelling and deformation of the crystal lattice occurring during the processes of polymorphic transformations. In this case, with small changes in volume from 1.5% to 2.0%, a degradation of strength properties of almost 3–6% occurred compared to the initial values, which indicated a deterioration in resistance to external influences. At the same time, a further increase in the crystal lattice volume to 10% led to smaller changes in the strength values, which indicated a decrease in the effect of changes in the volume of the crystal lattice on the strength properties. However, analyzing the dependence of the change in strength parameters on the concentration of the disordered regions and amorphous inclusions in the damaged layer, it was seen that an increase in the concentration of these inclusions as a result of the radiation damage accumulation in the near-surface layer had a greater effect on the change in strength properties than swelling.
Thus, by analyzing the changes in the strength properties of ZrO2 ceramics depending on the irradiation fluence, we can conclude that the weakening of ceramics was associated with the processes of polymorphic transformations, leading to a destructive change in the crystal lattice volume. At high irradiation fluences, the dominant role in the softening of the damaged layer was played by the regions of structural disorder that arose during the radiation damage accumulation. At the same time, the decrease in hardness and crack resistance under external influences had the same downward trend depending on the irradiation fluence.
3.4. Study of the Effect of Radiation Damage Accumulation on the Thermophysical Properties of ZrO2 Ceramics
One of the most important parameters for structural materials, in addition to resistance to radiation damage and mechanical stress, is thermal conductivity, a change in which as a result of external influences can lead to irreparable consequences and destruction associated with the appearance of locally heterogeneous overheated regions in the damaged layer. At the same time, during determination of the thermophysical parameters of ceramic materials, it is necessary to take into account many factors, including the porosity, density, composition uniformity, and the presence of defective inclusions, which can have different effects on the change in the heat transfer processes. As is known, during irradiation, the formation of a defective fraction in the damaged layer leads to deformation of the crystal lattice, associated with a change in its volume, as well as distortions. At the same time, an increase in the volume of the crystal lattice leads to a decrease in the density of the material and the formation of porous inclusions, the appearance of which must be taken into account when analyzing thermophysical parameters. Figure 10a shows the results of determining the change in the thermal conductivity (Keff) depending on the irradiation fluence, which reflect the change in the thermophysical properties of ceramics during the accumulation of radiation damage. The presented dependence of the change in the value of thermal conductivity is characterized by small changes in a wide range of irradiation fluences (1011–1014 ion/cm2), which indicates that deformation distortions of the crystal structure, as well as softening of the damaged layer, do not have a significant effect on the change in thermal conductivity. At the same time, a slight decrease in thermal conductivity (less than 2–3%) was observed in the fluence range of 1013–1014 ion/cm2, which is characteristic of polymorphic transformation processes; however, the processes themselves, according to the data obtained, did not significantly affect the change in thermal conductivity. The largest changes in the Keff value were observed for fluences of 1015–1016 ion/cm2, which were characterized by the formation of amorphous inclusions and structurally disordered regions in the damaged layer in the structure. Such a decrease in thermal conductivity indicates that the appearance of disordered regions in the damaged layer affects the processes and mechanisms of heat transfer, which, in turn, are determined by phonon mechanisms, the violation of which occurs due to partial amorphization of the structure.
Figure 10.
(a) Results of changes in the thermal conductivity value depending on the irradiation fluence; (b) dependence of the change in heat losses on the porosity of ceramics subjected to irradiation.
Figure 10b shows the results of changes in heat loss depending on the porosity of the irradiated ceramics. The porosity value was estimated based on the changes in the data of the crystallographic density of ceramics and the volume of the crystal lattice, the change in which was determined by analyzing X-ray diffraction patterns. The value of heat losses was estimated by comparing the value of the thermal conductivity coefficient for the original and irradiated ceramics. The overview of the presented dependence in Figure 10b indicates that the change in thermophysical parameters had a pronounced dependence on the porosity of the ceramics, which was associated with a change in the volume of the crystal lattice and disordering of the structure. The greatest changes in heat losses were observed when the disorder became very large, and the porosity exceeded 8%.
Figure 11 shows the dependence of the change in the values of thermal diffusivity and thermal conductivity on the density of the ceramics, the change in which was due to the disordering and destruction processes.
Figure 11.
Dependence of the change in thermophysical parameters on the change in the density of ceramics.
The presented dependences indicate that low irradiation fluences, which are characterized by deformation distortions of the crystal lattice and which do not lead to significant changes in its volume, do not affect the decrease in thermophysical parameters. In addition, the processes of polymorphic transformation, leading to the displacement of the tetragonal phase, led to small changes in the thermophysical parameters, due to a decrease in the density of the ceramics, associated with destructive swelling of the crystal lattice. At the same time, an increase in the irradiation fluence above 1014 ion/cm2, which led to disordering and the formation of amorphous inclusions, led to a decrease in the thermophysical parameters by 10–20%, which negatively affected the thermophysical properties of the ceramics and the heat transfer processes.
3.5. Determination of the Influence of Thermal Annealing and the Effect of Local Heating on the Processes of Polymorphic Phase Transformations in ZrO2 Ceramics
As is known, the processes of polymorphic transformation in ZrO2 ceramics have a pronounced dependence on both the deformation changes and temperature effects associated with local heating of the structure [43,44]. At the same time, in the case of irradiation, both types of processes are probable; however, their contributions to the processes of polymorphic transformation are rather difficult to separate, since both the processes of deformation of the crystal structure as a result of irradiation and subsequent accumulation of the defective fraction, and the processes of local heating during irradiation, occur simultaneously and are equally probable [17,18,19,20,21,22,23]. Moreover, part of the deformation distortions can be due to the formation of locally inhomogeneous heating regions, as a result of the interaction of incident ions with the substance; and heat transfer processes, in view of the dielectric nature of ceramics, are due to phonon transfer, since the electron density is rather low in ceramics. The formation of locally heterogeneous regions of heating during irradiation can lead to an increase in deformation processes or their partial annihilation. To assess the effect of thermal heating, as well as the possibility of initiating the processes of polymorphic transformation during the heating of ceramics [45], as well as to determine the nature of thermal effects on the change in structural characteristics, an experiment was carried out on the thermal annealing of samples at different temperatures. The choice of the thermal annealing time of 24 h was due to the characteristic time of irradiation with heavy Kr15+ ions at a fluence of 1014 ion/cm2, which is characterized by a complete phase transformation of the t-ZrO2 → c-ZrO2 type. Thermal annealing was carried out at temperatures of 700–1000 °C, which are typical for possible local heating temperatures during the interaction of incident ions with the ceramic material.
Figure 12 shows the X-ray diffraction patterns of the ZrO2 ceramic samples in the initial state и annealed at different temperatures. The presented X-ray diffraction patterns of the samples before and after thermal annealing indicate the absence of phase transformations and structural changes associated with textural reorientation. As can be seen from the data presented, the diffraction patterns do not show the appearance of any new diffraction reflections, as well as changes in the intensity or shape of diffraction lines for the observed phases. Analysis of the intensity of the main diffraction reflections showed that, with an increase in the annealing temperature, there was a slight discrepancy in the intensity values (no more than 200–300 ab.u.), which generally fits the discrepancies due to the measurement error and cannot be taken as changes associated with the processes of texture orientation and changes as a result of heating. The absence of such changes indicates the high resistance of ceramics to thermal effects, as well as changes caused by changes in the thermal vibrations of atoms in the crystal lattice, which can lead to polymorphic transformations. It is also worth noting that the analysis of the change in structural changes and the absence of polymorphic transformations during thermal annealing in the range of 700–1000 °C indicated that the thermal effect was not able to lead to transformations of the t-ZrO2 → c-ZrO2 type, which were observed during irradiation with heavy ions with an energy of 150–250 MeV.
Figure 12.
X-ray diffraction patterns of the studied samples of ZrO2 ceramics depending on the annealing temperature.
An assessment of the effect of thermal annealing on the change in the deformation factor is shown in Figure 13a, as a temperature dependence of the change in the deformation factor in comparison with this value for the initial ceramics. As can be seen from the data presented, the main changes in the deformation contribution were associated with a slight decrease at temperatures above 900 °C, which was associated with the thermal broadening effect, which led to the partial removal of deformation distortions in the structure, due to changes in thermal vibrations of the crystal lattice, leading to structural ordering. At the same time, these changes had different effects on the crystal lattice parameters a and c, with the effect of removing deformation distortions for the crystallographic c axis dominating (by more than 2 times in comparison with a similar change for the a axis); however, the reduction in deformation distortions was quite low (less than 0.06–0.15%).
Figure 13.
(a) Change in the parameters of the deformation factor depending on the annealing temperature of the samples; (b) change in the values of volumetric and linear coefficients of thermal expansion.
When analyzing the changes in the parameters and volume of the crystal lattice depending on the temperature of thermal annealing, it was found that the decrease in the deformation factor was due to a change in the thermal vibrations of atoms in the crystal lattice, as well as a change in the value of the coefficient of thermal volume expansion, the results of which are shown in Figure 13b. It should be noted that the value of the coefficients of volumetric and linear thermal broadening in the case of annealing temperatures of 700–800 °C remained practically unchanged, while an increase in temperatures above 900 °C led to an increase in the thermal broadening coefficients, leading to structural ordering. However, these values changed insignificantly in this temperature range, which indicates a low probability of the contribution of thermal effects of local heating to the processes of polymorphic transformations observed upon irradiation with heavy ions.
Thus, analyzing the results of the studies carried out to determine the effect of thermal annealing on the processes of polymorphic transformations of the t-ZrO2 → c-ZrO2 type in ZrO2 ceramics observed upon irradiation with heavy ions, we can conclude that the occurrence of local heating regions does seriously affect the course of these processes, and the main changes caused by heating are associated with a decrease in deformation distortions of the crystal lattice.
4. Conclusions
This work was devoted to the study of the polymorphic transformation processes in ZrO2 ceramics subjected to irradiation with heavy Kr15+ ions in the range of irradiation fluences of 1011–1016 ion/cm2. To assess structural and strength changes, X-ray diffraction and indentation methods were used.
It was established that the main role in the polymorphic transformation mechanisms of the t-ZrO2 → c-ZrO2 type upon irradiation with heavy ions is played by deformation distortions associated with the radiation damage accumulation, when local defective regions overlap in the damaged layer. At the same time, the appearance of local heating regions during the transformation of the kinetic energy of the incident particles into thermal energy cannot lead to the initialization of the polymorphic transformation processes.
During the determination of the strength properties of ceramics, it was found that the main changes associated with softening and a decrease in crack resistance occurred during the initialization of the polymorphic transformation processes. They lead to an increase in the swelling of the crystal lattice volume and the accumulation of deformation distortions in the damaged layer structure.
An analysis of thermophysical parameters depending on the irradiation fluence showed that structural disorder, leading to the formation of amorphous inclusions and an increase in porosity, had a negative effect on the thermal conductivity. At the same time, deformation distortions characteristic of low irradiation fluences did not have a significant effect on the reduction of thermophysical parameters.
Author Contributions
Conceptualization, D.B.B., M.A. and A.L.K.; methodology, D.B.B., M.A. and A.L.K.; formal analysis, D.B.B. and A.L.K.; investigation, D.B.B. and A.L.K.; resources, A.L.K.; writing—original draft preparation, review, and editing, D.B.B. and A.L.K.; visualization, A.L.K.; supervision, A.L.K. All authors have read and agreed to the published version of the manuscript.
Funding
This research was funded by the Science Committee of the Ministry of Education and Science of the Republic of Kazakhstan (No. AP14871119).
Institutional Review Board Statement
Not applicable.
Informed Consent Statement
Not applicable.
Data Availability Statement
Not applicable.
Conflicts of Interest
The authors declare no conflict of interest.
References
- Vasanthavel, S.; Brian, D.; Sanjeevi, K. Tetragonal to cubic transformation of SiO2-stabilized ZrO2 polymorph through dysprosium substitutions. Inorg. Chem. 2017, 56, 1273–1281. [Google Scholar] [CrossRef]
- Lu, F.; Zhang, J.; Huang, M.; Namavar, F.; Ewing, R.C.; Lian, J. Phase transformation of nanosized ZrO2 upon thermal annealing and intense radiation. J. Phys. Chem. C 2011, 115, 7193–7201. [Google Scholar] [CrossRef]
- Adamczyk, A. The Study of the Influence of ZrO2 Precursor Type and the Temperature of Annealing on the Crystallization of the Tetragonal Polymorph of ZrO2 in Zirconia-Silica Gels. Gels 2022, 8, 724. [Google Scholar] [CrossRef]
- Sponchia, G.; Moshtaghioun, B.M.; Benedetti, A.; Riello, P.; Gómez-García, D.; Domínguez-Rodríguez, A.; Ortiz, A.L. Ceramics of Ta-doping stabilized orthorhombic ZrO2 densified by spark plasma sintering and the effect of post-annealing in air. Scr. Mater. 2017, 130, 128–132. [Google Scholar] [CrossRef]
- Ricca, C.; Ringuedé, A.; Cassir, M.; Adamo, C.; Labat, F. A comprehensive DFT investigation of bulk and low-index surfaces of ZrO2 polymorphs. J. Comput. Chem. 2015, 36, 9–21. [Google Scholar] [CrossRef]
- Surzhikov, A.P.; Frangulyan, T.S.; Ghyngazov, S.A. A thermoanalysis of phase transformations and linear shrinkage kinetics of ceramics made from ultrafine plasmochemical ZrO2 (Y)–Al2O3 powders. J. Therm. Anal. Calorim. 2014, 115, 1439–1445. [Google Scholar] [CrossRef]
- Ortiz, A.L.; Sánchez-González, J.; González-Méndez, L.M.; Cumbrera, F.L. Determination of the thermal stability and isothermal bulk modulus of the ZrO2 polymorphs at room temperature by molecular dynamics with a semi-empirical quantum-chemical model. Ceram. Int. 2007, 33, 705–709. [Google Scholar] [CrossRef]
- Gladkov, V.E.; Berezin, V.M.; Zhekhanova, N.B. Polymorphic transformation of ZrO2 in the 75 wt% Al2O3 + 25 wt% ZrO2 alloy solidified under nonequilibrium conditions. Inorg. Mater. 2010, 46, 754–757. [Google Scholar] [CrossRef]
- Podzorova, L.I.; Titov, S.A.; Il’icheva, A.A.; Mikhailina, N.A.; Pen’kova, O.I.; Shvorneva, L.I.; Gubareva, V.E.; Penkina, T.N. Low-temperature aging of ceramic on the basis of tetragonal zirconium dioxide stabilized by cations of yttrium and ytterbium. Inorg. Mater. Appl. Res. 2017, 8, 713–717. [Google Scholar] [CrossRef]
- Pu, G.; Zou, J.; Lin, L.; Zhang, K.; Liu, B.; Ma, F.; Wang, Q.; Li, Q. Effects of He ion irradiation on the microstructures and mechanical properties of t’phase yttria-stabilized zirconia ceramics. J. Alloy. Compd. 2019, 771, 777–783. [Google Scholar] [CrossRef]
- Alin, M.; Alin, M.; Kozlovskiy, A.L.; Zdorovets, M.V.; Uglov, V.V. Study of the mechanisms of the t-ZrO2 → c-ZrO2 type polymorphic transformations in ceramics as a result of irradiation with heavy Xe22+ ions. Solid State Sci. 2022, 123, 106791. [Google Scholar] [CrossRef]
- Santa, C.; Hernán, J.S.; Georg, G. Nanocrystalline ZrO2 ceramics with idealized macropores. J. Eur. Ceram. Soc. 2008, 28, 1783–1791. [Google Scholar] [CrossRef]
- Ghyngazov, S.A.; Boltueva, V.A.; O’Connell, J.H.; Vershinina, T.N.; Kirilkin, N.S.; Rymzhanov, R.A.; Skuratov, V.A.; Surzhikov, A.P. Swift heavy ion induced phase transformations in partially stabilized ZrO2. Radiat. Phys. Chem. 2022, 192, 109917. [Google Scholar] [CrossRef]
- Kelly, J.R.; Isabelle, D. Stabilized zirconia as a structural ceramic: An overview. Dent. Mater. 2008, 24, 289–298. [Google Scholar] [CrossRef] [PubMed]
- Zhang, Y.; Jing, Z. First principles study of structural and thermodynamic properties of zirconia. Mater. Today Proc. 2014, 1, 44–54. [Google Scholar] [CrossRef]
- Murthy, T.S.R.C.; Sonber, J.K.; Sairam, K.; Majumdar, S.; Kain, V. Boron-based ceramics and composites for nuclear and space applications: Synthesis and consolidation. In Handbook of Advanced Ceramics and Composites: Defense, Security, Aerospace and Energy Applications; Springer: Cham, Switzerland, 2020; pp. 703–738. [Google Scholar]
- Schuster, B.; Lang, M.; Klein, R.; Trautmann, C.; Neumann, R.; Benyagoub, A. Structural phase transition in ZrO2 induced by swift heavy ion irradiation at high-pressure. Nucl. Instrum. Methods Phys. Res. Sect. B Beam Interact. Mater. At. 2009, 267, 964–968. [Google Scholar] [CrossRef]
- Lokesha, H.S.; Nagabhushana, K.R.; Fouran, S. Swift heavy ion induced phase transformation and thermoluminescence properties of zirconium oxide. Nucl. Instrum. Methods Phys. Res. Sect. B Beam Interact. Mater. At. 2016, 379, 131–135. [Google Scholar] [CrossRef]
- Kalita, P.; Ghosh, S.; Sattonnay, G.; Singh, U.B.; Grover, V.; Shukla, R.; Amirthapandian, S.; Meena, R.; Tyagi, A.K.; Avasthi, D.K. Role of temperature in the radiation stability of yttria stabilized zirconia under swift heavy ion irradiation: A study from the perspective of nuclear reactor applications. J. Appl. Phys. 2017, 122, 025902. [Google Scholar] [CrossRef]
- Sickafus, K.E.; Hartmann, T.; Yasuda, K.; Valdez, J.A.; Chodak III, P.; Nastasi, M.; Verrall, R.A. Radiation damage effects in zirconia. J. Nucl. Mater. 1999, 274, 66–77. [Google Scholar] [CrossRef]
- Gibert-Mougel, C.; Couvreur, F.; Costantini, J.M.; Bouffard, S.; Levesque, F.; Hémon, S.; Paumier, E.; Dufour, C. Phase transformation of polycrystalline zirconia induced by swift heavy ion irradiation. J. Nucl. Mater. 2001, 295, 121–125. [Google Scholar] [CrossRef]
- Zhang, Y.; Jiang, W.; Wang, C.; Namavar, F.; Edmondson, P.D.; Zhu, Z.; Gao, F.; Lian, J.; Weber, W.J. Grain growth and phase stability of nanocrystalline cubic zirconia under ion irradiation. Phys. Rev. B 2010, 82, 184105. [Google Scholar] [CrossRef]
- Lefebvre, F.; Clément, L. Analysis with heavy ions of the amorphisation under irradiation of Zr(Fe,Cr)2 precipitates in zircaloy-4. J. Nucl. Mater. 1990, 171, 223–229. [Google Scholar] [CrossRef]
- Bai, X.D.; Chen, X.W.; Xu, J.; Zhou, Q.G.; Chen, B.S. Corrosion resistance and microstructure of zircaloy-4 subjected to ion irradiation. Nucl. Instrum. Methods Phys. Res. Sect. B Beam Interact. Mater. At. 2004, 217, 293–299. [Google Scholar] [CrossRef]
- Xiao, H.; Wang, X.; Long, C.; Liu, Y.; Yin, A.; Zhang, Y. Investigation of the mechanical properties of ZrO2-doped UO2 ceramic pellets by indentation technique. J. Nucl. Mater. 2018, 509, 482–487. [Google Scholar] [CrossRef]
- Motta, A.T.; Faldowski, J.A.; Howe, L.M.; Okamoto, P.R. In situ studies of phase transformations in zirconium alloys and compounds under irradiation. ASTM Spec. Tech. Publ. 1996, 1295, 557–579. [Google Scholar]
- Florez, R.; Crespillo, M.L.; He, X.; White, T.A.; Hilmas, G.; Fahrenholtz, W.; Graham, J. The irradiation response of ZrC ceramics under 10 MeV Au3+ ion irradiation at 800 °C. J. Eur. Ceram. Soc. 2020, 40, 1791–1800. [Google Scholar] [CrossRef]
- Meftah, A.; Costantini, J.M.; Khalfaoui, N.; Boudjadar, S.; Stoquert, J.P.; Studer, F.; Toulemonde, M. Experimental determination of track cross-section in Gd3Ga5O12 and comparison to the inelastic thermal spike model applied to several materials. Nucl. Instrum. Methods Phys. Res. Sect. B Beam Interact. Mater. At. 2005, 237, 563–574. [Google Scholar] [CrossRef]
- Dufour, C.; Khomenkov, V.; Rizza, G.; Toulemonde, M. Ion-matter interaction: The three-dimensional version of the thermal spike model. Application to nanoparticle irradiation with swift heavy ions. J. Phys. D Appl. Phys. 2012, 45, 065302. [Google Scholar] [CrossRef]
- Daraszewicz, S.L.; Duffy, D.M. Extending the inelastic thermal spike model for semiconductors and insulators. Nucl. Instrum. Methods Phys. Res. Sect. B Beam Interact. Mater. At. 2011, 269, 1646–1649. [Google Scholar] [CrossRef]
- Toulemonde, M.; Assmann, W.; Dufour, C.; Meftah, A.; Trautmann, C. Nanometric transformation of the matter by short and intense electronic excitation: Experimental data versus inelastic thermal spike model. Nucl. Instrum. Methods Phys. Res. Sect. B Beam Interact. Mater. At. 2012, 277, 28–39. [Google Scholar] [CrossRef]
- Szenes, G. Thermal spike model of amorphous track formation in insulators irradiated by swift heavy ions. Nucl. Instrum. Methods Phys. Res. Sect. B Beam Interact. Mater. At. 1996, 116, 141–144. [Google Scholar] [CrossRef]
- Kumar, R.; Chauhan, V.; Gupta, D.; Upadhyay, S.; Ram, J.; Kumar, S. Advancement of High–k ZrO2 for Potential Applications: A Review. Indian J. Pure Appl. Phys. (IJPAP) 2021, 59, 811–826. [Google Scholar]
- Medvedev, P.G.; Lambregts, M.J.; Meyer, M.K. Thermal conductivity and acid dissolution behavior of MgO–ZrO2 ceramics for use in LWR inert matrix fuel. J. Nucl. Mater. 2006, 349, 167–177. [Google Scholar] [CrossRef]
- Kozlovskiy, A.L.; Zdorovets, M.V. Study of the radiation disordering mechanisms of AlN ceramic structure as a result of helium swelling. J. Mater. Sci. Mater. Electron. 2021, 32, 21658–21669. [Google Scholar] [CrossRef]
- Tuleushev, A.Z.; Zdorovets, M.V.; Kozlovskiy, A.L.; Harrison, F.E. Induced spirals in polyethylene terephthalate films irradiated with Ar ions with an energy of 70 MeV. Crystals 2020, 10, 427. [Google Scholar] [CrossRef]
- Zdorovets, M.V.; Kozlovskiy, A.L.; Harrison, F.E.; Tuleushev, A.Z. Induced ordering in polyethylene terephthalate films irradiated with Ar ions with an energy of 70 MeV. Surf. Coat. Technol. 2020, 386, 125490. [Google Scholar] [CrossRef]
- Gorelov, V.P. High-temperature phase transitions in ZrO2. Phys. Solid State 2019, 61, 1288–1293. [Google Scholar] [CrossRef]
- Dutta, H.; Lee, Y.-C.; Pradhan, S.K. Microstructure characterization and polymorphic transformation kinetic study of ball-milled nanocrystalline a-TiO2–20 mol% m-ZrO2 mixture by X-ray diffraction and electron microscopy. Phys. E Low-Dimens. Syst. Nanostructures 2007, 36, 17–27. [Google Scholar] [CrossRef]
- Bid, S.; Pradhan, S.K. Preparation and microstructure characterization of ball-milled ZrO2 powder by the Rietveld method: Monoclinic to cubic phase transformation without any additive. J. Appl. Crystallogr. 2002, 35, 517–525. [Google Scholar] [CrossRef]
- Kaoumi, D.; Motta, A.T.; Birtcher, R.C. A thermal spike model of grain growth under irradiation. J. Appl. Phys. 2008, 104, 073525. [Google Scholar] [CrossRef]
- Gorshkov, O.N.; Novikov, V.A.; Kasatkin, A.P. Formation of nanoparticles in the surface layer of stabilized ZrO2 under ion irradiation. Neorg. Mater. 1999, 35, 604–610. [Google Scholar]
- Denkewicz, R.P.; Kevor, S.T.; James, H.A. Hydrothermal crystallization kinetics of m-ZrO2 and t-ZrO2. J. Mater. Res. 1990, 5, 2698–2705. [Google Scholar] [CrossRef]
- Al-Amin, M.; Mumu, H.T.; Sarker, S.; Alam, M.Z.; Gafur, M.A. Effects of sintering temperature and zirconia content on the mechanical and microstructural properties of MgO, TiO2 and CeO2 doped alumina–zirconia (ZTA) ceramic. J. Korean Ceram. Soc. 2023, 60, 141–154. [Google Scholar] [CrossRef]
- Lu, N.; He, G.; Yang, Z.; Yang, X.; Li, Y.; Li, J. Fabrication and reaction mechanism of MgO-stabilized ZrO2 powders by combustion synthesis. Ceram. Int. 2022, 48, 7261–7264. [Google Scholar] [CrossRef]
Disclaimer/Publisher’s Note: The statements, opinions and data contained in all publications are solely those of the individual author(s) and contributor(s) and not of MDPI and/or the editor(s). MDPI and/or the editor(s) disclaim responsibility for any injury to people or property resulting from any ideas, methods, instructions or products referred to in the content. |
© 2023 by the authors. Licensee MDPI, Basel, Switzerland. This article is an open access article distributed under the terms and conditions of the Creative Commons Attribution (CC BY) license (https://creativecommons.org/licenses/by/4.0/).