Microporous Ceramics Based on β-Tricalcium Phosphate
Abstract
1. Introduction
2. Materials and Methods
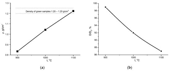
3. Results and Discussion
4. Conclusions
Author Contributions
Funding
Institutional Review Board Statement
Informed Consent Statement
Data Availability Statement
Acknowledgments
Conflicts of Interest
References
- Koons, G.L.; Diba, M.; Mikos, A.G. Materials design for bone-tissue engineering. Nat. Rev. Mater. 2020, 5, 584–603. [Google Scholar] [CrossRef]
- Stahl, A.; Yang, Y.P. Regenerative approaches for the treatment of large bone defects. Tissue Eng. Part B Rev. 2021, 27, 539–547. [Google Scholar] [CrossRef] [PubMed]
- Bohner, M.; Santoni, B.L.G.; Döbelin, N. β-tricalcium phosphate for bone substitution: Synthesis and properties. Acta Biomater. 2020, 113, 23–41. [Google Scholar] [CrossRef] [PubMed]
- Eanes, E.D. Thermochemical studies on amorphous calcium phosphate. Calcif. Tissue Res. 1970, 5, 133–145. [Google Scholar] [CrossRef]
- Safronova, T.V.; Putlyaev, V.I.; Avramenko, O.A.; Shekhirev, M.A.; Veresov, A.G. Ca-deficient hydroxyapatite powder for producing tricalcium phosphate based ceramics. Glass Ceram. 2011, 68, 28–32. [Google Scholar] [CrossRef]
- Gibson, I.R.; Rehman, I.; Best, S.M.; Bonfield, W. Characterization of the transformation from calcium-deficient apatite to β-tricalcium phosphate. J. Mater. Sci. Mater. Med. 2000, 11, 533–539. [Google Scholar] [CrossRef]
- Villet-Regi, M.; Rodriguez, L.M.; Salinas, A.J. Synthesis and characterization of calcium deficient apatite. Solid State Ion. 1997, 101–103, 1279–1285. [Google Scholar] [CrossRef]
- Barralet, J.; Knowles, J.C.; Best, S.; Bonfield, W. Thermal decomposition of synthesised carbonate hydroxyapatite. J. Mater. Sci. Mater. Med. 2002, 13, 529–533. [Google Scholar] [CrossRef]
- Safronova, T.; Putlayev, V.; Filippov, Y.; Shatalova, T.; Karpushkin, E.; Larionov, D.; Kazakova, G.; Shakhtarin, Y. Calcium phosphate powder synthesized from calcium acetate and ammonium hydrophosphate for bioceramics application. Ceramics 2018, 1, 375–392. [Google Scholar] [CrossRef]
- Safronova, T.V. Inorganic materials for regenerative medicine. Inorg. Mater. 2021, 57, 443–474. [Google Scholar] [CrossRef]
- LeGeros, R.Z. Properties of osteoconductive biomaterials: Calcium phosphates. Clin. Orthop. 2002, 395, 81–98. [Google Scholar] [CrossRef] [PubMed]
- Evdokimov, P.V.; Putlyaev, V.I.; Ivanov, V.K.; Garshev, A.V.; Shatalova, T.B.; Orlov, N.K.; Safronova, T.V. Phase equilibria in the tricalcium phosphate-mixed calcium sodium (potassium) phosphate systems. Russ. J. Inorg. Chem. 2014, 59, 1219–1227. [Google Scholar] [CrossRef]
- Rey, C.; Combes, C.; Drouet, C.; Grossin, D. Bioactive ceramics: Physical chemistry. In Comprehensive Biomaterials; Ducheyne, P., Healy, K., Hutmacher, D., Grainger, D.E., Kirkpatrick, J., Eds.; Elsevier: Amsterdam, The Netherlands, 2011; pp. 187–221. [Google Scholar] [CrossRef]
- Pan, Y.; Huang, J.-L.; Shao, C.Y. Preparation of β-TCP with high thermal stability by solid reaction route. J. Mater. Sci. 2003, 38, 1049–1056. [Google Scholar] [CrossRef]
- Safronova, T.V.; Putlyaev, V.I.; Ivanov, V.K.; Knot’ko, A.V.; Shatalova, T.B. Powders mixtures based on ammonium hydrophosphate and calcium carbonate for preparation of biocompatible porous ceramic in the CaO–P2O5 system. Refract. Ind. Ceram. 2016, 56, 502–509. [Google Scholar] [CrossRef]
- Nifant’ev, I.E.; Besprozvannykh, V.K.; Shlyakhtin, A.V.; Tavtorkin, A.N.; Smirnova, M.P.; Levin, I.S.; Ivchenko, P.V. Simple, efficient and reliable method for the preparation of β-tricalcium phosphate. Mendeleev Commun. 2021, 31, 379–381. [Google Scholar] [CrossRef]
- Hill, W.L.; Faust, G.T.; Reynolds, D.S. The binary system P2O5; 2CaO.P2O5. Am. J. Sci. 1944, 242, 457–477. [Google Scholar] [CrossRef]
- Larionov, D.S.; Kuzina, M.A.; Evdokimov, P.V.; Garshev, A.V.; Orlov, N.K.; Putlyaev, V.I. Synthesis of Calcium Phosphate Powders in Nonaqueous Media for Stereolithography 3D Printing. Russ. J. Inorg. Chem. 2020, 65, 312–322. [Google Scholar] [CrossRef]
- Galea, L.; Bohner, M.; Thuering, J.; Doebelin, N.; Aneziris, C.G.; Graule, T. Control of the size, shape and composition of highly uniform, non-agglomerated, sub-micrometer β-tricalcium phosphate and dicalcium phosphate platelets. Biomaterials 2013, 34, 6388–6401. [Google Scholar] [CrossRef]
- Safronova, T.V.; Putlyaev, V.I. Powder systems for calcium phosphate ceramics. Inorg. Mater. 2017, 53, 17–26. [Google Scholar] [CrossRef]
- Zhou, H.; Yang, L.; Gbureck, U.; Bhaduri, S.B.; Sikder, P. Monetite, an important calcium phosphate compound–Its synthesis, properties and applications in orthopedics. Acta Biomater. 2021, 127, 41–55. [Google Scholar] [CrossRef]
- Imaniyyah, A.G.; Herda, E. Monetite as a potential ideal bone substitute: A short review on fabrication and properties. Mater. Today Proc. 2022, 66, 2762–2766. [Google Scholar] [CrossRef]
- Boanini, E.; Pagani, S.; Tschon, M.; Rubini, K.; Fini, M.; Bigi, A. Monetite vs. Brushite: Different Influences on Bone Cell Response Modulated by Strontium Functionalization. J. Funct. Biomater. 2022, 13, 65. [Google Scholar] [CrossRef] [PubMed]
- Safronova, T.V.; Shatalova, T.B.; Tikhonova, S.A.; Filippov, Y.Y.; Krut’ko, V.K.; Musskaya, O.N.; Kononenko, N.E. Synthesis of Calcium Pyrophosphate Powders from Phosphoric Acid and Calcium Carbonate. Inorg. Mater. Appl. Res. 2021, 12, 986–992. [Google Scholar] [CrossRef]
- Safronova, T.V.; Putlyaev, V.I.; Kurbatova, S.A.; Shatalova, T.B.; Larionov, D.S.; Kozlov, D.A.; Evdokimov, P.V. Properties of amorphous calcium pyrophosphate powder synthesized via ion exchange for the preparation of bioceramics. Inorg. Mater. 2015, 51, 1177–1184. [Google Scholar] [CrossRef]
- Safronova, T.V. Phase composition of ceramic based on calcium hydroxyapatite powders containing byproducts of the synthesis reaction. Glass Ceram. 2009, 66, 136–139. [Google Scholar] [CrossRef]
- Safronova, T.; Putlayev, V.; Shekhirev, M. Resorbable Calcium Phosphates Based Ceramics. Powder. Metall. Met. Ceram. 2013, 52, 357–363. [Google Scholar] [CrossRef]
- Jinlong, N.; Zhenxi, Z.; Dazong, J. Investigation of phase evolution during the thermochemical synthesis of tricalcium phosphate. J. Mater. Synth. Process. 2001, 9, 235–240. [Google Scholar] [CrossRef]
- Peranidze, K.; Safronova, T.V.; Filippov, Y.; Kazakova, G.; Shatalova, T.; Rau, J.V. Powders Based on Ca2P2O7-CaCO3-H2O System as Model Objects for the Development of Bioceramics. Ceramics 2022, 5, 423–434. [Google Scholar] [CrossRef]
- Polat, S. Thermal degradation of calcium lactate pentahydrate using TGA/FTIR/MS: Thermal kinetic and thermodynamics studies. Indian Chem. Eng. 2021, 64, 1–14. [Google Scholar] [CrossRef]
- Mansour, S.A. Thermal decomposition of calcium citrate tetrahydrate. Thermochim. Acta 1994, 233, 243–256. [Google Scholar] [CrossRef]
- Safronova, T.V.; Shatalova, T.B.; Boytsova, O.V.; Knotko, A.V.; Toshev, O.U.; Hotamov, S.M.; Odinaeva, A.T.; Azizian-Kalandaragh, Y. Chemical Transformations as a Tool for Controlling the Properties of Calcium Carbonate Powder. Glass Ceram. 2020, 77, 145–148. [Google Scholar] [CrossRef]
- Safronova, T.V.; Selezneva, I.I.; Tikhonova, S.A.; Kiselev, A.S.; Davydova, G.A.; Shatalova, T.B.; Larionov, D.S.; Rau, J.V. Biocompatibility of biphasic α, β-tricalcium phosphate ceramics in vitro. Bioact. Mater. 2020, 5, 423–427. [Google Scholar] [CrossRef] [PubMed]
- Ryu, H.S.; Youn, H.J.; Hong, K.S.; Chang, B.S.; Lee, C.K.; Chung, S.S. An improvement in sintering property of β-tricalcium phosphate by addition of calcium pyrophosphate. Biomaterials 2002, 23, 909–914. [Google Scholar] [CrossRef] [PubMed]
- Abid, N.; Khan, A.M.; Shujait, S.; Chaudhary, K.; Ikram, M.; Imran, M.; Haider, J.; Khan, M.; Khan, Q.; Maqbool, M. Synthesis of nanomaterials using various top-down and bottom-up approaches, influencing factors, advantages, and disadvantages: A review. Adv. Colloid Interface Sci. 2021, 200, 102597. [Google Scholar] [CrossRef] [PubMed]
- Fang, Z.Z.; Wang, H. Densification and grain growth during sintering of nanosized particles. Int. Mater. Rev. 2008, 53, 326–352. [Google Scholar] [CrossRef]
- Samavedi, S.; Whittington, A.R.; Goldstein, A.S. Calcium phosphate ceramics in bone tissue engineering: A review of properties and their influence on cell behavior. Acta Biomater. 2013, 9, 8037–8045. [Google Scholar] [CrossRef]
- Zhang, K.; Fan, Y.; Dunne, N.; Li, X. Effect of microporosity on scaffolds for bone tissue engineering. Regen. Biomater. 2018, 5, 115–124. [Google Scholar] [CrossRef]
- Safronova, T.V.; Putlyaev, V.I.; Shekhirev, M.A.; Kuznetsov, A.V. Disperse systems in calcium hydroxyapatite ceramics technology. Glass Ceram. 2007, 64, 22–26. [Google Scholar] [CrossRef]
- Biggemann, J.; Köllner, D.; Simon, S.; Heik, P.; Hoffmann, P.; Fey, T. Porous Functional Graded Bioceramics with Integrated Interface Textures. Ceramics 2021, 4, 681–695. [Google Scholar] [CrossRef]
- Hoelzle, D.J.; Svientek, S.R.; Alleyne, A.G.; Wagoner Johnson, A.J. Design and manufacture of combinatorial calcium phosphate bone scaffolds. J. Biomech. Eng. 2011, 133, 101001. [Google Scholar] [CrossRef]
- Beletskii, B.I.; Shumskii, V.I.; Nikitin, A.A.; Vlasova, E.B. Biocomposite calcium-phosphate materials used in osteoplastic surgery. Glas Ceram. 2000, 57, 322–325. [Google Scholar] [CrossRef]
- Layrolle, P.; Ito, A.; Tateishi, T. Sol-gel synthesis of amorphous calcium phosphate and sintering into microporous hydroxyapatite bioceramics. J. Am. Ceram. Soc. 1998, 81, 1421–1428. [Google Scholar] [CrossRef]
- Safronova, T.V.; Belokozenko, M.A.; Yahyoev, S.O.; Shatalova, T.B.; Kazakova, G.K.; Peranidze, K.K.; Toshev, O.U.; Khasanova, S.S. Ceramics based on CaSO4⋅2H2O powder synthesized from Ca(NO3)2 and (NH4)2SO4. Inorg. Mater. 2021, 57, 867–873. [Google Scholar] [CrossRef]
- Safronova, T.V.; Chichulin, S.N.; Shatalova, T.B.; Filippov, Y.Y. Powder mixture for the production of microporous ceramics based on hydroxyapatite. Ceramics 2022, 5, 108–119. [Google Scholar] [CrossRef]
- Arifuzzaman, S.M.; Rohani, S. Experimental study of brushite precipitation. J. Cryst. Growth 2004, 267, 624–634. [Google Scholar] [CrossRef]
- Hamai, R.; Toshima, T.; Tafu, M.; Masutani, T.; Chohji, T. Effect of anions on morphology control of brushite particles. Key Eng. Mater. 2013, 529, 55–60. [Google Scholar] [CrossRef]
- Toshima, T.; Hamai, R.; Tafu, M.; Takemura, Y.; Fujita, S.; Chohji, T.; Tanda, S.; Li, S.; Qin, G.W. Morphology control of brushite prepared by aqueous solution synthesis. J. Asian Ceram. Soc. 2014, 2, 52–56. [Google Scholar] [CrossRef]
- Issa, K.; Alanazi, A.; Aldhafeeri, K.A.; Alamer, O.; Alshaaer, M. Brushite: Synthesis, Properties, and Biomedical Applications. In Crystallization and Applications, 2nd ed.; Smida, Y., Marzouki, R., Eds.; IntechOpen: London, UK, 2022. [Google Scholar] [CrossRef]
- Ressler, A.; Antunović, M.; Teruel-Biosca, L.; Ferrer, G.G.; Babić, S.; Urlić, I.; Ivanković, M.; Ivanković, H. Osteogenic differentiation of human mesenchymal stem cells on substituted calcium phosphate/chitosan composite scaffold. Carbohydr. Polym. 2022, 277, 118883. [Google Scholar] [CrossRef]
- Qi, C.; Musetti, S.; Fu, L.H.; Zhu, Y.J.; Huang, L. Biomolecule-assisted green synthesis of nanostructured calcium phosphates and their biomedical applications. Chem. Soc. Rev. 2019, 48, 2698–2737. [Google Scholar] [CrossRef]
- CDD. PDF-4+ 2010 (Database); Kabekkodu, S., Ed.; International Centre for Diffraction Data: Newtown Square, PA, USA, 2010; Available online: https://www.icdd.com/pdf-2/ (accessed on 18 July 2022).
- Minh, D.P.; Lyczko, N.; Sebei, H.; Nzihou, A.; Sharrock, P. Synthesis of calcium hydroxyapatite from calcium carbonate and different orthophosphate sources: A comparative study. Mater. Sci. Eng. B 2012, 177, 1080–1089. [Google Scholar] [CrossRef]
- Herdtweck, E.; Kornprobst, T.; Sieber, R.; Straver, L.; Plank, J. Crystal Structure, Synthesis, and Properties of tri-Calcium di-Citrate tetra-Hydrate [Ca3(C6H5O7)2(H2O)2]·2H2O. Z. Anorg. Allg. Chem. 2011, 637, 655–659. [Google Scholar] [CrossRef]
- Safronova, T.V.; Shatalova, T.B.; Filippov, Y.Y.; Krut’ko, V.K.; Musskaya, O.N.; Safronov, A.S.; Toshev, O.U. Ceramics in the Ca2P2O7–Ca(PO3)2 System Obtained by Annealing of the Samples Made from Hardening Mixtures Based on Calcium Citrate Tetrahydrate and Monocalcium Phosphate Monohydrate. Inorg. Mater. Appl. Res. 2020, 11, 777–786. [Google Scholar] [CrossRef]
- Boanini, E.; Silingardi, F.; Gazzano, M.; Bigi, A. Synthesis and hydrolysis of brushite (DCPD): The role of ionic substitution. Cryst. Growth Des. 2021, 21, 1689–1697. [Google Scholar] [CrossRef]
- Ucar, S.; Bjørnøy, S.H.; Bassett, D.C.; Strand, B.L.; Sikorski, P.; Andreassen, J.P. Nucleation and Growth of Brushite in the Presence of Alginate. Cryst. Growth Des. 2015, 15, 5397–5405. [Google Scholar] [CrossRef]
- Abbona, F.; Christensson, F.; Angela, M.F.; Madsen, H.L. Crystal habit and growth conditions of brushite, CaHPO4⋅ 2H2O. J. Cryst Growth 1993, 131, 331–346. [Google Scholar] [CrossRef]
- Kuz’mina, M.A.; Zhuravlev, S.V.; Frank-Kamenetskaya, O.V. The effect of medium chemistry on the solubility and morphology of brushite crystals. Geol. Ore Deposits. 2013, 55, 692–697. [Google Scholar] [CrossRef]
- Dosen, A.; Giese, R.F. Thermal decomposition of brushite, CaHPO4· 2H2O to monetite CaHPO4 and the formation of an amorphous phase. Am. Mineral. 2011, 96, 368–373. [Google Scholar] [CrossRef]
- Mulongo-Masamba, R.; El Kassri, T.; Khachani, M.; Arsalane, S.; Halim, M.; El Hamidi, A. Synthesis and thermal dehydroxylation kinetic of anhydrous calcium phosphate monetite CaHPO4. J. Therm. Anal. Calorim. 2016, 124, 171–180. [Google Scholar] [CrossRef]
- Safronova, T.V.; Sadilov, I.S.; Chaikun, K.V.; Shatalova, T.B.; Filippov, Y.Y. Synthesis of Monetite from Calcium Hydroxyapatite and Monocalcium Phosphate Monohydrate under Mechanical Activation Conditions. Russ. J. Inorg. Chem. 2019, 64, 1088–1094. [Google Scholar] [CrossRef]
- Dickens, B.; Schroeder, L.W.; Brown, W.E. Crystallographic studies of the role of Mg as a stabilizing impurity in β-Ca3(PO4)2. The crystal structure of pure β-Ca3(PO4)2. J. Solid State Chem. 1974, 10, 232–248. [Google Scholar] [CrossRef]
- Calvo, C.; Gopal, R. The crystal structure of whitlockite from the Palermo Quarry. Am. Mineral. 1975, 60, 120–133. [Google Scholar]










| Name of Powder | m/Z = 18 Interval | m/Z = 18 Maximum | m/Z = 44 Interval | m/Z = 44 Maximum |
|---|---|---|---|---|
| Synthesized powder (CaHPO4·2H2O/CaHPO4) | 276–490 | 327, 403 | 505–570 | 547 1 |
| Ca3(C6H5O7)2·4H2O | 80–650 | 120, 164, 403 | 310–940 | 491, 742 |
| Powder mixture | 80–705 | 120 1, 175, 200, 401 | 230–900 | 457, 742 |
Publisher’s Note: MDPI stays neutral with regard to jurisdictional claims in published maps and institutional affiliations. |
© 2022 by the authors. Licensee MDPI, Basel, Switzerland. This article is an open access article distributed under the terms and conditions of the Creative Commons Attribution (CC BY) license (https://creativecommons.org/licenses/by/4.0/).
Share and Cite
Safronova, T.; Grigorev, G.; Shatalova, T.; Roslyakov, I.; Platonov, V.; Khayrutdinova, D. Microporous Ceramics Based on β-Tricalcium Phosphate. Ceramics 2022, 5, 1269-1285. https://doi.org/10.3390/ceramics5040090
Safronova T, Grigorev G, Shatalova T, Roslyakov I, Platonov V, Khayrutdinova D. Microporous Ceramics Based on β-Tricalcium Phosphate. Ceramics. 2022; 5(4):1269-1285. https://doi.org/10.3390/ceramics5040090
Chicago/Turabian StyleSafronova, Tatiana, Grigorii Grigorev, Tatiana Shatalova, Ilya Roslyakov, Vadim Platonov, and Dinara Khayrutdinova. 2022. "Microporous Ceramics Based on β-Tricalcium Phosphate" Ceramics 5, no. 4: 1269-1285. https://doi.org/10.3390/ceramics5040090
APA StyleSafronova, T., Grigorev, G., Shatalova, T., Roslyakov, I., Platonov, V., & Khayrutdinova, D. (2022). Microporous Ceramics Based on β-Tricalcium Phosphate. Ceramics, 5(4), 1269-1285. https://doi.org/10.3390/ceramics5040090

