Study of Tricalcium Phosphate Ceramics Doped with Gadolinium Ions with Various EPR Techniques
Abstract
1. Introduction
2. Materials and Methods
2.1. Synthesis
2.2. Characterization
2.2.1. XRD Analysis
2.2.2. Conventional EPR Spectroscopy
2.2.3. Pulsed EPR
2.2.4. X-ray Irradiation
3. Results and Discussion
3.1. XRD Analisys
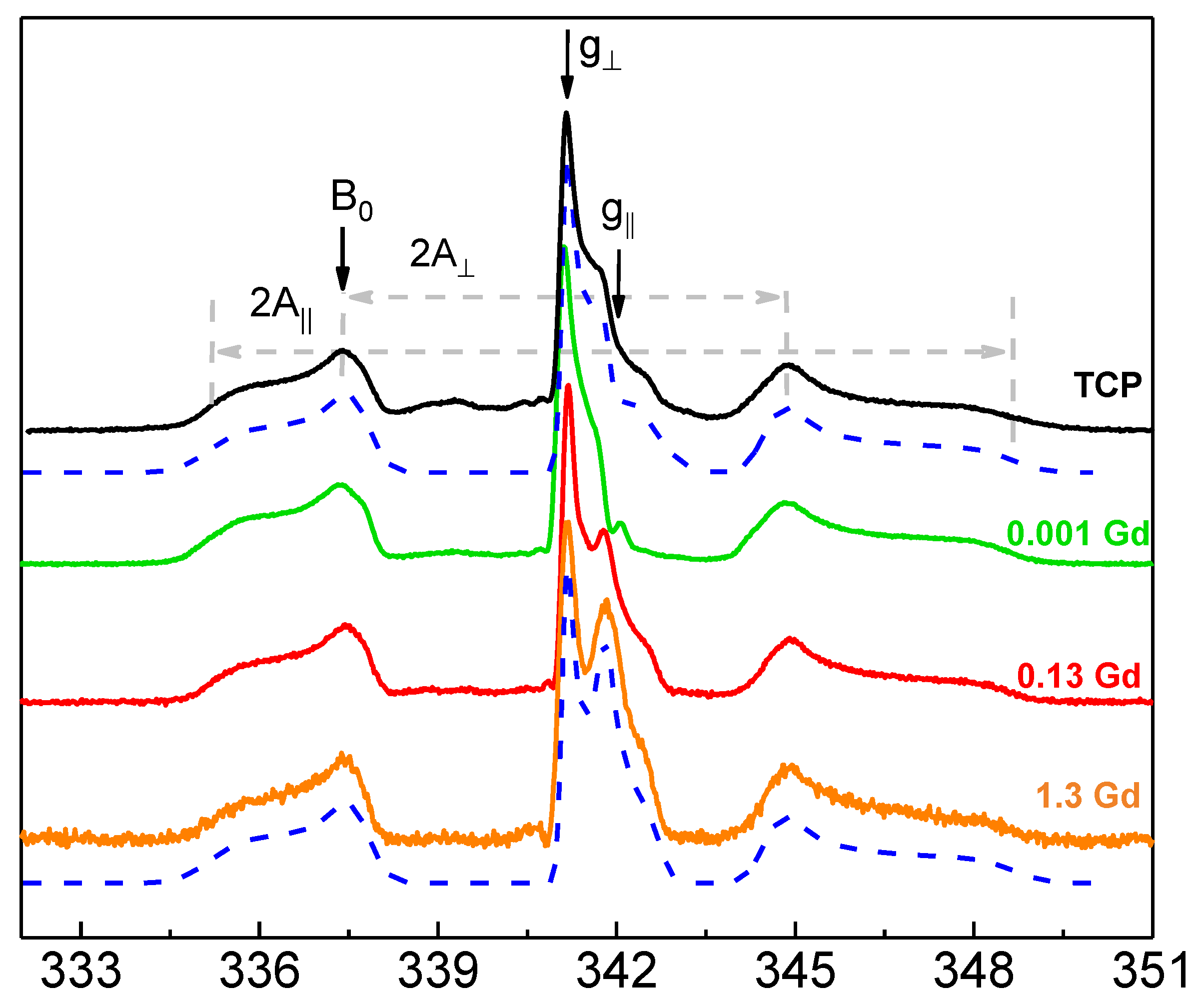
3.2. CW EPR
3.3. Pulse EPR
3.4. ESEEM Experiment
3.5. Radiation-Induced Centers
4. Conclusions
Author Contributions
Funding
Institutional Review Board Statement
Informed Consent Statement
Data Availability Statement
Conflicts of Interest
References
- Zang, S.; Chang, S.; Shahzad, M.B.; Sun, X.; Jiang, X.; Yang, H. Ceramics-Based Drug Delivery System: A Review and Outlook. Rev. Adv. Mater. Sci. 2019, 58, 82–97. [Google Scholar] [CrossRef]
- Kalinnikova, E.; Sadovnikova, M.; Rodionov, A.; Murzakhanov, F.; Grishin, P. Analysis of the Osseointegration Process of Dental Implants by Electron Paramagnetic Resonance: An In Vivo Study. Dent. J. 2022, 10, 28. [Google Scholar] [CrossRef] [PubMed]
- Huang, Y.; Zhai, X.; Ma, T.; Zhang, M.; Pan, H.; Weijia Lu, W.; Zhao, X.; Sun, T.; Li, Y.; Shen, J.; et al. Rare Earth-Based Materials for Bone Regeneration: Breakthroughs and Advantages. Coord. Chem. Rev. 2022, 450, 214236. [Google Scholar] [CrossRef]
- Fadeeva, I.V.; Deyneko, D.V.; Barbaro, K.; Davydova, G.A.; Sadovnikova, M.A.; Murzakhanov, F.F.; Fomin, A.S.; Yankova, V.G.; Antoniac, I.V.; Barinov, S.M.; et al. Influence of Synthesis Conditions on Gadolinium-Substituted Tricalcium Phosphate Ceramics and Its Physicochemical, Biological, and Antibacterial Properties. Nanomaterials 2022, 12, 852. [Google Scholar] [CrossRef] [PubMed]
- Pietak, A.M.; Reid, J.W.; Stott, M.J.; Sayer, M. Silicon Substitution in the Calcium Phosphate Bioceramics. Biomaterials 2007, 28, 4023–4032. [Google Scholar] [CrossRef]
- Cacciotti, I. Bivalent Cationic Ions Doped Bioactive Glasses: The Influence of Magnesium, Zinc, Strontium and Copper on the Physical and Biological Properties. J. Mater. Sci. 2017, 52, 8812–8831. [Google Scholar] [CrossRef]
- Rau, J.V.; Fadeeva, I.V.; Fomin, A.S.; Barbaro, K.; Galvano, E.; Ryzhov, A.P.; Murzakhanov, F.; Gafurov, M.; Orlinskii, S.; Antoniac, I.; et al. Sic Parvis Magna: Manganese-Substituted Tricalcium Phosphate and Its Biophysical Properties. ACS Biomater. Sci. Eng. 2019, 5, 6632–6644. [Google Scholar] [CrossRef]
- Eliseeva, S.V.; Bünzli, J.-C.G. Lanthanide Luminescence for Functional Materials and Bio-Sciences. Chem. Soc. Rev. 2010, 39, 189–227. [Google Scholar] [CrossRef]
- Fricker, S.P. The Therapeutic Application of Lanthanides. Chem. Soc. Rev. 2006, 35, 524–533. [Google Scholar] [CrossRef]
- Yang, D.; Ma, P.; Hou, Z.; Cheng, Z.; Li, C.; Lin, J. Current Advances in Lanthanide Ion (Ln3+)-Based Upconversion Nanomaterials for Drug Delivery. Chem. Soc. Rev. 2015, 44, 1416–1448. [Google Scholar] [CrossRef]
- Gai, S.; Li, C.; Yang, P.; Lin, J. Recent Progress in Rare Earth Micro/Nanocrystals: Soft Chemical Synthesis, Luminescent Properties, and Biomedical Applications. Chem. Rev. 2014, 114, 2343–2389. [Google Scholar] [CrossRef] [PubMed]
- Bohner, M.; Santoni, B.L.G.; Döbelin, N. β-Tricalcium Phosphate for Bone Substitution: Synthesis and Properties. Acta Biomater. 2020, 113, 23–41. [Google Scholar] [CrossRef] [PubMed]
- Khan, A.F.; Saleem, M.; Afzal, A.; Ali, A.; Khan, A.; Khan, A.R. Bioactive Behavior of Silicon Substituted Calcium Phosphate Based Bioceramics for Bone Regeneration. Mater. Sci. Eng. C 2014, 35, 245–252. [Google Scholar] [CrossRef] [PubMed]
- Arts, J.J.C.; Geurts, J. Management of Periprosthetic Joint Infections (PJIs); Woodhead Publishing: Sawston, UK, 2016. [Google Scholar]
- Keldani, Z.; Lord, M.L.; McNeill, F.E.; Chettle, D.R.; Gräfe, J.L. Coherent Normalization for in Vivo Measurements of Gadolinium in Bone. Physiol. Meas. 2017, 38, 1848–1858. [Google Scholar] [CrossRef] [PubMed]
- Deyneko, D.V.; Morozov, V.A.; Zhukovskaya, E.S.; Nikiforov, I.V.; Spassky, D.A.; Belik, A.A.; Lazoryak, B.I. The Influence of Second Coordination-Sphere Interactions on the Luminescent Properties of β-Ca3(PO4)2-Related Compounds. J. Alloys Compd. 2020, 815, 152352. [Google Scholar] [CrossRef]
- Dikhtyar, Y.Y.; Spassky, D.A.; Morozov, V.A.; Deyneko, D.V.; Belik, A.A.; Baryshnikova, O.V.; Nikiforov, I.V.; Lazoryak, B.I. Site Occupancy, Luminescence and Dielectric Properties of β-Ca3(PO4)2-Type Ca8ZnLn(PO4)7 Host Materials. J. Alloys Compd. 2022, 908, 164521. [Google Scholar] [CrossRef]
- Kong, J.; Liu, Z.; Cai, D.; Fan, Y.; Zhao, P.; Liu, X.; Pu, P.; Song, L.; He, C. A Gadolinium-Based Magnetic Resonance Imaging Contrast Agent for Nucleotides Sensing. Sens. Actuators B Chem. 2018, 256, 913–920. [Google Scholar] [CrossRef]
- Zhao, P.-P.; Hu, H.-R.; Liu, J.-Y.; Ke, Q.-F.; Peng, X.-Y.; Ding, H.; Guo, Y.-P. Gadolinium Phosphate/Chitosan Scaffolds Promote New Bone Regeneration via Smad/Runx2 Pathway. Chem. Eng. J. 2019, 359, 1120–1129. [Google Scholar] [CrossRef]
- Bian, D.; Deng, J.; Li, N.; Chu, X.; Liu, Y.; Li, W.; Cai, H.; Xiu, P.; Zhang, Y.; Guan, Z.; et al. In Vitro and in Vivo Studies on Biomedical Magnesium Low-Alloying with Elements Gadolinium and Zinc for Orthopedic Implant Applications. ACS Appl. Mater. Interfaces 2018, 10, 4394–4408. [Google Scholar] [CrossRef]
- Liao, F.; Peng, X.-Y.; Yang, F.; Ke, Q.-F.; Zhu, Z.-H.; Guo, Y.-P. Gadolinium-Doped Mesoporous Calcium Silicate/Chitosan Scaffolds Enhanced Bone Regeneration Ability. Mater. Sci. Eng. C 2019, 104, 109999. [Google Scholar] [CrossRef]
- Paterlini, V.; El Khouri, A.; Bettinelli, M.; Trucchi, D.M.; Capitelli, F. Spectroscopic and Structural Properties of β-Tricalcium Phosphates Ca9RE(PO4)7 (RE = Nd, Gd, Dy). Crystals 2021, 11, 1269. [Google Scholar] [CrossRef]
- Nakashima, K.; Yamauchi, J. Magnetic Properties of Gadolinium-Doped β-Tricalcium Phosphate. J. Alloys Compd. 2006, 761–765. [Google Scholar] [CrossRef]
- Szyczewski, A.; Lis, S.; Krzystek, J.; Staninski, K.; Kłonkowski, A.; Kruczyński, Z.; Pietraszkiewicz, M. Gadolinium (III) Cryptates Investigated by Multifrequency EPR. J. Alloys Compd. 2008, 451, 182–185. [Google Scholar] [CrossRef]
- Szyczewski, A.; Krzyminiewski, R.; Lis, S.; Pietrzak, J.; Elbanowski, M. EPR Study of Selected Gadolinium Complexes: β-Diketonates and Polycarboxylates. Radiat. Phys. Chem. 1995, 45, 935–938. [Google Scholar] [CrossRef]
- Gafurov, M.R.; Ivanshin, V.A.; Kurkin, I.N.; Rodionova, M.P.; Keller, H.; Gutmann, M.; Staub, U. EPR Study of Some Rare-Earth Ions (Dy3+, Tb3+, and Nd3+) in YBa2Cu3O6-Compound. J. Magn. Reson. 2003, 161, 210–214. [Google Scholar] [CrossRef]
- Aminov, L.K.; Abdulsabirov, R.Y.; Korableva, S.L.; Kurkin, I.N.; Kurzin, S.P.; Ziganshin, A.G.; Orlinskii, S.B. EPR of Rare-Earth Ion Clusters in Mixed Crystals Ba1−xLaxF2+xdoped with Yb3+ Ion. Appl. Magn. Reson. 2005, 29, 561–568. [Google Scholar] [CrossRef]
- Gafurov, M.R.; Mamin, G.V.; Baibekov, E.I.; Kurkin, I.N.; Murzakhanov, F.F.; Orlinskii, S.B. Coherent Control of Electron-Nuclear States of Rare-Earth Ions in Crystals Using Radio-Frequency and Microwave Radiation. EPJ Web Conf. 2018, 195, 06003. [Google Scholar] [CrossRef][Green Version]
- Murzakhanov, F.; Mamin, G.V.; Orlinskii, S.; Goldberg, M.; Petrakova, N.V.; Fedotov, A.Y.; Grishin, P.; Gafurov, M.R.; Komlev, V.S. Study of Electron–Nuclear Interactions in Doped Calcium Phosphates by Various Pulsed EPR Spectroscopy Techniques. ACS Omega 2021, 6, 25338–25349. [Google Scholar] [CrossRef] [PubMed]
- Le Bail, A.; Duroy, H.; Fourquet, J.L. Ab-Initio Structure Determination of LiSbWO6 by X-ray Powder Diffraction. Mater. Res. Bull. 1988, 23, 447–452. [Google Scholar] [CrossRef]
- Petříček, V.; Dušek, M.; Palatinus, L. Crystallographic Computing System JANA2006: General features. Z. FÜR Krist. Cryst. Mater. 2014, 229, 345–352. [Google Scholar] [CrossRef]
- Nokhrin, S.M.; Pan, Y.; Weil, J.A.; Nilges, M.J. Multifrequency EPR study of radiation-induced defects in chlorapatite. Can. Mineralogist. 2005, 43, 1581–1588. [Google Scholar] [CrossRef]
- Griesiute, D.; Garskaite, E.; Antuzevics, A.; Klimavicius, V.; Balevicius, V.; Zarkov, A.; Katelnikovas, A.; Sandberg, D.; Kareiva, A. Synthesis, Structural and Luminescent Properties of Mn-Doped Calcium Pyrophosphate (Ca2P2O7) Polymorphs. Sci. Rep. 2022, 12, 7116. [Google Scholar] [CrossRef]
- Ruszala, F.; Kostiner, E. Preparation and Characterization of Single Crystals in the Apatite System Ca10(PO4)6(Cl, OH)2. J. Cryst. Growth 1975, 30, 93–95. [Google Scholar] [CrossRef]
- Tronco, M.C.; Cassel, J.B.; dos Santos, L.A. α-TCP-Based Calcium Phosphate Cements: A Critical Review. Acta Biomater. 2022, 151, 70–87. [Google Scholar] [CrossRef] [PubMed]
- Carrodeguas, R.G.; De Aza, S. α-Tricalcium Phosphate: Synthesis, Properties and Biomedical Applications. Acta Biomater. 2011, 7, 3536–3546. [Google Scholar] [CrossRef] [PubMed]
- Yin, X.; Stott, M.J.; Rubio, A. α- and β-Tricalcium Phosphate: A Density Functional Study. Phys. Rev. B 2003, 68, 205205. [Google Scholar] [CrossRef]
- Sinusaite, L.; Antuzevics, A.; Popov, A.I.; Rogulis, U.; Misevicius, M.; Katelnikovas, A.; Kareiva, A.; Zarkov, A. Synthesis and Luminescent Properties of Mn-Doped Alpha-Tricalcium Phosphate. Ceram. Int. 2021, 47, 5335–5340. [Google Scholar] [CrossRef]
- Rizzi, R.; Capitelli, F.; Lazoryak, B.I.; Morozov, V.A.; Piccinelli, F.; Altomare, A. A Comprehensive Study of Ca9Tb(PO4)7 and Ca9Ho(PO4)7 Doped β-Tricalcium Phosphates: Ab Initio Crystal Structure Solution, Rietveld Analysis, and Dielectric Properties. Cryst. Growth Des. 2021, 21, 2263–2276. [Google Scholar] [CrossRef]
- Matsunaga, K.; Kubota, T.; Toyoura, K.; Nakamura, A. First-Principles Calculations of Divalent Substitution of Ca2+ in Tricalcium Phosphates. Acta Biomater. 2015, 23, 329–337. [Google Scholar] [CrossRef]
- Goldfarb, D.; Stoll, S. EPR Spectroscopy: Fundamentals and Methods; John Wiley & Sons: Hoboken, NJ, USA, 2018. [Google Scholar]
- Singh, V.; Devi, C.B.A.; Rao, B.R.V.; Rao, A.S.; Singh, N.; Mistry, B.M. Narrow-Band Ultraviolet B (UVB) Emitting CaZr4(PO4)6 Doped with Gd3+ Phosphor. Optik 2021, 226, 165932. [Google Scholar] [CrossRef]
- Murzakhanov, F.F.; Forysenkova, A.A.; Fadeeva, I.V.; Mamin, G.V.; Gafurov, M.R. Incorporation of Manganese (II) in Beta-Tricalcium Phosphate from EPR and ENDOR Measurements for Powders. Ceramics 2022, 5, 318–329. [Google Scholar] [CrossRef]
- Goldberg, M.A.; Gafurov, M.R.; Murzakhanov, F.F.; Fomin, A.S.; Antonova, O.S.; Khairutdinova, D.R.; Pyataev, A.V.; Makshakova, O.N.; Konovalov, A.A.; Leonov, A.V.; et al. Mesoporous Iron(III)-Doped Hydroxyapatite Nanopowders Obtained via Iron Oxalate. Nanomaterials 2021, 11, 811. [Google Scholar] [CrossRef] [PubMed]
- Gabbasov, B.; Gafurov, M.; Starshova, A.; Shurtakova, D.; Murzakhanov, F.; Mamin, G.; Orlinskii, S. Conventional, Pulsed and High-Field Electron Paramagnetic Resonance for Studying Metal Impurities in Calcium Phosphates of Biogenic and Synthetic Origins. J. Magn. Magn. Mater. 2018, 470. [Google Scholar] [CrossRef]
- Stoll, S.; Schweiger, A. EasySpin, a Comprehensive Software Package for Spectral Simulation and Analysis in EPR. J. Magn. Reson. 2006, 178, 42–55. [Google Scholar] [CrossRef] [PubMed]
- Thorp, J.S.; Ammar, E.A.E. Spin-Lattice Relaxation in Gadolinium-Doped Calcium Tungstate. J. Mater. Sci. 1976, 11, 1215–1219. [Google Scholar] [CrossRef]
- van Gastel, M. Pulsed EPR Spectroscopy. Photosynth Res. 2009, 102, 367–373. [Google Scholar] [CrossRef]
- Gafurov, M.; Biktagirov, T.; Yavkin, B.; Mamin, G.; Filippov, Y.; Klimashina, E.; Putlayev, V.; Orlinskii, S. Nitrogen-Containing Species in the Structure of the Synthesized Nano-Hydroxyapatite. Jetp. Lett. 2014, 99, 196–203. [Google Scholar] [CrossRef][Green Version]





| Ca(x) | 1.9 GHz | - | 15.2 MHz | 0.69 MHz |
| Ca(4) | 530 MHz | 50 MHz | - | - |
| T1 (μs) | T2 (μs) | |
|---|---|---|
| B0 = 344 mT | 157 ± 3 | 0.2 ± 0.01 |
| B0 = 118 mT | 173 ± 5 | 1 ± 0.05 |
| rexp (Å) | rtheor (Å) [43] | |
|---|---|---|
| B0 = 344 mT | 4.0 ± 0.2 | 4.059 |
| B0 = 118 mT | 4.3 ± 0.2 |
| Sample | T1 (μs) | T2 (μs) |
|---|---|---|
| TCP | 24.3 ± 2 | 4.16 ± 0.4 |
| TCP + 0.01 Gd | 23.0 ± 2 | 2.55 ± 0.2 |
| TCP + 0.13 Gd | 22.6 ± 2 | 2.4 ± 0.2 |
| TCP + 1.3 Gd | 38.8 ± 4 | 0.8 ± 0.1 |
Publisher’s Note: MDPI stays neutral with regard to jurisdictional claims in published maps and institutional affiliations. |
© 2022 by the authors. Licensee MDPI, Basel, Switzerland. This article is an open access article distributed under the terms and conditions of the Creative Commons Attribution (CC BY) license (https://creativecommons.org/licenses/by/4.0/).
Share and Cite
Sadovnikova, M.A.; Murzakhanov, F.F.; Fadeeva, I.V.; Forysenkova, A.A.; Deyneko, D.V.; Mamin, G.V.; Gafurov, M.R. Study of Tricalcium Phosphate Ceramics Doped with Gadolinium Ions with Various EPR Techniques. Ceramics 2022, 5, 1154-1166. https://doi.org/10.3390/ceramics5040081
Sadovnikova MA, Murzakhanov FF, Fadeeva IV, Forysenkova AA, Deyneko DV, Mamin GV, Gafurov MR. Study of Tricalcium Phosphate Ceramics Doped with Gadolinium Ions with Various EPR Techniques. Ceramics. 2022; 5(4):1154-1166. https://doi.org/10.3390/ceramics5040081
Chicago/Turabian StyleSadovnikova, Margarita A., Fadis F. Murzakhanov, Inna V. Fadeeva, Anna A. Forysenkova, Dina V. Deyneko, Georgy V. Mamin, and Marat R. Gafurov. 2022. "Study of Tricalcium Phosphate Ceramics Doped with Gadolinium Ions with Various EPR Techniques" Ceramics 5, no. 4: 1154-1166. https://doi.org/10.3390/ceramics5040081
APA StyleSadovnikova, M. A., Murzakhanov, F. F., Fadeeva, I. V., Forysenkova, A. A., Deyneko, D. V., Mamin, G. V., & Gafurov, M. R. (2022). Study of Tricalcium Phosphate Ceramics Doped with Gadolinium Ions with Various EPR Techniques. Ceramics, 5(4), 1154-1166. https://doi.org/10.3390/ceramics5040081

