Structure and Electrical Properties of Carbon-Rich Polymer Derived Silicon Carbonitride (SiCN)
Abstract
1. Introduction
2. Experimental Procedures
2.1. Synthesis
2.2. Characterization
3. Results and Discussion
3.1. Investigation of the Carbon Phase
3.2. Crystallization and Stoichiometry
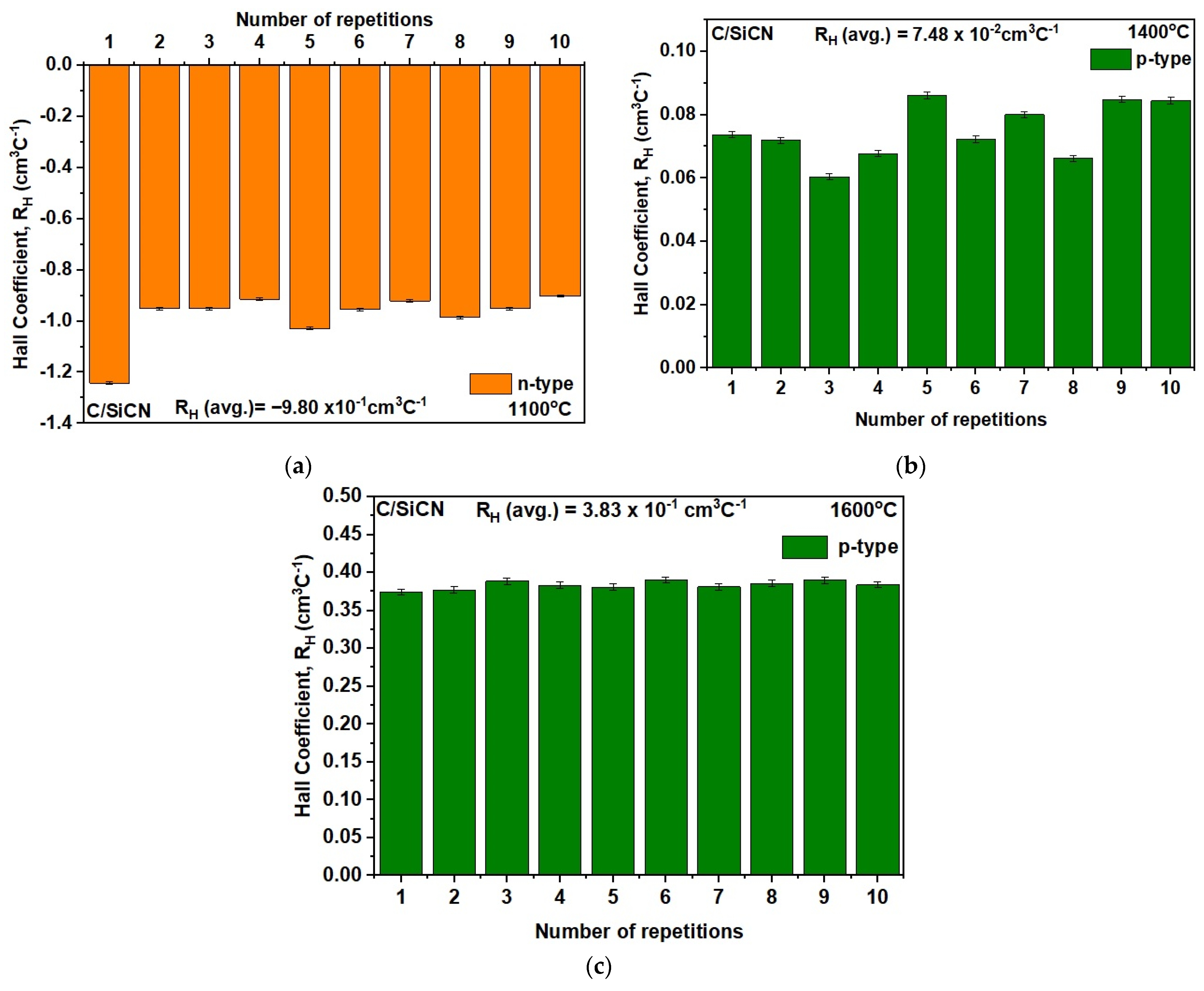
3.3. Room Temperature Electrical Conductivity and Charge Carrier Transport Mechanism
4. Conclusions
Author Contributions
Funding
Institutional Review Board Statement
Informed Consent Statement
Data Availability Statement
Conflicts of Interest
References
- Barrios, E.; Zhai, L. A review of the evolution of the nanostructure of SiCN and SiOC polymer derived ceramics and the impact on mechanical properties. Mol. Syst. Des. Eng. 2020, 5, 1606–1641. [Google Scholar] [CrossRef]
- Shen, C.; Calderon, J.E.; Barrios, E.; Soliman, M.; Khater, A.; Jeyaranjan, A.; Tetard, L.; Gordon, A.; Seal, S.; Zhai, L. Anisotropic electrical conductivity in polymer derived ceramics induced by graphene aerogels. J. Mater. Chem. C 2017, 5, 11708–11716. [Google Scholar] [CrossRef]
- Niu, J.; Meng, S.; Jin, H.; Yi, F.; Li, J.; Zhang, G.; Zhou, Y. Electrical conductivity change induced by porosity within polymer-derived SiCN ceramics. J. Alloys Compd. 2019, 777, 1010–1016. [Google Scholar] [CrossRef]
- Francis, A. Progress in polymer-derived functional silicon-based ceramic composites for biomedical and engineering applications. Mater. Res. Express 2018, 5, 6. [Google Scholar] [CrossRef]
- Ren, Z.; Mujib, S.B.; Singh, G. High-temperature properties and applications of Si-based polymer-derived ceramics: A review. Materials 2021, 14, 614. [Google Scholar] [CrossRef]
- Ting, S.; Fang, Y.; Hsieh, W.; Tsair, Y.; Chang, C.; Lin, C. A High Breakdown-Voltage SiCN/Si Heterojunction. IEEE Electron Device Lett. 2002, 23, 142–144. [Google Scholar] [CrossRef]
- Chowdhury, M.A.R.; Wang, K.; Jia, Y.; Xu, C. Electrical conductivity and structural evolution of polymer-derived SiC ceramics pyrolyzed from 1200 °C to 1800 °C. J. Micro Nano-Manuf. 2020, 8, 024502. [Google Scholar] [CrossRef]
- Chen, L.C.; Chen, C.K.; Wei, S.L.; Bhusari, D.M.; Chen, K.H.; Chen, Y.F.; Jong, Y.C.; Huang, Y.S. Crystalline silicon carbon nitride: A wide band gap semiconductor. Appl. Phys. Lett. 1998, 72, 2463–2465. [Google Scholar] [CrossRef]
- Haluschka, C.; Engel, C.; Riedel, R. Silicon carbonitride ceramics derived from polysilazanes Part II. Investigation of electrical properties. J. Eur. Ceram. Soc. 2000, 20, 1365–1374. [Google Scholar] [CrossRef]
- Heidenreich, B. C/SiC and C/C-SiC Composites. In Ceramic Matrix Composites: Materials, Modeling and Technology; The American Ceramic Society: Westerville, OH, USA, 2014; pp. 147–216. [Google Scholar] [CrossRef]
- Boden, G.; Neumann, A.; Breuning, T.; Tschernikova, E.; Hermel, W. Nanosized Si-C-N-powders by polysilazane pyrolysis and Si3N4/SiC-composite materials thereof. J. Eur. Ceram. Soc. 1998, 18, 1461–1469. [Google Scholar] [CrossRef]
- Kleebe, H.-J.; Störmer, H.; Trassl, S.; Ziegler, G. Thermal stability of SiCN ceramics studied by spectroscopy and electron microscopy. Appl. Organomet. Chem. 2001, 15, 858–866. [Google Scholar] [CrossRef]
- Chen, Y.; Yang, F.; An, L. On electric conduction of amorphous silicon carbonitride derived from a polymeric precursor. Appl. Phys. Lett. 2013, 102, 231902. [Google Scholar] [CrossRef]
- Cordelair, J.; Greil, P. Electrical conductivity measurements as a microprobe for structure transitions in polysiloxane derived Si-O-C ceramics. J. Eur. Ceram. Soc. 2000, 20, 1947–1957. [Google Scholar] [CrossRef]
- Iyer, R.; Kousaalya, A.B.; Pilla, S. Polymer-derived ceramics: A novel inorganic thermoelectric material system. In Novel Thermoelectric Materials and Device Design Concepts; Springer: Berlin/Heidelberg, Germany, 2019; pp. 229–252. [Google Scholar]
- Ryu, H.Y.; Wang, Q.; Raj, R. Ultrahigh-temperature semiconductors made from polymer-derived ceramics. J. Am. Ceram. Soc. 2010, 93, 1668–1676. [Google Scholar] [CrossRef]
- Mocaer, D.; Pailler, R.; Naslain, R.; Richard, C.; Pillot, J.P.; Dunogues, J.; Gerardin, C.; Taulelle, F. Si-C-N ceramics with a high microstructural stability elaborated from the pyrolysis of new polycarbosilazane precursors—Part III Effect of pyrolysis conditions on the nature and properties of oxygen-cured derived monofilaments. J. Mater. Sci. 1993, 28, 2639–2653. [Google Scholar] [CrossRef]
- Ellmer, K. Hall Effect and Conductivity Measurements in Semiconductor Crystals and Thin Films. In Characterization of Materials; John Wiley & Sons, Inc.: Hoboken, NJ, USA, 2012; pp. 1–16. [Google Scholar] [CrossRef]
- Kinder, R.; Mikolášek, M.; Donoval, D.; Kováč, J.; Tlaczala, M. Measurement Systemwith Hall and a Four Point Probes for Characterization of Semiconductors. J. Electr. Eng. 2013, 64, 106–111. [Google Scholar] [CrossRef][Green Version]
- Sultana, M. Research Gate. Re: Why Hall Coefficient Vary from Positive to Negative Randomly for the Same Sample at Same Condition? Available online: https://www.researchgate.net/post/Why-Hall-Coefficient-vary-from-positive-to-negative-randomly-for-the-same-sample-at-same-condition/59d9b276615e27ec58463d1e/citation/download (accessed on 25 March 2022).
- Usama, H. Research Gate. Re: Why Hall Effect Measurement Giving Wrong Values? Available online: https://www.researchgate.net/post/Why_Hall_effect_measurement_giving_wrong_values/59120db9cbd5c294a1716722/citation/download (accessed on 29 March 2022).
- Hermann, A.M.; Wang, Y.T.; Ramakrishnan, P.A.; Balzar, D.; An, L.; Haluschka, C.; Riedel, R. Structure and Electronic Transport Properties of Si-(B)-C-N Ceramics. J. Am. Ceram. Soc. 2001, 84, 2260–2264. [Google Scholar] [CrossRef]
- Widgeon, S.; Mera, G.; Gao, Y.; Stoyanov, E.; Sen, S.; Navrotsky, A.; Riedel, R. Nanostructure and energetics of carbon-rich SiCN ceramics derived from polysilylcarbodiimides: Role of the nanodomain interfaces. Chem. Mater. 2012, 24, 1181–1191. [Google Scholar] [CrossRef]
- Rosenburg, F.; Balke, B.; Nicoloso, N.; Riedel, R.; Ionescu, E. Effect of the Content and Ordering of the sp2 Free Carbon Phase on the Charge Carrier Transport in Polymer-Derived Silicon Oxycarbides. Molecules 2020, 25, 5919. [Google Scholar] [CrossRef]
- Sorarù, G.D.; Kundanati, L.; Santhosh, B.; Pugno, N. Influence of free carbon on the Young’s modulus and hardness of polymer-derived silicon oxycarbide glasses. J. Am. Ceram. Soc. 2019, 102, 907–913. [Google Scholar] [CrossRef]
- Dalcanale, F.; Grossenbacher, J.; Blugan, G.; Gullo, M.R.; Lauria, A.; Brugger, J.; Tevaearai, H.; Graule, T.; Niederberger, M.; Kuebler, J. Influence of carbon enrichment on electrical conductivity and processing of polycarbosilane derived ceramic for MEMS applications. J. Eur. Ceram. Soc. 2014, 34, 3559–3570. [Google Scholar] [CrossRef]
- Drechsel, C.; Peterlik, H.; Gierl-Mayer, C.; Stöger-Pollach, M.; Konegger, T. Influence of DVB as linker molecule on the micropore formation in polymer-derived SiCN ceramics. J. Eur. Ceram. Soc. 2021, 41, 3292–3302. [Google Scholar] [CrossRef]
- Chen, Y.; Li, C.; Wang, Y.; Zhang, Q.; Xu, C.; Wei, B.; An, L. Self-assembled carbon-silicon carbonitride nanocomposites: High-performance anode materials for lithium-ion batteries. J. Mater. Chem. 2011, 21, 18186–18190. [Google Scholar] [CrossRef]
- Hanniet, Q.; Boussmen, M.; Barés, J.; Huon, V.; Iatsunskyi, I.; Coy, E.; Bechelany, M.; Gervais, C.; Voiry, D.; Miele, P.; et al. Investigation of polymer-derived Si–(B)–C–N ceramic/reduced graphene oxide composite systems as active catalysts towards the hydrogen evolution reaction. Sci. Rep. 2020, 10, 22003. [Google Scholar] [CrossRef] [PubMed]
- Qu, F.; Yu, Z.; Krol, M.; Chai, N.; Riedel, R.; Graczyk-Zajac, M. Electrochemical Performance of Carbon-Rich Silicon Carbonitride Ceramic as Support for Sulfur Cathode in Lithium Sulfur Battery. Nanomaterials 2022, 12, 1283. [Google Scholar] [CrossRef] [PubMed]
- Mujib, S.B.; Ribot, F.; Gervais, C.; Singh, G. Self-supporting carbon-rich SiOC ceramic electrodes for lithium-ion batteries and aqueous supercapacitors. RSC Adv. 2021, 11, 35440–35454. [Google Scholar] [CrossRef]
- Riedel, R.; Seher, M.; Mayer, J.; Szabó, D.V. Polymer-derived Si-based bulk ceramics, part I: Preparation, processing and properties. J. Eur. Ceram. Soc. 1995, 15, 703–715. [Google Scholar] [CrossRef]
- Haluschka, C.; Kleebe, H.J.; Franke, R.; Riedel, R. Silicon carbonitride ceramics derived from polysilazanes Part I. Investigation of compositional and structural properties. J. Eur. Ceram. Soc. 2000, 20, 1355–1364. [Google Scholar] [CrossRef]
- Ricohermoso, E.; Klug, F.; Schlaak, H.; Riedel, R.; Ionescu, E. Compressive thermal stress and microstructure-driven charge carrier transport in silicon oxycarbide thin films. J. Eur. Ceram. Soc. 2021, 41, 6377–6384. [Google Scholar] [CrossRef]
- Flores, O.; Bordia, R.K.; Bernard, S.; Uhlemann, T.; Krenkel, W.; Motz, G. Processing and characterization of large diameter ceramic SiCN monofilaments from commercial oligosilazanes. RSC Adv. 2015, 5, 107001–107011. [Google Scholar] [CrossRef]
- Yuan, W.; Qu, L.; Li, J.; Deng, C.; Zhu, H. Characterization of crystalline SiCN formed during the nitridation of silicon and cornstarch powder compacts. J. Alloys Compd. 2017, 725, 326–333. [Google Scholar] [CrossRef]
- Khatami, Z.; Wilson, P.R.J.; Wojcik, J.; Mascher, P. The influence of carbon on the structure and photoluminescence of amorphous silicon carbonitride thin films. Thin Solid Films 2017, 622, 1–10. [Google Scholar] [CrossRef]
- Wen, Q.; Yu, Z.; Riedel, R. The fate and role of in situ formed carbon in polymer-derived ceramics. Prog. Mater. Sci. 2020, 109, 100623. [Google Scholar] [CrossRef]
- Mera, G.; Navrotsky, A.; Sen, S.; Kleebe, H.-J.; Riedel, R. Polymer-derived SiCN and SiOC ceramics—Structure and energetics at the nanoscale. J. Mater. Chem. A 2013, 1, 3826–3836. [Google Scholar] [CrossRef]
- Wilamowska, M.; Graczyk-Zajac, M.; Riedel, R. Composite materials based on polymer-derived SiCN ceramic and disordered hard carbons as anodes for lithium-ion batteries. J. Power Sources 2013, 244, 80–86. [Google Scholar] [CrossRef]
- Li, M.; Cheng, L.; Ye, F.; Zhang, C.; Zhou, J. Formation of nanocrystalline graphite in polymer-derived SiCN by polymer infiltration and pyrolysis at a low temperature. J. Adv. Ceram. 2021, 10, 1256–1272. [Google Scholar] [CrossRef]
- Ferrari, A.C. Raman spectroscopy of graphene and graphite: Disorder, electron-phonon coupling, doping and nonadiabatic effects. Solid State Commun. 2007, 143, 47–57. [Google Scholar] [CrossRef]
- Ferrari, A.C.; Robertson, J. Interpretation of Raman spectra of disordered and amorphous carbon. Am. Phys. Soc. 2000, 61, 95–107. [Google Scholar] [CrossRef]
- Cançado, L.G.; Jorio, A.; Ferreira, E.M.; Stavale, F.; Achete, C.A.; Capaz, R.B.; Moutinho, M.V.D.O.; Lombardo, A.; Kulmala, T.S.; Ferrari, A.C. Quantifying defects in graphene via Raman spectroscopy at different excitation energies. Nano Lett. 2011, 11, 3190–3196. [Google Scholar] [CrossRef]
- Cançado, L.G.; Takai, K.; Enoki, T.; Endo, M.; Kim, Y.A.; Mizusaki, H.; Jorio, A.; Coelho, L.N.; Magalhães-Paniago, R.; Pimenta, M.A. General equation for the determination of the crystallite size la of nanographite by Raman spectroscopy. Appl. Phys. Lett. 2006, 88, 163106. [Google Scholar] [CrossRef]
- Ricohermoso, E.I.I.I.; Klug, F.; Schlaak, H.; Riedel, R.; Ionescu, E. Electrically conductive silicon oxycarbide thin films prepared from preceramic polymers. Int. J. Appl. Ceram. Technol. 2022, 19, 149–164. [Google Scholar] [CrossRef]
- Zhao, M.; Xiong, D.B.; Tan, Z.; Fan, G.; Guo, Q.; Guo, C.; Li, Z.; Zhang, D. Lateral size effect of graphene on mechanical properties of aluminum matrix nanolaminated composites. Scr. Mater. 2017, 139, 44–48. [Google Scholar] [CrossRef]
- Tarhini, A.; Tehrani-Bagha, A.; Kazan, M.; Grady, B. The effect of graphene flake size on the properties of graphene-based polymer composite films. J. Appl. Polym. Sci. 2021, 38, 49821. [Google Scholar] [CrossRef]
- Ferrari, A.; Robertson, J. Interpretation of Raman spectra of disordered and amorphous carbon. Phys. Rev. 2000, 61, 14095–14107. [Google Scholar] [CrossRef]
- Pelletier, M.J. Quantitative Analysis Using Raman Spectrometry. Appl. Spectrosc. 2003, 57, 20A–42A. [Google Scholar] [CrossRef] [PubMed]
- Pimenta, M.A.; Dresselhaus, G.; Dresselhaus, M.S.; Cançado, L.G.; Jorio, A.; Saito, R. Studying disorder in graphite-based systems by Raman spectroscopy. Phys. Chem. Chem. Phys. 2007, 9, 1276–1291. [Google Scholar] [CrossRef]
- Larouche, N.; Stansfield, B.L. Classifying nanostructured carbons using graphitic indices derived from Raman spectra. Carbon 2009, 48, 620–629. [Google Scholar] [CrossRef]
- Stabler, C.; Reitz, A.; Stein, P.; Albert, B.; Riedel, R.; Ionescu, E. Thermal properties of SiOC glasses and glass ceramics at elevated temperatures. Materials 2018, 11, 279. [Google Scholar] [CrossRef]
- Mera, G.; Riedel, R.; Poli, F.; Müller, K. Carbon-rich SiCN ceramics derived from phenyl-containing poly(silylcarbodiimides). J. Eur. Ceram. Soc. 2009, 29, 2873–2883. [Google Scholar] [CrossRef]
- Gao, Y.; Mera, G.; Nguyen, H.; Morita, K.; Kleebe, H.J.; Riedel, R. Processing route dramatically influencing the nanostructure of carbon-rich SiCN and SiBCN polymer-derived ceramics. Part I: Low temperature thermal transformation. J. Eur. Ceram. Soc. 2012, 32, 1857–1866. [Google Scholar] [CrossRef]
- Ionescu, E.; Mera, G.; Riedel, R. Polymer-Derived Ceramics (PDCs): Materials Design towards Applications at UltrahighTemperatures and in Extreme Environments. In MAX Phases and Ultra-High Temperature Ceramics for Extreme Environments; IGI Global: Hershey, PA, USA, 2013; p. 203. [Google Scholar] [CrossRef]
- Wall, M. The Raman Spectroscopy of Graphene and the Determination of Layer Thickness. Thermo Sci. 2011, 5, 1–5. [Google Scholar]
- Monthioux, M.; Delverdier, O. Thermal Behavior of (Organosilicon) Polymer-Derived Ceramics. V: Main Facts and Trends. J. Eur. Ceram. Soc. 1996, 16, 721–737. [Google Scholar] [CrossRef]
- Rivera, J.O.B.; Talou, M.H.; Hung, Y.M.X.H.; Camerucci, M.A. Study of a silicon-based preceramic for the processing of polymer-derived ceramics. J. Sol-Gel Sci. Technol. 2019, 91, 446–460. [Google Scholar] [CrossRef]
- Zhou, C.; Min, H.; Yang, L.; Chen, M.; Wen, Q.; Yu, Z. Dimethylaminoborane-modified copolysilazane as a novel precursor for high-temperature resistant SiBCN ceramics. J. Eur. Ceram. Soc. 2014, 34, 3579–3589. [Google Scholar] [CrossRef]
- Wang, D.H.; Xu, D.; Wang, Q.; Hao, Y.J.; Jin, G.Q.; Guo, X.Y.; Tu, K.N. Periodically twinned SiC nanowires. Nanotechnology 2008, 19, 215602. [Google Scholar] [CrossRef]
- Yao, R.; Feng, Z.; Yu, Y.; Li, S.; Chen, L.; Zhang, Y. Synthesis and characterization of continuous freestanding silicon carbide films with polycarbosilane (PCS). J. Eur. Ceram. Soc. 2009, 29, 2079–2085. [Google Scholar] [CrossRef]
- Wijesundara, M.B.J.; Azevedo, R.G. SiC MEMS devices. In Silicon Carbide Microsystems for Harsh Environments; Springer: New York, NY, USA, 2011; pp. 125–165. [Google Scholar] [CrossRef]
- Masripah, A. Zulys, and J. Setiawan. Synthesis of Silicon Carbide Fiber as semiconductor substrate for Betavoltaic cell. J. Phys. Conf. Ser. 2018, 1025, 012129. [Google Scholar] [CrossRef]
- ROHM Semiconductor. What are SiC Semiconductors? (SiC)|Electronics Basics. Available online: https://www.rohm.com/electronics-basics/sic/what-are-sic-semiconductors (accessed on 23 March 2022).
- Codreanu, C.; Avram, M.; Carbunescu, E.; Iliescu, E. Comparison of 3C-SiC, 6H-SiC and 4H-SiC MESFETs performances. Mater. Sci. Semicond. Proc. 2000, 3, 137–142. [Google Scholar] [CrossRef]
- Kim, K.J.; Eom, J.H.; Kim, Y.W.; Seo, W.S. Electrical conductivity of dense, bulk silicon-oxycarbide ceramics. J. Eur. Ceram. Soc. 2015, 35, 1355–1360. [Google Scholar] [CrossRef]
- Bahloul, D.; Pereira, M.; Goursat, P. Silicon carbonitride derived from an organometallic precursor: Influence of the microstructure on the oxidation behaviour. Ceram. Int. 1992, 18, 1–9. [Google Scholar] [CrossRef]
- Burns, G.T.; Angelotti, T.P.; Hanneman, L.F.; Chandra, G.; Moore, J.A. Alkyl- and arylsilsesquiazanes: Effect of the R group on polymer degradation and ceramic char composition. J. Mater. Sci. 1987, 22, 2609–2614. [Google Scholar] [CrossRef]
- Ramakrishnan, P.A.; Wang, Y.T.; Balzar, D.; An, L.; Haluschka, C.; Riedel, R.; Hermann, A.M. Silicoboron-carbonitride ceramics: A class of high-temperature, dopable electronic materials. Appl. Phys. Lett. 2001, 78, 3076–3078. [Google Scholar] [CrossRef]
- Godet, C. Hopping model for charge transport in amorphous carbon. Philos. Mag. B 2001, 81, 205–222. [Google Scholar] [CrossRef]
- Godet, C. Variable range hopping revisited: The case of an exponential distribution of localized states. J. Non. Cryst. Solids 2002, 299–302, 333–338. [Google Scholar] [CrossRef]
- Godet, C. Physics of bandtail hopping in disordered carbons. Diam. Relat. Mater. 2003, 12, 159–165. [Google Scholar] [CrossRef]
- Mott, N.F. Conduction in Non-crystalline Materials III. Localized States in a Pseudogap and Near Extremities of Conduction and Valence Bands. Philos. Mag. Lett. 1969, 19, 835–852. [Google Scholar] [CrossRef]
- Mott, N.F.; Davis, E.A. Electronic processes. In Non-Crystalline Materials. Phys. Today 1984, 7, 34. [Google Scholar] [CrossRef]
- Trassl, S.; Puchinger, M.; Rössler, E.; Ziegler, G. Electrical properties of amorphous SiCxNyHz-ceramics derived from polyvinylsilazane. J. Eur. Ceram. Soc. 2003, 23, 781–789. [Google Scholar] [CrossRef]
- Taki, Y.; Kitiwan, M.; Katsui, H.; Goto, T. Electrical and thermal properties of nitrogen-doped SiC sintered body. Funtai Oyobi Fummatsu Yakin/Journal Jpn. Soc. Powder Powder Metall. 2018, 65, 508–512. [Google Scholar] [CrossRef]
- Chauhan, S.S.; Narwariya, P.; Shrivasatava, A.K.; Srivastava, P. Electronic and transport properties of nitrogen and boron doped zigzag silicon carbide nanoribbons: First principle study. Solid State Commun. 2021, 338, 114476. [Google Scholar] [CrossRef]
- Sanjeev, R.; Ravi, R.; Jagannadham, V. Attenuation Effect as a Tool to Explain sp3 Carbon (–CH2–) is a Good Electron Insulator and a sp2 Carbon (–CH=CH–) is a Good Electron Transmitter: An Undergraduate 1-h Chemistry Classroom Tutorial. Natl. Acad. Sci. Lett. 2020, 43, 5–8. [Google Scholar] [CrossRef]
- Richter, N.; Hernandez, Y.R.; Schweitzer, S.; Kim, J.S.; Patra, A.K.; Englert, J.; Lieberwirth, I.; Liscio, A.; Palermo, V.; Feng, X.; et al. Robust two-dimensional electronic properties in three-dimensional microstructures of rotationally stacked turbostratic graphene. Phys. Rev. Appl. 2017, 7, 024022. [Google Scholar] [CrossRef]







| Parameter/Temperature | 1100 °C | 1400 °C | 1600 °C |
|---|---|---|---|
| Lateral crystallite size, La (nm) | 7.66 | 8.54 | 10.08 |
| Average continuous graphene length including tortuosity, Leq (nm) | 11.06 | 15.91 | 17.76 |
| Inter-defect distance, LD (nm) | 7.58 | 8.00 | 8.69 |
| Defect density, nD, × 1011(cm−2) | 7.52 | 6.75 | 5.71 |
| I2D/IG ratio, i.e., stacking number of graphene layer, Lc (nm) | 1.7 (≤3 layers) | 1.7 (≤3 layers) | 1.7 (≤3 layers) |
| Pyrolysis Temperature | Elemental Composition (wt. %) | N/Si (at. %) | C/Si (at. %) | Carbon Content (at. %) | ||
|---|---|---|---|---|---|---|
| Si | C | N | ||||
| 1100 °C | 39.87 | 48.32 | 9.95 | 0.50 | 2.83 | 64.17 |
| 1400 °C | 41.91 | 52.87 | 4.44 | 0.21 | 2.95 | 70.32 |
| 1600 °C | 43.61 | 53.37 | 2.43 | 0.11 | 2.86 | 71.60 |
| Parameter/Temperature | 1100 °C | 1400 °C | 1600 °C |
|---|---|---|---|
| Electrical conductivity σdc, (S/cm) | 0.148 | 4.71 | 9.26 |
| Carrier density, N (cm−3) | 6.42 × 1018 | 8.45 × 1019 | 1.63 × 1019 |
| Carrier mobility, µH, (cm2 V−1 s−1) | 1.45 × 10−1 | 3.52 × 10−1 | 3.55 |
Publisher’s Note: MDPI stays neutral with regard to jurisdictional claims in published maps and institutional affiliations. |
© 2022 by the authors. Licensee MDPI, Basel, Switzerland. This article is an open access article distributed under the terms and conditions of the Creative Commons Attribution (CC BY) license (https://creativecommons.org/licenses/by/4.0/).
Share and Cite
Adigun, O.D.; Ricohermoso, E., III; Daniyan, A.A.; Umoru, L.E.; Ionescu, E. Structure and Electrical Properties of Carbon-Rich Polymer Derived Silicon Carbonitride (SiCN). Ceramics 2022, 5, 690-705. https://doi.org/10.3390/ceramics5040050
Adigun OD, Ricohermoso E III, Daniyan AA, Umoru LE, Ionescu E. Structure and Electrical Properties of Carbon-Rich Polymer Derived Silicon Carbonitride (SiCN). Ceramics. 2022; 5(4):690-705. https://doi.org/10.3390/ceramics5040050
Chicago/Turabian StyleAdigun, Oluwole Daniel, Emmanuel Ricohermoso, III, Ayodele Abeeb Daniyan, Lasisi Ejibunu Umoru, and Emanuel Ionescu. 2022. "Structure and Electrical Properties of Carbon-Rich Polymer Derived Silicon Carbonitride (SiCN)" Ceramics 5, no. 4: 690-705. https://doi.org/10.3390/ceramics5040050
APA StyleAdigun, O. D., Ricohermoso, E., III, Daniyan, A. A., Umoru, L. E., & Ionescu, E. (2022). Structure and Electrical Properties of Carbon-Rich Polymer Derived Silicon Carbonitride (SiCN). Ceramics, 5(4), 690-705. https://doi.org/10.3390/ceramics5040050

