Sol–Gel Synthesis of Iron-Doped Sepiolite as a Novel Humidity-Sensing Material
Abstract
:1. Introduction
2. Materials
3. Methods
4. Results and Discussion
4.1. Particle Size Distribution
4.2. XRD Measurements
4.3. FTIR Measurements
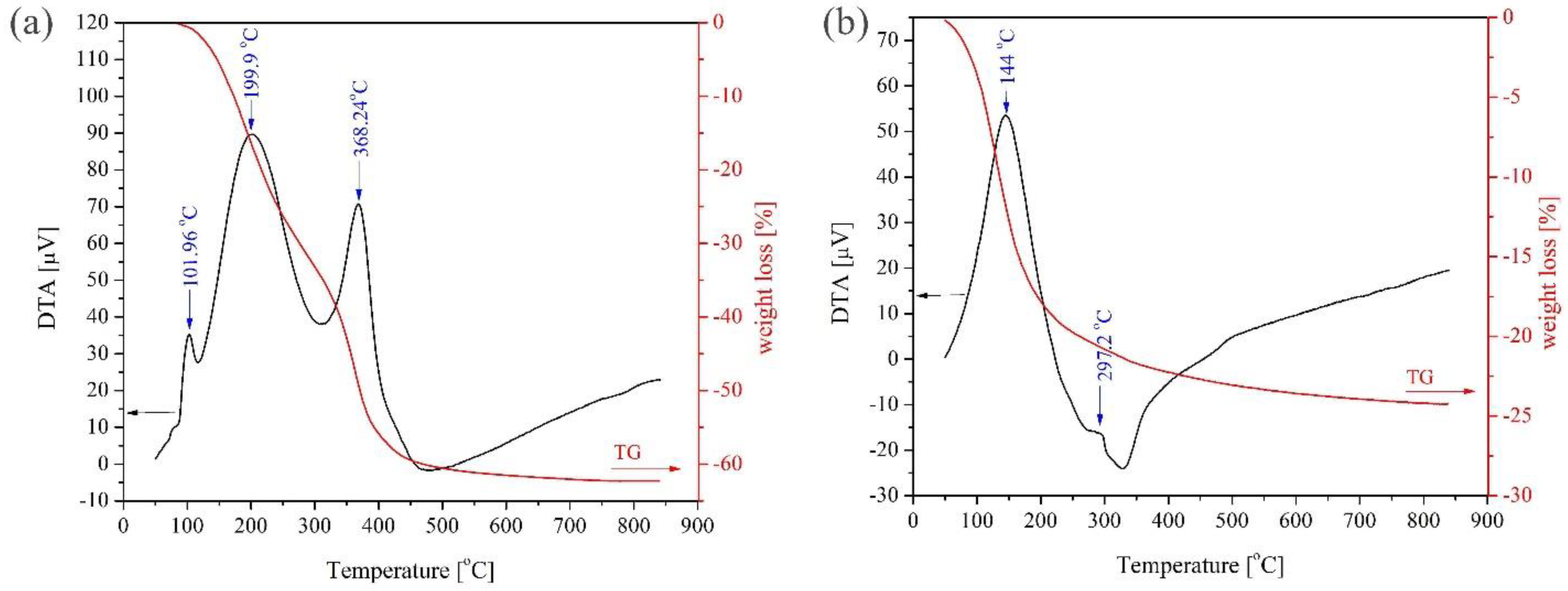
4.4. TG–DTA Measurements
4.5. SSA Measurements
4.6. Microstructural Observations
4.7. XPS Measurements
4.8. Sensitivity towards Humidity
5. Conclusions
Author Contributions
Funding
Institutional Review Board Statement
Informed Consent Statement
Data Availability Statement
Conflicts of Interest
References
- Barmpakos, D.; Kaltsas, G. A Review on Humidity, Temperature and Strain Printed Sensors—Current Trends and Future Perspectives. Sensors 2021, 21, 739. [Google Scholar] [CrossRef]
- Esteban-Cubillo, A.; Tulliani, J.-M.; Pecharromán, C.; Moya, J.S. Iron-oxide nanoparticles supported on sepiolite as a novel humidity sensor. J. Eur. Ceram. Soc. 2007, 27, 1983–1989. [Google Scholar] [CrossRef]
- Céline Laville, C.P.; Deletage, J.-Y. Humidity sensors for a pulmonary function diagnostic microsystem. Sens. Actuators B Chem. 2001, 76, 304–309. [Google Scholar] [CrossRef]
- Tulliani, J.-M.; Baroni, C.; Zavattaro, L.; Grignani, C. Strontium-Doped Hematite as a Possible Humidity Sensing Material for Soil Water Content Determination. Sensors 2013, 13, 12070–12092. [Google Scholar] [CrossRef] [PubMed]
- Traversa, E. Ceramic sensors for humidity detection: The state-of-the-art and future developments. Sens. Actuators B Chem. 1995, 23, 135–156. [Google Scholar] [CrossRef]
- Chen, Z.; Lu, C. Humidity Sensors: A Review of Materials and Mechanisms. Sens. Lett. 2005, 3, 274–295. [Google Scholar] [CrossRef]
- Lukaszewicz, J.P. Carbon-film-based humidity sensor containing sodium or potassium. Recovery effect. Sens. Actuators B Chem. 1999, 60, 184–190. [Google Scholar] [CrossRef]
- Varghese, O.K.; Kichambre, P.D.; Gong, D.; Ong, K.G.; Dickey, E.C.; Grimes, C.A. Gas sensing characteristics of multi-wall carbon nanotubes. Sens Actuators B Chem. 2001, 81, 32–41. [Google Scholar] [CrossRef]
- Yao, Y.; Chen, X.; Guo, H.; Wu, Z. Graphene oxide thin film coated quartz crystal microbalance for humidity detection. Appl. Surf. Sci. 2011, 257, 7778–7782. [Google Scholar] [CrossRef]
- Chu, J.; Peng, X.; Feng, P.; Sheng, V.; Zhang, J. Study of humidity sensors based on nanostructured carbon films produced by physical vapor deposition. Sens. Actuators B Chem. 2013, 178, 508–513. [Google Scholar] [CrossRef]
- Phan, D.-T.; Chung, G.-S. Effects of rapid thermal annealing on humidity sensor based on graphene oxide thin films. Sens. Actuators B Chem. 2015, 220, 1050–1055. [Google Scholar] [CrossRef]
- Tulliani, J.-M.; Inserra, B.; Ziegler, D. Carbon-Based Materials for Humidity Sensing: A Short Review. Micromachines 2019, 10, 232. [Google Scholar] [CrossRef] [PubMed]
- Afify, A.S.; Ahmad, S.; Khushnood, R.A.; Jagdale, P.; Tulliani, J.-M. Elaboration and characterization of novel humidity sensor based on micro-carbonized bamboo particles. Sens. Actuators B Chem. 2017, 239, 1251–1256. [Google Scholar] [CrossRef]
- Ziegler, D.; Palmero, P.; Giorcelli, M.; Tagliaferro, A.; Tulliani, J.-M. Biochars as Innovative Humidity Sensing Materials. Chemosensors 2017, 5, 35. [Google Scholar] [CrossRef]
- Konta, J. Clay and man: Clay raw materials in the service of man. Appl. Clay Sci. 1995, 4, 269–335. [Google Scholar] [CrossRef]
- Murray, H.H. Traditional and new applications for kaolin, smectite, and palygorskite: A general overview. Appl. Clay Sci. 2000, 17, 207–221. [Google Scholar] [CrossRef]
- Choy, J.-H.; Choi, S.-J.; Oh, J.-M.; Park, T. Clay minerals and layered double hydroxides for novel biological applications. Appl. Clay Sci. 2007, 36, 122–132. [Google Scholar] [CrossRef]
- Zhou, C.; Li, X.; Ge, Z.; Li, Q. Synthesis and acid catalysis of nanoporous silica/alumina-clay composites. Catal. Today 2004, 93, 607–613. [Google Scholar] [CrossRef]
- Adoor, S.G.; Sairam, M.; Manjeshwar, L.S.; Raju, K.V.S.N.; Aminabhavi, T.M. Sodium montmorillonite clay loaded novel mixed matrix membranes of poly (vinyl alcohol) for pervaporation dehydration of aqueous mixtures of isopropanol and 1,4-dioxane. J. Memb. Sci. 2006, 285, 182–195. [Google Scholar] [CrossRef]
- Afify, A.S.; Hassan, M.; Piumetti, M.; Peter, I.; Bonelli, B.; Tulliani, J.-M. Elaboration and characterization of modified sepiolites and their humidity sensing features for environmental monitoring. Appl. Clay Sci. 2015, 115, 165–173. [Google Scholar] [CrossRef]
- Mar González del Campo, M.; Darder, M.; Aranda, P.; Akkari, M.; Huttel, Y.; Mayoral, A.; Bettini, J.; Ruiz-Hitzky, E. Functional Hybrid Nanopaper by Assembling Nanofibers of Cellulose and Sepiolite. Adv. Funct. Mater. 2018, 28, 1703048. [Google Scholar] [CrossRef]
- Ma, Y.; Zhang, G. Sepiolite nanofiber-supported platinum nanoparticle catalysts toward the catalytic oxidation of formaldehyde at ambient temperature: Efficient and stable performance and mechanism. Chem. Eng. J. 2016, 288, 70–78. [Google Scholar] [CrossRef]
- Deng, C.; Jiang, Y.; Fan, Z.; Zhao, S.; Ouyang, D.; Tan, J.; Zhang, P.; Ding, Y. Sepiolite-based separator for advanced Li-ion batteries. Appl. Surf. Sci. 2019, 484, 446–452. [Google Scholar] [CrossRef]
- Zhang, J.; Yan, Z.; Ouyang, J.; Yang, H.; Chen, D. Highly dispersed sepiolite-based organic modified nanofibers for enhanced adsorption of Congo red. Appl. Clay Sci. 2018, 157, 76–85. [Google Scholar] [CrossRef]
- Wollast, R.; Mackenzie, F.T.; Bricker, O.P. Experimental precipitation and genesis of sepiolite at Earth-surface conditions. Am. Mineral. 1968, 53, 1645–1662. [Google Scholar]
- del Río, M.S.; García-Romero, E.; Suárez, M.; da Silva, I.; Fuentes-Montero, L.; Martínez-Criado, G. Variability in sepiolite: Diffraction studies. Am. Mineral. 2011, 96, 1443–1454. [Google Scholar] [CrossRef]
- Hibino, T.; Tsunashima, A.; Yamazaki, A.; Otsuka, R. Model Calculation of Sepiolite Surface Areas. Clay Clay Miner. 1995, 43, 391–396. [Google Scholar] [CrossRef]
- Hassan, M.; Afify, A.S.; Tulliani, J.-M. Synthesis of ZnO Nanoparticles onto Sepiolite Needles and Determination of Their Sensitivity toward Humidity, NO2 and H2. J. Mater. Sci. Technol. 2016, 32, 573–582. [Google Scholar] [CrossRef]
- Mizutani, T.; Fukushima, Y.; Okada, A.; Kamigaito, O.; Kobayashi, T. Synthesis of 1:1 and 2:1 iron phyllosilicates and characterization of their iron state by mössbauer spectroscopy. Clay Min. 1991, 39, 381–386. [Google Scholar] [CrossRef]
- Narasimharao, K.; Mokhtar, M.; Basahel, S.N.; Al-Thabaiti, S.A. Synthesis, characterization, and catalytic activity of nitridated magnesium silicate catalyst. J. Mater. Sci. 2013, 48, 4274–4283. [Google Scholar] [CrossRef]
- Tulliani, J.-M.; Bonville, P. Influence of the dopants on the electrical resistance of hematite-based humidity sensors. Ceram. Int. 2005, 31, 507–514. [Google Scholar] [CrossRef]
- Walczyka, A.; Michalik, A.; Napruszewska, B.D.; Kryściak-Czerwenka, J.; Karcza, R.; Duraczyńska, D.; Socha, R.P.; Olejniczak, Z.; Gaweł, A.; Klimek, A.; et al. New insight into the phase transformation of sepiolite upon alkali activation: Impact on composition, structure, texture, and catalytic/sorptive properties. Appl. Clay Sci. 2020, 195, 105740. [Google Scholar] [CrossRef]
- Shuali, U.; Bram, L.; Steinberg, M.; Yariv, S. Infrared study of the thermal treatment of sepiolite and palygorskite saturated with organic amines. Thermochim. Acta 1989, 148, 445–456. [Google Scholar] [CrossRef]
- Vicente Rodríguez, M.A.; López-González, J.D.D.; Bañares-Muñoz, M.A. Influence of the free silica generated during acid activation of a sepiolite on the adsorbent and textural properties of the resulting solids. J. Mater. Chem. 1995, 5, 127–132. [Google Scholar] [CrossRef]
- Dutt, M.; Suhasini, K.; Ratan, A.; Shah, J.; Kotnala, R.K.; Singh, V. Mesoporous silica mediated synthesis of α-Fe2O3 porous structures and their application as humidity sensors. J. Mater. Sci. Mater. El. 2018, 29, 20506–20516. [Google Scholar] [CrossRef]
- Miura, A.; Nakazawa, K.; Takei, T.; Kumada, N.; Kinomura, N.; Ohki, R.; Koshiyama, H. Acid-, base-, and heat-induced degradation behavior of Chinese sepiolite. Ceram. Int. 2012, 38, 4677–4684. [Google Scholar] [CrossRef]
- Nagata, H.; Shimoda, S.; Sudo, T. On Dehydration of Bound Water of Sepiolite. Clay Clay Miner. 1974, 22, 285–293. [Google Scholar] [CrossRef]
- Serna, C.; Ahrlichs, J.L.; Serratosa, J.M. Folding in Sepiolite Crystals. Clay Cla. Miner. 1975, 23, 452–457. [Google Scholar] [CrossRef]
- Torró-Palau, A.; Fernández-García, J.C.; Orgilés-Barceló, A.C. Structural modification of sepiolite (natural magnesium silicate) by thermal treatment: Effect on the properties of polyurethane adhesives. Int. J. Adhes. Adhes. 1997, 17, 111–119. [Google Scholar] [CrossRef]
- Molina-Sabio, M.; Caturla, F.; Rodríguez-Reinoso, F.; Kharitonova, G.V. Porous structure of a sepiolite as deduced from the adsorption of N2, CO2, NH3 and H2O. Microporous Mesoporous Mater. 2001, 47, 389–396. [Google Scholar] [CrossRef]
- Kok, M.V. Thermal Characterization of Sepiolite Samples. Energy Sources Part A 2013, 35, 173–183. [Google Scholar] [CrossRef]
- Valentin, J.L.; López-Manchado, M.A.; Rodríguez, A.; Posadas, P.; Ibarra, L. Novel anhydrous unfolded structure by heating of acid-pretreated sepiolite. Appl. Clay Sci. 2007, 36, 245–255. [Google Scholar] [CrossRef]
- Khan, I.; Morishita, S.; Higashinaka, R.; Matsuda, T.D.; Aoki, Y.; Kuzmann, E.; Homonnay, Z.; Katalin, S.; Pavić, L.; Kubuki, S. Synthesis, characterization and magnetic properties of ε-Fe2O3 nanoparticles prepared by sol-gel method. J. Magn. Magn. Mater. 2021, 538, 168264. [Google Scholar] [CrossRef]
- Moulder, J.F.; Stickle, W.F.; Sobol, P.E.; Bomben, K.D. Handbook of X-ray Photoelectron Spectroscopy; Perkin Elmer Corporation Publisher: Waltham, MA, USA, 1992. [Google Scholar]
- Habish, A.M.; Lazarević, S.; Janković-Častvan, I.; Jokić, B.; Kovač, J.; Rogan, J.; Janaćković, Đ.; Petrović, R. Nanoscale zerovalent iron (nZVI) supported by natural and acid-activated sepiolites: The effect of the nZVI/support ratio on the composite properties and Cd2+ adsorption. Environ. Sci. Pollut. Res. 2017, 24, 628–643. [Google Scholar] [CrossRef]
- Yamashita, T.; Hayes, P. Analysis of XPS spectra of Fe2+ and Fe3+ ions in oxide material. Appl. Surf. Sci. 2008, 254, 2441–2449. [Google Scholar] [CrossRef]
- Neri, G.; Bonavita, A.; Galvagno, S.; Pace, C.; Patanè, S.; Arena, A. Humidity sensing properties of Li–iron oxide based thin films. Sens. Actuators B Chem. 2001, 73, 89–94. [Google Scholar] [CrossRef]
- Duan, Z.; Jiang, Y.; Zhao, Q.; Wang, S.; Yuan, Z.; Zhang, Y.; Liu, B.; Tai, H. Facile and low-cost fabrication of a humidity sensor using naturally available sepiolite nanofibers. Nanotechnology 2020, 31, 355501. [Google Scholar] [CrossRef]
- Ahmaruzzaman, M.; Gupta, V. Rice husk and its ash as low-cost adsorbents in water and wastewater treatment. Ind. Eng. Chem. Res. 2011, 50, 13589–13613. [Google Scholar] [CrossRef]
- Seiyama, T.; Yamazoe, N.; Arai, H. Ceramic humidity sensors. Sens. Actuators 1983, 4, 86–96. [Google Scholar] [CrossRef]
- Yuan, Q.; Li, N.; Geng, W.; Chi, Y.; Tu, J.; Li, X.; Shao, C. Humidity sensing properties of mesoporous iron oxide/silica composite prepared via hydrothermal process. Sens. Actuators B Chem. 2011, 160, 334–340. [Google Scholar] [CrossRef]
- Pelino, M.; Colella, C.; Cantalini, C.; Faccio, M.; Ferri, G.; D’Amico, A. Microstructure and electrical properties of an a-hematite ceramic humidity sensor. Sens. Actuators B Chem. 1992, 7, 464–469. [Google Scholar] [CrossRef]
- Cantalini, C.; Faccio, M.; Ferri, G.; Pelino, M. Microstructure and electrical properties of Si-doped α-Fe2O3 humidity sensor. Sens. Actuators B Chem. 1993, 15, 293–298. [Google Scholar] [CrossRef]
- Chauhan, P.; Annapoorni, S.; Trikha, S.K. Humidity-sensing properties of nanocrystalline haematite thin films prepared by sol-gel processing. Thin Solid Films 1999, 346, 266–268. [Google Scholar] [CrossRef]
- Tandon, R.P.; Tripathy, M.R.; Arora, A.K.; Hotchandani, S. Gas and humidity response of iron oxide—Polypyrrole nanocomposites. Sens. Actuators B Chem. 2006, 114, 768–773. [Google Scholar] [CrossRef]
- Khalil, K.M.S.; Makhlouf, S.A. Humidity sensing properties of porous iron oxide/silica nanocomposite prepared via a formamide modified sol–gel process. Sens. Actuators A Phys. 2008, 148, 39–43. [Google Scholar] [CrossRef]
- Nica, S.-L.; Nica, V.; Grigoras, V.C.; Varganici, C.-D.; Popovici, D.; Hulubei, C.; Ioan, S. Influence of two structural phases of Fe3O4 and γ-Fe2O3 on the properties of polyimide/iron oxide composites. Polym. Int. 2015, 64, 1172–1181. [Google Scholar] [CrossRef]
- Songkeaw, P.; Onlaor, K.; Tunhoo, B. A humidity sensor based on iron oxide films prepared by spin coating process. Mater. Today Proc. 2017, 4, 6512–6518. [Google Scholar] [CrossRef]
- Yadav, B.C.; Chauhan, K.S.; Singh, S.; Sonker, R.K.; Sikarwar, S.; Kumar, R. Growth and characterization of sol–gel processed rectangular shaped nanostructured ferric oxide thin film followed by humidity and gas sensing. J. Mater. Sci. Mater. Electron. 2017, 28, 5270–5280. [Google Scholar] [CrossRef]
- Hashim, A.; Agool, I.R.; Kadhim, K.J. Novel of (polymer blend-Fe3O4) magnetic nanocomposites: Preparation and characterization for thermal energy storage and release, gamma ray shielding, antibacterial activity and humidity sensors applications. J. Mater. Sci. Mater. Electron. 2018, 29, 10369–10394. [Google Scholar] [CrossRef]
- Ahmad, W.R.W.; Mamat, M.H.; Zoolfakar, A.S.; Khusaimi, Z.; Yusoff, M.M.; Ismail, A.S.; Roslan, S.S.; Rusop, M. The performance of humidity sensors using iron oxide as the sensor element. In Proceedings of the 8th IEEE International Conference on Control System, Computing and Engineering (ICCSCE 2018), Penang, Malaysia, 23–25 November 2018; pp. 217–222. [Google Scholar]
- Khorsand Zak, A.; Shirmahd, H.; Mohammadi, S.; Banishemian, S.M. Solvothermal synthesis of porous Fe3O4 nanoparticles for humidity sensor application. Mater. Res. Express 2020, 7, 025001. [Google Scholar] [CrossRef]
- Umair Khan, M.; Hassan, G.; Awais, M.; Bae, J. All printed full range humidity sensor based on Fe2O3. Sens. Actuators A Phys. 2020, 311, 112072. [Google Scholar] [CrossRef]
- Manikandan, V.; Mirzaei, A.; Petrila, I.; Kavita, S.; Mane, R.S.; Denardin, J.C.; Lundgaard, S.; Juodkazis, S.; Chandrasekaran, J.; Vigneselvan, S. Effect of neodymium stimulation on the dielectric, magnetic and humidity sensing properties of iron oxide nanoparticles. Mater. Chem. Phys. 2020, 254, 123572. [Google Scholar] [CrossRef]
- Tippo, P.; Singjai, P.; Sroila, W.; Jaisamer, T.; Suttanon, N.; Panthawan, A.; Kantarak, E.; Sroila, W.; Thongsuwan, W.; Kumpika, T.; et al. Improving the properties of Fe2O3 by a sparking method under a uniform magnetic field for a high-performance humidity sensor. RSC Adv. 2022, 12, 1527–1533. [Google Scholar] [CrossRef]










| Cumulative vol% | S1 Sample | S1FeSUB Sample | S1FeXS Sample |
|---|---|---|---|
| 10 | 8.5 | 5.1 | 3.9 |
| 50 | 88.5 | 26.4 | 18.5 |
| 90 | 140.0 | 111.4 | 98.5 |
| Assignment | Wavenumber (cm−1) | |
|---|---|---|
| S1 | S1FeSUB | |
| Mg3OH unit stretching and hydroxyl translation and bending mode | 3686.1, 672.1 | 3686.1, 675.6 |
| OH stretching vibrations in H2O molecules coordinated to Mg at the ribbon edges | 3623.9, 3567.2 | 3623.9, 3567.2 |
| H2Ozeolitic | 3448.4 | 3442.8, 1718.7, 1655.8 |
| C–H-O-CH3 | 2930.3 | 2930.3 |
| H2Ocoordinated | 1633.4 | 1633.4 |
| Fe–OH vibration | --- | 1471.2, 1378.9 |
| Si–O–Si asymmetric stretching | 1206.9 | 1206.9 |
| Si–O in-plane stretching | 1035.6 | 1035.6 |
| O–Si–O and/or Si–O–Si bending | 797.2 | 797.2 |
| Perpendicular Mg–OH vibration | 563.7 | --- |
| Deformation mode of MgO6 octahedral units | 454.6 | 453.9 |
| Sample | SSA (m2/g) | Porosity (cm3/g) | Pore Size (nm) |
|---|---|---|---|
| S1 | 151.3 | 0.31 | 8.1 |
| S1FeSUB | 81.3 | 0.20 | 9.4 |
| Sample | Mg 2p | Si 2p | O 1s | Fe 2p | Mg 1s |
|---|---|---|---|---|---|
| Natural sepiolite | 49.3 | 100.6, 101.8 | 531.1, 531.5 | --- | 1303.5 |
| S1 | 49.9 | 101.5, 102.4 | 531.0, 532.1 | --- | 1304.1 |
| S1FeSUB | 50.2 | 102.0, 102.9 | 531.2, 532.2 | 711.7, 714.9, 725.5 | 1304.3 |
| S1FeXS | 50.1 | 102.1, 102.9 | 530.8, 532.1 | 712.0, 715.5, 725.7 | 1304.4 |
| Sample | Response Time (min) | Recovery Time (min) | ||
|---|---|---|---|---|
| From 0% to 60% RH | From 0% to 90% RH | From 60% to 0% RH | From 90% RH to 0% RH | |
| S1FeSUB | 5.1 | 5.3 | 1.6 | 1.5 |
| S1FeXS | 2.8 | 4.9 | 0.8 | 2 |
| Sensing Material | Sensor Response (Rair/Rhumid Unless Specified) | Response Time | Recovery Time | Reference |
|---|---|---|---|---|
| Pressed α-Fe2O3/sepiolite prepared by a wet chemical route | 36.2 under 80% RH | 3 min when RH changed from 0% to 80% | n.d. | [2] |
| Pressed W4+-doped sepiolite prepared by a wet chemical route | ≈98% relative change of resistance under 90% RH | 18.1 min when RH changed from 0% to 90% | 1.5 min when RH changed from 0% to 90% | [13] |
| Pure sepiolite painted on alumina substrate with IDEs | 528 under 91.5% RH | 26 s when RH changed from 10.9% to 91.5% | 17 s when RH changed from 91.5% to 10.9% | [48] |
| Pressed α-Fe2O3 | ≈660 under 95% RH | n.d. | n.d. | [52] |
| Pressed 2% Si-doped α-Fe2O3 | ≈1300 under 95% RH | ≈6 min when RH changed from 0% to 60% | ≈3 min when RH changed from 60% to 0% | [53] |
| α-Fe2O3 thin film made by spin casting | ≈300 under 85% RH | n.d. | n.d. | [54] |
| 20 mol% Li-doped α-Fe2O3 thin film made by drop coating | ≈830 under 90% RH (Ratio of the capacitance value under humidity by the capacitance under 10% RH) | n.d. | n.d. | [47] |
| Screen-printed 5%SrO-doped Fe2O3 film | About 3 orders of magnitude change in resistance in the range 0%–100% RH | n.d. | n.d. | [31] |
| Pressed 27% polypyrrole–Fe3O4 synthesized by an emulsion polymerization in water | 980 under 80% RH | n.d. | n.d. | [55] |
| Pressed Fe2O3/SiO2 nanocomposites made by sol–gel | About 3 orders of magnitude change in conductivity in the range 15%–100% RH | n.d. | n.d. | [56] |
| Screen-printed 1:1 Fe2O3/SiO2 composites via hydrothermal route | 10,000 under 95% RH | 20 s when RH changed from 11% to 95% | 40 s when RH changed from 95% to 11% | [51] |
| Cast films of polyimide/20% Fe2O3 or Fe3O4 composites | ≈90% relative change of resistance under 100% RH | n.d. | n.d. | [57] |
| Spin-coated Fe2O3 films | ≈260 under 93% RH | <50 s when RH changed from 23% to 93% | <50 s when RH changed from 93% to 23% | [58] |
| Spin-coated sol–gel Fe2O3 films | About 2 orders of magnitude change in resistance in the range 10%–90% RH | n.d. | n.d. | [59] |
| Polyvinyl alcohol-polyethylene glycol- Polyvinylpyrrolidone-Fe3O4 films | About 2 orders of magnitude change in resistance in the range 40%–90% RH | n.d. | n.d. | [60] |
| Mesoporous α-Fe2O3 on silica gel | ≈1000 under 93% RH | 60 s when RH changed from 11% to 93% | 140 s when RH changed from 93% to 11% | [35] |
| Solution synthesis of α-Fe2O3 films | 30.68 under 90% RH | n.d. | n.d. | [61] |
| Spin coating of solvothermal synthesized Fe3O4-polyvinylpyrrolidone | ≈35% relative change of resistance under 70% RH | n.d. | n.d. | [62] |
| Spin-coated Fe2O3 films | ≈18.8 under 96.5% RH | 1.79 s when RH changed from 0% to 100% | 4.97 s when RH changed from 100% to 0% | [63] |
| Pressed co-precipitated Nd–Fe2O3 | 85% relative change of resistance under 100% RH | 5 s when RH changed from 0% to 80% | 88 s when RH changed from 80% to 0% | [64] |
| Fe2O3 thin film deposited under magnetic field | About 6 orders of magnitude change in resistance in the range 10%–100% RH at 95 °C | 0.33 s when RH changed from 0% to 100% at 95 °C | 2.57 s when RH changed from 100% to 0% at 95 °C | [65] |
| Screen-printed sol–gel-synthesized Fe2O3-doped synthetic sepiolite | ≈14.7 under 96.5% RH | 4.9 min, when RH changed from 0% to 90% | 2 min, when RH changed from 90% to 0% | This work |
Publisher’s Note: MDPI stays neutral with regard to jurisdictional claims in published maps and institutional affiliations. |
© 2022 by the authors. Licensee MDPI, Basel, Switzerland. This article is an open access article distributed under the terms and conditions of the Creative Commons Attribution (CC BY) license (https://creativecommons.org/licenses/by/4.0/).
Share and Cite
Afify, A.S.; Dadkhah, M.; Tulliani, J.-M. Sol–Gel Synthesis of Iron-Doped Sepiolite as a Novel Humidity-Sensing Material. Ceramics 2022, 5, 575-592. https://doi.org/10.3390/ceramics5030043
Afify AS, Dadkhah M, Tulliani J-M. Sol–Gel Synthesis of Iron-Doped Sepiolite as a Novel Humidity-Sensing Material. Ceramics. 2022; 5(3):575-592. https://doi.org/10.3390/ceramics5030043
Chicago/Turabian StyleAfify, Ahmed Sabry, Mehran Dadkhah, and Jean-Marc Tulliani. 2022. "Sol–Gel Synthesis of Iron-Doped Sepiolite as a Novel Humidity-Sensing Material" Ceramics 5, no. 3: 575-592. https://doi.org/10.3390/ceramics5030043
APA StyleAfify, A. S., Dadkhah, M., & Tulliani, J.-M. (2022). Sol–Gel Synthesis of Iron-Doped Sepiolite as a Novel Humidity-Sensing Material. Ceramics, 5(3), 575-592. https://doi.org/10.3390/ceramics5030043

