Abstract
The Yucatán Peninsula, a key region of the ancient Maya civilization, has long presented challenges in establishing absolute chronological frameworks for its cultural practices. While the central regions of Mesoamerica have been extensively studied, the southern areas, including the Yucatán, remain underexplored. Limekilns, integral to lime production in pre-Hispanic Maya society, are well suited for archaeomagnetic studies due to the high temperatures (>700 °C) required for their operation. This study analyzed 108 specimens from 12 limekilns near Mérida, Yucatán, using rock-magnetic experiments and progressive alternating field demagnetization to refine the absolute chronology and determine the continuity of the lime production technology. Thermoremanent magnetization was predominantly carried by magnetite-like phases. Archaeomagnetic directions were successfully obtained for ten kilns with robust precision parameters. Age intervals were calculated using global geomagnetic models (SHA.DIF.14K, SHAWQ.2K), local paleosecular variation curves, and a Bootstrap resampling method. The analysis identified apparently two distinct chronological clusters: one between 900 and 1000 AD, associated with the Late–Terminal Classic period, and another near 1500 AD, just prior to the Spanish conquest. These findings reveal an apparent 500-year hiatus in lime production, followed by the potential reuse of kilns. Our study refines the chronological framework for Mayan lime production and its cultural and technological evolution. The integration of archaeomagnetic methods demonstrates their far-reaching applicability in addressing questions of continuity, reuse, and technological adaptation, contributing to broader debates on ancient pyrotechnological practices and their socioeconomic implications.
1. Introduction
Mesoamerica, a region encompassing central and southern Mexico, Guatemala, Belize, El Salvador, and western Honduras, was home to advanced civilizations that thrived between 2000 BC and 1500 AD. The cultural timeline of Mesoamerica is traditionally divided into three major periods: The Preclassic (2000 BC–300 AD), the Classic (300–900 AD), and the Postclassic, which concludes around 1500 AD [1]. Despite the profound cultural and historical significance of this region, absolute chronological frameworks remain less defined compared with other ancient civilizations, such as those in Europe or Mesopotamia. Furthermore, while the central part of Mesoamerica—particularly the area surrounding Great Teotihuacan—has been extensively studied, the southern regions have received comparatively less scholarly attention.
Limekilns in the Maya Region represent a unique intersection of cultural, technological, and environmental practices, making them particularly well suited for archaeomagnetic studies. Lime production, requiring temperatures exceeding 700 °C, offers an opportunity to reconstruct precise chronological frameworks through the analysis of thermoremanent magnetization. Over the past 15 years, archaeological rescue campaigns have uncovered numerous annular limekiln structures on the Yucatán Peninsula, enabling pioneering archaeomagnetic investigations led by our research group [2,3,4]. Our archaeomagnetic advancement was built on the first archaeomagnetic dating study in the region, focused on the Hacienda San Pedro Cholul, and established its use between 1835 and 1896, consistent with the apogee of the hacienda and the broader henequen industry [5].
Subsequent studies expanded the scope to pre-Hispanic limekilns. Ortiz et al. [2] were the first to analyze limekilns in a pre-Hispanic context, aiming to date pyrotechnological features of karstic materials. They identified two distinct time intervals for the last use of the kilns: The Classic period (between 900 and 1000 AD) and the colonial era (around 1600 AD). Goguitchaichvili et al. [4] expanded on this research by analyzing eight limekilns located in the western part of the Yucatán Peninsula. Their findings indicated that five of the kilns were last used between 900 and 1050 AD, while three were used between 1460 and 1630 AD, suggesting that some kilns were either reused or repurposed during the colonial period. The proximity of these kilns to colonial towns supports the idea that the Spanish adapted pre-Hispanic lime production techniques for their own use. Subsequent studies by Pantoja et al. [6] and Ortiz et al. [7,8], based on a limited number of specimens, yielded results consistent with these findings.
In summary, previous studies reveal a notable gap of nearly five centuries in lime production activity. Our current study builds on these efforts, addressing a critical question of broad archaeological significance: why did lime production peak during the Classic period, cease for nearly 500 years, and then resume during the colonial era? To explore this question, we establish the absolute chronology by conducting archaeomagnetic dating on over 100 specimens from 12 pre-Hispanic limekilns near Mérida, Yucatán Peninsula. Comprehensive rock-magnetic experiments and step-wise demagnetization treatments yielded precise chronological intervals for the kilns’ last use.
Although the presence of pre-Hispanic limekilns in Mesoamerica was discovered a decade ago, during the archaeological rescue campaigns around the city of Mérida, Yucatán Peninsula [9], the absolute chronology of these combustion features within the Mayan area remains a topic of discussion. Recent studies place the technology and use of the kilns during the Mesoamerican Classic period, with several production subindustries identified along the Mayan territory [10]. These studies attempt to link the production of lime with climatic factors and the so-called Mayan collapse. The data indicate that the Maya had a productive technology based on the adequate use of the resources necessary to obtain lime, including the fuel characteristics and pyrotechnology.
On the other hand, in the absence of available radiocarbon data, the archaeomagnetic method emerges as a unique absolute dating technique. The calcination temperatures of lime production require temperatures between 700 °C and 800 °C for at least 48 h in order to obtain calcium oxide. This definitively guarantees the thermoremanent origin of the magnetization—a critical factor to retrieve the paleodirections of Earth’s magnetic field [4,7]. Previous surveys provided the first chronological features and possible evidence of the reuse of combustion structures during the colonial era. This suggests that pre-Hispanic lime production was recognized as a technology that did not require changes in the way the ovens were built, referring to an exclusively pre-Hispanic knowledge to produce the lime necessary for construction.
The results not only refine the chronology of limekiln usage but also provide new insights into the technological and cultural evolution of the Maya civilization. By addressing the apparent five-century gap and the subsequent transformation of lime production techniques, this study offers a framework for understanding the broader patterns of resource management, socioeconomic adaptation, and technological innovation in the Maya Region. These findings have far-reaching implications for archaeologists and scientists seeking to advance the application of archaeomagnetic methods in archaeological research worldwide. The present study analyzes the limekilns around the city of Mérida, (Yucatán) located in Xcanatun, Kikteil, the surroundings of Mérida, Chicxulub, and Kanasín (municipalities of Yucatán) (Figure 1). The main interest of carrying out archaeomagnetic dating is to trace the temporal evolution of lime production during the pre-Hispanic period linked to the population migrations and technological transformations.
Figure 1.
Location map of analyzed limekilns near the city of Mérida, Yucatán Peninsula. The map includes the geographical distribution of limekilns, categorized by site names and color-coded according to their respective archaeological context: Attarah, Kanassin, Parque Industrial, Chicxulub, Kikteil, San Francisco, and Vendamar.
2. Chronological Framework and Sampling Details
Immersed in the tropical forest, the pre-Hispanic Mayan society developed advanced pyrotechnology, constructing kilns and establishing a lime production industry that likely began during the Late Preclassic period [10]. The Northern Lowlands, the focus of our study (Figure 1), is located in the northern part of the state of Yucatán, within the region known as Northern Ichkaantijoo. This area has evidence of continuous occupation from the Middle Preclassic period (1000 BC) [11] to the colonial era. Chronology in the region is primarily based on ceramic typologies supplemented by limited radiocarbon dates. It is generally agreed that the area, with Dzibilchaltún as the primary site, reached its peak during the Late–Terminal Classic period (450–1050 AD) [3]. Lime production surveys in the Maya Region are extensive and encompass a wide range of topics, including the production process, the composition and degradation of plasters, the origins and technological styles of lime production, the presence of limekilns, and the environmental impact of these activities [9,12,13,14,15,16,17,18,19,20].
More specific investigations have focused on the analysis of lime mixtures. For instance, Thibodeau [19] analyzed samples from Xultun and San Bartolo in Guatemala, identifying calcination temperatures of approximately 800 °C achieved by artisans. Ortiz Ruiz [9] archaeometrically characterized limekilns in the western Mayan Lowlands, while Seligson [17] examined the economic and ecological implications of lime production through the study of limekilns at the Kiuic site in the Puuc region. Earlier studies, such as Hansen [14], explored technological styles in stucco production, differentiating between lime and sascab mixtures. Schreiner [16] investigated traditional lime production technology using experimental, archaeological, and ethnohistorical approaches in the Mayan area.
Previous research emphasizes that lime production in the Maya Region was based on regional industries. Socioeconomic and environmental factors—such as technological variations, production organization, material requirements, the natural environment, settlement patterns, and local economies—shaped this industry. The use of kilns reflects a large-scale regional network rather than a singular lime industry [10]. The distinction between lime production industries [10] and technological styles [14] suggests that pyrotechnological development in the Mayan area was a specialized activity supported by a network of apprentices and masters throughout the region. However, while the evidence of lime use is well documented, its dating remains insufficient to definitively establish the origins of this pyrotechnological development. In summary, it can be argued that the Mayan area represents the origin of lime production technology in Mesoamerica [12].
The earliest reports of limekilns in the Maya Region come from the archaeological site of Cauinal, where [21] identified two limekilns associated with small residential platforms in the site’s residential area. Abrams and Freter [22] documented a kiln at Copán (Site 7O, Mound 32), noting that sediments and materials within the structure indicated the calcination of limestone and wood. Their architectural description suggests that the kiln was a closed structure. At Sayil, Dunning [23] excavated an annular structure containing ash, burnt limestone, and sascab (a Yucatec Maya term referring to construction material). Although the features resemble what is now recognized as limekilns, Dunning [24] proposed that the structure was used for producing fertilizers to enrich cultivable soils in the Puuc region. In Cozumel, Freidel and Sabloff [25] reported a kiln likely used for lime production at the Aguada site, while Ettinger (1983, cited in [26]), documented another kiln at Pulltrouser Swamp.
More recently, Sierra Sosa and Martínez Lizárraga [27] reported six limekilns in the southern area of Yucatán. In southern Campeche, Šprajc et al. [28] documented limekilns with diameters of 3 to 4 m, showing evidence of calcination within their structures. In the Ichkaantijoo region, Ortiz Ruiz [3] identified four distinct types of kilns used for lime production. Among these, 2 kilns contained ceramic materials dated to the Middle–Late Preclassic period out of the 68 excavated so far. Archaeomagnetic analysis [7] further refined the chronology of lime production in the northern Mayan Lowlands, placing the use of this technology during the Late Classic period (ca. 600 AD).
In this study, the following limekilns were sampled in detail, with a typical example of such combustion structures illustrated in Figure 2.
Figure 2.
Typical structure of the studied limekilns, exemplified by Site Attarah, Structure E3. The limekiln features a circular, stone-lined combustion chamber with evidence of heat exposure on the interior walls. See the text for further details regarding the structural and functional characteristics of this site.
2.1. Limekiln Parque Industrial 1
This shallow, circular kiln (2.50 m in diameter and 20 cm deep) was sampled during the 2020 fieldwork campaign. Associated with a domestic area, it is located to the north of the complex, likely to separate the productive area from the main structures. Calcination evidence was observed in the bedrock and collapsed stones inside the kiln, with sediment showing color changes from dark brown to grayish [29].
2.2. Limekiln Parque Industrial 2 (Structure 83)
This circular kiln (2.4 m in diameter and 1.53 m deep) was sampled in 2021. Located in the western part of a domestic area, it is associated with a platform featuring stucco floors. Burned sedimentary rocks (dark brown to grayish) and small fragments of white concretions, possibly lime, were found inside [29].
2.3. Limekiln Chicxulub 45
This annular structure (5 m in external diameter and 1.75 m deep) was sampled in 2021. It has an irregular depth with a cavity in the bedrock (1 m deep). The greater quantity of dark and light brown sediment mixed with calcium carbonates suggests clay-rich material linked to ceramic rather than lime production. Located southeast of a domestic complex and within the arrangement of mounds, foundations, and small platforms, it was possibly part of a production area or workshop [30].
2.4. Limekiln Chicxulub 88a
This foundation-type limekiln measures 3.90 m by 3.10 m externally and 2.92 m by 2.23 m internally, with a depth of 0.65 m. Associated with two hydraulic structures (water wells), it features a horseshoe-shaped plan and a fire-ignition channel. The channel’s interior showed traces of fire exposure, suggesting its role in kiln operation [30].
2.5. Limekiln Attarah 3
This ring-shaped structure (7.30 m external diameter, 3.30 m internal diameter, and 2.65 m deep) was sampled in 2020. An internal wall of stones exhibited fire exposure, and stone slabs found inside may have been used as a bonfire base due to their central placement [31].
2.6. Limekiln Vendamar 26
Located on a rocky hill, this ring-shaped kiln (5 m external diameter, 2 m internal diameter, and 0.78 m deep) was delimited by coarse stone walls. Excavation revealed abundant charcoal in the form of branches on the bedrock, with a nearby stone table used for material preparation [32].
2.7. Limekiln Kikteil 28
This simple structure lacks a platform and features a combustion chamber enclosed by a rough stone wall (0.50–0.70 m high) with a 1.70 m diameter. Excavations revealed organic sediment and traces of calcination on the bedrock floor, including cracks and color changes [33]. Three layers were identified in the excavation. Layers I and II were formed by dark reddish-brown sediments with dark to black stains.
2.8. Limekiln Kikteil 32
This ring-shaped kiln shows extensive damage from stone removal. The underground combustion chamber (1.20 m diameter and 0.95 m deep) was built partly with bedrock walls and vertically arranged stones. The walls were completely calcined and cracked, with few lime concretions observed [33].
2.9. Limekiln Kikteil 10
Initially classified as a hydraulic structure, this kiln (1.70 m in diameter and 2.78 m deep) was later reclassified as a furnace during excavation. Semi-oval in shape, it contained ash, lime concretions, calcined stones, dark brown sediments, and a few pottery fragments [33].
The variety of structural designs, evidence of calcination, and association with domestic and productive areas underline the significance of these kilns in the socioeconomic landscape of the Maya civilization and provide crucial insights into the technological and spatial organization of lime production in the Maya Region.
3. Susceptibility vs. Temperature Continuous Measurements
Magnetic susceptibility as a function of temperature (continuous thermomagnetic curves) was measured using the AGICO MFK-1 instrument, with Curie temperatures estimated following the method described by Prevót et al. [34]. A total of 24 curves were analyzed, revealing 3 distinct types of magnetic mineralogical behavior (Figure 3):
Figure 3.
Representative continuous thermomagnetic (k-T) curves illustrating the variation in magnetic susceptibility as a function of temperature. The red curves represent susceptibility changes during heating, while the blue curves show changes during cooling. (A) Kiln H47-M1, where a clear Curie temperature is observed around 580 °C, indicating magnetite as the primary carrier. (B) Kiln PQ-1, with similar high-temperature behavior. (C) Kiln H32-2, with a more gradual susceptibility decay, suggesting complex mineralogical transformations. (D) SF-M2A, with significant differences between heating and cooling curves, indicating irreversible magneto-chemical changes.
Type A: In 20% of the samples, a low-temperature phase is observed around 260 °C, speculatively attributable to goethite. Subsequently, the primary magnetic phase becomes evident, reaching a Curie temperature near 580 °C, at which point more than 90% of the initial magnetic susceptibility disappears. This behavior suggests the presence of nearly pure magnetite or titanomagnetite with a very low titanium content as the dominant magnetic carrier.
Type B: This type, observed in 60% of the specimens, exhibits a single magnetic phase during heating, with a Curie temperature consistent with magnetite. However, during cooling, a significant increase in susceptibility is noted, exceeding 400% of the initial value. Two magnetic phases emerge: one consistent with nearly pure magnetite and a second phase around 340 °C. This behavior is highly irreversible and magnetically unstable.
Type C: In the remaining 20% of the specimens, the magnetic signal is very weak. While the presence of magnetic minerals (likely magnetite or titanium-poor titanomagnetite) could be confirmed, full identification was challenging due to the signal being near the instrument’s sensitivity limit. In a few cases, cooling reveals a notable increase in magnetic susceptibility, exceeding 100% in some specimens. This behavior suggests possible magneto-chemical transformations of the minerals during heating.
4. Alternating Field Demagnetization
Archaeomagnetic methodology is now rather standardized and is fully described in many previous papers [35,36,37], while a comprehensive review may be found in Carrancho et al. [38].
Progressive step-wise alternating field (AF) demagnetization was employed to extract primary characteristic magnetization components using an AGICO LDA-3 demagnetizer with a maximum peak alternating field of 100 mT. The results of these AF demagnetizations, summarized below and illustrated in Figure 4, highlight varying behaviors across different sites:
Figure 4.
Representative orthogonal diagrams of progressive demagnetization by alternating fields for selected limekilns. The diagrams display the stepwise reduction in the natural remanent magnetization (NRM) intensity as alternating field (AF) values are incrementally applied. Each diagram indicates the value of the applied AF (in millitesla, mT) at each stage of demagnetization. Panels (a–c) illustrate successful demagnetization with stable, linear decay trends converging toward the origin, allowing the determination of the primary magnetic directions (labeled as “Accepted”). Panels (d–f) depict unstable or chaotic behavior with no clear linear decay, resulting in the rejection of these specimens for directional analysis (“Rejected”).
Attarah E3: Sixteen specimens were demagnetized. An initial, minor viscous component was removed by applying fields of 5 mT. Subsequently, a linear unidirectional behavior toward the origin was observed, achieving demagnetization of over 80% of the total magnetization at 70 mT. Mean destructive fields (MDFs) ranged from 15 to 20 mT. Characteristic directional components (ChRMs) were calculated using 5–7 points via principal component analysis (PCA, see [39]), with the maximum angular deviation (MAD) values between 0.8° and 4.8°. Three specimens with inconsistent directions were excluded, resulting in a mean direction of Dec = 348.6°, Inc = 25.6°, α95 = 3.8° (n = 13 specimens).
Kikteil H10: All eight specimens exhibited chaotic, unstable behavior from the early stages, preventing the isolation of primary directional components.
Kikteil H28: Sixteen specimens cut from two hand samples displayed instability during early demagnetization stages, with over 50% of the magnetization lost at 5–15 mT. No linear trend to the origin was observed in the AF fields up to 70 mT, and directional components could not be determined.
Kanassin H47: From 24 specimens, a minor viscous component was eliminated at 5 mT. A linear univectorial behavior was achieved, with 90% demagnetization at 55–70 mT. The MDF values ranged from 15 to 30 mT. Characteristic directions were determined using at least eight steps (MAD: 0.4°–1.4°). Three specimens with deviated directions were excluded, yielding a mean direction of Dec = 352.6°, In. = 39.9°, α95 = 4.0° (n = 21 specimens).
Kanassin H77: From 24 specimens, a significant initial viscous component was removed at 5–15 mT. Linear behavior was achieved with 80% demagnetization at 50–60 mT. The MDF values ranged from 15 to 30 mT. Six to eight points (MAD: 0.7°–4.1°) were used for PCA analysis. Three specimens with inconsistent directions were excluded, yielding a mean archaeodirection of Dec = 345.2°, Inc = 19.5°, α95 = 4.2° (n = 21 specimens).
Chicxulub H88: In total, 16 specimens were demagnetized. Eight specimens from one hand sample exhibited chaotic behavior, while those from a second monolith sample showed stable linear trends after eliminating minor viscous components. The MDF was approximately 15 mT, and characteristic directions were calculated using at least four points (MAD: 0.3°–1.6°). The mean direction is Dec = 354.5°, Inc = 31.0°, α95 = 8.0° (n = 7 specimens).
Vendamar H26: Sixteen specimens from two hand samples exhibited multicomponent behavior after removing viscous components, with linear trends toward the origin of the diagram emerging above 30 mT. Demagnetization exceeded 90%, and MDF values ranged from 10 to 40 mT. Six specimens with abnormal directions were excluded, yielding mean archaeomagnetic directions of Dec = 350.9°, Inc = 50.6°, α95 = 8.1° (n = 10 specimens).
Kikteil H32: Of 16 specimens from 2 hand samples, most displayed linear univectorial behavior after removing minor viscous components at 5–10 mT. The MDF values ranged from 15 to 30 mT for nine specimens, while the other five specimens required fields of 55–90 mT. Specimens with MAD > 10° or insufficient data points (<4) were excluded. The mean direction is Dec = 356.0°, Inc = 39.4°, α95 = 6.5° (n = 9 specimens).
Chicxulub H45: From 16 specimens, 7 showed linear behavior with viscous components removed at 10 mT, and 90% of magnetization was removed when the demagnetization field reached 30 mT, with the MDF values between 15 and 20 mT (MAD: 0.4°–4.8°). Mean directions are Dec = 332.8°, Inc = 43.7°, α95 = 9.0° (n = 9 specimens).
PQ1: Eight specimens from a large monolith of the burnt floor showed univectorial behavior after removing viscous components at the fields of 3–10 mT. The MDF values were around 10 mT, with 80% demagnetization at 15 mT. A single specimen with an MAD value of 10° was excluded, yielding a mean direction of Dec = 340.8°, Inc = 51.6°, α95 = 6.5° (n = 7 specimens).
PQ2: Eight specimens exhibited significant initial viscous components (30–40% of total magnetization) removed at 5–10 mT. A unidirectional component was observed with 90% demagnetization between 15 and 20 mT (MDF: 8–10 mT, MAD: 2.7°–5.8°). Two specimens were excluded, resulting in a mean direction of Dec = 354.9°, Inc = 39.2°, α95 = 6.9° (n = 5 specimens).
San Francisco: From 24 specimens from the kiln, a minor viscous component was eliminated at 5–10 mT. A univectorial trend was achieved using at least four data points, with 80% demagnetization at 55–70 mT (MDF: 15–30 mT and MAD: 0.9–6.7°). Three specimens were excluded due to incoherent clustering, yielding mean directions of Dec = 350.7°, Inc = 18.5°, α95 = 3.3° (n = 20 specimens).
These results highlight the variability in magnetic stability and directional coherence across the studied kilns, reflecting differences in material properties and preservation conditions. The identified mean directions provide a satisfactory amount of archaeomagnetic data for refining the chronology of lime production in the Maya Region.
5. Discussion
This study successfully obtained mean archaeomagnetic directions for ten out of twelve kilns/sites, supported by at least five individual determinations per site, with α95 confidence angles ranging from 3.3° to 9.0°. No reliable data could be determined for Kikteil H10 and H28 due to unstable behavior during the magnetic treatments. A summary of the mean directions and their associated precision parameters is provided in Table 1 and illustrated in Figure 5.
Table 1.
Mean archaeodirections for each limekiln. Dec and Inc are the values of magnetic declination and inclination, respectively; n is the number of individual specimens used for the calculation of the average; N is the total number of specimens treated; k, R, and α95 are the precision/scatter parameters of the Fisher statistics.
Figure 5.
Equal-area projection diagrams illustrating the mean archaeomagnetic directions obtained for each limekiln, calculated using Fisher’s [40] statistics. Each plot represents the directional data from individual specimens (black dots), the calculated mean direction (red dot), and the confidence circle corresponding to the α95 parameter.
Archaeomagnetic age intervals were estimated using both global geomagnetic models and available local reference paleosecular variation (PSV) curves (Table 2, Figure 6). The models applied included the SHA.DIF.14K model by Pavón-Carrasco et al. [41], covering the last 14,000 years, and the SHAWQ.2K model by Campuzano et al. [42], which spans the last 2000 years. Additionally, the local PSV curves of Mahgoub et al. [43] and García-Ruiz et al. [44] were incorporated. Due to unstable thermomagnetic behavior observed in the specimens, absolute intensity experiments were not performed; consequently, dating relied solely on magnetic declination and inclination. Archaeomagnetic intervals predating 600 AD were deemed archaeologically improbable and excluded from the analysis.
Table 2.
Archaeomagnetic dating results for each limekiln obtained according to the global geomagnetic models and local paleosecular variation curves (please see text for more details).

Figure 6.
Archaeomagnetic dating procedure for the E3 Attarah limekiln conducted using the MATLAB tool developed by Pavón-Carrasco et al. [41,45]. The dating was achieved through comparisons of observed magnetic declination and inclination with reference models and paleosecular variation (PSV) curves. (a) Results based on the SHA.DIF.14K geomagnetic model [41]. (b) Results derived from the SHAWQ.2K model [42]. (c) Results using the PSV curve proposed by Mahgoub et al. [43], tailored for Mexico. (d) Results based on the local PSV curve developed by García-Ruiz et al. [44], specific to the region.
Archaeomagnetic dating was conducted using the MATLAB-based tool ‘archaeo_dating’ developed by Pavón-Carrasco et al. [45]. The results are summarized in Table 2 and visualized in Figure 6. To refine the dating further, the Bootstrap resampling method [46] was employed to determine the optimal age ranges with statistical confidence for each kiln (Table 3, Figure 7). It should be emphasized that this procedure does not replace the archaeomagnetic dating, but rather, estimates the most probable statistical (Bootstrap) age. Similar methodologies have been successfully applied in previous studies (e.g., [47]). The most probable ages at 95% confidence intervals and their uncertainties were calculated from the resulting probability distributions (Table 3, Figure 8 and Figure 9).
Table 3.
Most probable (representative) age intervals calculated using the Bootstrap resampling method.
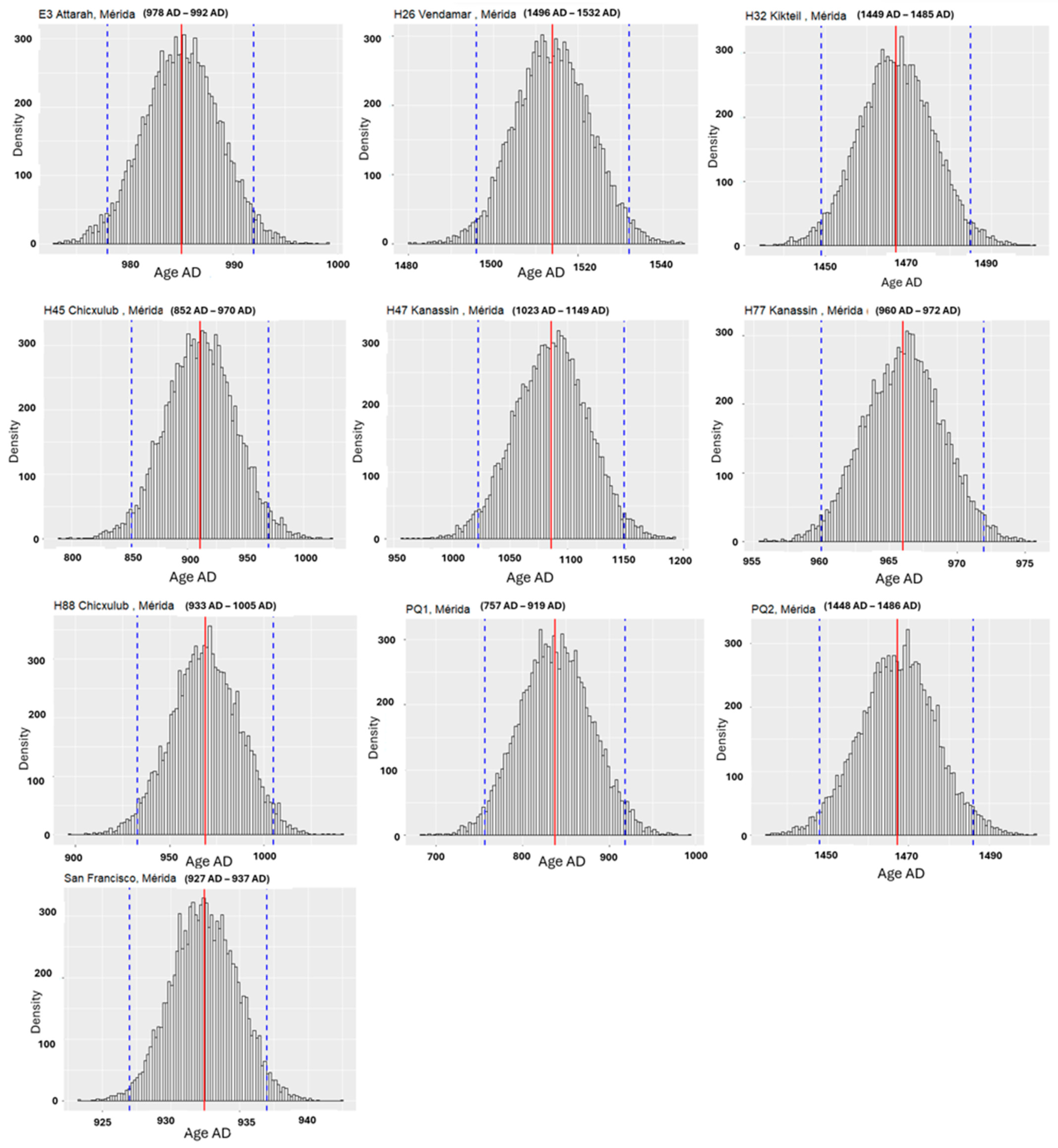
Figure 7.
Histograms representing the optimal statistically derived age intervals for the studied limekilns using the Bootstrap resampling method. Each plot corresponds to a specific limekiln, with the red vertical line indicating the mean age derived from the archaeomagnetic data. The blue dashed lines denote the 95% confidence intervals.
Figure 8.
Most probable ages of limekilns calculated using the Bootstrap method. The boxplot represents the estimated age intervals for each limekiln, with the central line indicating the median age and the box boundaries denoting the interquartile range. The whiskers represent the full range of plausible ages based on the archaeomagnetic data. Limekilns are labeled by their site names on the y-axis, and their corresponding most probable ages are displayed on the x-axis in AD.
Figure 9.
Spatial distribution of obtained age intervals for each limekiln in the Mérida region of the Yucatán Peninsula. Each limekiln is represented by a unique marker indicating its location and associated archaeomagnetic age interval with uncertainties.
The diversity of constructive techniques and the pyrotechnological use of kilns in the Mayan area highlight the extensive construction industries that once flourished in the region. Seligson et al. [10] suggested the existence of at least two distinct lime production industries, differentiated by the distribution and types of kilns used to burn limestone. However, the precise temporality of the kiln usage remained unclear, with most kilns tentatively dated to the Late–Terminal Classic period. Goguitchaichvili et al. [4] re-evaluated the available archaeomagnetic data, refining the temporal framework and identifying two distinct patterns of kiln construction and usage. For earlier periods, kilns were typically built within foundations that supported rooms, while in later periods, limekilns were constructed in isolated locations, both developments dating to the Postclassic period.
Ortiz Ruiz et al. [7,8] reported new archaeomagnetic dates from the Northern Plains, suggesting the reuse of kilns throughout the late periods. Some dates corresponded to the historical period, potentially linked to the rise of henequen haciendas in the Yucatán. The data revealed a late cluster of kiln use in the Chicxulub area, likely associated with the development of Spanish enclaves during the conquest, the formation of Indian villages, and the establishment of haciendas.
The new archaeomagnetic data from this study provide valuable insights into the relationships between lime production industries and the economic and political shifts in the region. The presence of kilns dated to the Postclassic period has now been documented not only in the Chicxulub area but also in the Kikteil region to the west and near the Xiol archaeological site to the south. Notably, one late limekiln is linked to the historic coastal town located between the defensive walls of Chuburná and Chicxulub, commonly referred to as “the trenches”. These defensive structures, built during the colonial period as part of Mérida’s military architecture, are dated to 1722, as recorded in a plan from Governor Don Antonio de Cortaire’s visit [48].
A key finding of this study is the identification of two clearly defined clusters of archaeomagnetic age intervals. As illustrated in Figure 8 and Figure 9, the age distribution is concentrated around 900–1000 AD and approximately 1500 AD, just before the Spanish conquest, representing a pre-Hispanic/colonial contact period (poorly defined ages from limekilns PQ1 and H47, due to their large α95 confidence angles, were excluded from this analysis). Two possible interpretations arise from this bimodal distribution. First, the age intervals may indicate continuous lime production over at least six centuries. Alternatively, some limekilns may have been reused after a hiatus of nearly 500 years. The reasons for this substantial gap in activity remain unknown but warrant further investigation to understand the socioeconomic and environmental factors contributing to this phenomenon.
The results reveal a dynamic interplay between technological practices and socioeconomic transitions. For earlier periods, kilns were integrated into architectural foundations, while in later periods, they were constructed in isolated locations, reflecting shifts in production strategies. The data also suggest that limekilns were reused during the colonial era, possibly to support the rise of henequen haciendas and the formation of Spanish enclaves. These findings demonstrate the potential of archaeomagnetic methods to illuminate patterns of resource management and socioeconomic adaptation over centuries.
6. Conclusions
This study provides archaeomagnetic age estimates for pre-Hispanic and colonial-era limekilns in the Maya Region, significantly refining the chronological framework for lime production. By identifying two distinct clusters of age intervals—900–1000 AD and approximately 1500 AD—the research highlights the continuity and potential reuse of lime production technologies over six centuries, separated by a hiatus of nearly 500 years. The findings link the lime production to key socioeconomic and political transitions in the Maya Region, including the integration of pre-Hispanic technologies into Spanish colonial practices. The spatial distribution of the kilns, extending beyond the Chicxulub area to Kikteil and Xiol, further emphasizes the regional scale of lime production and its role in shaping settlement patterns and infrastructure.
The study demonstrates far-reaching applicability by advancing the use of archaeomagnetic dating in reconstructing the chronology of pyrotechnological features. By integrating global geomagnetic models, local PSV curves, and innovative statistical techniques, this research contributes to broader discussions on the technological evolution and cultural resilience of ancient societies. Future investigations exploring complementary dating techniques and social and environmental factors could further enrich our understanding of this critical aspect of Maya civilization.
In summary, the absolute chronology associated with the lime production in the Mayan area evidenced at least two periods of use during the Mesoamerican Late Classic and the late Postclassic. The early use of kilns remains a challenge for Mayan archaeology because the reliable reports of the use of limekilns or pyres in lime production are scarce, given their ephemeral nature. Archaeomagnetic techniques date the last use of kilns, which may indicate that they were reused during the early colonial period in accordance with the population changes and migration patterns detected at the end of the Postclassic period and the beginning of the colonial era. The new chronological dates reported in this study allow us to reconstruct the lime production industries in the north of the Mayan area and to trace the socioeconomic context. More recently, Ortiz Ruiz et al. [7,8] successfully dated different moments of use of a limekiln and reconstruct its history through the archaeomagnetic method. The results obtained not only allow researchers to define the pattern of use of the kilns, but also to pyrotechnologically trace the advances that the Maya achieved in the production of lime, managing efficient calcination with less loss of raw material compared with pyres. The implications of the absolute dating offered by archaeomagnetism permit a reanalysis of the consequences of lime manufacturing and the Mayan collapse. In addition to the possibility of understanding the Mayan collapse based on multiple factors, the study of the kilns also helps to understand the dynamics that the Maya established with their environment and how they materialized the efficient and dynamic production during the late Classic, Postclassic, and early colonial periods in a changing world.
Author Contributions
Methodology, A.G. and J.M.L.; software, R.G.-R.; validation, R.C., M.C., O.d.L. and F.B.; formal analysis, S.O. and J.M.; investigation, O.d.L. and V.A.K.; data curation, Á.G.S., I.A.A., W.C.A. and C.P.L.; writing—original draft preparation, A.G., S.O. and J.M.L. All authors have read and agreed to the published version of the manuscript.
Funding
The authors acknowledge the support given by grant UNAM-DGAPA-PAPIIT IN100224. V.A.K. acknowledges the Natural Sciences and Engineering Research Council of Canada (NSERC grant RGPIN-2024-05918). Fieldwork was partially supported by the grants CONAHCYT CF 2019 No. 731762 and PAPIIT IG100424.
Data Availability Statement
Data will be available upon reasonable request.
Conflicts of Interest
The authors declare no conflict of interest.
References
- Soler-Arechalde, A.M. Investigaciones Arqueomagnéticas en México: Fundamentos, Historia y Futuro; Instituto de Geofísica: Mexico City, Mexico, 2006; 88p. [Google Scholar]
- Ortiz-Ruiz, S.; Goguitchaichvili, A.; Morales, J. Sobre la edad de los hornos de cal en el área maya. Arqueol. Iberoam. 2015, 28, 9–15. [Google Scholar]
- Ortiz-Ruiz, S. El Conocimiento Pirotecnológico de la Sociedad Maya Prehispánica: Estudio de los Hornos para cal en las Tierras Bajas Mayas del Norte. Ph.D. Thesis, Universidad Nacional Autónoma de México, Ciudad de Mexico, Mexico, 2019; 212p. [Google Scholar]
- Goguitchaichvili, A.; Ortiz-Ruiz, S.; Morales, J.; Kravchinsky, V.A.; de Lucio, O.; Cejudo, R.; Pingarrón, L.B. Pyrotechnological Knowledge in the Pre-Hispanic Maya Society: Magnetic and Infrared Spectrometry Surveys of Limekilns in the Western Yucatán Peninsula (Mexico). J. Archaeol. Sci. Rep. 2020, 33, 102457. [Google Scholar] [CrossRef]
- Hernandez-Alvarez, H.; Ortiz-Ruiz, S.; Goguitchaichvili, A.; Morales, J.; Cervantes-Solano, M. Intervención arqueomagnética del horno de la hacienda San Pedro Cholul (Mérida, Yucatán). Arqueol. Iberoam. 2017, 36, 3–9. [Google Scholar]
- Pantoja, L.; Cejudo, R.; Goguitchaichvili, A.; Morales, J.; Ortiz, S.; Cervantes, M.; Bautista, F.; García, R. La memoria del fuego en el Yucatán prehispánico: Intervención arqueomagnética de un horno para la producción de cal (Sitpach, Mérida). Arqueol. Iberoam. 2020, 45, 22–28. [Google Scholar]
- Ortiz-Ruiz, S.; de Lucio, O.G.; Goguitchaichvili, A.; Morales, J.; Paz-Rivera, D.; Salas-Gongora, A.; Cervantes, M.; Cejudo, R.; Bautista, F.; Barba-Pingarrón, L. Tamanché (Yucatán) a través del análisis arqueométrico de sus hornos de cal. Arqueol. Iberoam. 2021, 47, 53–62. [Google Scholar]
- Ortiz, S.; Goguitchaichvili, A.; Kravchinsky, V.; Cejudo, R.; de Lucio, O.G.; Bautista, F.; Villa, A.; Gongora, A.; Morales, J.; Barba-Pingarrón, L. Mayan limekilns as geomagnetic field recorders. J. S. Am. Earth Sci. 2021, 109, 103284. [Google Scholar] [CrossRef]
- Ortiz-Ruiz, S. Caracterización de las Estructuras Anulares de la Región Occidente de las Tierras Bajas Mayas. Master’s Thesis, El Colegio de Michoacán A.C., La Piedad, Michoacán, Mexico, 2014; 139p. [Google Scholar]
- Seligson, K.; Ortiz-Ruíz, S.; Barba-Pingarrón, L. Prehispanic Maya Burnt Lime Production: Previous Studies and Future Directions. Anc. Mesoam. 2019, 30, 199–219. [Google Scholar] [CrossRef]
- Andrews, E.W.; Bey, G.J. Pre-Mamom Pottery Variation and the Preclassic Origins of the Lowland Maya; University Press of Colorado: Boulder, CO, USA, 2023; pp. 369–407. [Google Scholar]
- Barba-Pingarrón, L. El Uso de la Cal en el Mundo Prehispánico Mesoamericano. In La Cal. Historia, Propiedades y Usos; Universidad Nacional Autónoma de México, Instituto de Investigaciones Antropológicas, Asociación Nacional de Fabricantes de Cal A.C.: Mexico City, Mexico, 2013; pp. 21–47. [Google Scholar]
- Guillot, C. The Use of Pozzolanic Materials in Maya Mortars: New Evidence from Río Bec (Campeche, Mexico). J. Archaeol. Sci. 2014, 47, 1–9. [Google Scholar] [CrossRef]
- Hansen, E.F. Ancient Maya Burnt-Lime Technology: Cultural Implications of Technological Styles. Ph.D. Thesis, University of California, Los Angeles, CA, USA, 2000; 436p. [Google Scholar]
- Russell, B.W.; Dahlin, B.H. Traditional Burnt-Lime Production at Mayapán. J. Field Archaeol. 2007, 32, 407–423. [Google Scholar]
- Schreiner, T. Traditional Maya Lime Production: Environmental and Cultural Implications of a Native American Technology. Ph.D. Thesis, Department of Architecture, University of California, Berkeley, CA, USA, 2002; 254p. [Google Scholar]
- Seligson, K. The Prehispanic Maya Burnt Lime Industry: Socio-Economy and Environmental Resource Management in the Late and Terminal Classic Period Northern Maya Lowlands (650–950 CE). Ph.D. Thesis, Department of Anthropology, University of Wisconsin, Madison, WI, USA, 2016; 518p. [Google Scholar]
- Seligson, K. The Maya and Climate Change: Human-Environmental Relationships in the Classic Period Lowlands; Oxford University Press: Oxford, UK, 2023; 304p. [Google Scholar]
- Thibodeau, M. Maya Pyrotechnology and Plaster: Integrating Micromorphology and Fourier-Transform Infrared Spectroscopy (FTIR) at San Bartolo and Xultun, Guatemala. Master’s Thesis, Department of Archaeology: Boston University, Boston, MA, USA, 2013. [Google Scholar]
- Villaseñor, I. Building Materials of the Ancient Maya: A Study of Archaeological Plasters; Lambert Academic Publishing: Saarbrücken, Germany, 2010; 286p. [Google Scholar]
- Fauvet-Berthelot, M.F. Ethnopréhistoire de la Maison Maya (Guatemala 1250-1525); Centre d’Études Mexicaines et Centre-Américaines (CEMCA): Ciudad de Mexico, Mexico, 1986; 300p. [Google Scholar]
- Abrams, E.; Freter, A.C. A Late Classic Lime Plaster Kiln from the Maya Centre of Copán. Antiquity 1996, 70, 422–428. [Google Scholar] [CrossRef]
- Dunning, N.P. Lords of the Hills: Ancient Maya Settlement in the Puuc Region, Yucatán, México; Monographs in World Archaeology; Prehistory Press: Madison, WI, USA, 1992; 303p. [Google Scholar]
- Dunning, N.P. Soils and Settlement in the Chichén Itzá Region, Yucatán. In Proceedings of the 47th International Congress of Americanists, New Orleans, LA, USA, 7–11 July 1991. [Google Scholar]
- Freidel, D.; Sabloff, J. Cozumel: Late Maya Settlement Patterns; Academic Press: Orlando, FL, USA, 1984; 208p. [Google Scholar]
- Villaseñor, I.; Barba, L. Los orígenes tecnológicos de la cal. Cuicuilco 2012, 19, 11–41. [Google Scholar]
- Sosa, S.; Martínez-Lizarraga, A.N. La utilidad de los hornos en los sitios prehispánicos de la zona sur del estado de Yucatán. In Proceedings of the the IX Congreso Internacional de Mayistas: Los Mayas en el Contexto de las Culturas Mesoamericanas, San Francisco de Campeche, Campeche, Mexico, 18 June 2013. [Google Scholar]
- Šprajc, I. Paisaje Arqueológico y Dinámica Cultural en el Área de Chactún, Campeche (2016–2018): Informe de la Temporada 2017; Centro de Investigaciones de la Academia Eslovena de Ciencias y Artes: Ljubljana, Slovenia, 2017; 108p. [Google Scholar]
- Góngora-Salas, Á.; Cepeda, M.J.; Gamboa, J.A.; Góngora-Ojeda, A.J. Salvamento Arqueológico Parque Industrial 2020–2021, Informe al Consejo de Arqueología; Centro INAH: Yucatán, Mexico, 2021.
- Ancona-Aragón, I.; Góngora-Salas, A.; Góngora-Aguilar, C.M.; Cepeda, M.J.; Góngora-Ojeda, A.J. Salvamento Arqueológico Chicxulub Tablajes 6226-6227, Informe al Consejo de Arqueología; Centro INAH: Yucatán, Mexico, 2022.
- Góngora-Salas, A.; Ortiz, S. Salvamento Arqueológico Attarah 2021, Informe al Consejo de Arqueología; Centro INAH: Yucatán, Mexico, 2022.
- Góngora-Salas, A.; Ortiz, S.; Bolio-Zapata, C.E.; Góngora-Ojeda, A.J. Rescate Arqueológico Chicxulub Vendamar 2022, Informe al Consejo de Arqueología; Centro INAH: Yucatán, Mexico, 2022.
- Góngora-Salas, A.; Bolio-Zapata, C.E.; Paz-Rivera, D.M.; Zaldivar-Rae, E.M. Salvamento Arqueológico Hacienda Kikteil 2021, Informe al Consejo de Arqueología; Centro INAH: Yucatán, Mexico, 2022.
- Prévot, M.; Mankinen, E.A.; Grommé, S.; Lecaille, A. High paleointensities of the geomagnetic field from thermomagnetic studies on rift valley pillow basalts from the Mid-Atlantic Ridge. J. Geophys. Res. Solid Earth 1983, 88, 2316–2326. [Google Scholar] [CrossRef]
- Sanjurjo-Sánchez, J. An Overview of the Use of Absolute Dating Techniques in Ancient Construction Materials. Geosciences 2016, 6, 22. [Google Scholar] [CrossRef]
- Principe, C.; Goguitchaichvili, A.; Devidze, M.; La Felice, S.; Cejudo, R.; Morales, J.; Cantini, F. Archaeomagnetic Dating of Three Furnaces inside the Middle Age Settlement of San Genesio (San Miniato, Pisa, Italy). Land 2022, 11, 1936. [Google Scholar] [CrossRef]
- Poojary, S.; Robinson, F.; Turner, G. Using Palaeomagnetic Techniques to Date Indigenous Archaeological Sites in New Zealand. Heritage 2023, 6, 6596–6615. [Google Scholar] [CrossRef]
- Carrancho, A.; Gogichaishvili, A.; Kapper, L.; Morales, J.; AM Soler-Arechalde, A.; Tema, E. Geomagnetic applications in archeology: State of the art and recent advances. In New Developments in Paleomagnetism Research; Nova Science Publisher: Hauppauge, NY, USA, 2015; pp. 53–98. ISBN 978-163483156-7. [Google Scholar]
- Kirschvink, J.L. The least-squares line and plane and the analysis of palaeomagnetic data. Geophys. J. R. Astron. Soc. 1980, 62, 699–718. [Google Scholar] [CrossRef]
- Fisher, R.A. Dispersion on a sphere. Proc. R. Soc. Lond. Ser. A 1953, 217, 295–305. [Google Scholar]
- Pavón-Carrasco, F.; Rodríguez-González, J.; Osete, M.L.; Miquel-Torta, J.; de Santis, A. A geomagnetic field model for the Holocene based on archaeomagnetic and lava flow data. Earth Planet. Sci. Lett. 2014, 388, 98–109. [Google Scholar] [CrossRef]
- Campuzano, S.A.; Gómez-Paccard, M.; Pavón-Carrasco, F.J.; Osete, M.L. Emergence and Evolution of the South Atlantic Anomaly Revealed by the New Paleomagnetic Reconstruction SHAWQ2K. Earth Planet. Sci. Lett. 2019, 512, 17–26. [Google Scholar]
- Mahgoub, A.N.; Juárez-Arriaga, E.; Böhnel, H.; Manzanilla, L.R.; Cyphers, A. Refined 3600 Years Palaeointensity Curve for Mexico. Phys. Earth Planet. Inter. 2019, 296, 106328. [Google Scholar] [CrossRef]
- García-Ruiz, R.; Goguitchaichvili, A.; Pavón-Carrasco, F.J.; Soler, A.M.; Pérez-Rodríguez, N.; Osete, M.L.; Morales, J.; Kravchinsky, V. Fluctuations of Magnetic Inclination and Declination in Mexico during the Last Three Millennia. Quat. Geochronol. 2022, 71, 101309. [Google Scholar] [CrossRef]
- Pavón-Carrasco, F.; Rodríguez-González, J.; Osete, M.L.; Miquel-Torta, J. A Matlab tool for archaeomagnetic dating. J. Archaeol. Sci. 2011, 38, 408–419. [Google Scholar] [CrossRef]
- Efron, B. Computers and the Theory of Statistics: Thinking the Unthinkable. SIAM Rev. 1979, 21, 460–480. [Google Scholar] [CrossRef]
- García-Pimentel, A.; Goguitchaichvili, A.; Torreblanca, C.; Kravchinsky, V.; Cervantes, M.; García, R.; Cejudo, R.; Bautista, F.; Morales, J. Depopulation of the Northern Border of Mesoamerica during the Early Postclassic: Evidence from the Reappraisal of Archaeomagnetic Data. Land 2022, 11, 2103. [Google Scholar] [CrossRef]
- Barrera, A.; Leyba, M. Las Trincheras: Un Sistema Colonial de Defensa de la Costa Norte de Yucatán. Cuad. Arquit. Virreinal 1993, 14, 44–56. [Google Scholar]
Disclaimer/Publisher’s Note: The statements, opinions and data contained in all publications are solely those of the individual author(s) and contributor(s) and not of MDPI and/or the editor(s). MDPI and/or the editor(s) disclaim responsibility for any injury to people or property resulting from any ideas, methods, instructions or products referred to in the content. |
© 2025 by the authors. Licensee MDPI, Basel, Switzerland. This article is an open access article distributed under the terms and conditions of the Creative Commons Attribution (CC BY) license (https://creativecommons.org/licenses/by/4.0/).









