Breathing Pattern Response after 6 Weeks of Inspiratory Muscle Training during Exercise
Abstract
Highlights
- Inspiratory muscle training (IMT) improves the strength and performance of respiratory muscles.
- Improvements in respiratory performance do not have a relationship with modifications in the breathing pattern.
- IMT can be an effective intervention for enhancing the respiratory response.
- IMT does not alter the central response to respiratory control in healthy subjects.
Abstract
1. Introduction
2. Materials and Methods
2.1. Subjects
2.2. Design
2.3. Testing
2.4. Statistical Analysis
3. Results
4. Discussion
5. Conclusions
Funding
Institutional Review Board Statement
Informed Consent Statement
Data Availability Statement
Acknowledgments
Conflicts of Interest
References
- Brown, S.J.; Raman, A.; Schlader, Z.; Stannard, S.R. Ventilatory efficiency in juvenile elite cyclists. J. Sci. Med. Sport 2013, 16, 266–270. [Google Scholar] [CrossRef] [PubMed]
- Milic-Emili, G.; Cajani, F. Frequency of breathing as a function of respiratory ventilation during rest. Boll. Soc. Ital. Biol. Sper. 1957, 33, 821–825. [Google Scholar] [PubMed]
- Milic-Emili, J.; Grunstein, M.M. Drive and Timing Components of Ventilation. Chest 1976, 70, 131–133. [Google Scholar] [CrossRef]
- Milic-Emili, J. Recent advances in clinical assessment of control of breathing. Lung 1982, 160, 1–17. [Google Scholar] [CrossRef]
- Lucía, A.; Carvajal, A.; Calderón, F.J.; Alfonso, A.; Chicharro, J.L. Breathing pattern in highly competitive cyclists during incremental exercise. Eur. J. Appl. Physiol. Occup. Physiol. 1999, 79, 512–521. [Google Scholar] [CrossRef]
- Lucía, A.; Hoyos, J.; Pardo, J.; Chicharro, J.L. Effects of Endurance Training on the Breathing Pattern of Professional Cyclists. Jpn. J. Physiol. 2001, 51, 133–141. [Google Scholar] [CrossRef]
- Salazar-Martínez, E.; Terrados, N.; Burtscher, M.; Santalla, A.; Orellana, J.N. Ventilatory efficiency and breathing pattern in world-class cyclists: A three-year observational study. Respir. Physiol. Neurobiol. 2016, 229, 17–23. [Google Scholar] [CrossRef] [PubMed]
- Alvero-Cruz, J.R.; Ronconi, M.; Romero, J.G.; Orellana, J.N. Effects of detraining on breathing pattern and ventilatory efficiency in young soccer players. J. Sports Med. Phys. Fitness 2019, 59, 71–75. [Google Scholar] [CrossRef]
- Naranjo, J.; Centeno, R.A.; Galiano, D.; Beaus, M. A nomogram for assessment of breathing patterns during treadmill exercise. Br. J. Sports Med. 2005, 39, 80–83. [Google Scholar] [CrossRef]
- European Respiratory Society; American Thoracic Society. ATS/ERS Statement on Respiratory Muscle Testing. Am. J. Respir. Crit. Care Med. 2002, 166, 518. [Google Scholar] [CrossRef]
- Klusiewicz, A.; Starczewski, M.; Sadowska, D.; Ładyga, M. Effect of high- and low-resistance inspiratory muscle training on physiological response to exercise in cross-country skiers. J. Sports Med. Phys. Fitness 2019, 59, 1156–1161. [Google Scholar] [CrossRef]
- Downey, A.E.; Chenoweth, L.M.; Townsend, D.K.; Ranum, J.D.; Ferguson, C.S.; Harms, C.A. Effects of inspiratory muscle training on exercise responses in normoxia and hypoxia. Respir. Physiol. Neurobiol. 2007, 156, 137–146. [Google Scholar] [CrossRef]
- Harms, C.A.; Babcock, M.A.; McClaran, S.R.; Pegelow, D.F.; Nickele, G.A.; Nelson, W.B.; Dempsey, J.A. Respiratory muscle work compromises leg blood flow during maximal exercise. J. Appl. Physiol. 1997, 82, 1573–1583. [Google Scholar] [CrossRef] [PubMed]
- Lima, E.V.; Lima, W.L.; Nobre, A.; dos Santos, A.M.; Brito, L.M.; Costa, M.R. Inspiratory muscle training and respiratory exercises in children with asthma. J. Bras. Pneumol. 2008, 34, 552–558. [Google Scholar] [CrossRef] [PubMed]
- Illi, S.K.; Held, U.; Frank, I.; Spengler, C.M. Effect of Respiratory Muscle Training on Exercise Performance in Healthy Individuals: A Systematic Review and Meta-Analysis. Sports Med. 2012, 42, 707–724. [Google Scholar] [CrossRef]
- Fernández-Lázaro, D.; Gallego-Gallego, D.; Corchete, L.; Zoppino, D.F.; González-Bernal, J.; Gómez, B.G.; Mielgo-Ayuso, J. Inspiratory Muscle Training Program Using the PowerBreath®: Does It Have Ergogenic Potential for Respiratory and/or Athletic Performance? A Systematic Review with Meta-Analysis. Int. J. Environ. Res. Public Health 2021, 18, 6703. [Google Scholar] [CrossRef] [PubMed]
- HajGhanbari, B.; Yamabayashi, C.; Buna, T.R.; Coelho, J.D.; Freedman, K.D.; Morton, T.A.; Palmer, S.A.; Toy, M.A.; Walsh, C.; Sheel, A.W.; et al. Effects of Respiratory Muscle Training on Performance in Athletes: A Systematic Review with Meta-Analyses. J. Strength Cond. Res. 2013, 27, 1643–1663. [Google Scholar] [CrossRef]
- Howley, E.T.; Bassett, D.R., Jr.; Welch, H.G. Criteria for maximal oxygen uptake: Review and commentary. Med. Sci. Sports Exerc. 1995, 27, 1292–1301. [Google Scholar] [CrossRef] [PubMed]
- Hey, E.N.; Lloyd, B.B.; Cunningham, D.J.; Jukes, M.G.; Bolton, D.P. Effects of various respiratory stimuli on the depth and frequency of breathing in man. Respir. Physiol. 1966, 1, 193–205. [Google Scholar] [CrossRef] [PubMed]
- Charususin, N.; Gosselink, R.; McConnell, A.; Demeyer, H.; Topalovic, M.; Decramer, M.; Langer, D. Inspiratory muscle training improves breathing pattern during exercise in COPD patients. Eur. Respir. J. 2016, 47, 1261–1264. [Google Scholar] [CrossRef]
- Macklem, P.T. Therapeutic implications of the pathophysiology of COPD. Eur. Respir. J. 2010, 35, 676–680. [Google Scholar] [CrossRef] [PubMed]
- Salazar-Martínez, E.; Gatterer, H.; Burtscher, M.; Naranjo Orellana, J.; Santalla, A. Influence of inspiratory muscle training on ventilatory efficiency and cycling performance in normoxia and hypoxia. Front. Physiol. 2017, 8, 133. [Google Scholar] [CrossRef] [PubMed]
- Cohen, J. Statistical Power Analysis for the Behavioral Sciences; Lawrence Erlbaum Associates: Hillsdale, NJ, USA, 1988. [Google Scholar]



| IMTG | CON | |||
|---|---|---|---|---|
| Pre | Post | Pre | Post | |
| VC (L) | 5.53 ± 0.9 | 5.17 ± 1.14 | 5.24 ± 1.1 | 5.11 ± 1.06 |
| FVC (L) | 5.46 ± 1 | 4.8 ± 1.35 | 5.06 ± 1.1 | 4.96 ± 0.93 |
| FEV1 (L) | 4.64 ± 0.92 | 4.19 ± 0.80 | 4.31 ± 0.85 | 4.06 ± 0.79 |
| FEV1/VC (%) | 84.13 ± 11.58 | 82.51 ± 9.19 | 82.33 ± 6.28 | 79.84 ± 6.48 |
| PEF (L·min−1) | 9.27 ± 2.23 | 8.20 ± 1.53 | 8.90 ± 2.47 | 8.73 ± 2.40 |
| PIF (L·min−1) | 7.04 ± 1.92 | 8.31 ± 2.39 | 7.12 ± 1.20 | 6.73 ± 3.26 |
| Pimax (cmH2O) | 119.66 ± 37.36 | 166.91 ± 42.65 * | 130.55 ± 33.58 | 130.42 ± 61.93 |
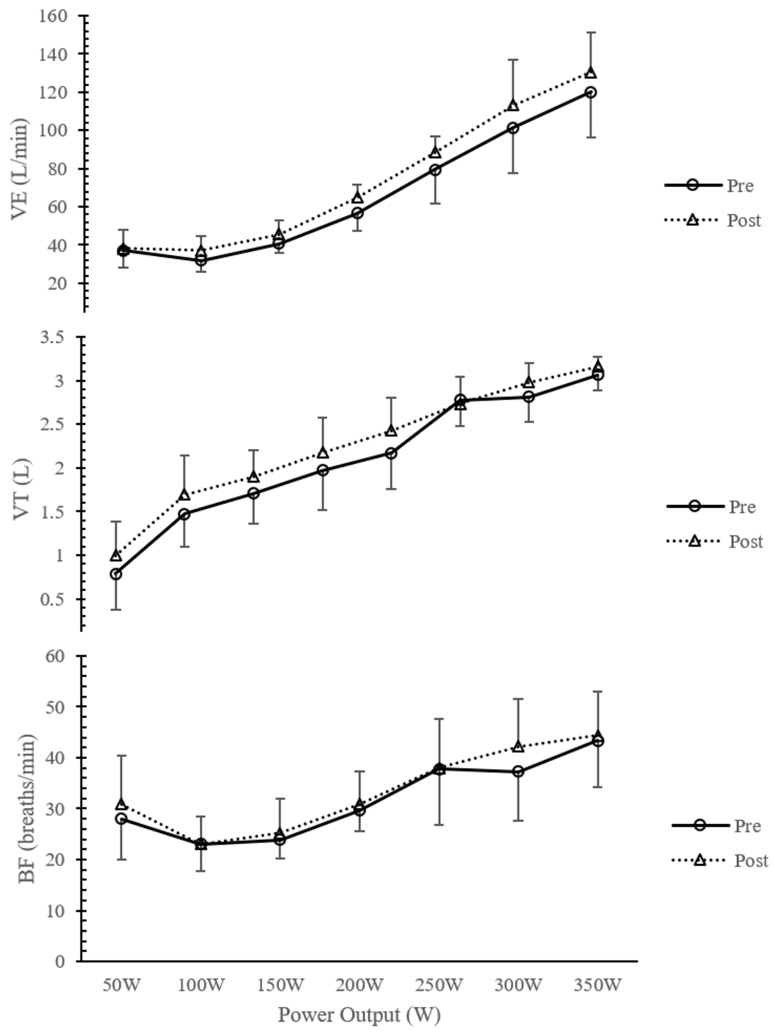
| Pre-IMT | |||||||||||||||
|---|---|---|---|---|---|---|---|---|---|---|---|---|---|---|---|
| VE (L·min−1) | BF (Breahts·min−1) | VT (L) | VT/Ti (L·seg) | Ti/Ttot | |||||||||||
| IMTG | CON | p | IMTG | CON | p | IMTG | CON | p | IMTG | CON | p | IMTG | CON | p | |
| 50 W | 35.11 ± 13.97 | 33.89 ± 13.91 | 0.855 | 28 ± 7.98 | 30.11 ± 8.57 | 0.596 | 0.79 ± 0.41 | 0.77 ± 0.41 | 0.930 | 1.23 ± 0.36 | 1.26 ± 0.3 | 0.894 | 29.56 ± 10.6 | 30.11 ± 9.9 | 0.911 |
| 100 W | 31.89 ± 6.11 | 30.11 ± 9.98 | 0.655 | 23 ± 5.24 | 23.89 ± 10.64 | 0.825 | 1.47 ± 0.38 | 1.62 ± 0.52 | 0.807 | 1.21 ± 0.47 | 1.09 ± 0.4 | 0.500 | 44.67 ± 4.6 | 47.11 ± 5.5 | 0.328 |
| 150 W | 40.56 ± 4.42 | 41.22 ± 14.52 | 0.897 | 23.89 ± 3.69 | 25.78 ± 9.86 | 0.598 | 1.71 ± 0.34 | 1.91 ± 0.52 | 0.329 | 1.48 ± 0.42 | 1.64 ± 0.4 | 0.317 | 45.44 ± 5.0 | 44.67 ± 4.4 | 0.745 |
| 200 W | 56.67 ± 9.3 | 56.33 ± 16.53 | 0.959 | 29.67 ± 4.12 | 31.11 ± 7.2 | 0.609 | 1.97 ± 0.45 | 2.03 ± 0.48 | 0.796 | 2.1 ± 0.49 | 2.2 ± 0.49 | 0.610 | 46 ± 3 | 45.33 ± 3.6 | 0.682 |
| 250 W | 79.44 ± 17.76 | 83.33 ± 31.85 | 0.753 | 37.78 ± 10.88 | 37.11 ± 8.84 | 0.888 | 2.17 ± 0.41 | 2.43 ± 0.55 | 0.271 | 2.82 ± 0.88 | 3.08 ± 0.8 | 0.473 | 47.11 ± 3.8 | 47.33 ± 3.2 | 0.895 |
| 300 W | 101.29 ± 23.44 | 107 ± 36.7 | 0.726 | 37.29 ± 9.62 | 44.89 ± 12.21 | 0.242 | 2.78 ± 0.3 | 2.42 ± 0.53 | 0.134 | 3.52 ± 1.06 | 4.01 ± 1.1 | 0.298 | 46.14 ± 3.8 | 45.89 ± 4 | 0.910 |
| 350 W | 120.17 ± 24.1 | 124.6 ± 31.19 | 0.796 | 43.33 ± 9.14 | 49.6 ± 6.35 | 0.253 | 2.81 ± 0.28 | 2.56 ± 0.64 | 0.402 | 4.27 ± 1.2 | 4.44 ± 1.2 | 0.782 | 46.67 ± 2.6 | 47.8 ± 2.2 | 0.473 |
| Post-IMT | |||||||||||||||
| VE (L·min−1) | BF (breahts·min−1) | VT (L) | VT/Ti (L·seg) | Ti/Ttot | |||||||||||
| IMTG | CON | p | IMTG | CON | p | IMTG | CON | p | IMTG | CON | p | IMTG | CON | p | |
| 50 W | 38.11 ± 9.81 | 31.11 ± 6.15 | 0.089 | 30.88 ± 9.53 | 29.44 ± 4.30 | 0.684 | 1 ± 0.38 | 0.77 ± 0.16 | 0.135 | 1.73 ± 0.78 | 1.37 ± 0.3 | 0.209 | 30 ± 7.71 | 28.55 ± 7.98 | 0.701 |
| 100 W | 37.22 ± 7.64 | 30.77 ± 6.49 | 0.072 | 23 ± 5.5 | 21.44 ± 4.63 | 0.526 | 1.69 ± 0.44 | 1.53 ± 0.37 | 0.424 | 1.45 ± 0.26 | 1.36 ± 0.5 | 0.667 | 42.77 ± 2.1 | 42 ± 10.07 | 0.824 |
| 150 W | 45.66 ± 7.33 | 46.44 ± 7.76 | 0.830 | 25.22 ± 6.74 | 25.88 ± 6.33 | 0.832 | 1.9 ± 0.3 | 1.81 ± 0.35 | 0.574 | 1.72 ± 0.33 | 1.71 ± 0.2 | 0.970 | 45.22 ± 2.48 | 44.11 ± 4.75 | 0.543 |
| 200 W | 64.88 ± 6.62 | 58.11 ± 8.23 | 0.072 | 30.88 ± 6.37 | 28.77 ± 6.33 | 0.491 | 2.17 ± 0.39 | 2.06 ± 0.44 | 0.587 | 2.33 ± 0.31 | 2.17 ± 0.3 | 0.301 | 46.66 ± 3.6 | 44.44 ± 5.19 | 0.308 |
| 250 W | 88.33 ± 8.42 | 81.5 ± 13.52 | 0.224 | 38 ± 9.55 | 34.12 ± 8.11 | 0.385 | 2.25 ± 0.26 | 2.35 ± 0.52 | 0.741 | 3.15 ± 0.35 | 2.79 ± 0.7 | 0.200 | 46.75 ± 2.91 | 47.12 ± 6.72 | 0.902 |
| 300 W | 113.25 ± 23.83 | 116.1 ± 5.82 | 0.771 | 42.25 ± 9.19 | 50.37 ± 10.41 | 0.120 | 2.8 ± 0.23 | 2.42 ± 0.48 | 0.111 | 4.1 ± 0.63 | 4.08 ± 0.6 | 0.973 | 45.16 ± 3.25 | 48.25 ± 2.31 | 0.307 |
| 350 W | 130.5 ± 20.72 | 139.5 ± 11.38 | 0.456 | 44.33 ± 8.64 | 50.25 ± 12.76 | 0.187 | 3.01 ± 0.25 | 2.95 ± 0.64 | 0.917 | 4.66 ± 0.8 | 4.7 ± 0.6 | 0.929 | 47.25 ± 1.5 | 49.33 ± 3.78 | 0.180 |
Disclaimer/Publisher’s Note: The statements, opinions and data contained in all publications are solely those of the individual author(s) and contributor(s) and not of MDPI and/or the editor(s). MDPI and/or the editor(s) disclaim responsibility for any injury to people or property resulting from any ideas, methods, instructions or products referred to in the content. |
© 2024 by the author. Licensee MDPI, Basel, Switzerland. This article is an open access article distributed under the terms and conditions of the Creative Commons Attribution (CC BY) license (https://creativecommons.org/licenses/by/4.0/).
Share and Cite
Salazar-Martínez, E. Breathing Pattern Response after 6 Weeks of Inspiratory Muscle Training during Exercise. Adv. Respir. Med. 2024, 92, 58-65. https://doi.org/10.3390/arm92010008
Salazar-Martínez E. Breathing Pattern Response after 6 Weeks of Inspiratory Muscle Training during Exercise. Advances in Respiratory Medicine. 2024; 92(1):58-65. https://doi.org/10.3390/arm92010008
Chicago/Turabian StyleSalazar-Martínez, Eduardo. 2024. "Breathing Pattern Response after 6 Weeks of Inspiratory Muscle Training during Exercise" Advances in Respiratory Medicine 92, no. 1: 58-65. https://doi.org/10.3390/arm92010008
APA StyleSalazar-Martínez, E. (2024). Breathing Pattern Response after 6 Weeks of Inspiratory Muscle Training during Exercise. Advances in Respiratory Medicine, 92(1), 58-65. https://doi.org/10.3390/arm92010008

