Three-Dimensional Hydroelasticity of Multi-Connected Modular Offshore Floating Solar Photovoltaic Farm
Abstract
:1. Floating Solar Photovoltaic Farm
2. Hydroelastic Response
3. Problem Definition
3.1. Description
3.2. Case Studies
4. Mathematic Formulation
4.1. Water Domain
4.2. Structure Domain
4.3. Decoupling of Governing Equations Using Modal Expansion Method
4.4. BEM for Solving Boundary Integral Equation
4.5. Equation of Motion for Water-Plate Model
5. Model Validation
5.1. Validation of Thin Plate Model
5.2. Vibration Modes and Natural Frequencies of OFPV-I
6. Results and Discussions
6.1. OFPV-I
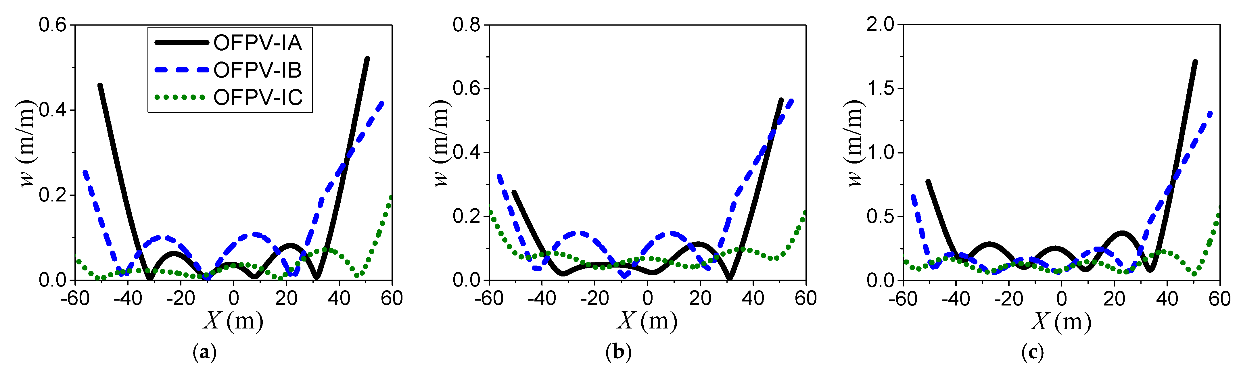
6.1.1. Effect of Wave Direction
6.1.2. Effect of Layout Configuration
6.1.3. Compliances
6.2. OFPV-II
7. Conclusions
- The hydroelastic response and compliance for OFPV-I showed that the elastic deformation of the OFPV increases with a reduction in wave periods;
- OFPVs with a smaller aspect ratio (long-ish structure) have greater elastic deformation but deflect in smaller magnitudes compared to the square OFPV-IA (aspect ratio ;
- The hydroelastic response under headsea conditions could be reduced by increasing the longitudinal stiffness of the OFPV. This can be done by reducing the spacing between the longitudinal modules in the OFPV;
- By splitting the OFPV into smaller OFPVs, i.e., OFPV-II, the compliance values implied that the hydroelastic response was smaller for OFPV-I when it wasconstructed in one piece;
- The gap spacing between the separated farms in OFPV-II showed a profound difference in the hydroelastic response due to the interference effect between the separated farms, and OFPV-IIA, which comprises four separated farms, has a higher compared to OFPV-IIB and OFPV-IIC, both having two separated farms;
- The plot contours of the hydroelastic deflection showed that the farms located on the leeward side have smaller values compared to their counterparts located on the windward side.
Funding
Data Availability Statement
Conflicts of Interest
References
- Farret, F.A.; Simões, M.G. Integration of Alternative Sources of Energy; Wiley Online Library: Hoboken, NJ, USA, 2006; Volume 504. [Google Scholar]
- Hertwich, E.; de Larderel, J.A.; Arvesen, A.; Bayer, P.; Bergesen, J.; Bouman, E.; Gibon, T.; Heath, G.; Peña, C.; Purohit, P. Green Energy Choices: The Benefits, Risks, and Trade-Offs of Low-Carbon Technologies for Electricity Production; UNEP: Nairobi, Kenya, 2016. [Google Scholar]
- Kabeyi, M.J.B.; Olanrewaju, O.A. Sustainable energy transition for renewable and low carbon grid electricity generation and supply. Front. Energy Res. 2022, 9, 1032. [Google Scholar] [CrossRef]
- Tay, Z.Y.; Konovessis, D. Sustainable energy propulsion system for sea transport to achieve United Nations sustainable development goals: A review. Discov. Sustain. 2023, 4, 20. [Google Scholar] [CrossRef]
- Gorjian, S.; Sharon, H.; Ebadi, H.; Kant, K.; Scavo, F.B.; Tina, G.M. Recent technical advancements, economics and environmental impacts of floating photovoltaic solar energy conversion systems. J. Clean. Prod. 2021, 278, 124285. [Google Scholar] [CrossRef]
- Kumar, M.; Niyaz, H.M.; Gupta, R. Challenges and opportunities towards the development of floating photovoltaic systems. Sol. Energy Mater. Sol. Cells 2021, 233, 111408. [Google Scholar] [CrossRef]
- Solomin, E.; Sirotkin, E.; Cuce, E.; Selvanathan, S.P.; Kumarasamy, S. Hybrid floating solar plant designs: A review. Energies 2021, 14, 2751. [Google Scholar] [CrossRef]
- Friel, D.; Karimirad, M.; Whittaker, T.; Doran, J.; Howlin, E. A review of floating photovoltaic design concepts and installed variations. In Proceedings of the 4th International Conference Offshore Renew Energy CORE, Lisbon, Portugal, 12–15 October 2020; pp. 1–10. [Google Scholar]
- Vidović, V.; Krajačić, G.; Matak, N.; Stunjek, G.; Mimica, M. Review of the potentials for implementation of floating solar panels on lakes and water reservoirs. Renew. Sustain. Energy Rev. 2023, 178, 113237. [Google Scholar] [CrossRef]
- Sahu, A.; Yadav, N.; Sudhakar, K. Floating photovoltaic power plant: A review. Renew. Sustain. Energy Rev. 2016, 66, 815–824. [Google Scholar] [CrossRef]
- Farrar, L.W.; Bahaj, A.S.; James, P.; Anwar, A.; Amdar, N. Floating solar PV to reduce water evaporation in water stressed regions and powering water pumping: Case study Jordan. Energy Convers. Manag. 2022, 260, 115598. [Google Scholar] [CrossRef]
- Oliveira-Pinto, S.; Stokkermans, J. Marine floating solar plants: An overview of potential, challenges and feasibility. Proc. Inst. Civ. Eng.-Marit. Eng. 2020, 173, 120–135. [Google Scholar] [CrossRef]
- Malinowski, M.; Leon, J.I.; Abu-Rub, H. Solar photovoltaic and thermal energy systems: Current technology and future trends. Proc. IEEE 2017, 105, 2132–2146. [Google Scholar] [CrossRef]
- Roser, M. Why Did Renewables Become So Cheap So Fast? 2020. Available online: https://ourworldindata.org/cheap-renewables-growth (accessed on 20 July 2023).
- Hawkins, A. Solar Panel Cost. 2023. Available online: https://www.architecturaldigest.com/reviews/solar/solar-panel-costs (accessed on 20 July 2023).
- Garrison, L. Monocrystalline Solar Panels vs Polycrystalline Solar Panels: Find Out Which Ones Are Right For You. 2021. Available online: https://www.cnet.com/home/energy-and-utilities/monocrystalline-solar-panels-vs-polycrystalline-solar-panels-find-out-which-ones-are-right-for-you/ (accessed on 20 July 2023).
- CEA. PV Price Forecasting Report (Q4–2022). 2023. Available online: https://www.cea3.com/cea-blog/pv-price-forecasting-report-q4-2022 (accessed on 20 July 2023).
- Bojek, P. Solar PV. 2023. Available online: https://www.iea.org/energy-system/renewables/solar-pv (accessed on 21 July 2023).
- Garanovic, A. World’s Largest Hydro-Floating Solar Hybrid Comes Online in Thailand. 2021. Available online: https://www.offshore-energy.biz/worlds-largest-hydro-floating-solar-hybrid-comes-online-in-thailand/#:~:text=World's%20largest%20hydro%2Dfloating%20solar%20hybrid%20comes%20online%20in%20Thailand,-Business%20Developments%20%26%20Projects&text=The%20Electricity%20Generating%20Authority%20of,commercial%20operation%20at%20Sirindhorn%20Dam (accessed on 21 July 2021).
- CHNG. China Huaneng Puts into Operation the Floating PV Power Station with the Largest Single-Project Capacity in the World. n.d. Available online: https://www.chng.com.cn/en/detail_newsroom/-/article/ORRxM6PfzKtK/v/992540.html (accessed on 21 July 2023).
- Clover, I. China’s Three Gorges Connects Part of 150 MW Floating Solar Plant. 2017. Available online: https://www.pv-magazine.com/2017/12/12/chinas-three-gorges-connects-part-of-150-mw-floating-solar-plant/ (accessed on 21 July 2023).
- Nelson, A. Floating Solar Projects Gaining Momentum. 2019. Available online: https://www.spglobal.com/commodityinsights/en/ci/research-analysis/floating-solar-projects-gaining-momentum.html (accessed on 21 July 2023).
- Yong, C. Sembcorp to Build Singapore’s Largest Floating Solar Farm Covering 45 Football Fields. 2020. Available online: https://www.straitstimes.com/singapore/environment/sembcorp-to-build-singapores-largest-floating-solar-farm-covering-45-football (accessed on 21 July 2023).
- Herh, M.S. Korea to Build World’s Biggest Floating Solar Power Plant on Saemangeum Lake. 2019. Available online: http://www.businesskorea.co.kr/news/articleView.html?idxno=34083 (accessed on 21 July 2023).
- Xiao, X.; Yang, Y. Could the oceans host floating solar power plants? Nature 2022, 607, 239. [Google Scholar] [CrossRef]
- Golroodbari, S.Z.; van Sark, W. Simulation of performance differences between offshore and land-based photovoltaic systems. Prog. Photovolt. Res. Appl. 2020, 28, 873–886. [Google Scholar] [CrossRef]
- Chong, C. Singapore Now Home to One of the World’s Largest Floating Solar Farms. 2021. Available online: https://www.straitstimes.com/singapore/singapore-now-home-to-one-of-the-worlds-largest-floating-solar-farms (accessed on 21 July 2023).
- Hanley, S. SolarDuck & RWE Will Build a Floating Solar Park in the North Sea. 2022. Available online: https://cleantechnica.com/2022/07/25/solarduck-rwe-will-build-a-floating-solar-park-in-the-north-sea-video/ (accessed on 21 July 2023).
- Woollacott, E. Could Floating Solar Farms Survive Out at Sea? 2023. Available online: https://www.bbc.com/news/business-63728020 (accessed on 21 July 2023).
- Song, J.; Kim, J.; Chung, W.C.; Jung, D.; Kang, Y.J.; Kim, S. Wave-induced structural response analysis of the supporting frames for multiconnected offshore floating photovoltaic units installed in the inner harbor. Ocean Eng. 2023, 271, 113812. [Google Scholar] [CrossRef]
- Al-Yacouby, A.; Halim, E.R.B.A.; Liew, M. Hydrodynamic analysis of floating offshore solar farms subjected to regular waves. In Proceedings of Advances in Manufacturing Engineering: Selected Articles from ICMMPE 2019; Springer: Singapore, 2020; pp. 375–390. [Google Scholar]
- Sree, D.K.K.; Law, A.W.-K.; Pang, D.S.C.; Tan, S.T.; Wang, C.L.; Kew, J.H.; Seow, W.K.; Lim, V.H. Fluid-structural analysis of modular floating solar farms under wave motion. Sol. Energy 2022, 233, 161–181. [Google Scholar] [CrossRef]
- Xu, P.; Wellens, P.R. Fully nonlinear hydroelastic modeling and analytic solution of large-scale floating photovoltaics in waves. J. Fluids Struct. 2022, 109, 103446. [Google Scholar] [CrossRef]
- Love, A.E.H., XVI. The small free vibrations and deformation of a thin elastic shell. Proc. R. Soc. Lond. Ser. I 1887, 43, 352–353. [Google Scholar]
- Reddy, J.N. Theory and Analysis of Elastic Plates and Shells; CRC Press: Boca Raton, FL, USA, 1999. [Google Scholar]
- Dai, J.; Zhang, C.; Lim, H.V.; Ang, K.K.; Qian, X.; Wong, J.L.H.; Tan, S.T.; Wang, C.L. Design and construction of floating modular photovoltaic system for water reservoirs. Energy 2020, 191, 116549. [Google Scholar] [CrossRef]
- Tay, Z.Y.; Wang, C.D.; Wang, C.M. Hydroelastic response of a box-like floating fuel storage module modeled using non-conforming quadratic-serendipity Mindlin plate element. Eng. Struct. 2007, 29, 3503–3514. [Google Scholar] [CrossRef]
- Faltinsen, O. Sea Loads on Ships and Offshore Structures; Cambridge University Press: Cambridge, UK, 1993; Volume 1. [Google Scholar]
- Petyt, M. Introduction to Finite Element Vibration Analysis; Cambridge University Press: Cambridge, UK, 2010. [Google Scholar]
- Wang, C.M.; Reddy, J.N.; Lee, K. Shear Deformable Beams and Plates: Relationships with Classical Solutions; Elsevier: Amsterdam, The Netherlands, 2000. [Google Scholar]
- Newman, J.N. Wave effects on deformable bodies. Appl. Ocean Res. 1994, 16, 47–59. [Google Scholar] [CrossRef]
- Wang, C.M.; Tay, Z.Y. Hydroelastic analysis and response of pontoon-type very large floating structures. In Fluid Structure Interaction II: Modelling, Simulation, Optimization; Springer: Berlin/Heidelberg, Germany, 2010; pp. 103–130. [Google Scholar]
- Taylor, R.E.; Waite, J.B. The dynamics of offshore structures evaluated by boundary integral techniques. Int. J. Numer. Methods Eng. 1978, 13, 73–92. [Google Scholar] [CrossRef]
- Brebbia, C.A.; Dominguez, J. Boundary Elements: An Introductory Course; WIT Press: Billerica, MA, USA, 1994. [Google Scholar]
- Newman, J.N. Marine Hydrodynamics; MIT Press: Cambridge, MA, USA, 2018. [Google Scholar]
- Gao, R.P.; Tay, Z.Y.; Wang, C.M.; Koh, C.G. Hydroelastic response of very large floating structure with a flexible line connection. Ocean Eng. 2011, 38, 1957–1966. [Google Scholar] [CrossRef]
- Tay, Z.Y.; Wei, Y. Power enhancement of pontoon-type wave energy convertor via hydroelastic response and variable power take-off system. J. Ocean Eng. Sci. 2020, 5, 1–18. [Google Scholar] [CrossRef]
- Tay, Z.Y.; Wang, C.M.; Utsunomiya, T. Hydroelastic responses and interactions of floating fuel storage modules placed side-by-side with floating breakwaters. Mar. Struct. 2009, 22, 633–658. [Google Scholar] [CrossRef]
- Tay, Z.Y. Performance and wave impact of an integrated multi-raft wave energy converter with floating breakwater for tropical climate. Ocean Eng. 2020, 218, 108136. [Google Scholar] [CrossRef]
- Tay, Z.Y.; Wang, C.M. Reducing hydroelastic response of very large floating structures by altering their plan shapes. Ocean Syst. Eng. 2012, 2, 69–81. [Google Scholar] [CrossRef]
- Tay, Z.Y. Energy extraction from an articulated plate anti-motion device of a very large floating structure under irregular waves. Renew. Energy 2019, 130, 206–222. [Google Scholar] [CrossRef]
- Tay, Z.Y. Energy generation from anti-motion device of very large floating structure. In Proceedings of the Twelfth European Wave and Tidal Energy Conference, Cork, UK, 27 August–1 September 2021; p. 674-1. [Google Scholar]












OFPV-IA,
OFPV-IB, and
OFPV-IC.




| OFPV Properties | Regular Waves | ||||||
|---|---|---|---|---|---|---|---|
| (m) | |||||||
| OFPV-I | OFPV-IA | 1.00 | 0.2 | 3, 4, 5 | 14, 25, 37 | 0, 30, 45, 60, 90 | |
| OFPV-IB | 0.800 | ||||||
| OFPV-IC | 0.500 | ||||||
| OFPV-II † | OFPV-IIA | 1.00 | |||||
| OFPV-IIB | 1.62 | ||||||
| OFPV-IIC | 1.01 | ||||||
| OFPV-III | OFPV-IIIA | 1.00 | 0.600, 0.200, 0.060, 0.030, 0.006 | Note:
| |||
| OFPV-IIIB | |||||||
| OFPV-IIIC | |||||||
| (m) | 0.6000 | 0.2000 | 0.0600 | 0.0300 | 0.0060 | |||||
|---|---|---|---|---|---|---|---|---|---|---|
| 0.1000 | 0.0333 | 0.0100 | 0.0050 | 0.0010 | ||||||
| Mode | ||||||||||
| PM | ABQ | PM | ABQ | PM | ABQ | PM | ABQ | PM | ABQ | |
| 1 (RBM *) | 0.0000 | 0.0000 | 0.0000 | 0.0000 | 0.0000 | 0.0000 | 0.0000 | 0.0000 | 0.0000 | 0.0000 |
| 2 (RBM *) | 0.0000 | 0.0000 | 0.0000 | 0.0000 | 0.0000 | 0.0000 | 0.0000 | 0.0000 | 0.0000 | 0.0000 |
| 3 (RBM *) | 0.0000 | 0.0000 | 0.0000 | 0.0000 | 0.0000 | 0.0000 | 0.0000 | 0.0000 | 0.0000 | 0.0000 |
| 4 | 7.7666 | 4.8689 | 2.5889 | 2.2938 | 0.7767 | 0.7565 | 0.3883 | 0.3848 | 0.0777 | 0.0776 |
| 5 | 9.4832 | 8.8503 | 3.1611 | 3.0668 | 0.9483 | 0.9391 | 0.4742 | 0.4719 | 0.0948 | 0.0947 |
| 6 | 9.6313 | 9.1389 | 3.2104 | 3.1534 | 0.9631 | 0.9567 | 0.4816 | 0.4795 | 0.0963 | 0.0961 |
| 7 | 18.3765 | 13.3460 | 6.1255 | 5.5782 | 1.8377 | 1.7991 | 0.9188 | 0.9118 | 0.1838 | 0.1836 |
| 8 | 18.3765 | 13.3520 | 6.1255 | 5.5789 | 1.8377 | 1.7993 | 0.9188 | 0.9119 | 0.1838 | 0.1836 |
| 9 | 26.5784 | 13.8560 | 8.8595 | 8.5653 | 2.6578 | 2.6331 | 1.3289 | 1.3229 | 0.2658 | 0.2653 |
| 10 | 26.5784 | 20.8870 | 8.8595 | 8.5663 | 2.6578 | 2.6334 | 1.3289 | 1.3231 | 0.2658 | 0.2654 |
| 11 | 33.1127 | 20.9550 | 11.0376 | 9.9532 | 3.3113 | 3.2373 | 1.6556 | 1.6426 | 0.3311 | 0.3310 |
| 0.600 | 0.200 | 0.060 | 0.030 | 0.006 | ||||||
|---|---|---|---|---|---|---|---|---|---|---|
| 0.0300 | 0.0100 | 0.0030 | 0.0015 | 0.0003 | ||||||
| Mode | ||||||||||
| PM | ABQ | PM | ABQ | PM | ABQ | PM | ABQ | PM | ABQ | |
| 1 (RBM *) | 0.0000 | 0.0000 | 0.0000 | 0.0000 | 0.0000 | 0.0000 | 0.0000 | 0.0000 | 0.0000 | 0.0000 |
| 2 (RBM *) | 0.0000 | 0.0000 | 0.0000 | 0.0000 | 0.0000 | 0.0000 | 0.0000 | 0.0000 | 0.0000 | 0.0000 |
| 3 (RBM *) | 0.0000 | 0.0000 | 0.0000 | 0.0000 | 0.0000 | 0.0000 | 0.0000 | 0.0000 | 0.0000 | 0.0000 |
| 4 | 0.7519 | 0.4813 | 0.2506 | 0.2230 | 0.0752 | 0.0732 | 0.0376 | 0.0372 | 0.0075 | 0.0075 |
| 5 | 0.9070 | 0.8686 | 0.3023 | 0.2946 | 0.0907 | 0.0896 | 0.0454 | 0.0449 | 0.0091 | 0.0090 |
| 6 | 0.9123 | 0.8803 | 0.3041 | 0.2960 | 0.0912 | 0.0901 | 0.0456 | 0.0453 | 0.0091 | 0.0091 |
| 7 | 1.7621 | 1.3053 | 0.5874 | 0.5360 | 0.1762 | 0.1722 | 0.0881 | 0.0873 | 0.0176 | 0.0176 |
| 8 | 1.7621 | 1.3054 | 0.5874 | 0.5360 | 0.1762 | 0.1722 | 0.0881 | 0.0873 | 0.0176 | 0.0176 |
| 9 | 2.5090 | 2.2959 | 0.8363 | 0.8136 | 0.2509 | 0.2477 | 0.1254 | 0.1243 | 0.0251 | 0.0249 |
| 10 | 2.5090 | 2.3981 | 0.8363 | 0.8137 | 0.2509 | 0.2477 | 0.1254 | 0.1243 | 0.0251 | 0.0249 |
| 11 | 3.2480 | 2.3982 | 1.0827 | 0.9803 | 0.3248 | 0.3171 | 0.1624 | 0.1608 | 0.0325 | 0.0324 |
| 0.600 | 0.200 | 0.060 | 0.030 | 0.006 | ||||||
|---|---|---|---|---|---|---|---|---|---|---|
| 0.0146 | 0.0050 | |||||||||
| Mode | ||||||||||
| PM | ABQ | PM | ABQ | PM | ABQ | PM | ABQ | PM | ABQ | |
| 1 (RBM *) | 0.0000 | 0.0000 | 0.0000 | 0.0000 | 0.0000 | 0.0000 | 0.0000 | 0.0000 | 0.0000 | 0.0000 |
| 2 (RBM *) | 0.0000 | 0.0000 | 0.0000 | 0.0000 | 0.0000 | 0.0000 | 0.0000 | 0.0000 | 0.0000 | 0.0000 |
| 3 (RBM *) | 0.0000 | 0.0000 | 0.0000 | 0.0000 | 0.0000 | 0.0000 | 0.0000 | 0.0000 | 0.0000 | 0.0000 |
| 4 | 0.0195 | 0.1255 | 0.0651 | 0.0592 | 0.0195 | 0.0190 | 0.0098 | 0.0097 | 0.0020 | 0.0019 |
| 5 | 0.0234 | 0.2251 | 0.0781 | 0.0756 | 0.0234 | 0.0231 | 0.0117 | 0.0116 | 0.0023 | 0.0023 |
| 6 | 0.0236 | 0.2277 | 0.0787 | 0.0760 | 0.0236 | 0.0233 | 0.0118 | 0.0117 | 0.0024 | 0.0024 |
| 7 | 0.0456 | 0.3385 | 0.1521 | 0.1407 | 0.0456 | 0.0446 | 0.0228 | 0.0226 | 0.0046 | 0.0045 |
| 8 | 0.0456 | 0.3385 | 0.1521 | 0.1407 | 0.0456 | 0.0446 | 0.0228 | 0.0226 | 0.0046 | 0.0045 |
| 9 | 0.0649 | 0.5978 | 0.2162 | 0.2090 | 0.0649 | 0.0640 | 0.0324 | 0.0321 | 0.0065 | 0.0064 |
| 10 | 0.0649 | 0.6234 | 0.2162 | 0.2090 | 0.0649 | 0.0640 | 0.0324 | 0.0321 | 0.0065 | 0.0064 |
| 11 | 0.0842 | 0.6234 | 0.2808 | 0.2586 | 0.0842 | 0.0823 | 0.0421 | 0.0417 | 0.0084 | 0.0084 |
| OFPV-IA | OFPV-IB | OFPV-IC | ||||
|---|---|---|---|---|---|---|
| 101.2 m | 112.5 m | 141.8 m | ||||
| Mode | ||||||
| PM | ABQ | PM | ABQ | PM | ABQ | |
| 1 (RBM *) | 0.0000 | 0.0000 | 0.0000 | 0.0000 | 0.0000 | 0.0000 |
| 2 (RBM *) | 0.0000 | 0.0000 | 0.0000 | 0.0000 | 0.0000 | 0.0000 |
| 3 (RBM *) | 0.0000 | 0.0000 | 0.0000 | 0.0000 | 0.0000 | 0.0000 |
| 4 | 0.0101 | 0.0094 | 0.0098 | 0.0093 | 0.0062 | 0.0060 |
| 5 | 0.0120 | 0.0120 | 0.0102 | 0.0095 | 0.0101 | 0.0092 |
| 6 | 0.0122 | 0.0121 | 0.0153 | 0.0148 | 0.0171 | 0.0165 |
| 7 | 0.0232 | 0.0224 | 0.0226 | 0.0209 | 0.0211 | 0.0193 |
| 8 | 0.0235 | 0.0224 | 0.0255 | 0.0237 | 0.0240 | 0.0232 |
| 9 | 0.0334 | 0.0332 | 0.0271 | 0.0262 | 0.0314 | 0.0296 |
| 10 | 0.0334 | 0.0332 | 0.0407 | 0.0381 | 0.0335 | 0.0320 |
| 11 | 0.0434 | 0.0411 | 0.0422 | 0.0408 | 0.0346 | 0.0323 |
| OFPV-IA | OFPV-IB | OFPV-IC | ||||
|---|---|---|---|---|---|---|
| 0.0146 | 0.0050 | |||||
| Mode | ||||||
| OFPV-IA’ | OFPV-IA | OFPV-IB’ | OFPV-IB | OFPV-IC’ | OFPV-IC | |
| 1 (RBM *) | 0.0000 | 0.0000 | 0.0000 | 0.0000 | 0.0000 | 0.0000 |
| 2 (RBM *) | 0.0000 | 0.0000 | 0.0000 | 0.0000 | 0.0000 | 0.0000 |
| 3 (RBM *) | 0.0000 | 0.0000 | 0.0000 | 0.0000 | 0.0000 | 0.0000 |
| 4 | 0.0080 | 0.0101 | 0.0067 | 0.0098 | 0.0081 | 0.0062 |
| 5 | 0.0095 | 0.0120 | 0.0082 | 0.0102 | 0.0084 | 0.0101 |
| 6 | 0.0131 | 0.0122 | 0.0147 | 0.0153 | 0.0116 | 0.0171 |
| 7 | 0.0181 | 0.0232 | 0.0176 | 0.0226 | 0.0183 | 0.0211 |
| 8 | 0.0205 | 0.0235 | 0.0184 | 0.0255 | 0.0200 | 0.0240 |
| 9 | 0.0288 | 0.0334 | 0.0220 | 0.0271 | 0.0231 | 0.0314 |
| 10 | 0.0314 | 0.0334 | 0.0305 | 0.0407 | 0.0319 | 0.0335 |
| 11 | 0.0322 | 0.0434 | 0.0361 | 0.0422 | 0.0335 | 0.0346 |
Disclaimer/Publisher’s Note: The statements, opinions and data contained in all publications are solely those of the individual author(s) and contributor(s) and not of MDPI and/or the editor(s). MDPI and/or the editor(s) disclaim responsibility for any injury to people or property resulting from any ideas, methods, instructions or products referred to in the content. |
© 2023 by the author. Licensee MDPI, Basel, Switzerland. This article is an open access article distributed under the terms and conditions of the Creative Commons Attribution (CC BY) license (https://creativecommons.org/licenses/by/4.0/).
Share and Cite
Tay, Z.Y. Three-Dimensional Hydroelasticity of Multi-Connected Modular Offshore Floating Solar Photovoltaic Farm. J. Mar. Sci. Eng. 2023, 11, 1968. https://doi.org/10.3390/jmse11101968
Tay ZY. Three-Dimensional Hydroelasticity of Multi-Connected Modular Offshore Floating Solar Photovoltaic Farm. Journal of Marine Science and Engineering. 2023; 11(10):1968. https://doi.org/10.3390/jmse11101968
Chicago/Turabian StyleTay, Zhi Yung. 2023. "Three-Dimensional Hydroelasticity of Multi-Connected Modular Offshore Floating Solar Photovoltaic Farm" Journal of Marine Science and Engineering 11, no. 10: 1968. https://doi.org/10.3390/jmse11101968
APA StyleTay, Z. Y. (2023). Three-Dimensional Hydroelasticity of Multi-Connected Modular Offshore Floating Solar Photovoltaic Farm. Journal of Marine Science and Engineering, 11(10), 1968. https://doi.org/10.3390/jmse11101968
