Synthesis and Characterization of Chanar Gum Films
Abstract
1. Introduction
2. Materials and Methods
2.1. Chañar Gum Extraction Procedure
2.2. Characterization of Chañar Polysaccharide in Solution
2.2.1. Viscosity and Density
Viscometry
2.2.2. Diffusion Coefficient
2.3. Films Preparation
2.4. Films Characterization
2.4.1. SEM/EDX
2.4.2. FTIR
2.4.3. TGA/DTG
2.4.4. DSC
2.4.5. XRD
2.4.6. Mechanical Properties
2.4.7. Colorimetry
2.4.8. Water Vapour Permeability
2.4.9. Antioxidant Activity Assays
Reducing Power
Hydroxyl Radical Scavenging
DPPH Scavenging Activity
Total Polyphenol Content
Biodegradability
3. Results
3.1. Characterization of Chañar Gum Solution
3.1.1. Viscosimetry
3.1.2. Diffusion Coefficient
3.2. Characterization of Chañar Gum Films
3.2.1. SEM/EDX
3.2.2. Fourier Transform Infrared
3.2.3. Thermogravimetric Analysis
3.2.4. Differential Scanning Calorimetry (DCS)
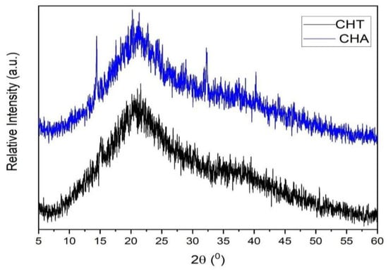
3.2.5. DRX
3.2.6. Mechanical Properties
3.2.7. Colorimetry
3.2.8. Water Vapor Permeation
3.2.9. Antioxidant Activity
Reducing Power
Hydroxyl Radical Scavenging
DPPH Scavenging Activity
3.2.10. Polyphenols Total Concentration
3.2.11. Biodegradability
4. Conclusions
Author Contributions
Funding
Data Availability Statement
Acknowledgments
Conflicts of Interest
References
- Izydorczyk, M.; Cui, S.W.; Wang, Q. Food Carbohydrates: Chemistry, Physical Properties, and Applications; Cui, S.W., Wang, Q., Eds.; CRC Press: Boca Raton, FL, USA, 2005. [Google Scholar]
- Stephen, A.M.; Phillips, G.O. Food Polysaccharides and Their Applications; CRC press: Boca Raton, FL, USA, 2016; pp. 263–307. [Google Scholar]
- Morris, E.R. Physico-Chemical Properties of Food Polysaccharides, Dietary Fibre—A Component of Food; Springer: London, UK, 1992; pp. 41–56. [Google Scholar]
- Yang, X.; Li, A.; Li, X.; Sun, L.; Guo, Y. Technology, an overview of classifications, properties of food polysaccharides and their links to applications in improving food textures. Trends Food Sci. Technol. 2020, 102, 1–15. [Google Scholar] [CrossRef]
- Blanshard, J.M.; Mitchell, J.R. Polysaccharides in Food; Elsevier: Amsterdam, The Nederlands, 2013. [Google Scholar]
- Lovegrove, A.; Edwards, C.; De Noni, I.; Patel, H.; El, S.; Grassby, T.; Zielke, C.; Ulmius, M.; Nilsson, L.; Crifs, P.J. Role of polysaccharides in food, digestion, and health. Crit. Rev. Food Sci. Nutr. 2017, 57, 237–253. [Google Scholar] [PubMed]
- Venugopal, V. Marine Polysaccharides: Food Applications; CRC Press: Boca Raton, FL, USA, 2016. [Google Scholar]
- Jindal, N.; Khattar, J.S. Microbial Polysaccharides in Food Industry. In Handbook of Food Bioengineering, Biopolymers for Food Design; Grumezescu, A.M., Holban, A.M., Eds.; Academic Press: London, UK, 2018; pp. 95–123. [Google Scholar]
- Guo, M.Q.; Hu, X.; Wang, C.; Ai, L. Polysaccharides: Structure and Solubility. In Solubility of Polysaccharides; Xu, Z., Ed.; INTECH: Rijeka, Croatia, 2017; pp. 7–21. [Google Scholar]
- Wijaya, W.; Patel, A.; Setiowati, A.D.; Van der Meeren, P. Functional colloids from proteins and polysaccharides for food applications. Trends Food Sci. Technol. 2017, 68, 56–69. [Google Scholar] [CrossRef]
- Reichert, C.L.; Bugnicourt, E.; Coltelli, M.-B.; Cinelli, P.; Lazzeri, A.; Canesi, I.; Braca, F.; Martínez, B.M.; Alonso, R.; Agostinis, L.; et al. Agostinis, Bio-based packaging: Materials, modifications, industrial applications and sustainability. Polymers 2020, 12, 1558. [Google Scholar] [CrossRef]
- Motelica, L.; Ficai, D.; Ficai, A.; Oprea, O.C.; Kaya, D.A.; Andronescu, E. Biodegradable antimicrobial food packaging: Trends and perspectives. Foods 2020, 9, 1438. [Google Scholar]
- Kontominas, M.G. Use of alginates as food packaging materials. Foods 2020, 9, 1440. [Google Scholar] [CrossRef]
- Song, Y.; Zheng, Q. Ecomaterials based on food proteins and polysaccharides. Polym. Rev. 2014, 54, 514–571. [Google Scholar] [CrossRef]
- Bamiro, O.A.; Odeku, O.A.; Sinha, V.R.; Kumar, R. Terminalia gum as a directly compressible excipient for controlled drug delivery. AAPS PharmSciTech 2012, 13, 16–23. [Google Scholar] [CrossRef][Green Version]
- Hasnain, S.M.; Hasnain, M.S.; Nayak, A.K. Natural polysaccharides: Sources and extraction methodologies. In Natural Polysaccharides in Drug Delivery and Biomedical Applications; Academic Press: Amsterdam, The Netherlands, 2019; pp. 1–14. [Google Scholar]
- Mogoşanu, G.D.; Grumezescu, A.M. Pharmaceutical Natural Polymers: Structure and Chemistry. In Handbook of Polymers for Pharmaceutical Technologies; Wiley: Hoboken, NJ, USA, 2015; Volume 1, 477p. [Google Scholar]
- Sharma, P.; Gaur, V.K.; Sirohi, R.; Varjani, S.; Kim, S.H.; Wong, J.W. Sustainable processing of food waste for production of bio-based products for circular bioeconomy. Bioresour. Technol. 2021, 325, 124684. [Google Scholar] [CrossRef]
- Maraveas, C. Production of sustainable and biodegradable polymers from agricultural waste. Polymers 2020, 12, 1127. [Google Scholar] [CrossRef]
- Gheorghita, R.; Anchidin-Norocel, L.; Filip, R.; Dimian, M.; Covasa, M. Applications of biopolymers for drugs and probiotics delivery. Polymers 2021, 13, 2729. [Google Scholar] [CrossRef]
- do Nascimento Marques, N.; dos Santos Alves, K.; Vidal, R.R.L.; da Silva Maia, A.M.; Madruga, L.Y.C.; Curti, P.S.; de Carvalho Balaban, R. Chemical Modification of Polysaccharides and Applications in Strategic Areas, Emerging Research. In Science and Engineering Based on Advanced Experimental and Computational Strategies; Springer: Berlin/Heidelberg, Germany, 2020; pp. 433–472. [Google Scholar]
- Hong, L.G.; Yuhana, N.Y.; Zawawi, E.Z.E. Review of bioplastics as food packaging materials. AIMS Mater. Sci. 2021, 8, 166–184. [Google Scholar] [CrossRef]
- Lavudi, H.N.; Suthari, S. Application of Legume Seed Galactomannan Polysaccharides. In Sustainable Agriculture Reviews 45; Springer: Berlin/Heidelberg, Germany, 2020; pp. 97–113. [Google Scholar]
- [Zhou, S.; Rahman, A.; Li, J.; Wei, C.; Chen, J.; Linhardt, R.J.; Ye, X.; Chen, S. Extraction methods affect the structure of Goji (Lycium barbarum) polysaccharides. Molecules 2020, 25, 936. [Google Scholar]
- Isreal, O.K.; Innocent, E.; Ammeh, P.O. Physicochemical characterization of exudates from Khaya ivorensys. Int. J. Mod. Chem. 2013, 5, 1–21. [Google Scholar]
- Ameh, P.O. Chemistry, physicochemical properties and rheological behaviour of Ficus glumosa gum in aqueous solution. Afr. J. Pure Appl. Chem. 2013, 7, 35–43. [Google Scholar]
- Wu, D.-T.; Zhao, Y.-X.; Guo, H.; Gan, R.-Y.; Peng, L.-X.; Zhao, G.; Zou, L. Physicochemical and biological properties of polysaccharides from Dictyophora Indusiata prepared by different extraction techniques. Polymers 2021, 13, 2357. [Google Scholar] [CrossRef]
- Galus, S.; Kibar, E.A.A.; Gniewosz, M.; Kraśniewska, K. Novel materials in the preparation of edible films and coatings—A review. Coatings 2020, 10, 674. [Google Scholar] [CrossRef]
- Amin, U.; Khan, M.U.; Majeed, Y.; Rebezov, M.; Khayrullin, M.; Bobkova, E.; Shariati, M.A.; Chung, I.M.; Thiruvengadam, M. Potentials of polysaccharides, lipids and proteins in biodegradable food packaging applications. Int. J. Biol. Macromol. 2021, 183, 2184–2198. [Google Scholar] [CrossRef]
- Vilela, C.; Kurek, M.; Hayouka, Z.; Röcker, B.; Yildirim, S.; Antunes, M.D.C.; Nilsen-Nygaard, J.; Pettersen, M.K.; Freire, C.S.R. A concise guide to active agents for active food packaging. Trends Food Sci. Technol. 2018, 80, 212–222. [Google Scholar] [CrossRef]
- Pavli, F.; Tassou, C.; Nychas, G.-J.E.; Chorianopoulos, N. Chorianopoulos, Probiotic incorporation in edible films and coatings: Bioactive solution for functional foods. Int. J. Mol. Sci. 2018, 19, 150. [Google Scholar] [CrossRef]
- Dubey, N.K.; Dubey, R. Edible Films and Coatings: An Update on Recent Advances. In Biopolymer-Based Formulations; Elsevier: Amsterdam, The Netherlands, 2020; pp. 675–695. [Google Scholar]
- Zanon, M.; Masuelli, M.A. Alcayota gum films: Experimental reviews. J. Mater. Sci. Chem. Eng. 2018, 6, 11–58. [Google Scholar] [CrossRef]
- Masuelli, M.; Renard, D. Advances in Physicochemical Properties of Biopolymers (Part 2); Bentham Science Publishers: Abu Dhabi, United Arab Emirates, 2017. [Google Scholar]
- Masuelli, M.A.; García, M.G.; Marchese, J.; Ochoa, N.A. Development of dense films from Melia azedarach polysaccharides. J. Appl. Polym. Sci. 2015, 132, 41624. [Google Scholar]
- Yuan, L.; Wu, Y.; Qin, Y.; Yong, H.; Liu, J. Recent advances in the preparation, characterization and applications of locust bean gum-based films. J. Renew. Mater. 2020, 8, 1565–1579. [Google Scholar] [CrossRef]
- Go, E.-J.; Song, K.B. Capsosiphon fulvescens films containing persimmon (Diospyros kaki L.) leaf extract. Food Biosci. 2020, 37, 100723. [Google Scholar] [CrossRef]
- Yuan, D.; Meng, H.; Huang, Q.; Li, C.; Fu, X. Preparation and characterization of chitosan-based edible active films incorporated with Sargassum pallidum polysaccharides by ultrasound treatment. Int. J. Biol. Macromol. 2021, 183, 473–480. [Google Scholar] [CrossRef]
- Han, H.-S.; Song, K.B. Noni (Morinda citrifolia) fruit polysaccharide films containing blueberry (Vaccinium corymbosum) leaf extract as an antioxidant packaging material. Food Hydrocoll. 2021, 112, 106372. [Google Scholar] [CrossRef]
- Chambi, H.N.M.; da Costa, B.S.; de Lima, W.C.; Kassardjian, D.C. Fruit juices in polysaccharides edible films. Afr. J. Food Sci. 2020, 14, 53–62. [Google Scholar]
- Ruano, P.; Delgado, L.L.; Picco, S.; Villegas, L.; Tonelli, F.; Merlo, M.E.A.; Rigau, J.; Diaz, D.; Masuelli, M. Extraction and Characterization of Pectins from Peels of Criolla Oranges (Citrus sinensis): Experimental Reviews. In Pectins-Extraction, Purification, Characterization and Applications; INTECH Publishing: Rijeka, Croatia, 2020; pp. 1–45. [Google Scholar]
- Di Donato, P.; Taurisano, V.; Poli, A.; d’Ayala, G.G.; Nicolaus, B.; Malinconinco, M.; Santagata, G. Vegetable wastes derived polysaccharides as natural eco-friendly plasticizers of sodium alginate. Carbohydr. Polym. 2020, 229, 115427. [Google Scholar] [CrossRef]
- Eynard, C.; Galetto, L. Estructura floral y variabilidad intraespecífica de Geoffroea decorticans (Fabaceae). Darwiniana 1999, 37, 219–228. [Google Scholar]
- Eynard, C.; Galetto, L. Pollination ecology of Geoffroea decorticans (Fabaceae) in central Argentine dry forest. J. Arid Environ. 2002, 51, 79–88. [Google Scholar] [CrossRef]
- Orrabalis, C.J. Aprovechamiento Integral de los Frutos de Geoffroea decorticans (chañar), de la Región Fitogeográfica de la Provincia de Formosa. Ph.D. Thesis, Universidad Nacional de Cordoba, Cordoba, Argentina, 2014. [Google Scholar]
- Lismet Lazo, R.C.; Ciancia, M.; Matulewicz, C.; Auad, M.L.; Orrabalis, C.J.; Filippa, M.; Masuelli, M. Chañar gum (Geoffrea decorticans), in Gums, Resins and Latexes of Plant Origin; Murthy, H.N., Ed.; Springer: Berlin/Heidelberg, Germany, 2022. (in press)
- Zanon, M.; Masuelli, M. Purification and characterization of alcayota gum. Biopolym. Res. 2018, 2, 105. [Google Scholar]
- Stepto, R.; Chang, T.; Kratochvíl, P.; Hess, M.; Horie, K.; Sato, T.; Vohlidal, J. Definitions of terms relating to individual macromolecules, macromolecular assemblies, polymer solutions, and amorphous bulk polymers (IUPAC Recommendations 2014). Pure Appl. Chem. 2015, 87, 71–120. [Google Scholar] [CrossRef]
- Scudeler, C.G.D.S.; Costa, T.D.L.; Cortez-Vega, W.R.; Prentice, C.; Fonseca, G.G. Development and characterization of Nile tilapia (Oreochromis niloticus) protein isolate-based biopolymer films incorporated with essential oils and nanoclay. Food Packag. Shelf Life 2020, 25, 100542. [Google Scholar] [CrossRef]
- Deng, C.; Hu, Z.; Fu, H.; Hu, M.; Xu, X.; Chen, J. Chen, Chemical analysis and antioxidant activity in vitro of a β-D-glucan isolated from Dictyophora indusiate. Int. J. Biol. Macromol. 2012, 51, 70–75. [Google Scholar] [CrossRef]
- Du, X.; Mu, H.; Zhou, S.; Zhang, Y.; Zhu, X. Chemical analysis and antioxidant activity of polysaccharides extracted from Inonotus obliquus sclerotia. Int. J. Biol. Macromol. 2013, 62, 691–696. [Google Scholar] [CrossRef]
- Kaur, R.; Arora, S.; Singh, B. Antioxidant activity of the phenol rich fractions of leaves of Chukrasia tabularis A. Juss. Bioresour. Technol. 2008, 99, 7692–7698. [Google Scholar] [CrossRef]
- Ainsworth, E.A.; Gillespie, K.M.J.N.P. Estimation of total phenolic content and other oxidation substrates in plant tissues using Folin–Ciocalteu reagent. Nat. Protoc. 2007, 2, 875–877. [Google Scholar] [CrossRef]
- Masuelli, M.A. Dextrans in aqueous solution. Experimental review on intrinsic viscosity measurements and temperature effect. J. Polym. Biopolym. Phys. Chem. 2014, 1, 13–21. [Google Scholar]
- Torres, M.F.; Lazo Delgado, L.; Filippa, M.A.; Masuelli, M.A. Effect of temperature on Mark-Houwink-Kuhn-Sakurada (MHKS) parameters of chañar brea gum solutions. J. Polym. Biopolym. Phys. Chem. 2020, 8, 28–30. [Google Scholar]
- Masuelli, M.A. Hydrodynamic properties of whole arabic gum. Am. J. Food Sci. Technol. 2013, 1, 60–66. [Google Scholar]
- Tonelli, F.; Masuelli, M.A. Acacia caven gum studies of hydrodynamic parameters. Evol. Polym. Technol. J. 2019, 2, 180007. [Google Scholar]
- He, L.; Yan, X.; Liang, J.; Li, S.; He, H.; Xiong, Q.; Lai, X.; Hou, S.; Huang, S. Comparison of different extraction methods for polysaccharides from Dendrobium officinale stem. Carbohydr. Polym. 2018, 198, 101–108. [Google Scholar] [CrossRef]
- Lopez-Torrez, L.; Nigen, M.; Williams, P.; Doco, T.; Sanchez, C. Acacia senegal vs. Acacia seyal gums–Part 1: Composition and structure of hyperbranched plant exudates. Food Hydrocoll. 2015, 51, 41–53. [Google Scholar] [CrossRef]
- Boulet, J.; Williams, P.; Doco, T. A Fourier transform infrared spectroscopy study of wine polysaccharides. Carbohydr. Polym. 2007, 69, 79–85. [Google Scholar] [CrossRef]
- Bath, A.; Zscherp, C. What vibrations tell about proteins. Q. Rev. Biophys. 2002, 35, 369–430. [Google Scholar]
- Sene, C.; McCann, M.C.; Wilson, R.H.; Grinter, R. Grinter, Fourier-transform Raman and Fourier-transform infrared spectroscopy (an investigation of five higher plant cell walls and their components). Plant Physiol. 1994, 106, 1623–1631. [Google Scholar] [CrossRef]
- Kacurakova, M.; Capek, P.; Sasinkova, V.; Wellner, N.; Ebringerova, A. FT-IR study of plant cell wall model compounds: Pectic polysaccharides and hemicelluloses. Carbohydr. Polym. 2000, 43, 195–203. [Google Scholar] [CrossRef]
- Hejri, Z.; Seifkordi, A.A.; Ahmadpour, A.; Zebarjad, S.M.; Maskooki, A. Biodegradable starch/poly (vinyl alcohol) film reinforced with titanium dioxide nanoparticles. Int. J. Miner. Met. Mater. 2013, 20, 1001–1011. [Google Scholar] [CrossRef]
- Chatterjee, S.; Guha, A.K.; Chatterjee, B.P. Evaluation of quantity and quality of chitosan produce from Rhizopus oryzae by utilizing food product processing waste whey and molasses. J. Environ. Manag. 2019, 251, 109565. [Google Scholar] [CrossRef]
- Szóda, K.; Zsoldos, G.; Kollár, M.; Szabo, T. Biopolymer foil materials examination with DSC and TSD methods. Int. J. Environ. Agric. Res. 2016, 2, 21–28. [Google Scholar]
- Kaloustian, J.; El-Moselhy, T.; Portugal, H. Chemical and thermal analysis of the biopolymers in thyme (Thymus vulgaris). Thermochim. Acta 2003, 401, 77–86. [Google Scholar] [CrossRef]
- Gontard, N.; Duchez, C.; Cuq, J.-L.; Guilbert, S. Edible composite films of wheat gluten and lipids: Water vapour permeability and other physical properties. Int. J. Food Sci. Technol. 1994, 29, 39–50. [Google Scholar] [CrossRef]
- Chen, H.J. Functional properties and applications of edible films made of milk proteins. J. Dairy Sci. 1995, 78, 2563–2583. [Google Scholar] [CrossRef]
- Souza, V.C.; Monte, M.L.; de Pinto, L. Preparation of biopolymer film from chitosan modified with lipid fraction. Int. J. Food Sci. Technol. 2011, 46, 1856–1862. [Google Scholar] [CrossRef]
- Kurek, M.; Guinault, A.; Voilley, A.; Galić, K.; Debeaufort, F. Effect of relative humidity on carvacrol release and permeation properties of chitosan based films and coatings. Food Chem. 2014, 144, 9–17. [Google Scholar] [CrossRef]
- Aydogdu, A.; Kirtil, E.; Sumnu, G.; Oztop, M.H.; Aydogdu, Y. Utilization of lentil flour as a biopolymer source for the development of edible films. J. Appl. Polym. Sci. 2018, 135, 46356. [Google Scholar] [CrossRef]
- Pelissari, F.M.; Andrade-Mahecha, M.M.; do Amaral Sobral, P.J.; Menegalli, F.C. Comparative study on the properties of flour and starch films of plantain bananas (Musa paradisiaca). Food Hydrocoll. 2013, 30, 681–690. [Google Scholar] [CrossRef]
- Andrade, R.M.; Ferreira, M.S.; Gonçalves, É.C. Development and characterization of edible films based on fruit and vegetable residues. J. Food Sci. 2016, 81, E412–E418. [Google Scholar] [CrossRef]
- Yepes, O.O.; Jaramillo, C.M.; Guz, L.; Famá, L. Biodegradable and edible starch composites with fiber-rich lentil flour to use as food packaging. Starch-Stärke 2018, 70, 1700222. [Google Scholar] [CrossRef]
- Smith, S.A. Polyethylene, Low Density. In The Wiley Encyclopedia of Packaging Technology; Wiley: Hoboken, NJ, USA, 1986; pp. 514–523. [Google Scholar]
- Kozarski, M.; Klaus, A.; Nikšić, M.; Vrvic, M.; Todorović, N.; Jakovljević, D.; Van Griensven, L. Antioxidative activities and chemical characterization of polysaccharide extracts from the widely used mushrooms Ganoderma applanatum, Ganoderma lucidum, Lentinus edodes and Trametes versicolor. J. Food Compos. Anal. 2012, 26, 144–153. [Google Scholar] [CrossRef]
- Klaus, A.; Kozarski, M.; Niksic, M.; Jakovljevic, D.; Todorovic, N.; Van Griensven, L. Antioxidative activities and chemical characterization of polysaccharides extracted from the basidiomycete Schizophyllum commune. LWT-Food Sci. Technol. 2011, 44, 2005–2011. [Google Scholar] [CrossRef]














| Gum | [𝜂] (cm3/g) | νa/b | ῡ (cm3/g) | δ (g/g) | Mv (g/mol) | RH (nm) | [D] (cm3/g) |
|---|---|---|---|---|---|---|---|
| CHT | 69.2180 | 3.42 | 0.6023 | 23.32 | 3,074,000 | 60.2 | 69.6212 |
| CHA | 37.7351 | 2.80 | 0.6058 | 13.62 | 1,025,000 | 41.7 | 37.6252 |
| Bands Position | Associated Vibrations | Possible Assignation |
|---|---|---|
| 3428 cm−1 | ν(OH) | tensile vibration of hydroxyl groups. |
| 2926 cm−1 | ν(C−H) | C–H tensile vibration of sugar alkyl. |
| 1734 cm−1 | ν(C=O) | stretching vibration of C=O of uronic acids. |
| 1635 cm−1 | ν(C=O) | tensile vibration of C=O of uronic ester. |
| 1428 cm−1 | ν(C−O) | The tensile vibration peak of C−O appears in this wavenumber indicating that chañar Gum may contain carboxyl groups. |
| 1200–800 cm−1 | ν(C−O−C), ν(C−OH), etc. | corresponds to the carbohydrate fingerprint region. |
| Film | 2Θ (Degree) | dspacing (nm) |
|---|---|---|
| CHT | 20.24 | 25.0 |
| CHA | 21.58 | 23.4 |
| Membrane | Thickness (mm) | σ Max (MPa) | ε Max (%) | E (MPa) |
|---|---|---|---|---|
| CHT | 0.228 ± 0.01 | 5.4 ± 0.5 | 65 ± 9 | 2.8 ± 5 |
| CHA | 0.275 ± 0.01 | 2.2 ± 0.1 | 54 ± 7 | 5.30 ± 3.5 |
| Sample | L* | a* | b* | OP | Imagen Standard Colour |
|---|---|---|---|---|---|
| CHT | 16.83 ± 0.21 | 27.01 ± 0.39 | 14.84 ± 0.10 | 47.9 ± 3.9 | ![]() |
| CHA | 20.58 ± 1.20 | 22.42 ± 1.67 | 21.15 ± 0.76 | 35.7 ± 2.3 | ![]() |
| Polymer | WVP (ng m/m2 s Pa) | References |
|---|---|---|
| Chitosan | 0.345 | [71] |
| Lentil Flour | 0.245–0.352 | [72] |
| CHT | 0.27 ± 0.03 | - |
| CHA | 0.26 ± 0.02 | - |
| Banana Flour | 0.21 | [73] |
| Mixture of fruit and vegetable residue fluor | 0.165–0.20 | [74] |
| Starch-lentil flour | 0.161–0.187 | [75] |
| LDP | 0.0009 | [76] |
| Sample | Reducing Power | OH Scavenging | DPPH Scavenging | ||
|---|---|---|---|---|---|
| CHT | 0.14 | 27% | 46 mg/L Ascorbic Acid | 58% | 83 mg/L Ascorbic acid |
| CHA | - | 22% | 36 mg/L Ascorbic Acid | 46% | 66 mg/L Ascorbic acid |
Publisher’s Note: MDPI stays neutral with regard to jurisdictional claims in published maps and institutional affiliations. |
© 2022 by the authors. Licensee MDPI, Basel, Switzerland. This article is an open access article distributed under the terms and conditions of the Creative Commons Attribution (CC BY) license (https://creativecommons.org/licenses/by/4.0/).
Share and Cite
Lazo, L.; Melo, G.M.; Auad, M.L.; Filippa, M.; Masuelli, M.A. Synthesis and Characterization of Chanar Gum Films. Colloids Interfaces 2022, 6, 10. https://doi.org/10.3390/colloids6010010
Lazo L, Melo GM, Auad ML, Filippa M, Masuelli MA. Synthesis and Characterization of Chanar Gum Films. Colloids and Interfaces. 2022; 6(1):10. https://doi.org/10.3390/colloids6010010
Chicago/Turabian StyleLazo, Lismet, Gisela M. Melo, María Luján Auad, Mauricio Filippa, and Martin A. Masuelli. 2022. "Synthesis and Characterization of Chanar Gum Films" Colloids and Interfaces 6, no. 1: 10. https://doi.org/10.3390/colloids6010010
APA StyleLazo, L., Melo, G. M., Auad, M. L., Filippa, M., & Masuelli, M. A. (2022). Synthesis and Characterization of Chanar Gum Films. Colloids and Interfaces, 6(1), 10. https://doi.org/10.3390/colloids6010010



