Hydrodynamic Boundary Layers at Solid Wall—A Tool for Separation of Fine Solids
Abstract
1. Introduction
2. Interactions of Fine, Neutrally Buoyant Particles with BL at a Solid Wall
2.1. Theoretical Outline
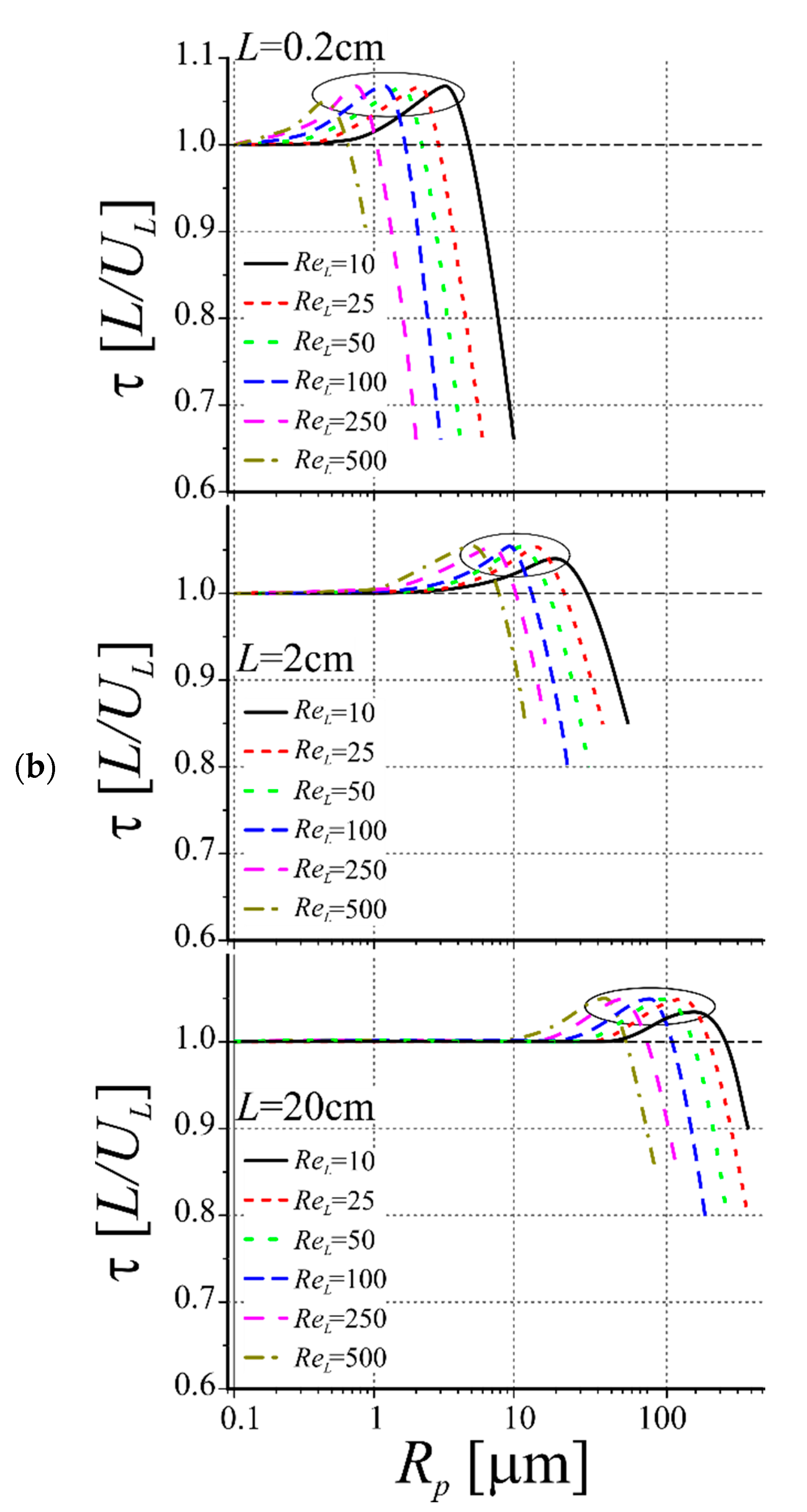
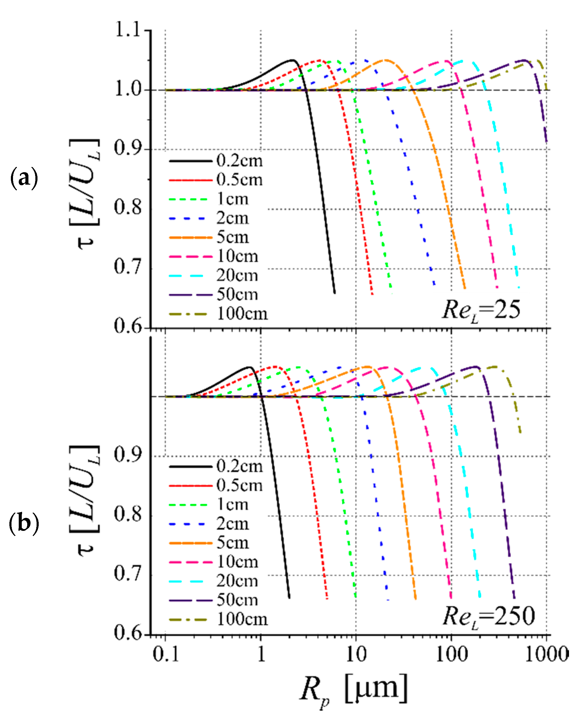
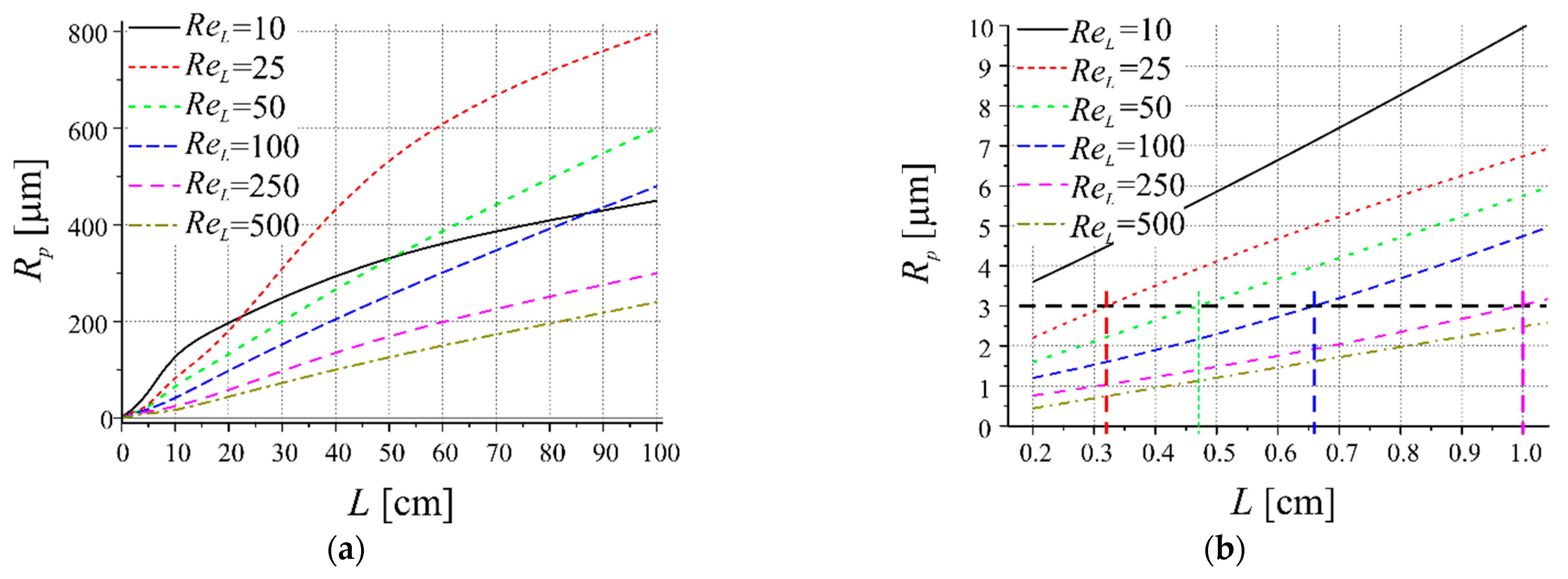
2.2. Numerical Results and Discussion
3. Gravity Effects
3.1. Theoretical Background
3.2. Numerical Results and Discussion
4. Conclusions
Funding
Data Availability Statement
Acknowledgments
Conflicts of Interest
References
- Deriaguin, B.V.; Dukhin, S.S.; Rulev, N.N. Microflotation; Chemistry: Moscow, Russia, 1986; pp. 6–59. (In Russian) [Google Scholar]
- Schulze, H.J. Hydrodynamics of bubble-mineral particle collisions. Miner. Process. Extr. Metall. 1989, 5, 43–76. [Google Scholar] [CrossRef]
- Mileva, E.; Nishkov, I. Entrainment of fine hydrophilic particles by granulometric separation. Int. J. Min. Proc. 1992, 36, 125–136. [Google Scholar] [CrossRef]
- Scheludko, A.; Varbanov, R.; Nishkov, R.; Nikolov, D. Available online: https://worldwide.espacenet.com/patent/search/family/003902452/publication/GB1553030A?q=Scheludko (accessed on 4 January 2021).
- Mileva, E. Solid particle in the boundary layer of a rising bubble. Colloid Polym. Sci. 1990, 268, 375–383. [Google Scholar] [CrossRef]
- Nikolov, L.; Mileva, E. Interaction of a solid particle with the boundary layer on a bubble. Colloids Surf. A Physicochem. Eng. Asp. 1998, 132, 81–93. [Google Scholar] [CrossRef]
- Mileva, E.; Nikolov, L. Disturbance flow field of particle inside the boundary layer on a rising bubble. Colloids Surf. A Physicochem. Eng. Asp. 1998, 132, 95–103. [Google Scholar] [CrossRef]
- Mileva, E.; Nikolov, L. Fine particle inside boundary layer on rising bubbles. Colloids Surf. A Physicochem. Eng. Asp. 2000, 168, 125–132. [Google Scholar] [CrossRef]
- Mileva, E.; Nikolov, L. Entrapment efficiencies of hydrodynamic boundary layers on rising bubbles. J. Colloid. Intref. Sci. 2003, 265, 310–319. [Google Scholar] [CrossRef]
- Nikolov, L. Hydrodynamic boundary layer at a rising air bubble and entrapment of fine solids: Gravity effects on particle–bubble interactions. J. Disper. Sci. Technol. 2018, 39, 341–348. [Google Scholar] [CrossRef]
- Schlichting, H. Grenzschicht-Theorie; Nauka: Moscow, Russia, 1974; pp. 132–141. (In Russian) [Google Scholar]
- Nikolov, L.; Mileva, E. Neutrally buoyant particle in the boundary layer at a plate. I. Viscous interaction. Colloid Polym. Sci. 1994, 272, 560–1566. [Google Scholar] [CrossRef]
- Nikolov, L.; Mileva, E. Neutrally buoyant particle in the boundary layer at a plate. II. Inertial effects. Colloid Polym. Sci. 1994, 272, 567–1575. [Google Scholar] [CrossRef]
- Mileva, E.; Nikolov, L. Disturbance flow field of a solid particle in a boundary layer along a plate. J. Disper. Sci. Technol. 1997, 18, 73–93. [Google Scholar] [CrossRef]
- Nikolov, L.; Mileva, E. Trajectories of fine particles in a boundary layer at a plate. J. Disper. Sci. Technol. 1997, 18, 95–109. [Google Scholar] [CrossRef]
- Brenner, H. Dynamics of Neutrally Buoyant Particles in Low Reynolds Number Flows. In Progress in Heat and Mass Transfer; Hetsroni, G., Sideman, S., Eds.; Pergamon Press: Oxford, UK; New York, NY, USA, 1972; Volume 6, pp. 509–574. [Google Scholar]
- van Dyke, M. Perturbation Methods in Fluid Mechanics; The Parabolic Press: Stanford, MA, USA, 1975; pp. 9–43. [Google Scholar]
- Fletcher, C.A.J. Computational Techniques for Fluid Dynamics 2, 2nd ed.; Springer: Berlin, Germany, 1988; pp. 1–46. [Google Scholar]
- Faxen, H. Der Widerstand gegen die Bewegung einer starren Kugel in einer zähen Flüssigkeit, die zwischen zwei parallelen ebenen Wänden eingeschlossen ist. Ann. Phys. 1922, 68, 89–95. [Google Scholar] [CrossRef]
- Faxen, H. Die Bewegung einer starren Kugel längs der Achse eines mit zäher Flüssigkeit gefüllten Rohres. Arkiv. Mat. Astron. Fysik. 1923, 17, 1–28. [Google Scholar]
- Happel, J.; Brenner, H. Low Reynolds Number Hydrodynamics; Mir: Moscow, Russia, 1976; pp. 84–90. (In Russian) [Google Scholar]
- Saffman, P.G.J. The lift on a small sphere in a slow shear flow. J. Fluid Mech. 1965, 22, 385–400. [Google Scholar] [CrossRef]
- Saffman, P.G.J. Corrigendum. J. Fluid Mech. 1968, 31, 624. [Google Scholar]
- Einav, S.; Lee, S. Particles migration in laminar boundary layer flow. Int. J. Multiph. Flow 1973, 1, 73–88. [Google Scholar] [CrossRef]
- Landau, L.D.; Lifshitz, E.M. Fluid Mechanics, 2nd ed.; Pergamon Press: Oxford, UK, 1987; pp. 44–49. [Google Scholar]












| L = 0.2 cm | L = 0.5 cm | L = 1 cm | L = 2 cm | L = 5 cm | L = 10 cm | L = 20 cm | L = 50 cm | L = 100 cm | |
|---|---|---|---|---|---|---|---|---|---|
| ReL | Rp (μm) | Rp (μm) | Rp (μm) | Rp (μm) | Rp (μm) | Rp (μm) | Rp (μm) | Rp (μm) | Rp (μm) |
| 10 | 112 | 281 | 562 | 1125 | 2812 | 5623 | 11247 | 28117 | 56234 |
| 25 | 36 | 89 | 179 | 358 | 894 | 1789 | 3578 | 8944 | 17889 |
| 50 | 15 | 38 | 75 | 150 | 367 | 752 | 1504 | 3761 | 7521 |
| 100 | 6 | 16 | 32 | 63 | 158 | 316 | 632 | 1581 | 3162 |
| 250 | 2 | 5 | 10 | 20 | 50 | 101 | 201 | 503 | 1006 |
| 500 | 1 | 2 | 4 | 8 | 21 | 42 | 85 | 211 | 423 |
| L = 0.2 cm | L = 0.5 cm | L = 1.0 cm | L = 2.0 cm | |||||
|---|---|---|---|---|---|---|---|---|
| ReL | Rp (μm) | Rp (μm) | Rp (μm) | Rp (μm) | ||||
| 10 | 112 | 0.0018 | 281 | 0.00012 | 562 | 0.000015 | 1125 | 0.000002 |
| 25 | 36 | 0.007 | 89 | 0.00046 | 179 | 0.00006 | 358 | 0.000007 |
| 50 | 15 | 0.002 | 38 | 0.0013 | 75 | 0.00016 | 150 | 0.00002 |
| 100 | 6 | 0.006 | 16 | 0.004 | 32 | 0.0005 | 63 | 0.00006 |
| 250 | 2 | 0.23 | 5 | 0.015 | 10 | 0.0018 | 20 | 0.0002 |
| 500 | 1 | 0.64 | 2 | 0.04 | 4 | 0.005 | 8 | 0.0006 |
Publisher’s Note: MDPI stays neutral with regard to jurisdictional claims in published maps and institutional affiliations. |
© 2021 by the author. Licensee MDPI, Basel, Switzerland. This article is an open access article distributed under the terms and conditions of the Creative Commons Attribution (CC BY) license (http://creativecommons.org/licenses/by/4.0/).
Share and Cite
Nikolov, L. Hydrodynamic Boundary Layers at Solid Wall—A Tool for Separation of Fine Solids. Colloids Interfaces 2021, 5, 11. https://doi.org/10.3390/colloids5010011
Nikolov L. Hydrodynamic Boundary Layers at Solid Wall—A Tool for Separation of Fine Solids. Colloids and Interfaces. 2021; 5(1):11. https://doi.org/10.3390/colloids5010011
Chicago/Turabian StyleNikolov, Ljubomir. 2021. "Hydrodynamic Boundary Layers at Solid Wall—A Tool for Separation of Fine Solids" Colloids and Interfaces 5, no. 1: 11. https://doi.org/10.3390/colloids5010011
APA StyleNikolov, L. (2021). Hydrodynamic Boundary Layers at Solid Wall—A Tool for Separation of Fine Solids. Colloids and Interfaces, 5(1), 11. https://doi.org/10.3390/colloids5010011
