Next Article in Journal
Book Review: Emulsions: From Single Interfaces to Applications; Miller, R., Guzmán-Solís, E., Eds.; CRC Press: Boca Raton, FL, USA, 2025; ISBN: 978-1-032-63610-8
Previous Article in Journal
Utilization of a Bioinformatic Approach to Identify Emulsifying Peptides Embedded in Brewers’ Spent Grain Proteins and Characterization of Their Emulsifying Properties
 
 
Font Type:
Arial Georgia Verdana
Font Size:
Aa Aa Aa
Line Spacing:
Column Width:
Background:
Article

Structure–Function Effect of Heat Treatment on the Interfacial and Foaming Properties of Mixed Whey Protein Isolate/Persian Gum (Amygdalus scoparia Spach) Solutions

by
Elham Ommat Mohammadi
1,2,
Samira Yeganehzad
1,*,
Regine von Klitzing
2,
Reinhard Miller
2 and
Emanuel Schneck
2
1
Research Institute of Food Science and Technology (RIFST), Mashhad 9185176933, Iran
2
Institute for Condensed Matter Physics, Technical University Darmstadt, 64289 Darmstadt, Germany
*
Author to whom correspondence should be addressed.
Colloids Interfaces 2026, 10(1), 2; https://doi.org/10.3390/colloids10010002
Submission received: 15 November 2025 / Revised: 8 December 2025 / Accepted: 9 December 2025 / Published: 22 December 2025
(This article belongs to the Section Interfacial Properties)

Abstract

This study aimed to elucidate the impact of Persian Gum (PG; Amygdalus scoparia Spach) on the heat-induced aggregation and interfacial behavior of whey protein isolate (WPI). To achieve this, pure WPI and mixed WPI-PG systems were subjected to thermal treatments between 25 and 85 °C, and their structural and functional changes were characterized using fluorescence spectroscopy, UV-vis absorption, turbidity and bulk viscosity measurements, interfacial shear and dilatational rheology, and foaming assessments. The presence of PG altered the aggregation pathway of WPI in a temperature-dependent manner, producing smaller, more soluble complexes with lower turbidity, particularly at higher temperatures. Both pure WPI and WPI-PG mixtures exhibited increased surface hydrophobicity upon heating; however, PG generally reduced the dilatational elastic modulus except at 85 °C, where the mixed system showed a higher modulus than WPI alone. In contrast, the interfacial shear modulus increased over time in all samples, with consistently higher values observed for WPI-PG mixtures at both 25 °C and 85 °C. Notably, three complementary methods were employed to evaluate foaming properties and interfacial behavior in this study, revealing that factors such as concentration, measurement time, and methodological approach strongly influence the observed responses, highlighting the complexity of interpreting protein-polysaccharide interactions. The ability of PG to modulate WPI unfolding and limit the formation of large aggregates during heating demonstrates a previously unreported mechanism by which PG tailors heat-induced protein network formation. These findings underscore the potential of Persian Gum as a functional polysaccharide for designing heat-treated food systems with controlled aggregation behavior and optimized interfacial performance.

1. Introduction

Polysaccharides and proteins are commonly used as biopolymer ingredients in food and pharmaceutical applications. They act as emulsifiers, stabilizers, and thickeners, and form new textures. The addition of polysaccharides can help the proteins to stay stable when exposed to environmental and processing conditions like ionic strength, pH, and heat processing [1]. Protein-polysaccharide mixtures are also often used to form foams or emulsions and for applications in biological engineering, cosmetics, and pharmaceutics [2,3]. Examples include edible films, encapsulation and protection of chemically labile bioactive agents, such as flavors, essential oils [4], vitamins [5], fat replacements [6,7], and the creation of unique semi-solid food products like electrostatic gel films [8,9]. Electrostatically stabilized complexes of proteins and oppositely charged polysaccharides have specific characteristics that depend on the type of interactions and biopolymers used. Functions include emulsification and foaming with mixed solutions [10,11]. Therefore, understanding how molecules interact is important for controlling food texture and structure.
Whey proteins—like many other proteins—can affect the surface behavior and thereby promote gelling and foaming [12] and is a broadly used food ingredient. They denature in aqueous media after heat treatment and agglomerate irreversibly or aggregate reversibly, creating particles with a size ranging from nanometers to several micrometers in size. These particles can adsorb at surfaces and make foams or emulsions more stable through a process known as the Pickering mechanism [13]. In other words, heat treatment can change the physical and chemical characteristics of WPI, and the resulting particles have various characteristics regarding their shape, size, stability, surface hydrophobicity, flexibility, and structure. These characteristics, in turn, also affect WPS’s interfacial activity and capacity to form adsorption layers at the air/water interface. The ensuing foaming properties are eventually manifested also in the texture and other properties of the resulting food products.
The effects of heat treatment on the structural and functional properties of whey proteins have been intensively investigated, especially for its major component, beta-lactoglobulin (BLG) [14,15,16]. It has been shown that the ratio of native molecules to aggregated proteins affects the foamability [17]. Native proteins contribute to the generation of foam while aggregated molecules can enhance the foam stability. It has also been observed that the degree of protein denaturation and the physical features of the aggregates affect the foam behavior. The aggregates influence the surface layer properties, including surface elasticity, viscosity, and water retention [18,19,20].
The functionality (emulsification, foamability foam stability, and gelling/thickening) can be further enhanced and balanced through synergistic interactions with surface-active or non-surface-active polysaccharides [21,22,23]. Polysaccharides are assumed to form a network in the continuous phase, resulting in an increased solution stability and a reduction in phase separation and creaming [24,25].
The formation of protein-polysaccharide aggregate particles by heat treatment is controlled by various factors including temperature, heating rate, protein-to-polysaccharide ratio, and the sequence of mixing the biopolymers. In the presence of polysaccharides, proteins adsorb at interfaces in different ways, depending on the process conditions such as pH and ion strength. When the pH is far from the isoelectric point (IEP) of the protein, the protein and polysaccharide can segregate. This separation can change the structure in the bulk and at the interface [26,27]. Proteins can form soluble complexes with anionic polysaccharides even at high pH levels when repulsive interactions between protein and polysaccharide are dominant [22,28]. However, when polysaccharides are present, the prediction of the thermal denaturation and aggregation of proteins is not simple.
The present investigations are focused on the physicochemical and interfacial properties of WPI in the presence of the polysaccharide Persian Gum (PG). We investigate the influence of PG during the heating processes at different temperatures on the aggregation and the denaturation of WPI and on its impact on the subsequent interfacial layer properties and foaming behavior.
Persian Gum (Amygdalus scoparia spach) is one of the main components in the majority of conventional Persian herbal treatments and is well-known for its medical properties, which include boosting the appetite, reducing mucous, and providing pain relief for joints and toothaches [29,30,31]. Numerous studies have been conducted to explore the physicochemical, functional, and structural features of PG because of its unique properties. The molecular weight has been determined to be around 106 Da with a polydispersity index PDI of 1.04–4.05. PG is composed of galactose (1 → 3-linked β-D-galactopyranose) and rhamnose, as the backbone with (1 → 6)-linked β-D-Galp and (1 → 3)-linked α-L-arabinofuranose as the branches [32]. According to earlier studies [33], PG can produce edible films, stabilize emulsion systems, modify the textural and rheological properties of low-fat yogurt, and replace gelatin in pastilles.
Although numerous studies have investigated protein-polysaccharide interactions, limited information is available on how Persian Gum (PG) specifically influences the heat-induced aggregation behavior of whey protein isolate (WPI) and the resulting interfacial and functional properties. This gap is particularly relevant for food systems formulated with relatively high biopolymer concentrations, where thermal processing plays a critical role in determining product stability.
Therefore, the objectives of the present work were as follows:
(1) Elucidate how PG modifies the heat-induced aggregation mechanisms of WPI and the structural characteristics of the resulting adsorption layers; (2) assess the influence of different heat-treatment temperatures on the stability and performance of the produced foams; (3) provide fundamental insights into the role of polysaccharides in governing protein denaturation and aggregation under thermal processing conditions.
The study focused on comparatively high concentrations of both WPI and PG to ensure relevance to real food dispersion applications, where such levels are commonly used to achieve desirable texture and stability.

2. Materials and Methods

Persian Gum originates from wild almond (Amygdalus scoparia spach) trees in the woodlands of the Fars province, Iran, and was provided by a local supplier (Shiraz, Iran) in its intact state, i.e., as dry white lumps. The materials were preserved in sealed polypropylene jars after being crushed and sieved into homogeneous particles with diameters around 500 μm. The chemical composition of powdered PG was determined to comprise 9.7 ± 0.1% moisture, 1.02% protein (0.16 ± 0.02% nitrogen), 1.7 ± 0.1% ash, and 87.7% carbohydrate. The amount of fat was negligible.
Commercial WPI, containing 92% protein, was supplied from Ingredia Co. (Arras, France) in a commercial grade. All other chemicals were of analytical grade and purchased from Merck (Darmstadt, Germany).

2.1. Preparation of Aqueous Solutions

Firstly, the white PG granules were washed with ethanol and then ground to 250 µm size. A PG dispersion at a concentration of 30 mg/mL (3 wt%) was then prepared in deionized water and stored overnight. It was then centrifuged at 20,000× g for 20 min to remove the insoluble fractions. The soluble fraction was dried in an oven at 45 °C and then ground again. From this material, a solution of 10 mg/mL was prepared in phosphate buffer (0.01 M at pH 7.2) as stock solution.
WPI solutions of 20 mg/mL were prepared in phosphate buffer (0.01 M, pH 7.2), agitated at 250 rpm for two hours, and kept in a refrigerator overnight. Mixed WPI and PG solutions of a 10 mg/mL total concentration at a WPI: PG mixing ratio of 4:1 (0.8:0.2) in phosphate buffer (pH 7.2. 0.01 M) were then prepared from the stock solutions and stirred for 30 min at 150 rpm.
Diluted solutions were kept at temperatures of 25, 45, 65, or 85 °C in closed tubes for 30 min using a convection bath and then quickly cooled down to room temperature in ice-water [13].

2.2. Turbidity Measurement

The turbidities of solutions of WPI/PG and WPI after heat treatment were determined by evaluating the absorbance at 500 nm, using a UV-Vis spectrometer (Perkin Elmer Lambda 650-UV-Vis spectrophotometer, Shelton, CT, USA) [34]. Before performing the measurements, the solutions were diluted to 0.1 mg/mL in order to reduce the absorbance to below 1 absorbance unit [35].

2.3. DLS and Zeta-Potential Measurements

A Nano-ZS Zetasizer (Malvern Instruments, Malvern, UK) was used to measure the zeta-potential in 0.1 mg/mL solutions of WPI and WPI/PG according to the Smoluchowski equation [36,37]. The average hydrodynamic radius of the aggregates was deduced from a cumulant analysis of the scattering intensity autocorrelation function.

2.4. Measurements of the Dynamic Surface Tension and Surface Dilatational Rheology

A dynamic pendant drop tensiometer (PAT1, SINTERFACE Technologies, Berlin, Germany) was used to measure the dynamic surface tension and surface dilatational visco-elasticity of WPI and WPI/PG solutions. The dynamic surface tensions were measured in the time range between seconds after surface formation and three hours of surface aging [38,39]. The equilibrium surface tension was obtained after 3 h (10,800 s), a period assumed to be sufficient for equilibration as surface tension remained stable over time, with a variation of less than 0.1 mN/m. The surface dilatational modulus (E) was measured with solutions of 0.01 mg/mL with an oscillating drop at a deformation amplitude of ΔA/A = 7% and frequencies of 0.005, 0.01, 0.02, 0.04, 0.06, 0.1, and 0.2 Hz. Six cycles of the sinusoidal oscillation and 50 s pause between each frequency were used. The time dependence of the elastic modulus was measured at a constant frequency of 0.16 Hz. All measurements were performed at least twice. The surface pressure was determined as Π = γ0 − γ, where γ0 and γ are the measured surface tension values of the pure buffer solution (72.5 ± 0.1 mN/m at 21 °C) and of the WPI or WPI/PG solutions, respectively. All measurements were conducted at a controlled temperature of 20 ± 1 °C after the sample’s heat treatment at a given temperature.

2.5. Interfacial Shear Rheology at the Air/Water Surface

Interfacial shear rheology measurements of WPI and WPI/PG solutions were carried out with an MCR702 stress–strain control rheometer (Rheocompass, Anton Paar, Germany) with a bi-cone measuring body (BI-68.5 type, 5° cone angle, 68.235 mm disk diameter, cup inner diameter 80 mm, cup height 45 mm) placed at the air/water surface [40]. The details of the setup used are described elsewhere [41,42].
Before starting the measurements, the sample chamber and the bi-cone probe were cleaned thoroughly with water, ethanol, and again with water. In the empty cell, the zero-gap position in the vertical direction was identified. Then, after adjusting the motor to reduce noise and enable accurate measurements for the torque values as low as 0.1 Nm, the inertia and torque of the motor at a 7 mm gap were verified. The surface layers were generated via adsorption from the aqueous bulk phase. WPI or mixed WPI/PG solutions were diluted to the desired concentration for the measurements. A solution volume of 37 mL was poured into the cup (lower fluid level) and let rest for 3 h to reach an adsorption equilibrium. The bi-cone was then positioned at the air/water surface and the measurements were started after 1 h.
Before starting the measurements, pure WPI or mixed WPI/PG solutions were left to adsorb for 12 h under static conditions. To determine the region of linear response, a strain amplitude sweep from 0.01 to 100% at a constant frequency of 0.1 Hz was performed throughout ≈ 2 h after 12 h aging time.
Then, the sample was replaced by a new one and a new surface was created as previously described. During the process of the adsorbed layer formation, a time sweep was performed with small amplitude oscillations (strain) of 0.1% in the linear range and at a fixed frequency of 1 Hz. The surface elastic and viscous moduli (G′ and G″) were monitored over a 12 h period. This extended duration was selected because the evolution of G′ was slow and required long measurement times to approach a steady state. After approximately 10–12 h, both G′ and G″ showed minimal change (less than 0.01% variation over the final hour), indicating that the interfacial adsorption layer had reached a quasi-equilibrium condition. Therefore, the values recorded at 12 h were taken to represent the equilibrium state of the adsorption layers. After 1 h of rest, the frequency sweep was performed between 0.01 and 1 Hz, at a constant strain of 0.1%.

2.6. Bulk Viscosity Measurements

Viscosity measurements of all solutions were performed in a controlled-stress MCR702 rheometer (Anton Paar, Rheocompass, Germany) with a double-gap cylinder geometry, which is preferably devised for the measurement of low-viscosity liquids and shear rates in the range from 1/s to 1000/s.

2.7. Measurements of the Hydrophobicity of Aggregated Proteins

Conformational changes in WPI solutions because of the heat treatment and the addition of PG were monitored with spectra of the intrinsic fluorescence of tryptophan (Trp) using a spectrofluorometer (STB-25R-Faratel).
The quantum yield of Trp within the protein interior is substantially lower than in polar aqueous environments, which is caused by energy transfer and quenching phenomena. As a result, a strong Trp intrinsic fluorescence is in line with the exposure of hydrophobic Trp to the protein surface, such that the proteins exhibit a more hydrophobic character [43]. A series of dilutions from 0.02 to 0.1% (0.2 to 1 mg/mL) of WPI was prepared with phosphate buffer solution to choose the desired protein concentration with a fluorescence intensity between 100 and 1000 arbitrary units (a.u.) measured at an excitation wavelength of 295 nm. At a sample concentration of 0.5 mg/mL, the fluorescence intensity was calculated as a function of the emission wavelength of the protein between 285 and 450 nm. The analysis of the spectra yields the maximum emission fluorescence intensity (FITrp) and the wavelength corresponding to this maximum (λTrp).

2.8. Foam Properties

A Foam-Scan device from TECLIS (Civrieux-d’Azergues, France) was used to investigate the foam properties of the WPI and WPI/PG solutions as described earlier [44]. A glass column (round tube with a height of 250 mm and an inner diameter of 30 mm) with a porous glass filter (porosity 3; i.e., pore diameter: 16–40 µm) was used for these measurements. The column was equipped with four electrode cells for measuring the conductivity, and with four glass prisms on the flat side of the column wall for taking pictures of the foam by a CCD camera [45,46]. The foaming properties were determined by measuring the specific electric conductivity Cf and the volume of foam (Vf) and liquid as a function of time. The foam was produced in two different procedures. Nitrogen gas was injected into 10 mg/mL solutions at a flow rate of 200 mL/min for 60 s, and into 5 mg/mL solutions at a flow rate of 100 mL/min for 100 s. The bubble size distribution was then analyzed via photos taken at the prism. The foam volume Vf was measured in real-time by image analysis whereas the liquid fraction of foam and liquid volume in the foam column were determined via the conductivity electrodes compared with image analysis. The foamability was quantified by measuring the final foam volume V f f i n and final foam conductivity   C f f i n . The foam stability was determined by plotting the liquid volume (mL) of foam during the time of foam decay, and the foam half-lifetime (t1/2) was the time required to reduce the volume to half of its initial value. We also measured the half-life-time with respect to the foam conductivity ( t 1 / 2   C ) , and liquid volume ( t 1 / 2 L ), respectively.

2.9. Image Analysis: Foam Bubble Size Distribution

The photos of the foam were taken after 100 s of foaming. All pictures were captured with a CCD video camera (USB2, 744 × 480, 76 fps) and a lens with a 2.9/8.2 mm focal length. The pictures were digitized with the FOAMSCAN™ Software control measurement parameters.

2.10. Data Analysis

All experiments in this study were conducted in at least three replicates, and the results are presented as mean values ± standard deviation. Statistical analysis and comparison of means were performed using one-way ANOVA followed by Tukey’s post hoc test at a 95% confidence level (p ≤ 0.05), utilizing Minitab software version 19. An exception was made for the particle aggregation size measurements, for which averaging was not performed due to the high distribution error and large standard deviation. All graphs were generated using Microsoft Excel 2013.

3. Results and Discussion

3.1. Influence of WPI/PG Interactions on Heat-Induced Protein Aggregation

First, we explored the effect of PG at different heat treatment temperatures on the structural and conformational characteristics of WPI by measuring the size and polydispersity of aggregates, solution turbidity, i.e., the absorbance at 500 nm, and ζ-potential in pure WPI and mixed WPI/PG solutions. Table 1 shows that for pure WPI solutions both the aggregate size and the absorbance increase with heat treatment from ~100 nm and ~0.1 nm, respectively, at 25 °C to ~300 nm and ~0.15 nm, respectively, at the higher temperatures (45–85 °C). Native dimers of BLG reversibly dissociate into native/modified monomers (Tanford transition [47]) at temperatures up to 60 °C and pH values above 6.5. However, studies reported that at high BLG concentrations, the native dimer configuration changes directly and irreversibly into a molten globule form [48]. Therefore, after cooling the conformational changes remain. A structure known as the “molten globule state” is generated by conformational changes resulting from the irreversible alterations of the monomers at temperatures between 60 and 70 °C [49]. The slight increase in the aggregate size seen after heating up to 65 °C might be attributed to this type of conformation. Through thiol/disulfide exchange reactions, BLG monomers are known to interact covalently with each other and the other whey proteins, primarily BSA and α-lactalbumin, as the temperature further increases (75–85 °C) [50].
The interaction between proteins and polysaccharides in colloidal systems often affects turbidity by modifying aggregate size and structure [51,52]. In the present study, mixing PG with WPI did not produce substantial differences in turbidity; however, distinct changes in aggregate size were observed. At 25 °C, the addition of PG resulted in a doubling of aggregate size, whereas at elevated temperatures the mixed WPI/PG system formed aggregates smaller than those of pure WPI.
This behavior can be explained by considering the nature of the WPI-PG interactions and how they evolve with temperature. Despite both biopolymers carrying net negative charges at the studied pH, PG has been shown to interact selectively with positively charged patches on whey proteins even above their isoelectric point [53,54]. At 25 °C, these localized attractive interactions can promote the formation of larger, loosely connected complexes, consistent with the observed increase in aggregate size.
At higher temperatures, however, protein unfolding exposes hydrophobic regions and reactive groups that drive strong protein–protein aggregation in pure WPI systems. In the presence of PG, these unfolded proteins are partially shielded or sterically hindered by the polysaccharide chains. PG can adsorb onto protein surfaces or form transient complexes that reduce the probability of direct protein–protein contacts, thereby suppressing extensive aggregation. As a result, despite thermally induced unfolding, mixed WPI/PG systems produce smaller and more soluble aggregates, which is consistent with the low turbidity values measured at elevated temperatures.
Thus, the observed behavior arises from a temperature-dependent balance between (i) local electrostatic attraction between PG and positively charged protein patches and (ii) steric and hydration effects that limit protein–protein aggregation during thermal unfolding. This explains why PG increases aggregate size at low temperature but inhibits large aggregate formation at high temperatures.
The ζ-potential of the PG is −32 ± 2 mV, which agrees with the literature values. The ζ-potential of the WPI aggregates is about −26 mV irrespective of the temperature and changes hardly after adding PG (Table 1). However, a strong electrostatic repulsion between WPI and PG molecules, which results from their comparatively high negative charges, restricts any strong interactions. In this pH range (7.2), the attractive interactions between polysaccharide and protein molecules can be assumed to be very limited.

3.2. Influence of WPI/PG Interactions on Intrinsic Fluorescence

To analyze the effect of heating on the conformation of WPI, the surface exposure of hydrophobic residues was investigated from the tryptophan fluorescence (see Methods section).
The fluorescence spectra of pure WPI and mixed WPI/PG solutions at 0.5 mg/mL WPI are presented in Figure 1A and Figure 1B, respectively. The fluorescence spectrum of pure WPI at 25 °C is consistent with findings reported in previous studies [55,56].
Increasing temperature results in an irreversible increase in hydrophobicity for both pure WPI and mixed WPI/PG solutions, as seen from the increase in the fluorescence intensity with increasing temperature. In pure WPI, heat treatment leads to irreversible conformational changes already at 45 °C [57]. Our results are in line with an earlier study, which reported that the exposure of Trp to 70 °C at pH ˃ 7, due to the presence of OH ions, is irreversible [58]. The conformational changes in monomers at 25 °C and 45 °C (i.e., below 60 °C), were reported to contribute to the availability of thiol groups (Cys) [47] and also carboxyl groups (Glu) while they are hidden in the interior of the native protein.
A similar trend is observed in the WPI/PG mixture, where the fluorescence intensity also increases with temperature (Figure 1B). At some temperatures (25 °C and 65 °C), the maximum intensity is lower for WPI/PG than for WPI, suggesting that the PG may reduce protein unfolding and the exposure of Trp residues. Such hydrophobicity reduction is in agreement with the results of a previous study on mixtures of polysaccharides and whey proteins in solution [59].
It has been demonstrated that tryptophan, when fully exposed to a hydrophilic environment, exhibits a maximum emission wavelength λmax at approximately 350 nm [60,61]. It is interesting that even in its native form WPI (at 25 °C) is not fully folded. Both WPI in pure or mixed solutions show a shift in λmax (Figure 1A,B). The recorded values λmax = 338 nm in both pure WPI and mixed systems at 85 °C, compared to λmax = 330 nm at other temperatures, indicate a change in the position of the tryptophan residues towards a relatively more hydrophilic surrounding (Table S1 in Supplementary File).

3.3. Dynamic Interfacial Properties of Mixed WPI/PG Solutions

The adsorption of WPI with and without PG at the air/water surface was investigated via time-dependent surface tension measurements and with surface dilatational rheology. The kinetics of protein adsorption at short adsorption times are relevant to predict the foam formation (foamability) while at long adsorption times, they are relevant for the foam stability [62]. Figure 2A presents the time evolution of the surface tension of WPI solutions with and without PG, and Figure 2B shows the equilibrium surface pressure (Πeq) of solutions after 180 min adsorption time.
Increasing the temperature accelerates the kinetics of protein adsorption at short adsorption times (Figure 2C,D) and increases the surface pressure at longer adsorption times (Figure 2A,B). Faster adsorption kinetics allow proteins to reach and cover the newly formed air–water interface more rapidly during foam formation, which generally enhances foamability. Likewise, higher surface pressure at equilibrium is associated with the formation of more cohesive and viscoelastic interfacial layers, which contributes to improved foam stability. These observations are consistent with previous reports showing that heating increases the surface pressure and strengthens the viscoelastic properties of WPI adsorption layers [61].
The addition of PG does not significantly affect the equilibrium surface pressure (Figure 2B), although at 65 °C the mixed WPI/PG system exhibits slightly lower values than pure WPI. However, PG clearly influences the early stages of adsorption by slowing the initial adsorption kinetics. While smaller protein aggregates are formed in the presence of PG, which would normally enhance diffusion, the overall diffusion of proteins toward the interface is likely hindered by the increase in bulk viscosity.
Moreover, PG is highly hydrophilic and lacks surface activity, so its presence near the interface can reduce the effective mobility and surface activity of WPI through protein-polysaccharide interactions.
This reduction in adsorption rate ( d Π / d t ) has direct implications for foam formation: slower protein adsorption delays the stabilization of newly created bubbles, which can reduce foamability. Similarly, weaker or slower-forming interfacial layers may compromise foam stability, even if the final equilibrium surface pressure remains mostly unchanged. Thus, the interplay between adsorption kinetics, interfacial layer formation, and bulk viscosity explains the observed effects of PG on the foaming behavior of WPI systems.
Alternatively, one may speculate that WPI aggregation induced by the added PG reduces the effective concentration of isolated WPI molecules available for rapid adsorption at the air/water surface [38]. The reduced hydrophobicity of WPI in the presence of PG (Figure 1B) is consistent with this observation.
The short time adsorption behavior, represented in Figure 2C,D, shows that WPI heated at higher temperatures adsorbs faster at the surface as compared to WPI treated at lower temperatures. However, the induction time, which is the period of time during which the surface pressure remains zero, is longer for WPI treated at higher temperatures. This is in line with the hypothesis made in a study by Zhu and Damodaran [17] that the native species of protein would adsorb first at the surface, whereas aggregated proteins (induced by heating) would adsorb thereafter.

3.4. Interfacial Dilatational Rheology

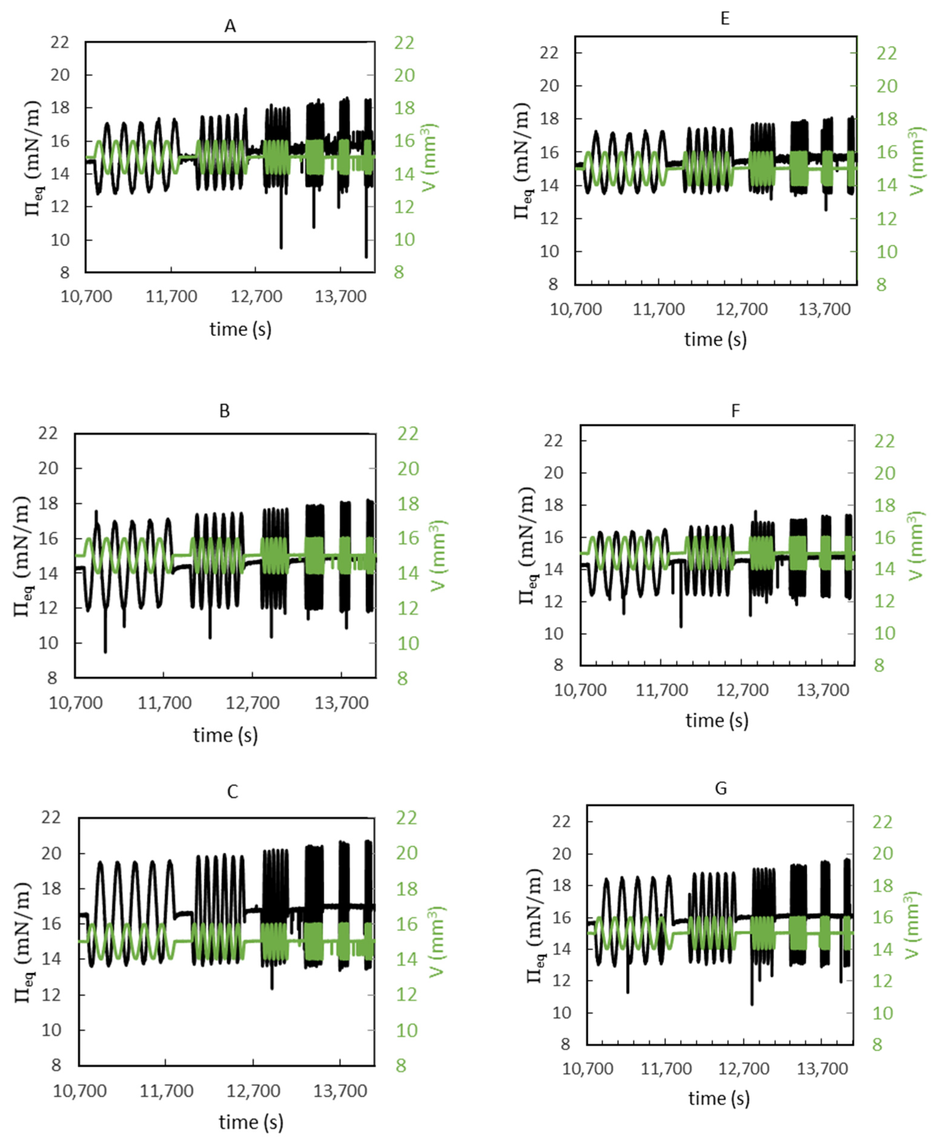
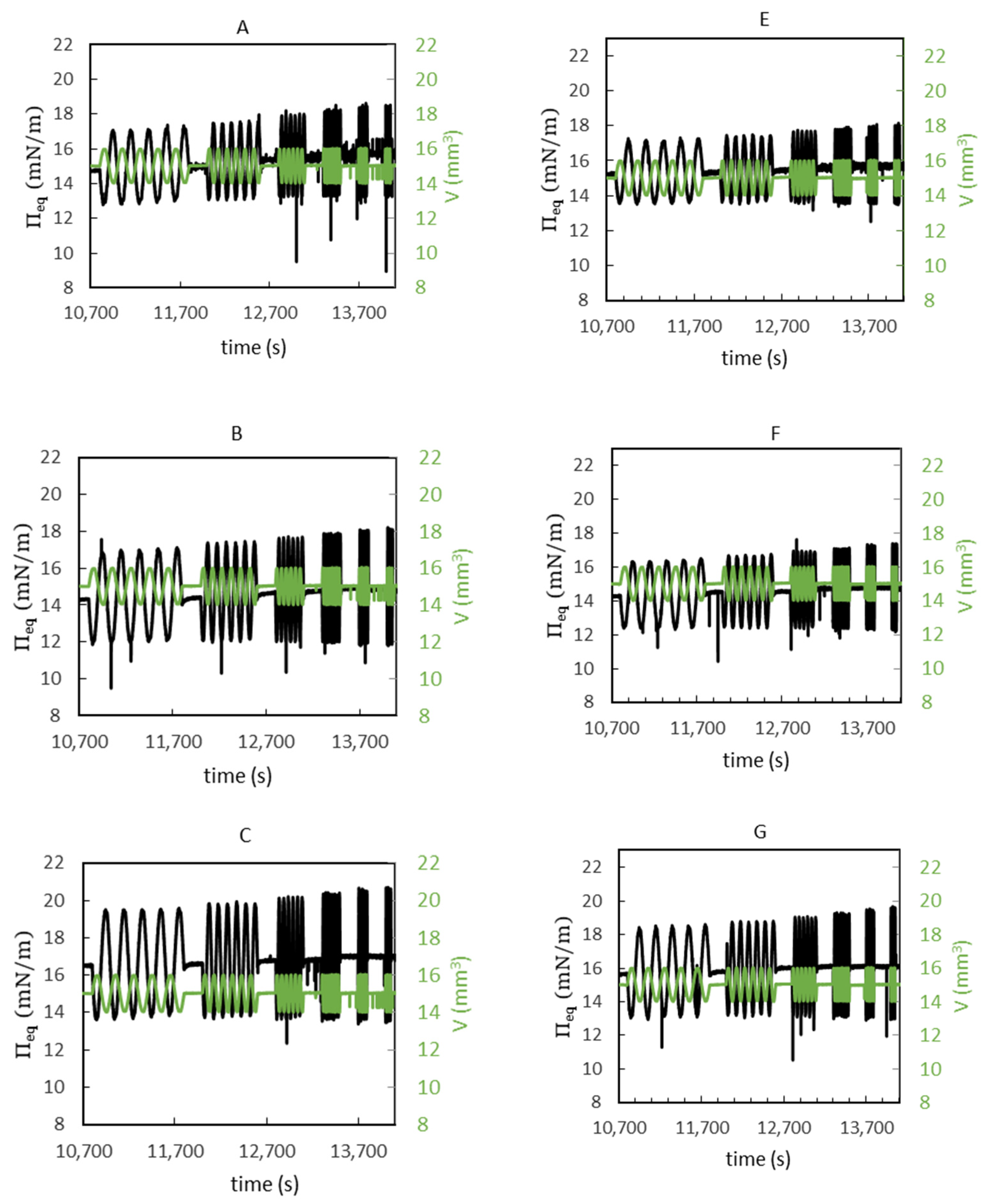
Figure 3A–H shows the surface pressure response to the sinusoidal volume changes (15 ± 1 μL) at six frequencies applied sequentially.
The increase in surface pressure observed in the oscillating drop frequency test indicates the influence of flow-induced effects on surface protein rearrangement and the formation of more relaxed interfacial structure. This effect becomes more pronounced at elevated temperatures, where both WPI and mixed WPI/PG solutions treated at higher temperatures, leads to higher surface pressure amplitudes. The enhanced structural flexibility of proteins at higher temperatures makes them more responsive to dynamic interfacial stresses, resulting in increased surface pressure during oscillation. However, the overall surface pressure of WPI in the presence of Persian Gum was lower compared to pure WPI, suggesting possible interactions between the gum and protein that may reduce protein flexibility at the interface. This corresponds to a higher value of the elastic modulus (see Figure 4) and can be attributed to a stronger network of WPI at the air/water interface and hence slower surface relaxation. The largest response to the given volume changes was observed for WPI/PG mixed and pure solutions after heat treatment at 85 °C (Figure 3D,H).
Figure 4A,B display the time and frequency dependencies of the interfacial elastic modulus Er for pure WPI and mixed WPI/PG solutions in the limit of long adsorption times. The modulus increases with increasing temperature irrespective of the presence of PG. Comparing the results of hydrophobicity (Figure 1A,B) with the dilatational elastic modulus data (Figure 4A,B) shows that higher hydrophobicity of WPI correlates with stronger self-aggregation, which increases the dilatational elastic modulus.
The addition of PG reduces the elastic modulus at various temperatures, except at treatment at 85 °C, where the WPI/PG mixture exhibits a higher modulus as shown in Figure 4B.
It is fully understood that the unfolding and subsequent re-conformation of WPI at the air/water interface are inhibited whenever WPI is strongly aggregated [63]. Therefore, it can be suggested that PG may inhibit excessive self-aggregation of WPI via macromolecular interactions with the protein in the aqueous solution during heating. This gives a stronger interfacial structuration of WPI adsorption layers and consequently a higher dilatational elastic modulus for the WPI/PG mixed solutions than for pure WPI solutions.
In Figure 4A, the dilatational elastic moduli of all solutions are shown as a function of time. Highest values are obtained for the mixed WPI/PG solution at 85 °C, which is also evident in the frequency dependence shown in panel B.

3.5. Interfacial Shear Rheology

Interfacial shear rheology is an effective method for investigating aging, i.e., the formation of strong networks at the surface. In the presence of strong networks, the storage modulus is assumed to be larger than the dissipative modulus (G′ > G′′). This can be influenced by many parameters like aggregation or gelation, conformational rearrangements, secondary adsorption, and disulfide exchange between adsorbed proteins [64]. Some proteins, such as ovalbumin, have an established tendency to exhibit aging effects over several days [65]. We can expect longer induction times for WPI at 85 °C as concluded from the dilatational surface elasticity. Therefore, to gain insight into the aging time of the WPI adsorption layers, we tested the viscoelastic properties of pure WPI solutions, treated at 85 °C, as a function of time at different concentrations between 2 and 8 mg/mL. The results (Figure S1 Supplementary File) indicate an initially weak viscoelastic network at the interface and the formation of a stable viscoelastic network with G” > G’ during the subsequent 12–18 h. The values of G’ and G’’ increase with time for all studied concentrations, and the cross-over time from G’ < G’’ to G’ ˃ G’’ decreases with increasing concentration (see inset). Therefore, we selected the concentration of 8 mg/mL as the most suitable concentration to measure the surface shear viscoelasticity for a sufficiently stable elastic layer at short times.
The bulk properties, such as viscosity and density, inevitably contribute to the overall measurement signal in interfacial studies and can also aid in interpreting the surface behavior of proteins. In interfacial shear rheology, the Boussinesq number (Bo), which represents the ratio of surface to bulk viscous effects, should generally exceed 1 to ensure that the measured response predominantly reflects interfacial rather than bulk viscosity.
Apparent bulk viscosity of the protein solutions within a wide range of shear rates (0.1–1000 s−1) was also measured. The results are shown in Figure 5. The viscosity of WPI solutions in the presence of PG is much higher than that of pure WPI solutions. The density of the mixed WPI/PG solution at this concentration was 1.0030 g/cm3, compared with 1.0022 g/cm3 for the pure WPI solution and 0.9982 g/cm3 for water, as accurately measured using a digital density meter (Mettler Toledo DM40).
Heating induces structural transformations in whey proteins, particularly the unfolding of β-lactoglobulin and the exposure of hydrophobic residues and reactive thiol groups. These changes promote temperature-dependent intermolecular interactions, mainly hydrophobic associations and disulfide linkages, that determine the type and strength of the aggregates formed.
These conformational modifications are reflected in the steady-shear behavior shown in Figure 5. All WPI samples exhibit an initial non-Newtonian, shear-thinning region at low shear rates, which arises from the presence of weakly associated aggregates that contribute to higher apparent viscosity. As shear rate increases, these loose clusters are disrupted, resulting in the observed decrease in viscosity. For the samples treated at 25, 45, and 85 °C, the viscosity becomes nearly Newtonian at approximately 5 s−1, indicating that the aggregates formed at these temperatures are relatively weak and readily broken down under moderate shear. In contrast, the 65 °C sample displays pronounced non-Newtonian behavior up to ~12 s−1. This behavior suggests the formation of more interconnected or structurally robust aggregates at this temperature, consistent with the known partial unfolding transition of β-lactoglobulin around 65 °C, where enhanced protein–protein interactions occur before extensive denaturation sets in.
In mixed WPI/PG systems, bulk viscosity decreases with increasing heat-treatment temperature. PG interacts with partially unfolded WPI through steric and hydration effects, reducing direct protein–protein associations and thereby limiting the formation of larger or strongly connected aggregates. As a result, the mixed systems contain smaller or more dispersed aggregates, contributing less to bulk viscosity, particularly at higher temperatures.
The strain-amplitude sweeps (Figure S2, Supplementary File) further support these observations. The interfacial shear modulus remains constant up to 4–6% strain, indicating that the adsorption layers behave as weak, yet stable, networks within the linear viscoelastic regime. For the 85 °C treatment, the presence of PG shifts the crossover point from approximately 4.25% to 5.12%, implying enhanced resistance of the mixed interfacial layer to deformation. No notable differences were found between WPI and WPI/PG at 25–65 °C. The evolution of the interfacial shear modulus (Figure 6A,B) provides additional insight into the development of these networks. Both WPI and WPI/PG systems show a gradual increase in G′ over time, indicating continuous strengthening of the interfacial layer; however, no plateau is reached, suggesting that intermolecular interactions continue to develop throughout the measurement period. Interestingly, G′ values are higher at 25 °C than at 85 °C for both systems. In the mixed WPI/PG samples, heat treatment at 65 °C and 85 °C leads to a more rapid initial increase in G′, but over time, the 25 °C sample surpasses them, indicating different aggregation and network-formation kinetics at the interface. This behavior suggests that PG enhances the mechanical strength of the adsorbed WPI layers primarily at higher treatment temperatures, likely by modulating protein flexibility and facilitating rearrangement and interaction within the interfacial film.
Strain-controlled (0.1%) frequency sweep measurements with pure WPI and mixed WPI/PG solutions are shown in Figure 6C and Figure 6D, respectively. The frequency was varied from 0.01 Hz to 1 Hz. G’ increases with frequency, with a certain slope (on a logarithmic frequency axis). No cross-over between G’ and G’’ is observed at the studied concentration of 8 mg/mL in both systems. Mixed WPI/PG solutions at either 25 °C or 85 °C heat treatment have the highest surface shear elastic moduli in frequency sweep measurement. WPI/PG mixtures treated at 85 °C exhibit a higher slope dG’/df than pure WPI (Table S2 in Supplementary File). The increased frequency dependence of G′ may indicate that, in presence of PG, WPI configures more effectively than pure WPI after heat treatment at 85 °C, leading to its dominance in surface adsorption and network formation at the air/water interface [66]. This could be related to a less pronounced self-aggregation of WPI, giving a more flexible structure to the protein layer. A higher dilatational surface elastic modulus and a higher crossover point of strain in the strain amplitude sweeps is observed for WPI/PG treated at 85 °C, compared to pure WPI (see Figure 4B).

3.6. Foamability and Foam Stability

The foaming properties of WPI and mixed WPI/PG solutions were analyzed via foamability and foam stability measurements. The ability of protein solutions to create foam was quantified in terms of the foam volume and the foam conductivity was measured directly after stopping the gas flow. Foam stability was determined by evaluating the foam half-life time as presented in Table 2 and also evaluation of the liquid volume of foam as a function of time (Figure S3A–D in Supplementary File). The absolute values of the obtained results are influenced by several factors, including specific parameters of the foam column, such as the pore size of the fritted glass, as well as the concentration and viscosity of the solution, the gas flow rate, the interval between tests, and other experimental conditions. Therefore, the measurements were carried out at two concentrations and two gas flow rates, 200 mL/min for 60 s and 100 mL/min for 100 s which were chosen to ensure adequate foam production in the glass column while providing sufficient time to accurately measure the foam decay rate.
Table 2A shows that the final foam volume V f f i n , measured right after stopping the gas flow, increases slightly with increasing heat treatment temperature for both pure WPI and mixed WPI/PG solutions at a total concentration of 5 mg/mL. The same trend is observed for the final foam conductivity C f f i n . With the exception of protein treated at 85 °C, the presence of PG resulted in a higher final foam volume ( V f f i n ). However, final conductivity of foam ( C f f i n ) in all samples was higher at presence of PG compared to the pure WPI-stabilized foams, which can be attributed to the increased water retention within the foam structure.
At the higher concentration of 10 mg/mL no remarkable influence of the treatment temperature on the final foam volume and final conductivity is observed, neither for the pure WPI nor the mixed WPI/PG solutions (Table 2B). The addition of PG leads to a slight decrease in final foam volume and final conductivity. Although the gas application conditions were not identical at the two concentrations, it can be inferred that the impact of gum addition and heat treatment on the foamability and foam stability of the protein is dependent on factors such as concentration of solution, gas flow rate, and gas injection time. Specifically, at lower concentration, combined with lower gas flow rate and longer injection time, the presence of gum and heat treatment resulted in enhanced foam formation and stability compared to the conditions at higher concentration, higher gas flow rate, and shorter injection time. This suggests that under milder conditions, the synergistic effects of gum and heat are more pronounced. In summary, at lower concentrations, foamability increases with temperature and the addition of PG, while at higher concentrations, these factors have little to no effect on foamability.
Foam stability refers to the capacity of a foam to keep its volume during the storage time at the given conditions. The stability of the gas bubbles in the foam is governed by three processes: bubble coalescence, disproportionation of gas bubbles, and drainage of liquid from the foam. These three processes were discussed in detail by Prins [67] and Walstra [68].
Foaming characteristics based solely on foam volume do not adequately reflect foam quality, particularly with respect to foam film thickness and bubble size. Additionally, accurate measurement of foam height during decay is complicated by the influence of the foam column walls. Wall wetting effects can lead to a non-uniform foam surface, typically increasing the apparent foam height near the walls compared to the center. During foam collapse, key structural attributes, including lamella thickness, air cell size, and liquid content, undergo continuous changes, even when the overall foam height or volume appears unchanged. The wall effect influences the t 1 / 2 v , in comparison to t 1 / 2 C , suggesting that measuring half-life time via foam conductivity is more accurate than via foam volume.
Interestingly, in mixed WPI/PG solutions, foam adhesion to the wall was observed at lower temperatures (25 °C and 45 °C). However, this effect diminished at 65 °C and disappeared completely at 85 °C, likely due to increased protein hydrophobicity at higher temperatures, as shown in Figure 1. The trend was more pronounced in more concentrated solutions. In contrast, the presence of PG in the solution may enhance wall adhesion due to its hydrophilic nature.
The maximum foam volume occurred at the moment the gas flow was shut off as shown in Figure S3A,B (Supplementary File). The maximum liquid content of foam increases with rising temperature for both pure WPI and WPI/PG mixed solution at a concentration of 5 mg/mL. Notably, the foam generated from the WPI/PG mixture retained a higher amount of liquid compared to that formed by pure WPI, indicating enhanced foam stability in the presence of Persian Gum. The half times t 1 / 2 C and t 1 / 2 l i q   increase with increasing temperature for both pure and mixed WPI/PG foams. However, when considering half-life time as a measure of foam stability, no significant differences are observed between WPI/PG and pure WPI at the concentration of 5 mg/mL (Table 2).
At the concentration of 10 mg/mL, the presence of PG results in lower t1/2 values than for pure WPI solutions (see Table 2B). The shorter half-life and lower liquid retention observed in the WPI/PG mixture indicate faster destabilization, likely due to slower protein adsorption in the presence of PG. This slower adsorption is confirmed by the longer time required to reach higher surface pressure values during short-time adsorption studies (Figure 2C,D), pointing to lower foam stability in the WPI/PG mixture at 10 mg/mL. Conversely, pure WPI solutions, particularly those exposed to higher temperatures, exhibit stronger hydrophobicity. This enhances the ability of the protein molecules to rapidly adsorb at the air/water interface, increasing surface pressure more effectively than in WPI/PG mixtures. Pure WPI heat-treated at 85 °C, due to the high initial dilatational viscoelastic properties of the surface layers, is better able to withstand the shear stress caused by liquid drainage and bubble disproportionation.
Additionally, the lower bulk viscosity of pure WPI solutions results in finer and more uniform gas bubble dispersion, facilitating quicker and more efficient bubble arrangements during foaming [69,70] (Figure 7).
Although there is no conclusive theory leveraging surface rheology characteristics and the foam stability, it is well-accepted that higher viscoelastic moduli increase foam stability [71,72,73]. According to our findings, the shear elastic modulus of the surface layers after 12 h cannot be used to predict the foaming characteristics of a protein solution, particularly not the foam stability. For instance, for pure WPI samples at 85 °C the surface layer with the lowest shear modulus is formed (Figure 6A), but the longest half-life-time, i.e., the highest foam stability is measured (Table 2). Such observations were made in previous studies where the effect of protein aggregation on foam properties was studied [13,74,75]. Additionally, it was shown that the dilatational surface elasticity modulus is not the only parameter that determines the stability of foam [76]. However, the findings on dilatational surface rheology provide stronger predictive insights into foam stability, particularly for pure WPI solutions, as they demonstrate that the elastic modulus increases with higher treatment temperatures. (Figure 4A,B). However, the time scale for investigations of the surface rheological properties and the foaming properties are different and the contribution of highly viscoelastic WPI layers to the long-term stability of WPI foam is difficult to quantify. Moreover, the measurements were performed at different protein concentrations, as required by the different techniques.
Air bubble size investigations as a function of time can provide information on how resistant foam bubbles are against coalescence and disproportionation. Disproportionation occurs as a result of the transport of gas from smaller to larger bubbles, i.e., Ostwald ripening. It is slowed down by a narrow size distribution of foam bubbles.
The digital images of foam bubbles produced with pure WPI and mixed WPI/PG solutions are shown in Figure 7A,B, and the corresponding bubble size distributions in Figure S4 Supplementary File. Distinctive differences in the bubble size and homogeneity as a result of drainage time and disproportionation can be seen in both solutions. The average diameter of bubbles in foam after 200 s of drainage decreases with increasing temperature at a concentration of 5 mg/mL (Figure 7A). This observation is consistent with the foam stability results (Table 2), which show that foams containing smaller bubbles exhibit greater stability. However, size of bubbles in pure WPI at higher temperature is lower than mixed solution, which decreases stability of foam and reduce t 1 / 2 C (s) as seen in Table 2. Foam prepared with a solution concentration of 10 mg/mL exhibits large differences in the bubble sizes, especially for treatments at low temperatures as compared to 65 and 85 °C, which is related to the higher viscosity of the bulk solutions treated at lower temperatures (cf. Figure 5). Higher bulk viscosities avoid a homogeneous flow and, therefore, the gas holdup decrease, and the bubble size distribution goes toward large bubbles [77]. Nevertheless, the presence of gum, even at concentrations exceeding 10 mg/L, resulted in a significant modification in the bubble size distribution in the solution treated at 85 °C, markedly reducing the average bubble size (Figure 7B).
The stability of the liquid lamellae between the air bubbles affects the coalescence. Despite the increasing bulk solution’s viscosity at a concentration of 10 mg/mL, PG reduces the number of bubbles compared to pure WPI solutions, which could be a result of coalescence and gas distribution in the liquid phase during gas sparging. The bulk viscosity of the solution by adding PG does not only decrease foam drainage but also reduces the gas diffusion. For instance, the addition of PG at a concentration of 5 mg/mL increased the t 1 / 2 C , in contrast to the higher concentration of 10 mg/mL.

4. Conclusions

This study provides a comprehensive assessment of how Persian Gum (PG) modulates the heat-induced aggregation, interfacial behavior, and foaming performance of whey protein isolate (WPI), revealing several quantitative and mechanistic insights. Turbidity and DLS measurements showed that heat treatment at 85 °C produced significantly smaller aggregates in mixed WPI/PG systems (197 nm) compared to pure WPI (294 nm), indicating the formation of more soluble complexes. Intrinsic fluorescence analysis further demonstrated that the increase in surface hydrophobicity with temperature was more pronounced in pure WPI than in WPI/PG mixtures, confirming that PG limits protein unfolding during heating.
In this study, three complementary methods were employed to evaluate the foaming properties and interfacial behavior of WPI and WPI/PG systems, allowing a more comprehensive comparison than typically reported. The results reveal that factors such as concentration, measurement time, and methodological approach strongly influence the observed interfacial responses, underscoring the complexity of interpreting foaming and adsorption behavior in mixed biopolymer systems. Surface tension and interfacial dilatational rheology measurements revealed that the dilatational elastic modulus increased from approximately 41 to 61 mN/m between 25 and 85 °C in pure WPI, whereas in the presence of PG, the modulus decreased by around 20% at all temperatures except 85 °C, where the mixed system exceeded the modulus of pure WPI. Adsorption kinetics, quantified by the induction time tind, increased with rising temperature and PG addition, indicating slower interfacial saturation. In contrast, interfacial shear rheology showed consistently higher shear elastic moduli in mixed WPI/PG systems at both 25 °C and 85 °C, demonstrating a reinforcing effect of PG on interfacial rigidity.
Foaming experiments provided further quantitative distinctions. At 5 mg/mL, mixed WPI/PG solutions generated greater foam conductivity (10–20%) comparing to pure WPI. However, except at 85 °C, no significant differences in half-life times were observed between pure WPI and WPI/PG foams at this concentration. At 85 °C, pure WPI foams exhibited a slightly longer half-life (55.6 s) compared to the WPI/PG mixture (49.6 s). PG addition also led to a narrower bubble size distribution, suggesting reduced coalescence. However, at 10 mg/mL, the mixed systems exhibited reduction in foam conductivity and shorter half-life times relative to pure WPI, indicating that higher biopolymer concentrations hinder long-term foam stability. Increasing heat-treatment temperature improved foam half-life in pure WPI but reduced it in WPI/PG mixtures, consistent with changes in foam drainage behavior.
This study shows that PG enables temperature-dependent manipulation of WPI aggregate size, adsorption kinetics, and foam stability across distinct concentration regimes. The results also demonstrate that the choice of method and experimental setup for evaluating foam properties and interfacial behavior can strongly influence the observed responses of protein-polysaccharide mixtures, highlighting the need for further investigation and the potential for customizing measurement approaches to align with desired foam properties. These findings underscore the potential of PG, and polysaccharides with similar structural characteristics, as functional modifiers for designing heat-treated protein systems with tailored aggregation behavior and optimized interface-driven properties relevant to food and colloidal applications.

Supplementary Materials

The following supporting information can be downloaded at: https://www.mdpi.com/article/10.3390/colloids10010002/s1, Table S1: Maximum intrinsic fluorescence intensity FI of tryptophan, maximum emission wavelength λmax, fluorescence intensity at maximum for pure WPI and mixed WPI/PG (4:1) at different treatment temperatures (25–85 °C), at 0.5 mg/mL concentration, and at an excitation wavelength of 295 nm. Values with the same superscript in a column are not significantly different from each other (p > 0.05); Table S2: Slope and regression coefficient R of the shear elasticity modulus G’ on frequency; Figure S1: Time-dependent interfacial shear elastic modulus (G’) and loss modulus (G’’) of pure WPI solutions at concentrations from 2 to 8 mg/mL after heating at 85 °C; Figure S2: Yield strain γyield for solutions of pure WPI and mixed WPI/PG at a concentration of 8 mg/mL and at a frequency of 0.1 Hz in the range of 0.1–100% strain at the air/water interface. Values with the same superscript in a column are not significantly different from each other (p > 0.05); Figure S3: Foam liquid content over time for pure WPI solutions at two concentrations of 5 mg/mL (A) and 10 mg/mL (C), and mixed WPI/PG solutions at 5 mg/mL (B) and 10 mg/mL (D) after heating the solutions at different temperature (25–85 °C); Figure S4: Bubble size distribution of WPI and mixed WPI-PG solutions heated at 25–85 °C, at 5 mg/mL concentration with 100 mL/min gas flow after 100 s sparging time (A) pure WPI, (B) Mixed WPI/PG, and at 10 mg/mL with 200 mg/min flow rate after 60 s sparging time in (C) pure WPI and (D) WPI/PG solutions.

Author Contributions

E.O.M.: Methodology, Investigation, Writing—Original Draft. S.Y.: Conceptualization, Methodology, Writing—Review and Editing, Supervision. R.M.: Methodology, Writing—Review and Editing, Supervision. E.S.: Methodology, Writing—Review and Editing, Supervision. R.v.K.: Methodology, Writing—Review and Editing. All authors have read and agreed to the published version of the manuscript.

Funding

This research received no external funding.

Data Availability Statement

The data that support the findings of this study are available from the corresponding author upon reasonable request.

Conflicts of Interest

The authors declare no conflicts of interest.

References

  1. Benichou, A.; Aserin, A.A.; Garti, N. Protein-polysaccharide interactions for stabilization of food emulsions. J. Dispers. Sci. Technol. 2002, 23, 93–123. [Google Scholar] [CrossRef]
  2. Bealer, E.J.; Onissema-Karimu, S.; Rivera-Galletti, A.; Francis, M.; Wilkowski, J.; la Cruz, D.S.-D.; Hu, X. Protein–polysaccharide composite materials: Fabrication and applications. Polymers 2020, 12, 464. [Google Scholar] [CrossRef] [PubMed]
  3. Bealer, E.J.; Kavetsky, K.; Dutko, S.; Lofland, S.; Hu, X. Protein and polysaccharide-based magnetic composite materials for medical applications. Int. J. Mol. Sci. 2019, 12, 186. [Google Scholar] [CrossRef]
  4. Rodea-González, D.A.; Cruz-Olivares, J.; Román-Guerrero, A.; Rodríguez-Huezo, M.E.; Vernon-Carter, E.J.; Pérez-Alonso, C. Spray-dried encapsulation of chia essential oil (Salvia hispanica L.) in whey protein concentrate-polysaccharide matrices. J. Food Eng. 2012, 111, 102–109. [Google Scholar] [CrossRef]
  5. Sun, X.; Wang, H.; Li, S.; Song, C.; Zhang, S.; Ren, J.; Udenigwe, C.C. Maillard-Type Protein–Polysaccharide Conjugates and Electrostatic Protein–Polysaccharide Complexes as Delivery Vehicles for Food Bioactive Ingredients: Formation, Types, and Applications. Gels 2022, 8, 135. [Google Scholar] [CrossRef]
  6. Vernon-Carter, E. Viscoelastic properties and overall sensory acceptability of reduced-fat Petit-Suisse cheese made by replacing milk fat with complex coacervate. Dairy Sci. Technol. 2012, 92, 383–398. [Google Scholar]
  7. Laneuville, S.I.; Paquin, P.; Turgeon, S.L. Formula optimization of a low-fat food system containing whey protein isolate-xanthan gum complexes as fat replacer. J. Food Sci. 2005, 70, s513–s519. [Google Scholar] [CrossRef]
  8. Turgeon, S.L.; Laneuville, S.I. Protein+ polysaccharide coacervates and complexes: From scientific background to their application as functional ingredients in food products. In Modern Biopolymer Science; Academis Press: Cambridge, MA, USA, 2009; pp. 327–363. [Google Scholar]
  9. Le, X.T.; Rioux, L.-E.; Turgeon, S.L. Formation and functional properties of protein–polysaccharide electrostatic hydrogels in comparison to protein or polysaccharide hydrogels. Adv. Colloid Interface Sci. 2017, 239, 127–135. [Google Scholar] [CrossRef]
  10. Tolstoguzov, V.B. Functional properties of food proteins and role of protein-polysaccharide interaction. Food Hydrocoll. 1991, 4, 429–468. [Google Scholar] [CrossRef]
  11. Schmitt, C.; Sanchez, C.; Desobry-Banon, S.; Hardy, J. Structure and technofunctional properties of protein-polysaccharide complexes: A review. Crit. Rev. Food Sci. Nutr. 1998, 38, 689–753. [Google Scholar] [CrossRef]
  12. McClements, D.J. Food Emulsions: Principles, Practices, and Techniques; CRC Press: Boca Raton, FL, USA, 2015. [Google Scholar]
  13. Grossmann, L.; Beicht, M.; Reichert, C.; Weiss, J. Foaming properties of heat-aggregated microparticles from whey proteins. Colloids Surf. A Physicochem. Eng. Asp. 2019, 579, 123572. [Google Scholar] [CrossRef]
  14. Phan-Xuan, T.; Durand, D.; Nicolai, T.; Donato, L.; Schmitt, C.; Bovetto, L. Heat induced formation of beta-lactoglobulin microgels driven by addition of calcium ions. Food Hydrocoll. 2014, 34, 227–235. [Google Scholar] [CrossRef]
  15. Unterhaslberger, G.; Schmitt, C.; Shojaei-Rami, S.; Sanchez, C. Lactoglobulin aggregates from heating with charged cosolutes: Formation, characterization and foaming. In Food Colloids: Self-Assembly and Material Science; RSC Publishing: Cambridge, UK, 2007; pp. 175–191. [Google Scholar]
  16. Murphy, R.W.; Farkas, B.E.; Jones, O.G. Dynamic and viscoelastic interfacial behavior of β-lactoglobulin microgels of varying sizes at fluid interfaces. J. Colloid Interface Sci. 2016, 466, 12–19. [Google Scholar] [CrossRef] [PubMed]
  17. Zhu, H.; Damodaran, S. Heat-induced conformational changes in whey protein isolate and its relation to foaming properties. J. Agric. Food Chem. 1994, 42, 846–855. [Google Scholar] [CrossRef]
  18. Harnsilawat, T.; Pongsawatmanit, R.; McClements, D.J. Stabilization of model beverage cloud emulsions using protein− polysaccharide electrostatic complexes formed at the oil−water interface. J. Agric. Food Chem. 2006, 54, 5540–5547. [Google Scholar] [CrossRef] [PubMed]
  19. Leman, J.; Dolgan, T. Effects of heating and pressurization on foaming properties of beta-lactoglobulin. Electron. J. Pol. Agric. Univ. 2004, 7, 14. [Google Scholar]
  20. Gräff, K.; Stock, S.; Mirau, L.; Bürger, S.; Braun, L.; Völp, A.; Willenbacher, N.; von Klitzing, R. Untangling effects of proteins as stabilizers for foam films. Front. Soft Matter. 2022, 2. [Google Scholar] [CrossRef]
  21. Schmitt, C.; Bovay, C.; Rouvet, M. Bulk self-aggregation drives foam stabilization properties of whey protein microgels. Food Hydrocoll. 2014, 42, 139–148. [Google Scholar] [CrossRef]
  22. Perez, A.A.; Carrara, C.R.; Sánchez, C.C.; Santiago, L.G.; Patino, J.M.R. Interfacial dynamic properties of whey protein concentrate/polysaccharide mixtures at neutral pH. Food Hydrocoll. 2009, 23, 1253–1262. [Google Scholar] [CrossRef]
  23. Perez, A.A.; Sánchez, C.C.; Patino, J.M.R.; Rubiolo, A.C.; Santiago, L.G. Surface adsorption behaviour of milk whey protein and pectin mixtures under conditions of air–water interface saturation. Colloids Surf. B Biointerfaces 2011, 85, 306–315. [Google Scholar] [CrossRef]
  24. Dickinson, E. Hydrocolloids at interfaces and the influence on the properties of dispersed systems. Food Hydrocoll. 2003, 17, 25–39. [Google Scholar] [CrossRef]
  25. Dickinson, E.; Radford, S.J.; Golding, M. Stability and rheology of emulsions containing sodium caseinate: Combined effects of ionic calcium and non-ionic surfactant. Food Hydrocoll. 2003, 17, 211–220. [Google Scholar] [CrossRef]
  26. Baeza, R.; Sanchez, C.C.; Pilosof, A.M.R.; Patino, J.M.R. Interactions of polysaccharides with β-lactoglobulin adsorbed films at the air–water interface. Food Hydrocoll. 2005, 19, 239–248. [Google Scholar] [CrossRef]
  27. Baeza, R.; Carrera, C.; Patino, J.M.R.; Pilosof, A.M.R. Interactions between b-lactoglobulin and polysaccharides at the air-water interface and the influence on foam properties. In Food Colloids; RSC Publishing: Cambridge, UK, 2005; pp. 301–316. [Google Scholar]
  28. Klein, M.; Aserin, A.; Ishai, P.B.; Garti, N. Interactions between whey protein isolate and gum Arabic. Colloids Surf. B Biointerfaces 2010, 79, 377–383. [Google Scholar] [CrossRef]
  29. Abbasi, S.; Rahimi, S. Persian gum. In Encyclopedia of Biomedical Polymers and Polymeric Biomaterials; CRC Press: Boca Raton, FL, USA, 2015; pp. 5919–5928. [Google Scholar]
  30. Dabestani, M.; Yeganehzad, S. Effect of Persian gum and Xanthan gum on foaming properties and stability of pasteurized fresh egg white foam. Food Hydrocoll. 2019, 87, 550–560. [Google Scholar] [CrossRef]
  31. Azarikia, F.; Abbasi, S. Mechanism of soluble complex formation of milk proteins with native gums (tragacanth and Persian gum). Food Hydrocoll. 2016, 59, 35–44. [Google Scholar] [CrossRef]
  32. Hadian, M.; Hosseini, S.M.H.; Farahnaky, A.; Mesbahi, G.R.; Yousefi, G.H.; Saboury, A.A. Isothermal titration calorimetric and spectroscopic studies of β-lactoglobulin-water-soluble fraction of Persian gum interaction in aqueous solution. Food Hydrocoll. 2016, 55, 108–118. [Google Scholar] [CrossRef]
  33. Jafari, S.M.; Beheshti, P.; Assadpoor, E. Rheological behavior and stability of D-limonene emulsions made by a novel hydrocolloid (Angum gum) compared with Arabic gum. J. Food Eng. 2012, 109, 1–8. [Google Scholar] [CrossRef]
  34. Vardhanabhuti, B.; Yucel, U.; Coupland, J.N.; Foegeding, E.A. Interactions between β-lactoglobulin and dextran sulfate at near neutral pH and their effect on thermal stability. Food Hydrocoll. 2009, 23, 1511–1520. [Google Scholar] [CrossRef]
  35. Schmitt, C.; Bovay, C.; Rouvet, M.; Shojaei-Rami, S.; Kolodziejczyk, E. Whey protein soluble aggregates from heating with NaCl: Physicochemical, interfacial, and foaming properties. Langmuir 2007, 23, 4155–4166. [Google Scholar] [CrossRef] [PubMed]
  36. Koppel, D.E. Analysis of macromolecular polydispersity in intensity correlation spectroscopy: The method of cumulants. J. Chem. Phys. 1972, 57, 4814–4820. [Google Scholar] [CrossRef]
  37. Hunter, R.J. Zeta Potential in Colloid Science: Principles and Applications; Academic Press: Cambridge, MA, USA, 2013. [Google Scholar]
  38. Ganzevles, R.A.; Stuart, M.A.C.; van Vliet, T.; de Jongh, H.H.J. Use of polysaccharides to control protein adsorption to the air–water interface. Food Hydrocoll. 2006, 20, 872–878. [Google Scholar] [CrossRef]
  39. Miller, R.; Fainerman, V.B.; Makievski, A.V.; Krägel, J.; Grigoriev, D.O.; Kazakov, V.N.; Sinyachenko, O.V. Dynamics of protein and mixed protein/surfactant adsorption layers at the water/fluid interface. Adv. Colloid Interface Sci. 2000, 86, 39–82. [Google Scholar] [CrossRef] [PubMed]
  40. Brooks, C.F.; Fuller, G.G.; Frank, C.W.; Robertson, C.R. An interfacial stress rheometer to study rheological transitions in monolayers at the air− water interface. Langmuir 1999, 15, 2450–2459. [Google Scholar] [CrossRef]
  41. Steffe, J.F. Rheological Methods in Food Process Engineering; Freeman Press: Dallas, TX, USA, 1996. [Google Scholar]
  42. Biviano, M.D.; Böni, L.J.; Berry, J.D.; Fischer, P.; Dagastine, R.R. Viscoelastic characterization of the crosslinking of β-lactoglobulin on emulsion drops via microcapsule compression and interfacial dilational and shear rheology. J. Colloid Interface Sci. 2021, 583, 404–413. [Google Scholar] [CrossRef] [PubMed]
  43. Ghisaidoobe, A.B.T.; Chung, S.J. Intrinsic tryptophan fluorescence in the detection and analysis of proteins: A focus on Förster resonance energy transfer techniques. Int. J. Mol. Sci. 2014, 15, 22518–22538. [Google Scholar] [CrossRef]
  44. Kühnhammer, M.; Widmann, T.; Kreuzer, L.P.; Schmid, A.J.; Wiehemeier, L.; Frielinghaus, H.; Jaksch, S.; Bögershausen, T.; Barron, P.; Schneider, H. Flexible sample environments for the investigation of soft matter at the European Spallation Source: Part III—The macroscopic foam cell. Appl. Sci. 2021, 11, 5116. [Google Scholar] [CrossRef]
  45. Thomas, D.J.; Atwell, W.A. Starches; Eagan Press: New York, NY, USA, 1999. [Google Scholar]
  46. Kato, A.; Takahashi, A.; Matsudomi, N.; Kobayashi, K. Determination of Foaming Properties of Proteins by Conductivity Measurements. J. Food Sci. 1983, 48, 62–65. [Google Scholar] [CrossRef]
  47. Tanford, C.; Bunville, L.G.; Nozaki, Y. The reversible transformation of β-lactoglobulin at pH 7.51. J. Am. Chem. Soc. 1959, 81, 4032–4036. [Google Scholar] [CrossRef]
  48. Qi, X.L.; Brownlow, S.; Holt, C.; Sellers, P. Thermal denaturation of β-lactoglobulin: Effect of protein concentration at pH 6.75 and 8.05. Biochim. Biophys. Acta (BBA)-Protein Struct. Mol. Enzymol. 1995, 1248, 43–49. [Google Scholar] [CrossRef]
  49. De Wit, J.N. Thermal behaviour of bovine β-lactoglobulin at temperatures up to 150 C—A review. Trends Food Sci. Technol. 2009, 20, 27–34. [Google Scholar] [CrossRef]
  50. Havea, P.; Singh, H.; Creamer, L.K. Characterization of heat-induced aggregates of β-lactoglobulin, α-lactalbumin and bovine serum albumin in a whey protein concentrate environment. J. Dairy Res. 2001, 68, 483–497. [Google Scholar] [CrossRef]
  51. Jeffrey, G.C.; Ottewill, R.H. Reversible aggregation Part I. Reversible flocculation monitored by turbidity measurements. Colloid Polym. Sci. 1988, 266, 173–179. [Google Scholar] [CrossRef]
  52. Wei, Z.; Polozova, A. Biophysical Techniques for Protein Size Distribution Analysis. In Biophysics for Therapeutic Protein Development; Springer: New York, NY, USA, 2013; pp. 83–97. [Google Scholar]
  53. Vardhanabhuti, B.; Foegeding, E.A. Rheological properties and characterization of polymerized whey protein isolates. J. Agric. Food Chem. 1999, 47, 3649–3655. [Google Scholar] [CrossRef]
  54. Weinbreck, F.; Nieuwenhuijse, H.; Robijn, G.W.; de Kruif, C.G. Complex formation of whey proteins: Exocellular polysaccharide EPS B40. Langmuir 2003, 19, 9404–9410. [Google Scholar] [CrossRef]
  55. Khalesi, H.; Emadzadeh, B.; Kadkhodaee, R.; Fang, Y. Whey protein isolate-Persian gum interaction at neutral pH. Food Hydrocoll. 2016, 59, 45–49. [Google Scholar] [CrossRef]
  56. Mohammadi, E.O.; Yeganehzad, S.; Hesarinejad, M.A.; Dabestani, M.; Schneck, E.; Miller, R. Effects of Various Types of Vacuum Cold Plasma Treatment on the Chemical and Functional Properties of Whey Protein Isolate with a Focus on Interfacial Properties. Colloids Interfaces 2023, 7, 54. [Google Scholar] [CrossRef]
  57. Qin, B.Y.; Bewley, M.C.; Creamer, L.K.; Baker, H.M.; Baker, E.N.; Jameson, G.B. Structural basis of the Tanford transition of bovine b-lactoglobulin. Biochemistry 1998, 37, 14014–14023. [Google Scholar] [CrossRef]
  58. Pantaloni, D. Etude de la Transition R to S de la Beta-Lactoglobuline par Spectropolarimetrie et par Spectrophotometrie de Differences. C. R. Hebd. Seances Acad Sci. 1964, 258, 5753. [Google Scholar] [PubMed]
  59. Perez, A.A.; Carrara, C.R.; Sánchez, C.C.; Patino, J.M.R.; Santiago, L.G. Interactions between milk whey protein and polysaccharide in solution. Food Chem. 2009, 116, 104–113. [Google Scholar] [CrossRef]
  60. Eftink, M.R.; Ghiron, C.A. Fluorescence quenching studies with proteins. Anal. Biochem. 1981, 114, 199–227. [Google Scholar] [CrossRef]
  61. Teale, F.W.J. The ultraviolet fluorescence of proteins in neutral solution. Biochem. J. 1960, 76, 381–388. [Google Scholar] [CrossRef]
  62. Patino, J.M.R.; Sanchez, C.C.; Niño, M.R.R. Implications of interfacial characteristics of food foaming agents in foam formulations. Adv. Colloid Interface Sci. 2008, 140, 95–113. [Google Scholar] [CrossRef] [PubMed]
  63. Nicorescu, I.; Riaublanc, A.; Loisel, C.; Vial, C.; Djelveh, G.; Cuvelier, G.; Legrand, J. Impact of protein self-assemblages on foam properties. Food Res. Int. 2009, 42, 1434–1445. [Google Scholar] [CrossRef]
  64. Möbius, D.; Miller, R. Proteins at Liquid Interfaces; Elsevier: Amsterdam, The Netherlands, 1998. [Google Scholar]
  65. Erni, P.; Fischer, P.; Windhab, E.J.; Kusnezov, V.; Stettin, H.; Läuger, J. Stress-and strain-controlled measurements of interfacial shear viscosity and viscoelasticity at liquid/liquid and gas/liquid interfaces. Rev. Sci. Instrum. 2003, 74, 4916–4924. [Google Scholar] [CrossRef]
  66. Çelebioğlu, H.Y.; Kmiecik-Palczewska, J.; Lee, S.; Chronakis, I.S. Interfacial shear rheology of β-lactoglobulin—Bovine submaxillary mucin layers adsorbed at air/water interface. Int. J. Biol. Macromol. 2017, 102, 857–867. [Google Scholar] [CrossRef] [PubMed]
  67. Ronteltap, A.D.; Damsté, B.R.; De Gee, M.; Prins, A. The role of surface viscosity in gas diffusion in aqueous foams. I. Theoretical. Colloids Surf. 1990, 47, 269–283. [Google Scholar] [CrossRef]
  68. Walstra, P. Principles of Foam Formation and Stability. In Foams: Physics, Chemistry and Structure; Wilson, A., Ed.; Springer: Londin, UK, 1989; pp. 1–15. [Google Scholar] [CrossRef]
  69. Dickinson, E. Interfacial, emulsifying and foaming properties of milk proteins. In Advanced Dairy Chemistry: Volume 1: Proteins, Parts A&B; Fox, P.F., McSweeney, P.L.H., Eds.; Springer: New York, NY, USA, 2003; pp. 1229–1260. [Google Scholar]
  70. Damodaran, S. Protein stabilization of emulsions and foams. J. Food Sci. 2005, 70, R54–R66. [Google Scholar] [CrossRef]
  71. Dickinson, E. Adsorbed protein layers at fluid interfaces: Interactions, structure and surface rheology. Colloids Surf. B Biointerfaces 1999, 15, 161–176. [Google Scholar] [CrossRef]
  72. Bos, M.A.; Van Vliet, T. Interfacial rheological properties of adsorbed protein layers and surfactants: A review. Adv. Colloid Interface Sci. 2001, 91, 437–471. [Google Scholar] [CrossRef]
  73. Kühnhammer, M.; Gräff, K.; Loran, E.; Soltwedel, O.; Löhmann, O.; Frielinghaus, H.; von Klitzing, R. Structure formation of PNIPAM microgels in foams and foam films. Soft Matter 2022, 18, 9249–9262. [Google Scholar] [CrossRef]
  74. Bals, A.; Kulozik, U. Effect of pre-heating on the foaming properties of whey protein isolate using a membrane foaming apparatus. Int. Dairy J. 2003, 13, 903–908. [Google Scholar] [CrossRef]
  75. Croguennec, T.; Renault, A.; Bouhallab, S.; Pezennec, S. Interfacial and foaming properties of sulfydryl-modified bovine β-lactoglobulin. J. Colloid Interface Sci. 2006, 302, 32–39. [Google Scholar] [CrossRef] [PubMed]
  76. Rullier, B.; Novales, B.; Axelos, M.A.V. Effect of protein aggregates on foaming properties of β-lactoglobulin. Colloids Surf. A Physicochem. Eng. Asp. 2008, 330, 96–102. [Google Scholar] [CrossRef]
  77. Besagni, G.; Inzoli, F.; De Guido, G.; Pellegrini, L.A. The dual effect of viscosity on bubble column hydrodynamics. Chem. Eng. Sci. 2017, 158, 509–538. [Google Scholar] [CrossRef]
Figure 1. Spectra of the intrinsic tryptophan fluorescence at an excitation wavelength of 295 nm for (A) pure WPI and (B) mixed WPI/PG (4:1) treated at different temperatures (25–85 °C) at a concentration of 0.5 mg/mL.
Figure 1. Spectra of the intrinsic tryptophan fluorescence at an excitation wavelength of 295 nm for (A) pure WPI and (B) mixed WPI/PG (4:1) treated at different temperatures (25–85 °C) at a concentration of 0.5 mg/mL.
Colloids 10 00002 g001
Figure 2. (A) Dynamic surface tension, (B) equilibrium surface pressure of WPI and WPI/PG at different temperatures, T °C, (C) dynamic surface pressure for pure WPI, and (D) mixed WPI/PG solutions during first 200 s of adsorption after 30 min heat treatment at different temperatures. The solution concentration was reduced to 10−4 mg/mL. Values with the same superscript (a,b,c,d) at (B) are not significantly different from each other (p > 0.05).
Figure 2. (A) Dynamic surface tension, (B) equilibrium surface pressure of WPI and WPI/PG at different temperatures, T °C, (C) dynamic surface pressure for pure WPI, and (D) mixed WPI/PG solutions during first 200 s of adsorption after 30 min heat treatment at different temperatures. The solution concentration was reduced to 10−4 mg/mL. Values with the same superscript (a,b,c,d) at (B) are not significantly different from each other (p > 0.05).
Colloids 10 00002 g002
Figure 3. Evolution of the surface pressure with time (black lines, left axis) during sinusoidal volume changes (V = 15 ± 1 mm3 green curves, right axis) for WPI after heat treatment at (A) 25 °C, (B) 45 °C, (C) 65 °C, (D) 85 °C and mixed WPI/PG at (E) 25 °C, (F) 45 °C, (G) 65 °C, (H) 85 °C for solutions at a total concentration of 0.01 mg/mL.
Figure 3. Evolution of the surface pressure with time (black lines, left axis) during sinusoidal volume changes (V = 15 ± 1 mm3 green curves, right axis) for WPI after heat treatment at (A) 25 °C, (B) 45 °C, (C) 65 °C, (D) 85 °C and mixed WPI/PG at (E) 25 °C, (F) 45 °C, (G) 65 °C, (H) 85 °C for solutions at a total concentration of 0.01 mg/mL.
Colloids 10 00002 g003aColloids 10 00002 g003b
Figure 4. (A) Time-dependent dilatational surface elastic modulus (Er) at constant frequency 0.16 Hz, (B) Frequency-dependent dilatational surface elastic modulus of WPI and mixed WPI/PG solutions at a total concentration of 0.01 mg/mL after 30 min; all measured for samples heat treated at different temperatures.
Figure 4. (A) Time-dependent dilatational surface elastic modulus (Er) at constant frequency 0.16 Hz, (B) Frequency-dependent dilatational surface elastic modulus of WPI and mixed WPI/PG solutions at a total concentration of 0.01 mg/mL after 30 min; all measured for samples heat treated at different temperatures.
Colloids 10 00002 g004
Figure 5. Bulk viscosity (mPa.s) of pure WPI and mixed WPI/PG solutions at a concentration of 8 mg/mL at different shear rates and a fixed frequency of 0.1 Hz.
Figure 5. Bulk viscosity (mPa.s) of pure WPI and mixed WPI/PG solutions at a concentration of 8 mg/mL at different shear rates and a fixed frequency of 0.1 Hz.
Colloids 10 00002 g005
Figure 6. Time-dependent surface shear elasticity (G’) and viscosity (G’’) for (A) pure WPI and (B) mixed WPI/PG solutions; frequency dependence of the surface shear properties for (C) pure WPI and (D) mixed WPI/PG solutions. The solid straight lines in (C,D) are the best fits to the experimental curves for WPI and WPI/PG treated at 85 °C.
Figure 6. Time-dependent surface shear elasticity (G’) and viscosity (G’’) for (A) pure WPI and (B) mixed WPI/PG solutions; frequency dependence of the surface shear properties for (C) pure WPI and (D) mixed WPI/PG solutions. The solid straight lines in (C,D) are the best fits to the experimental curves for WPI and WPI/PG treated at 85 °C.
Colloids 10 00002 g006
Figure 7. Foam microscopic photos of WPI and mixed WPI-PG solutions heated at 25–85 °C, at different concentrations of (A) 5 mg/mL at 100 mL/min gas flow after 100 s sparging time and (B) 10 mg/mL with 200 mL/min gas flow rate after 60 s sparging time. Different colors indicate different bubble sizes. The gray color bubbles were not quantified because they were not fully in the image frame zone.
Figure 7. Foam microscopic photos of WPI and mixed WPI-PG solutions heated at 25–85 °C, at different concentrations of (A) 5 mg/mL at 100 mL/min gas flow after 100 s sparging time and (B) 10 mg/mL with 200 mL/min gas flow rate after 60 s sparging time. Different colors indicate different bubble sizes. The gray color bubbles were not quantified because they were not fully in the image frame zone.
Colloids 10 00002 g007
Table 1. Effect of temperature on the aggregate size, PDI, turbidity, and ζ-potential of pure WPI and mixed WPI/PG solutions at a mixing ratio of 4:1 and a total concentration of 10 mg/mL at pH 7.2 after 30 min heating at the indicated temperatures. * Analysis lacked quality criteria due to high polydispersity.
Table 1. Effect of temperature on the aggregate size, PDI, turbidity, and ζ-potential of pure WPI and mixed WPI/PG solutions at a mixing ratio of 4:1 and a total concentration of 10 mg/mL at pH 7.2 after 30 min heating at the indicated temperatures. * Analysis lacked quality criteria due to high polydispersity.
WPIWPI/PG
(°C)* Size (nm)PDIAbsorbanceζ-Potential (mV)* Size (nm)PDIAbsorbanceζ-Potential (mV)
251090.60.1−26 ± 22420.40.14−27 ± 2
452700.50.14−26 ± 11970.40.11−28 ± 1
653080.50.15−25 ± 21700.50.13−28 ± 2
852940.40.13−27 ± 21970.40.08−28 ± 2
Table 2. Foaming properties: final foam volume, final foam conductivity, t 1 / 2 V (s), t 1 / 2 C (s), and t 1 / 2 l i q (s) for WPI and mixed WPI/PG solutions for a concentration of (A) 5 mg/mL and (B) 10 mg/mL after heat treatment at 25–85 °C. Values with the same superscript (a,b,c,d,e,f,g) in a column are not significantly different from each other (p > 0.05).
Table 2. Foaming properties: final foam volume, final foam conductivity, t 1 / 2 V (s), t 1 / 2 C (s), and t 1 / 2 l i q (s) for WPI and mixed WPI/PG solutions for a concentration of (A) 5 mg/mL and (B) 10 mg/mL after heat treatment at 25–85 °C. Values with the same superscript (a,b,c,d,e,f,g) in a column are not significantly different from each other (p > 0.05).
A V f f i n (mL) C f f i n (μS) t 1 / 2 V (s) t 1 / 2 C (s) t 1 / 2 l i q (s)
WPI-25 °C160.6 ± 5 a6.7 ± 0.3 a374.6 ± 123 a35.3 ± 4 a38.3 ± 6 a
WPI-45 °C168.7 ± 3 b10.0 ± 1.1 b775.6 ± 140 b43.6 ± 2 b51.0 ± 7 b
WPI-65 °C170.6 ± 5 b12.2 ± 0.4 c624.6 ± 121 b51.6 ± 3 c73.0 ± 4 c
WPI-85 °C191.0 ± 37 c14.8 ± 0.6 d280.0 ± 78 a55.6 ± 5 d72.0 ± 9 c
WPI/PG-25 °C167.0 ± 7 b9.2 ± 3.0 b684.6 ± 375 b37.0 ± 3 a38.3 ± 4 a
WPI/PG-45 °C172.0 ± 5 b14.1 ± 1.0 d1444.0 ± 234 d40.0 ± 2 b36.0 ± 3 a
WPI/PG-65 °C171.0 ± 4 b21.5 ± 3.0 e607.3 ± 150 b46.3 ± 3 c48.4 ± 4 b
WPI/PG-85 °C175.0 ± 6 c21.0 ± 2.0 e399.7 ± 100 a49.6 ± 6 c57.6 ± 4 d
B V f f i n (mL) C f f i n (μS) t 1 / 2 V (s) t 1 / 2 C (s) t 1 / 2 l i q (s)
WPI-25 °C232.0 ± 1.1 a116.2 ± 8 a1487.0 ± 240 a66.3 ± 1.5 a142.6 ± 1.5 a
WPI-45 °C232.0 ± 0.5 a102.7 ± 4.3 b1290.0 ± 24 b69.6 ± 7.6 b143.0 ± 7.9 a
WPI-65 °C231.6 ± 0.5 a101.3 ± 2.7 b874.6 ± 13.6 c89.0 ± 4.0 c184.0 ± 6.0 b
WPI-85 °C232.0 ± 0.5 a117.3 ± 3.8 a668.3 ± 12.3 d75.3 ± 11.7 d186 ± 6.5 b
WPI/PG-25 °C225.0 ± 0.6 b84.8 ± 11.8 c1238.6 ± 68.9 b47.3 ± 6.0 e90.3 ± 2.0 c
WPI/PG-45 °C232.6 ± 0.5 a92.4 ± 2.8 d1851.0 ± 141 e62.0 ± 7.0 b93.3 ± 9.2 c
WPI/PG-65 °C231.0 ± 0.4 a96.2 ± 7.8 d972.0 ± 28 f51.6 ± 4.7 f87.3 ± 11.0 c
WPI/PG-85 °C232.0 ± 0.0 a83.9 ± 4.5 c376.0 ± 13 g48.6 ± 6.4 e76.3 ± 6.0 d
Disclaimer/Publisher’s Note: The statements, opinions and data contained in all publications are solely those of the individual author(s) and contributor(s) and not of MDPI and/or the editor(s). MDPI and/or the editor(s) disclaim responsibility for any injury to people or property resulting from any ideas, methods, instructions or products referred to in the content.

Share and Cite

MDPI and ACS Style

Ommat Mohammadi, E.; Yeganehzad, S.; von Klitzing, R.; Miller, R.; Schneck, E. Structure–Function Effect of Heat Treatment on the Interfacial and Foaming Properties of Mixed Whey Protein Isolate/Persian Gum (Amygdalus scoparia Spach) Solutions. Colloids Interfaces 2026, 10, 2. https://doi.org/10.3390/colloids10010002

AMA Style

Ommat Mohammadi E, Yeganehzad S, von Klitzing R, Miller R, Schneck E. Structure–Function Effect of Heat Treatment on the Interfacial and Foaming Properties of Mixed Whey Protein Isolate/Persian Gum (Amygdalus scoparia Spach) Solutions. Colloids and Interfaces. 2026; 10(1):2. https://doi.org/10.3390/colloids10010002

Chicago/Turabian Style

Ommat Mohammadi, Elham, Samira Yeganehzad, Regine von Klitzing, Reinhard Miller, and Emanuel Schneck. 2026. "Structure–Function Effect of Heat Treatment on the Interfacial and Foaming Properties of Mixed Whey Protein Isolate/Persian Gum (Amygdalus scoparia Spach) Solutions" Colloids and Interfaces 10, no. 1: 2. https://doi.org/10.3390/colloids10010002

APA Style

Ommat Mohammadi, E., Yeganehzad, S., von Klitzing, R., Miller, R., & Schneck, E. (2026). Structure–Function Effect of Heat Treatment on the Interfacial and Foaming Properties of Mixed Whey Protein Isolate/Persian Gum (Amygdalus scoparia Spach) Solutions. Colloids and Interfaces, 10(1), 2. https://doi.org/10.3390/colloids10010002

Article Metrics

Back to TopTop