Valorization of Eggshell as Renewable Materials for Sustainable Biocomposite Adsorbents—An Overview
Abstract
1. Introduction


2. Adsorbent Preparation and Characterization
2.1. Adsorbent Preparation and Modification
2.2. Adsorbent Characterization
3. Adsorption of Model Compounds by Eggshell Biocomposite Adsorbents
3.1. Equilibrium Models
3.2. Kinetic Models
3.3. Temperature Effects and Thermodynamic Parameters
| Adsorbate | Adsorbent System | Adsorption Parameters | qe (mg/g) or Removal (%) | Equilibrium and Kinetic Models | Remarks ΔH° = X; ΔS° = Y; and ΔG° = Z | Ref. |
|---|---|---|---|---|---|---|
| Methylene Blue (MB), and Congo Red (CR) | ES matrix (ESP and membrane) | pH 5.23 (MB), pH 7.09 (CR) 1 g/100 mL; 200 rpm; 60 min, 298–343 K | 19.8 for MB and 62.1 mg/g for CR | Freundlich and PSO | X = −, Y = − Z = − For CR, Z = negative at 298 and 313 K. | [48] |
| RhB, Murexide, and Eriochrome black T (EBT) | CES | pH 5; 0.25 g/50 mL; 90 min; 2 mg/L dye solution | (RhB) = 2.0, (Murexide) = 1.03 and (EBT) = 1.56 | Langmuir, Dubinin-Radushke-vich (D-R), and PSO | EBT has the highest reported adsorption | [46] |
| Cu2+, Zn2+, Ni2+, Co2+, and soluble microbial product (bovine serum albumin, BSA) | ESP ESP-metal composite, ESP-M, was adsorbent for BSA | 5 g, 25 mL, 20 rpm, 25 °C, 24 h 0.2 g, 5 mL BSA in sodium acetate buffer. | qe (BSA) by ESP-M are listed: ESP-Zn = 32.6 ESP-Cu = 30.1 ESP-Co = 2.6 ESP-Ni = 0.3 | Sips and PSO | Zn showed higher binding to ESP than other metal ions. At investigated temperatures [277–323 K), ΔH° = +, ΔG° = −, ΔS° = + Good desorption of BSA was achieved with EDTA | [67] |
| Acid Orange 7 (AO7) Toluidine Blue (TB) | ESP decorated with Zn metal waste and chicken egg white (ESP/Zn/CEW) Eggshell decorated with Cu metal waste and chicken egg white (EPS/Cu/CEW) | pH 2 (AO7) pH 12 (TB); 5.0 mg/mL dye solution; 0.2 g/5 mL; 100 rpm; (AO7) took 30 min on ESP/Zn/CEW and 120 min on ESP/Cu/CEW, TB was 5 min for both adsorbents | (AO7) by ES/Zn/CEW = 64.10, (AO7) by ES/Cu/CEW = 100.56, (TB) by ES/Zn/CEW is 115.15 and (AO7) by ESP/Cu/CEW = 100.56 | Sips and PSO | Unsatisfactory result with the elution of AO7 from ES/Zn/CEW but 71.3% was recovered with ES/Cu/CEW. For TB, nearly 100% recovery from both adsorbents by using 50% glycerol mixed with 1 M (NH4)2SO4 as eluent. | [35] |
| Eriochrome black T (EBT), Methylene Blue (MB) | ESP; Strontium nanoferrites (SF), SF/ESP composite | EBT@ pH 2 MB @ pH 8; 0.05 g/50 mL; 100 mg/L; 150 rpm ESP is 90 min SF is 65 min SF/ESP is 40 min 298–328 K | (EBT) by SF = 39.12; (EBT) by SF/ESP = 42.52; (MB) by SF = 37.61; (MB) by SF/ESP = 42.26 | Langmuir and PSO | ΔH° = +, ΔS° = +, ΔG° = −. EBT desorption was achieved with 5% (v/v) 0.1 M NaOH/ethanol. Good MB desorption was obtained with 5% 0.1 M acetic acid/ethanol. Adsorbent re-usability declined (<40%) at the 4th cycle. | [63] |
| Tailor-made styryl Pyridium dye (addition of alkyl chains and different substituents) | Eggshell modified with sodium dodecyl sulphate (ESP-SDS) | 200 mg; 294–318 K | 15.13–303.00 | Freundlich and PSO | qe depends on the type of dye substituents and chain length. Higher qe were obtained for dyes with longer hydrophobic ends and stronger electrophiles (-Cl, -OMe, -NMe2). ΔH°, ΔS°, and ΔG° = negative | [20] |
| Methylene Blue (MB) | Eggshell and anthill clay (ESPAC) | 0.2 g/100 mL; 150 rpm, 30 °C | 23.87 | Freundlich and PSO | Central Composite Design CCD of the response surface methodology was involved in the experiment. There was correlation between the actual and the predicted responses. | [49] ** |
| Congo Red (CR) | ESP, CES, MWCNTs/ CES | 50 min for ESP 40 min for CES and MWCNTs/CES; 0.5 g/25 mL for ES, 0.05 mg/25 mL for CES and 0.02 g/25 mL for MWCNTS/CES; 100 mg/L dye solution; 293–333 K. | 5.76 for ESP; 58.14 for CES; 136.99 for MWCNTs/CES | Langmuir and PSO | Result from pH were not stated. Good desorption was achieved with 0.5 M HCl. ΔH° = −, ΔS° = − ΔG° = −. | [71] |
| Acid dye red nylon 57 (AN57) | Calcined eggshell decorated with sol gel TiO2 (TiO2/CES) | pH 3; 40 min; 100 mg/L; 200 rpm; 0.05 g/10 mL; 298–328 K. | 220.2 | Langmuir and PSO | Excellent desorption with 0.5 M HNO3. ΔH° = −, ΔS° = −. ΔG° = −. | [64] |
| Methyl red dye (MR) | ESP | pH 2; 180 min; 8 g/300 mL; 25 °C; 20 mg/L dye solution; 298–328 K | 1.66 | Langmuir and PSO | ΔH° = +, ΔS° = +, ΔG° = − | [51] |
| Remazol red 198 dye | Eggshell immobilized with polymer matrix of alginate and poly vinyl alcohol | pH 1; 180 min, 10 g/L; 500 rpm; 295–323 K | 46.9 | Freundlich and PSO | ΔH° = −, ΔS° = −, ΔG° = − | [7] ** |
| RBV-5R | ESP | pH 6; 700 rpm; 293 K; 20 mg/L dye level; 1.5 g/100 mL solution | 9.94 | Langmuir and PSO | Photocatalytic degradation with P25 (TiO2) catalyst | [53] |
| Reactive yellow 145 (RY 145), Cadmium | ESP | pH 2, RY145, pH 5, Cu; 150 mg/L; 80 min; 150 rpm; 303–318 K | 88.45 for RY145 101.5 for Cu | Freundlich, Sips, Redlich-Peterson, D-R, and PSO | ΔH° = +, ΔS° = −, ΔG° = − | [50] |
| Malathion | CES | 0.6 g, 100 mL, 300 ppm, pH 6, 2 h | 318.5 | Langmuir and PSO | Above 90% desorption was achieved at 500 °C until after the third cycle | [21] |
| MB, TB | CES | pH 7, 20 ppm, 50 mg, 50 mL, 15 min for MB and 10 min for TB | 17.35 MB, 16.22 TB | PSO | 83% degradation efficiency obtained at the 5th cycle with acetone. Photodegradation was employed; Chitosan-ESP showed reduced degradation efficiency | [59] |
| Phenol | ESP | 3.5 g, pH 9, 25 °C, 15 mg/L | 0.45 | Freundlich and PSO | ΔH° = −, ΔS° = +, ΔG = − | [52] |
| 2,4-dichlorophenol (2,4-DCP); (RhB); ciprofloxacin (CIP); tetracycline. HCl (TCH); Phenol (Ph) | CES | 5 mg, 30 mL, 100 mg/L, 120 min, 30 mg/L persulphate (to activate reaction) | 540, 600, 420, 510 and 570 was obtained for 2,4-DCP, RhB, CIP, TCH and Ph, respectively | PSO | 70% removal with ethanol and could increase to 80% after recalcination at 500 °C for 2 h | [69] |
| Phenol | CES without membrane (CES1); CES; calcined membrane (CEMemb) | 500 mg, 50 mL, pH 5.7, 150 rpm, 25 °C, and 48 h | CES1 =119; CES = 143; CEMemb = 192 | Langmuir, Sips, and Redlich-Peterson | ΔH° = −, ΔS° = −, ΔG° = − | [62] |
| Pollutants | Adsorbents | Adsorption Parameters | qe (mg/g) | Equilibriumand Kinetic Models | Remarks | Ref. |
|---|---|---|---|---|---|---|
| Pb2+, Cu2+ | ESP, banana peel powder (BPP) Pumpkin powder (PP) | pH 7, 0.1 g, 90 min, 100 mL, 5 ppm, 100 rpm | Not reported (NR) | NR | Pb2+ had higher adsorption than Cu2+ | [72] |
| Al3+, Fe2+, and Zn2+ | ESP, membrane biological reactor (MBR) | 10 g, 1 L containing 12 ppm Zn2+, 6 ppm Al3+ and 6.5 ppm Fe2+, 2 h, 500 rpm 25 °C | 60 Al3+ 48.1 Fe2+ 70.8 Zn2+ | NR | ESP, and in combination with MBR. ESP was more selective to Al3+ | [106] |
| Pb2+, Cu2+, Zn2+, Cd2+ | Chitosan (Ch), sugar beet factory lime (SBFL), ESP, humate potassium (HK) | 2 g, 40 mL, 24 h, room temp | 0.01 Cd2+, 8.1 Cu2+, 2.2 Zn2+, Pb2+ was not detected | Freundlich and PSO | Ch > SBFL > ESP > HK. Cd2+ removal was higher in HK and Ch | [107] |
| Fe3+, Cu2+, Zn2+, Mn2+, AsO3−, Cd2+ (from AMD) | Calcined eggshells (CES), microalgae, Chlorella vulgaris | 3.0 g/L, 30 min, and 40 L | 6.25 Cu2+, 5.29 Zn2+, 2.78 Mn2+, 0.1 AsO3−, 0.07 Cd2+, 36.78 Fe3+ | NR | The hybrid system removed 99–100% of all the metal ions | [66] |
| Fe3+, Pb2+, Zn2+, Cu2+, Ni2+, Cr6+ from landfill leachate | CES in column experiment preceded by a coagulation-flocculation (CF) process | 2.0 mL/min, 11 min EBCT, pH 6.8, 25 °C, 11 days operational time and 25.5 g. | 3.93 Fe3+, 0.45 Pb2+, 4.6 Zn2+, 1.24 Cu2+, 1.33 Ni2+, 0.89 Cr6+ | Thomas, Yoo-Nelson, Adams-Bohart | CES column is comparable with granular activated carbon (GAC) | [108] |
| Cu2+, Cd2+, Pb2+, Cr6+, Zn2+ | CaCO3 from starfish, conventional adsorbents: commercial CaCO3, crab shell, sawdust, activated carbon | 5 g, 1 L, pH 7, 3 mg/kg, 20 °C, 20 min column residence time | 0.52 Cu2+, 0.57 Cd2+, 0.49 Cr6+, 0.52 Zn2+, 0.47 Pb2+ | PSO | Adsorbents showed excellent removal (%). CaCO3 from starfish was the highest. Desorption was higher using 5 or 7 M HNO3 versus NaOH | [109] |
| Pb2+, Cd2+, Zn2+ | Mollusk shell powder in aragonite phase (razor clam shells, RSC), and calcite phase (oyster shell powder, OS) | 20 mg, 150 mL, pH 6, 48 h, 25 °C | RSC: 553.3 Zn2+, 656.8 Pb2+, 501.3 Cd2+; OS: 564.4 Zn2+, 1591.3 Pb2+, 120.3 Cd2+ | Freundlich | Both BCa sorbents showed similar sorption capacities for Zn; OS had higher sorption for Pb, while both had low sorption for Cd | [40] |
| Cd2+, Pb2+, Cu2+ from AMD | ESP | pH 2.4, Effluent flow rate = 10 mL/min, bed depth = 10 cm; 0.39 mg Cd2+/L; 1.2 mg Pb2+/L; 6.3 mg Cu2+/L | 1.57 Cd2+, 146.44 Pb2+, 387.51 Cu2+ | Thomas, BDST, Adams-Bohart | % desorption with 0.1 M HNO3: 52.1–86.9% Cd2+ 18.3–46.5% Pb2+, 34.3–58.9% Cu2+ | [68] |
| Solution of Ni2+, Cu2+, Cd2+ | Clay limestone, WM, ESP, eggshell after hatching, ESH | 1 g, 200 mL, 3 h, 500 rpm, pH range 4.6–5.4 | NR | PSO | [110] | |
| Pb2+ | Surface modified eggshell powder with: NaOH, Na-ESP; HNO3, HN-ESP; KMnO4, K-ESP | 50 mL, pH 5, 150 mg/L, 10 mg, 1 h, room temp. | K-ESP had 727.5; Na-ESP had 375, HN-ESP had 150 | Langmuir and PSO | The confidence level using central composite design, CCD, is above 95%. ΔH° = +, ΔS° = + ΔG° = − | [41] |
| Pb2+, Cr3+, Fe3+, Cu2+ | Vaterite CaCO3 from oyster shells; Commercially available CaCO3 | 30 mg, 30 mL, 1000 ppm, 60 min | 999 Pb2+, 995 Cr3+, 993 Fe3+, 571 Cu2+. | NR | Pb2+ was tested with commercial CaCO3 and 78% was adsorbed, Lead removal (%) in real wastewater was 95.1% | [65] |
| Pb2+, Cu2+, Zn2+, Cd2+ | Bentonite and ESP, BEP, Ca-bentonite | 1.0 g, 50 mL, 200 mg/L, 3 h, 25 °C | 9.99 Pb2+ and Cu2+, 6.0 Cd2+ and 5.5 Zn2+ | Elovich | In a mixed metal solution, the removal order was Cu2+ > Pb2+ > Zn2+ > Cd2+. The composite has 96.90% | [39] |
| Pb2+ | Carbonate hydroxyapatite (CHAP) from ESP | pH 6.0, 60 min, 101 mg/g, 225 rpm, 200 mg/L | 94.5 mg Pb (II)/g CHAP | NR | [36] | |
| Pb2+ | Mechanochemical activation of CaCO3 | CaCO3/Pb (II) at 1:1, M2+/Pb (II) at 1:1, 90 min, 300 rpm | Above 99% removal was recorded | NR | The efficiency of removal for Zn2+, Mn2+, Ni2+, Cd2+, was less than 1% | [111] |
| Cd2+ | ESP | 150 mg/L, 75 min, 0.75 g, pH 6, room temp. | 146 mg/g | Freundlich and PSO | Central composite design (CCD) was employed for optimization | [22] |
| Cd2+ | CaCO3 induced by Bacillus subtilis, BCa, abiotic CaCO3: limestone and Analytical reagent grade AR-CaCO3 | pH 5, 25 °C, 196 mg/L | BCa had 172.41; AR-CaCO3 had 6.31; limestone had 21.01; Bacillus subtilis debris had 40.82 | Langmuir and PSO | [37] | |
| Cr3+ from real chrome tanning waste-water | ESP, marble powder | pH 3.81, 20 g/L ESP, 12 g/L marble powder, 3.21g/L, 14 h for ESP, 30 min for powdered marble, 250 rpm, and 50 mL | 159 ESP, 262 powdered marble | Langmuir and PSO | ΔH° = +, ΔS° = + ΔG° = − | [112] |
| Cu2+ | Co-grinding copper sulfate solution with CaCO3 | pH 5.61, Cu (II) was 0.001 mol/L, CaCO3/Cu2+ at 1:1, 100 min milling, 300 rpm, 10% milling balls | The removal is 99.76% | Ni2+, Mn2+, Zn2+, Cd2+ present remained in solution at about 94.7%, 98.8, 75.2, and 84.5%, respectively | [70] | |
| Cu2+ from sulfate bearing wastewater | Co-grinding wastewater with CaCO3; with solutions of Cu(NO3)2, CuCl2 | 300 mL, 300 mg/L, 200 g milling beads, 30 min, Ca/Cu2+ was 1:1 | 99% Cu2+ removal with CaCO3/Cu2+; 13% with NO3−, 33% with Cl− | [73] | ||
| Cu2+, Mn2+, Zn2+, Ni2+ | Mechanically activated CaCO3 | 1 mM MSO4 solution, Ca/M2+ molar ratio is 1:1, 230 rpm, 100 min, 200 g milling balls | Recovery of Cu2+ and Zn 2+ were 99 and 53% respectively while Ni2+ and Mn2+ were below 5% | PSO | [38] |
| Adsorbate | Adsorbent System | Adsorption Parameters | qe (mg/g) | Equilibrium and Kinetic Models | Remarks | Ref. |
|---|---|---|---|---|---|---|
| PO43− | CES | 5 g, 2 mg/L, 100 mL, 25 °C, 100 rpm, 2 h | 3.68 | Langmuir | 80% removal with real wastewater | [56] |
| H2PO4− | ESP, CES | 25 mL, 100 mg/L, pH 5, 0.05 g, 24 h | ESP =178.6; CES = 270.3 | Langmuir | Co-anion reduced the adsorption capacity of both biosorbents thus: Cl− ~ NO3− < SO42− << HCO3− | [57] |
| CN− | CES | pH 7, 10 mL, 0.01 M | 3.27 mg/g | Langmuir | [58] | |
| PO43− and SO42− in slaughter wastewater (SWW) | Syn. Ca(Ac)2 from ES | pH 12, 465.75 mg SO42−/L, 856 mg PO43−/L, 50 mL, 0.175 g | 86.2 mg SO42−/g, 99.1 mg PO43−/g. | PSO | High removal of TSS, metal ions, fecal, and coliforms. | [55] |
| F− | CES | pH 7, 25 °C | 258.28 | Langmuir and PSO | Co-anions decreased adsorption in this order: HPO43− > HCO3− >> SO42− > Cl− ΔH° = +, ΔS° = +, and ΔG° = −. | [60] |
| F− | ESP | 100 mL, 250 rpm, 1 h, 0.5 g, 303 K, and pH 6 | 1.09 | Langmuir and PSO | ΔH° = −, ΔS° = −, and ΔG° = − | [23] |
| NO3− | ESP, BC-3, nZVI-BC-3, CES-BC-3 | 40 mL, 200 mg/L, 150 rpm, pH 5, 24 h, and 1 g/L | nZVI-BC-3 has 148.1, CES-BC-3 has 72.77 | Freundlich and PSO | Decreased sorption due to co-existing chloride: nZVI-BC-3 < ESP-BC-3 < CES < BC-3 | [42] |
| PO43− | ESP, ESP-Al | 100 mL, 0.1 g ESP-Al in 5 mg (P)/L, 10 mg (P)/L in 1 g ESP, 200 rpm, and 313 K | ESP, ESP-Al respectively has 0.57 and 6.23 mg(P)/g | Langmuir and PSO | [44] | |
| PO43− | RS, BC-1, CES-BC-1 | 0.05 g, 50 mL, 200 mg P/L, 180 rpm, 25 °C, and 24 h | RS = 2.173, BC-1 = 101.0, CES-BC-1 = 109.7 | PSO | [43] | |
| HPO42− | CES | 30 mL, 0.3 g, 600 mg P-PO4/L, pH 8, 25 °C, 2 h, 100 rpm | Sips and PSO | [61] | ||
| HPO42− | RS, BC-2 CES-BC-2 | 0.01 g. 40 mL, 220 rpm, pH 7, 298 K | CES-BC-2 has 231 | Langmuir and PSO | Co-existing anions affect the trend in uptake: HCO3− > SO42− > NO3− > Cl− ΔH° = +, ΔS° = +, and ΔG° = − | [54] |
| PO43− | CES, PES, PES-BC-3 | 20 mg, 200 rpm, 2 h, 200 mg P/L | PES-BC-3 has 109.7 | Langmuir and PSO | CES < PES < PES-BC-3 | [24] |
| Adsorbate-Adsorbent Systems | Temp. (K) | ΔH° (kJ/mol) | ΔS° (J/mol.K) | ΔG° (kJ/mol) | Ref |
|---|---|---|---|---|---|
| Remazol red 198-immESP | 295 | −3.33 | −7.95 | −973.9 | [7] |
| Styryl pyridinium dye -ESP-SDS | 300 | 69.3 | 281.3 | 15.3 | [20] |
| F—ESP | 303 | −58.15 | −0.16 | −9.01 | [23] |
| CR-ES matrix | 298 | −22.61 | −70.86 | −1630.1 | [48] |
| MB-ES matrix | 298 | −63.04 | −185.79 | −8949.3 | [48] |
| Pb2+-ESP | 295 | 55 | 209.3 | −6.58 | [41] |
| Cd2+-ESP | 303 | 26.28 | 86.57 | −49.2 | [50] |
| RY4-ESP | 303 | 18.02 | 60.16 | −251.8 | [50] |
| MR-ESP | 298 | 31.90 | 150 | −11.6 | [51] |
| Phenol-ESP | 295 | −388.9 | 1.65 | −7.40 | [52] |
| HPO42−-CES-BC-2 | 298 | 2.06 | 16.5 | −2.85 | [54] |
| F—CES | 298 | 92.34 | 315.91 | −1.85 | [60] |
| Phenol-CES1 | 303 | −27.23 | −80 | −34.6 | [62] |
| Phenol-CEMemb | 303 | −39.95 | −100 | −27.8 | [62] |
| Phenol-CES | 303 | −22.23 | −70 | −25.0 | [62] |
| MB-SF/ESP composite | 298 | 80.36 | 36.72 | −11.3 | [63] |
| EBT-SF/ESP composite | 298 | 72.39 | 33.12 | −9.7 | [63] |
| AN57-TiO2/CES | 298 | −0.11 | −300 | 15.4 | [64] |
| Zn2+-ESP | 298 | 27.61 | 143.02 | −14.3 | [67] |
| CR-ESP | 293 | −7.4 | −21.31 | −1.1 | [71] |
| CR-CES | 293 | −8.84 | −5.92 | −7.08 | [71] |
| CR-MWCNTs/CES | 293 | −17.74 | −22.22 | −11.4 | [71] |
| Cr3+-ESP | 298 | 121.35 | 423.1 | −5.7 | [114] |
| Pollutant Ions and Dyes | Conventional Adsorbents | qe (mg/g) | Ref. |
|---|---|---|---|
| MB dye | Tea activated carbon (TAC) | 24.9–433 | [115] |
| Coconut shell-derived hydrochar | 187.7 | [116] | |
| RBV 5 dye | Sawdust-based AC | 453.0 | [117] |
| Coal-based AC | 201.1 | [117] | |
| Cocoa pod husk-based AC | 13.0 | [118] | |
| Methyl red dye | Sepiolite | 70.8 | [119] |
| AC | 78.3 | [119] | |
| Reactive yellow dye | Rice husk AC | 5000 | [120] |
| CR dye | Carbon nanotubes | 500 | [121] |
| Activated carbon (AC) | 312.5 | [121] | |
| Guava peel activated carbon | 120.6 | [122] | |
| Commercial activated carbon (CAC) | 71.4 | [123] | |
| RhB dye | Geopolymer coal gangue | 0.77–1.0 | [124] |
| Activated sugar-based carbon | 123.5 | [125] | |
| Activated carbon from Gmelina aborea leaves | 1000 | [118] | |
| Cu2+ | chitosan–montmorillonite composite aerogel | 87.0 | [126] |
| Diphenylcarbazide chitosan hydrogel | 185.5 | [127] | |
| Pb2+ | Natural zeolite | 33.9 | [128] |
| Sugar cane/Organge biochar | 87.0/27.9 | [94] | |
| Cd2+ | Zeolite molecular sieves | 197.5 | [129] |
| Natural (clinoptilolite) zeolites | 15.8 | [130] | |
| MWCNTs | 201 | [114] | |
| Fe3+ | Natural (clinoptilolite) zeolites | 17.8 | [130] |
| Zn2+ | Natural zeolite | 29.0 | [128] |
| CNTs | 156.3 | [131] | |
| Ni2+ | Natural zeolite | 27.1 | [128] |
| Natural (clinoptilolite) zeolites | 13.1 | [130] | |
| PO43− | Granular ternary agrowaste adsorbent | 9–30 | [16] |
| Zr/chitosan beads | 67.7 | [132] | |
| Peanut shell biochar | 3.8 | [133] | |
| Fe/AC | 6.59–15.9 | [134] | |
| Crawfish char | 9.5-70.9 | [135] | |
| SO42− | Granular agrowaste adsorbent Granular ternary agrowaste adsorbent | 77–117 22–20 | [136] [137] |
| Magnetic MWCNTs | 56.9 | [138] | |
| Barium-modified analcime | 13.7 | [139] | |
| F− | Activated alumina | 10.2–101 | [140] |
| Palm shell AC, PSAC, PSAC/MgSiO3 | 106.4 113.6 | [141] | |
| Alumina | 513.9 | [142] | |
| NO3− | AC from sugar beet bagasse | 9.14–27.6 | [143] |
| GAC from grape wood | 37.5 | [144] | |
| Zero valent iron nano particles (NZVI) | 36.3 | [144] | |
| GAC/NZVI | 55.8 | [144] | |
| Carbon/silica composite | 11.5 | [145] | |
| Zr/chitosan beads | 80.2 | [132] |
3.4. Adsorption Mechanism

| Mechanism | Pollutant/Adsorbent | Remarks and Reference |
|---|---|---|
| Electrostatic Interaction (EI) | AN57 dye/CES-TiO2, Styryl pyridinium tailored dye/ESP-SDS, Reactive yellow 145 dye/ESP and Cd2+/CES CR/ESP MB/Immob ESP and EBT/Immob ESP Zn/ESP; BSA/ESP/Zn MB/CEAC Remazol reactive red 198 dye/Immob ESP with PVC and alginate CR/CES RBV-5R/ES MB/ESP | Interaction of -SO3− and localized dye with Ti2+ or Ca2+ [64]. Ionic bond formation between sulphate groups and the cationic amino acid side chains of the tailored dye due to oppositely charged surfaces at variable pH [20]. Result obtained from point of zero charge allowed a suitable control of pollutant pH and thus electrostatic attraction was attributed to their adsorption [50]. Electrostatic interactions between -SO32− of the dye and the eggshell whose surface is positively charged at low pH is responsible for the mechanism [48]. Electrostatic attraction between oppositely charged ions at different pH [63,67]. Interaction of adsorbate with surface CaO, SiO2, Al2O3, and ZrO2 sites on the CEAC [49]. Kinetic results support the role of chemisorption and exchangeable H+ present at the -SiOH or -OH groups of eggshell could interact with the adsorbate [7]. The zeta potential (+10 mV) is suggestive of electrostatic interactions [71]. The dye sulfonate group is attracted to the protonated ES surface [53]. Pores between the collagen and glycoprotein fibers in the eggshell membrane-controlled movement of ions and dissolution of calcium salt of the eggshell, where the dye in solution leads to the release of ions as a major contributor to this mechanism [48]. |
| Involves weak valence forces and sharing or exchange of electrons | CR/MWCNTs-CES | Adsorption via van der Waals forces is proposed. Negative zeta potential suggests electrostatic repulsive forces, where weak intermolecular forces play an important role [71]. |
| Mechanism | Pollutant/Adsorbate | Ref. |
|---|---|---|
| Ion exchange: Ion exchange occurred between metal ions and Ca2+ on the eggshell surface or onto CaCO3 M2+(solution) + Ca2+(adsorbent) ⇌ M2+(adsorbent) +Ca2+ (solution) | Ni2+, Cu2+, Cd2+/WM, ESP, ESH-M Pb/ESP; Na-ESP; HN-ESP; K-ESP Mechanically activated CaCO3/MSO4 AMD/Bentonite, ESP, BEP Pb/CHAP Al3+, Fe2+, Zn2+/ESP Cd2+, Cu2+, Pb2+ and Zn2+/Ch, SBFL, ESP, HK | [67,110] [41] [38] [39] [36] [106] [107] |
| Precipitation: Precipitation can occur since adsorption is pH dependent. If pH is high, precipitation can take place resulting in the formation of hydroxides or carbonates. CaCO3 ⇌ Ca2+ + CO32− CO32− + H2O ⇌ HCO3− + OH− | Al3+, Fe2+, Zn2+/ESP Mechanically activated CaCO3/MSO4 Cd2+, Cu2+, Pb2+ and Zn2+/Ch, SBFL, ESP, HK | [106] [73] [107] |
| Electrostatic attraction: Occurs between oppositely charged ions. | Ni2+, Cu2+, Cd2+/WM, ESP, ESH, ESP-M Pb2+/ESP; Na-ESP; HN-ESP; K-ESP Pb from AMD/Bentonite, ESP, BEP | [67,110] [41] [39] |
| Metal complexation: It may involve complexation of OH− or CO32− between Pb2+ and ligands on the adsorbent surface. | Pb2+/ESP; Na-ESP; HN-ESP; K-ESP Pb2+ from AMD/Bentonite, ESP, BEP Pb2+/CHAP | [41] [39] [36] |
4. Future Perspectives
4.1. Eggshell Waste in Catalytic Applications
- (1)
- Biodiesel production: The search for biodiesel as alternatives to conventional fossil fuels is supported by the increasing rise of global warming and energy crises. Biodiesels are produced by transesterification of triglycerides with methanol using catalysts at various conditions (reaction time, type and ratio of starting material, and catalyst loading), but it is reported that the role the calcium oxide content and catalyst surface area are very important in catalytic activity. A commonly used heterogeneous catalyst is CaO, which can be obtained from different sources such as eggshell or ashes [167]. It was reported that 95% biodiesel yield was obtained when the calcination of ES is performed above 800 °C [188], while a yield of 90% and reusability of the catalyst up to six times without significant loss in activity [123]. In 2010, investigation on the use of quail and chicken eggshell for the production of biodiesel and the quail eggshell was reported to provide better catalytic activity [189]. Another study reported a yield of 100% biodiesel from used cooking oil [190].
- (2)
- Hydrogen gas synthesis: A cleaner alternative fuel that yields less pollution is desirable because CO2 is a major greenhouse gas released through anthropogenic activities. Thus, H2 is receiving greater attention and its production through gasification is a research topic of interest. Gasification of carbonaceous material can be significantly improved using catalyst [191]. The addition of eggshell as catalyst suppressed the production of CO2, due to adsorption by CaO, which also promotes H2 generation by the water gas shift reaction [192].
- (3)
- Industrial chemical production: Less toxic chemicals such as dimethyl carbonate, oximes, and glycerol oligomers used in the methylation reaction and other organic synthesis are replacing the more toxic ones like dimethyl halides and dimethyl sulfate. Successful dimethyl carbonate synthesis was performed using calcined eggshell as the catalyst. Transesterification of propylene carbonate and methanol was done, where 75% DMC yield was obtained. It was reported that ESP showed similar activity to pure CaO.
- (4)
- Synthesis of bioactive compounds: Bioactive compounds are used in cosmetics, pigments, and biodegradable agrochemicals. The use of catalysts based on eggshell to synthesize bioactive compounds like chromenes, pyran derivatives, and aromatic aldehydes were reported previously. ES have been used in the synthesis of 2-aminochromenes and pyrano[4,3-b]pyrans. These compounds possess antiviral, anticarcinogenic, and antifungal activities [193,194].


4.2. The Use of Eggshell Waste in Slow-Release Fertilizer (SRF) System

4.3. Eggshell Applications in Wastewater Treatment
5. Conclusions
Supplementary Materials
Author Contributions
Funding
Data Availability Statement
Acknowledgments
Conflicts of Interest
References
- Gasper, D.; Shah, A.; Tankha, S. The Framing of Sustainable Consumption and Production in SDG 12. Glob. Policy 2019, 10, 83–95. [Google Scholar] [CrossRef]
- Vandeginste, V. Food waste eggshell valorization through development of new composites: A review. Sustain. Mater. Technol. 2021, 29, e00317. [Google Scholar] [CrossRef]
- Lee, M.; Tsai, W.-S.; Chen, S.-T. Reusing shell waste as a soil conditioner alternative? A comparative study of eggshell and oyster shell using a life cycle assessment approach. J. Clean. Prod. 2020, 265, 121845. [Google Scholar] [CrossRef]
- Zhang, X.; He, X.; Kang, Z.; Cui, M.; Yang, D.-P.; Luque, R. Waste Eggshell-Derived Dual-Functional CuO/ZnO/Eggshell Nanocomposites: (Photo)catalytic Reduction and Bacterial Inactivation. ACS Sustain. Chem. Eng. 2019, 7, 15762–15771. [Google Scholar] [CrossRef]
- Pliya, P.; Cree, D. Limestone derived eggshell powder as a replacement in Portland cement mortar. Constr. Build. Mater. 2015, 95, 1–9. [Google Scholar] [CrossRef]
- Homavand, A.; Cree, D.E.; Wilson, L.D. Polylactic Acid Composites Reinforced with Eggshell/CaCO3 Filler Particles: A Review. Waste 2024, 2, 169–185. [Google Scholar] [CrossRef]
- Elkady, M.; Ibrahim, A.M.; El-Latif, M.A. Assessment of the adsorption kinetics, equilibrium and thermodynamic for the potential removal of reactive red dye using eggshell biocomposite beads. Desalination 2011, 278, 412–423. [Google Scholar] [CrossRef]
- De Angelis, G.; Medeghini, L.; Conte, A.M.; Mignardi, S. Recycling of eggshell waste into low-cost adsorbent for Ni removal from wastewater. J. Clean. Prod. 2017, 164, 1497–1506. [Google Scholar] [CrossRef]
- Chen, W.; Wu, Y.; Xie, Z.; Li, Y.; Tang, W.; Yu, J. Calcium hydroxide recycled from waste eggshell resources for the effective recovery of fluoride from wastewater. RSC Adv. 2022, 12, 28264–28278. [Google Scholar] [CrossRef]
- Gu, T.; Yin, C.; Ma, W.; Chen, G. Municipal solid waste incineration in a packed bed: A comprehensive modeling study with experimental validation. Appl. Energy 2019, 247, 127–139. [Google Scholar] [CrossRef]
- Ramachandra, T.; Bharath, H.; Kulkarni, G.; Han, S.S. Municipal solid waste: Generation, composition and GHG emissions in Bangalore, India. Renew. Sustain. Energy Rev. 2018, 82, 1122–1136. [Google Scholar] [CrossRef]
- Cudjoe, D.; Acquah, P.M. Environmental impact analysis of municipal solid waste incineration in African countries. Chemosphere 2021, 265, 129186. [Google Scholar] [CrossRef] [PubMed]
- Sondh, S.; Upadhyay, D.S.; Patel, S.; Patel, R.N. A strategic review on Municipal Solid Waste (living solid waste) management system focusing on policies, selection criteria and techniques for waste-to-value. J. Clean. Prod. 2022, 356, 131908. [Google Scholar] [CrossRef]
- Ferraz, E.; Gamelas, J.A.F.; Coroado, J.; Monteiro, C.; Rocha, F. Eggshell waste to produce building lime: Calcium oxide reactivity, industrial, environmental and economic implications. Mater. Struct. 2018, 51, 115. [Google Scholar] [CrossRef]
- Zhang, X.; Chelliappan, B.; Rajeswari, S.; Antonysamy, M. Recent Advances in Applications of Bioactive Egg Compounds in Nonfood Sectors. Front. Bioeng. Biotechnol. 2021, 9, 738993. [Google Scholar] [CrossRef]
- Steiger, B.G.K.; Bui, N.T.; Babalola, B.M.; Wilson, L.D. Eggshell incorporated agro-waste adsorbent pellets for sustainable orthophosphate capture from aqueous media. RSC Sustain. 2024, 2, 1498–1507. [Google Scholar] [CrossRef]
- Mohamed, M.H.; Udoetok, I.A.; Solgi, M.; Steiger, B.G.K.; Zhou, Z.; Wilson, L.D. Design of Sustainable Biomaterial Composite Adsorbents for Point-of-Use Removal of Lead Ions from Water. Front. Water 2022, 4, 739492. [Google Scholar] [CrossRef]
- Ho, W.-F.; Hsu, H.-C.; Hsu, S.-K.; Hung, C.-W.; Wu, S.-C. Calcium phosphate bioceramics synthesized from eggshell powders through a solid state reaction. Ceram. Int. 2013, 39, 6467–6473. [Google Scholar] [CrossRef]
- Hassan, T.A.; Rangari, V.K.; Rana, R.K.; Jeelani, S. Sonochemical effect on size reduction of CaCO3 nanoparticles derived from waste eggshells. Ultrason. Sonochem. 2013, 20, 1308–1315. [Google Scholar] [CrossRef]
- Guru, P.S.; Dash, S. Adsorption of Some Tailor-Made Styrylpyridinium Dyes on Sodium Dodecylsulphate-Treated Eggshell Particles (SDS-ESP): Impact of Dye Chain-Length and Substituent. J. Dispers. Sci. Technol. 2013, 34, 898–907. [Google Scholar] [CrossRef]
- Elwakeel, K.Z.; Yousif, A.M. Adsorption of malathion on thermally treated egg shell material. IWTC 2010, 14, 53–65. [Google Scholar] [CrossRef] [PubMed]
- Tizo, M.S.; Blanco, L.A.V.; Cagas, A.C.Q.; Cruz, B.R.B.D.; Encoy, J.C.; Gunting, J.V.; Arazo, R.O.; Mabayo, V.I.F. Efficiency of calcium carbonate from eggshells as an adsorbent for cadmium removal in aqueous solution. Sustain. Environ. Res. 2018, 28, 326–332. [Google Scholar] [CrossRef]
- Bhaumik, R.; Mondal, N.K.; Das, B.; Roy, P.; Pal, K.C.; Das, C.; Baneerjee, A.; Datta, J.K. Eggshell powder as an adsorbent for removal of fluoride from aqueous solution: Equilibrium, kinetic and thermodynamic studies. J. Chem. 2012, 9, 1457–1480. [Google Scholar] [CrossRef]
- Pérez, S.; Muñoz-Saldaña, J.; Acelas, N.; Flórez, E. Phosphate removal from aqueous solutions by heat treatment of eggshell and palm fiber. J. Environ. Chem. Eng. 2021, 9, 104684. [Google Scholar] [CrossRef]
- Guru, P.S.; Dash, S. Sorption on eggshell waste—A review on ultrastructure, biomineralization and other applications. Adv. Colloid Interface Sci. 2014, 209, 49–67. [Google Scholar] [CrossRef]
- Owuamanam, S.; Cree, D. Progress of bio-calcium carbonate waste eggshell and seashell fillers in polymer composites: A review. J. Compos. Sci. 2020, 4, 70. [Google Scholar] [CrossRef]
- Bashir, A.S.M.; Manusamy, Y. Characterization of Raw Egg Shell Powder (ESP) as a Good Bio-filler. J. Eng. Res. Technol. 2016, 2, 2015. Available online: https://journals.iugaza.edu.ps/index.php/JERT/article/view/1637 (accessed on 1 September 2024).
- Nys, Y.; Gautron, J.; Garcia-Ruiz, J.M.; Hincke, M.T. Avian eggshell mineralization: Biochemical and functional characterization of matrix proteins. C. R. Palevol 2004, 3, 549–562. [Google Scholar] [CrossRef]
- Arias, J.L.; Fink, D.J.; Xiao, S.-Q.; Heuer, A.H.; Caplan, A.I. Biomineralization and Eggshells: Cell-Mediated Acellular Compartments of Mineralized Extracellular Matrix. Int. Rev. Cytol. 1993, 145, 217–250. [Google Scholar] [CrossRef]
- Boronat, T.; Fombuena, V.; Garcia-Sanoguera, D.; Sanchez-Nacher, L.; Balart, R. Development of a biocomposite based on green polyethylene biopolymer and eggshell. Mater. Des. 2015, 68, 177–185. [Google Scholar] [CrossRef]
- Mittal, A.; Teotia, M.; Soni, R.; Mittal, J. Applications of egg shell and egg shell membrane as adsorbents: A review. J. Mol. Liq. 2016, 223, 376–387. [Google Scholar] [CrossRef]
- Ketta, M.; Tůmová, E. Eggshell structure, measurements, and quality-affecting factors in laying hens: A review. Czech J. Anim. Sci. 2016, 61, 299–309. [Google Scholar] [CrossRef]
- Tsai, W.; Yang, J.; Lai, C.; Cheng, Y.; Lin, C.; Yeh, C. Characterization and adsorption properties of eggshells and eggshell membrane. Bioresour. Technol. 2006, 97, 488–493. [Google Scholar] [CrossRef] [PubMed]
- Walsh, P.P.; Banerjee, A.; Murphy, E. The UN 2030 Agenda for Sustainable Development. In Partnerships and the Sustainable Development Goals; Springer International Publishing: Cham, Switzerland, 2022; pp. 1–12. [Google Scholar]
- Lin, T.-Y.; Chai, W.S.; Chen, S.-J.; Shih, J.-Y.; Koyande, A.K.; Liu, B.-L.; Chang, Y.-K. Removal of soluble microbial products and dyes using heavy metal wastes decorated on eggshell. Chemosphere 2021, 270, 128615. [Google Scholar] [CrossRef]
- Liao, D.; Zheng, W.; Li, X.; Yang, Q.; Yue, X.; Guo, L.; Zeng, G. Removal of lead(II) from aqueous solutions using carbonate hydroxyapatite extracted from eggshell waste. J. Hazard. Mater. 2010, 177, 126–130. [Google Scholar] [CrossRef]
- Liu, R.; Lian, B. Immobilisation of Cd(II) on biogenic and abiotic calcium carbonate. J. Hazard. Mater. 2019, 378, 120707. [Google Scholar] [CrossRef]
- Wen, T.; Zhao, Y.; Zhang, T.; Xiong, B.; Hu, H.; Zhang, Q.; Song, S. Selective recovery of heavy metals from wastewater by mechanically activated calcium carbonate: Inspiration from nature. Chemosphere 2020, 246, 125842. [Google Scholar] [CrossRef]
- Wang, G.; Liu, N.; Zhang, S.; Zhu, J.; Xiao, H.; Ding, C. Preparation and application of granular bentonite-eggshell composites for heavy metal removal. J. Porous Mater. 2022, 29, 817–826. [Google Scholar] [CrossRef]
- Du, Y.; Lian, F.; Zhu, L. Biosorption of divalent Pb, Cd and Zn on aragonite and calcite mollusk shells. Environ. Pollut. 2011, 159, 1763–1768. [Google Scholar] [CrossRef]
- Basaleh, A.A.; Al-Malack, M.H.; Saleh, T.A. Metal removal using chemically modified eggshells: Preparation, characterization, and statistical analysis. Desalination Water Treat. 2020, 173, 313–330. [Google Scholar] [CrossRef]
- Ahmad, M.; Ahmad, M.; Usman, A.R.A.; Al-Faraj, A.S.; Abduljabbar, A.S.; Al-Wabel, M.I. Biochar composites with nano zerovalent iron and eggshell powder for nitrate removal from aqueous solution with coexisting chloride ions. Environ. Sci. Pollut. Res. 2018, 25, 25757–25771. [Google Scholar] [CrossRef] [PubMed]
- Cao, H.; Wu, X.; Syed-Hassan, S.S.A.; Zhang, S.; Mood, S.H.; Milan, Y.J.; Garcia-Perez, M. Characteristics and mechanisms of phosphorous adsorption by rape straw-derived biochar functionalized with calcium from eggshell. Bioresour. Technol. 2020, 318, 124063. [Google Scholar] [CrossRef] [PubMed]
- Guo, Z.; Li, J.; Guo, Z.; Guo, Q.; Zhu, B. Phosphorus removal from aqueous solution in parent and aluminum-modified eggshells: Thermodynamics and kinetics, adsorption mechanism, and diffusion process. Environ. Sci. Pollut. Res. 2017, 24, 14525–14536. [Google Scholar] [CrossRef] [PubMed]
- Steiger, B.G.; Zhou, Z.; Anisimov, Y.A.; Evitts, R.W.; Wilson, L.D. Valorization of agro-waste biomass as composite adsorbents for sustainable wastewater treatment. Ind. Crops Prod. 2023, 191, 115913. [Google Scholar] [CrossRef]
- Borhade, A.V.; Kale, A.S. Calcined eggshell as a cost effective material for removal of dyes from aqueous solution. Appl. Water Sci. 2017, 7, 4255–4268. [Google Scholar] [CrossRef]
- Li, Z.L.; Wei, Y.D.; Wei, J.N.; Chen, K.Y.; He, Y.; Wang, M.M. Monodispersed CaCO3@hydroxyapatite/magnetite microspheres for efficient and selective extraction of benzoylurea insecticides in tea beverages samples. J. Hazard. Mater. 2022, 433, 128754. [Google Scholar] [CrossRef]
- Abdel-Khalek, M.; Rahman, M.A.; Francis, A. Exploring the adsorption behavior of cationic and anionic dyes on industrial waste shells of egg. J. Environ. Chem. Eng. 2017, 5, 319–327. [Google Scholar] [CrossRef]
- Yusuff, A.S. Adsorption of cationic dye from aqueous solution using composite chicken eggshell—Anthill clay: Optimization of adsorbent preparation conditions. Acta Polytech. 2019, 59, 192–202. [Google Scholar] [CrossRef]
- Ofudje, E.A.; Adeogun, I.A.; Idowu, M.A.; Kareem, S.O.; Ndukwe, N.A. Simultaneous removals of cadmium(II) ions and reactive yellow 4 dye from aqueous solution by bone meal-derived apatite: Kinetics, equilibrium and thermodynamic evaluations. J. Anal. Sci. Technol. 2020, 11, 7. [Google Scholar] [CrossRef]
- Rajoriya, S.; Saharan, V.K.; Pundir, A.S.; Nigam, M.; Roy, K. Adsorption of methyl red dye from aqueous solution onto eggshell waste material: Kinetics, isotherms and thermodynamic studies. Curr. Res. Green Sustain. Chem. 2021, 4, 100180. [Google Scholar] [CrossRef]
- Daraei, H.; Mittal, A.; Noorisepehr, M.; Daraei, F. Kinetic and equilibrium studies of adsorptive removal of phenol onto eggshell waste. Environ. Sci. Pollut. Res. 2013, 20, 4603–4611. [Google Scholar] [CrossRef] [PubMed]
- Rápó, E.; Aradi, L.E.; Szabó, Á.; Posta, K.; Szép, R.; Tonk, S. Adsorption of Remazol Brilliant Violet-5R Textile Dye from Aqueous Solutions by Using Eggshell Waste Biosorbent. Sci. Rep. 2020, 10, 8385. [Google Scholar] [CrossRef] [PubMed]
- Liu, X.; Shen, F.; Qi, X. Adsorption recovery of phosphate from aqueous solution by CaO-biochar composites prepared from eggshell and rice straw. Sci. Total Environ. 2019, 666, 694–702. [Google Scholar] [CrossRef] [PubMed]
- Garduño-Pineda, L.; Linares-Hernández, I.; Solache-Ríos, M.J.; Teutli-Sequeira, A.; Martínez-Miranda, V. Removal of inorganic chemical species and organic matter from slaughterhouse wastewater via calcium acetate synthesized from eggshell. J. Environ. Sci. Health Part A 2019, 54, 295–305. [Google Scholar] [CrossRef]
- Torit, J.; Phihusut, D. Phosphorus removal from wastewater using eggshell ash. Environ. Sci. Pollut. Res. 2019, 26, 34101–34109. [Google Scholar] [CrossRef]
- Park, J.-H.; Choi, A.-Y.; Lee, S.-L.; Lee, J.-H.; Rho, J.-S.; Kim, S.-H.; Seo, D.-C. Removal of phosphates using eggshells and calcined eggshells in high phosphate solutions. Appl. Biol. Chem. 2022, 65, 75. [Google Scholar] [CrossRef]
- Eletta, O.; Ajayi, O.; Ogunleye, O.; Akpan, I. Adsorption of cyanide from aqueous solution using calcinated eggshells: Equilibrium and optimisation studies. J. Environ. Chem. Eng. 2016, 4, 1367–1375. [Google Scholar] [CrossRef]
- Sree, G.V.; Nagaraaj, P.; Kalanidhi, K.; Aswathy, C.; Rajasekaran, P. Calcium oxide a sustainable photocatalyst derived from eggshell for efficient photo-degradation of organic pollutants. J. Clean. Prod. 2020, 270, 122294. [Google Scholar] [CrossRef]
- Lee, J.-I.; Hong, S.-H.; Lee, C.-G.; Park, S.-J. Fluoride removal by thermally treated egg shells with high adsorption capacity, low cost, and easy acquisition. Environ. Sci. Pollut. Res. 2021, 28, 35887–35901. [Google Scholar] [CrossRef]
- Santos, A.F.; Arim, A.L.; Lopes, D.V.; Gando-Ferreira, L.M.; Quina, M.J. Recovery of phosphate from aqueous solutions using calcined eggshell as an eco-friendly adsorbent. J. Environ. Manag. 2019, 238, 451–459. [Google Scholar] [CrossRef]
- Giraldo, L.; Moreno-Piraján, J.C. Study of adsorption of phenol on activated carbons obtained from eggshells. J. Anal. Appl. Pyrolysis 2014, 106, 41–47. [Google Scholar] [CrossRef]
- Zafar, M.N.; Amjad, M.; Tabassum, M.; Ahmad, I.; Zubair, M. SrFe2O4 nanoferrites and SrFe2O4/ground eggshell nanocomposites: Fast and efficient adsorbents for dyes removal. J. Clean. Prod. 2018, 199, 983–994. [Google Scholar] [CrossRef]
- El-Kemary, M.A.; El-Mehasseb, I.M.; Shoueir, K.R.; El-Shafey, S.E.; El-Shafey, O.I.; Aljohani, H.A.; Fouad, R.R. Sol-gel TiO2 decorated on eggshell nanocrystal as engineered adsorbents for removal of acid dye. J. Dispers. Sci. Technol. 2018, 39, 911–921. [Google Scholar] [CrossRef]
- Lin, P.-Y.; Wu, H.-M.; Hsieh, S.-L.; Li, J.-S.; Dong, C.; Chen, C.-W.; Hsieh, S. Preparation of vaterite calcium carbonate granules from discarded oyster shells as an adsorbent for heavy metal ions removal. Chemosphere 2020, 254, 126903. [Google Scholar] [CrossRef] [PubMed]
- Choi, H.-J.; Lee, S.-M. Heavy metal removal from acid mine drainage by calcined eggshell and microalgae hybrid system. Environ. Sci. Pollut. Res. 2015, 22, 13404–13411. [Google Scholar] [CrossRef]
- Sankaran, R.; Show, P.L.; Ooi, C.-W.; Ling, T.C.; Shu-Jen, C.; Chen, S.-Y.; Chang, Y.-K. Feasibility assessment of removal of heavy metals and soluble microbial products from aqueous solutions using eggshell wastes. Clean Technol. Environ. Policy 2020, 22, 773–786. [Google Scholar] [CrossRef]
- Zhang, T.; Tu, Z.; Lu, G.; Duan, X.; Yi, X.; Guo, C.; Dang, Z. Removal of heavy metals from acid mine drainage using chicken eggshells in column mode. J. Environ. Manag. 2017, 188, 1–8. [Google Scholar] [CrossRef]
- Liu, H.; Liu, Y.; Tang, L.; Wang, J.; Yu, J.; Zhang, H.; Yu, M.; Zou, J.; Xie, Q. Egg shell biochar-based green catalysts for the removal of organic pollutants by activating persulfate. Sci. Total Environ. 2020, 745, 141095. [Google Scholar] [CrossRef] [PubMed]
- Hu, H.; Li, X.; Huang, P.; Zhang, Q.; Yuan, W. Efficient removal of copper from wastewater by using mechanically activated calcium carbonate. J. Environ. Manag. 2017, 203, 1–7. [Google Scholar] [CrossRef]
- Seyahmazegi, E.N.; Mohammad-Rezaei, R.; Razmi, H. Multiwall carbon nanotubes decorated on calcined eggshell waste as a novel nano-sorbent: Application for anionic dye Congo red removal. Chem. Eng. Res. Des. 2016, 109, 824–834. [Google Scholar] [CrossRef]
- Kanyal, M.; Bhatt, A.A. Removal of Heavy Metals from Water (Cu and Pb) Using Household Waste as an Adsorbent. J. Bioremediat. Biodegrad. 2015, 6, 1–6. [Google Scholar]
- Wen, T.; Zhao, Y.; Zhang, T.; Xiong, B.; Hu, H.; Zhang, Q.; Song, S. Effect of anions species on copper removal from wastewater by using mechanically activated calcium carbonate. Chemosphere 2019, 230, 127–135. [Google Scholar] [CrossRef] [PubMed]
- Waheed, M.; Yousaf, M.; Shehzad, A.; Inam-Ur-Raheem, M.; Khan, M.K.I.; Khan, M.R.; Ahmad, N.; Abdullah; Aadil, R.M. Channelling eggshell waste to valuable and utilizable products: A comprehensive review. Trends Food Sci. Technol. 2020, 106, 78–90. [Google Scholar] [CrossRef]
- Majd, M.M.; Kordzadeh-Kermani, V.; Ghalandari, V.; Askari, A.; Sillanpää, M. Adsorption isotherm models: A comprehensive and systematic review (2010–2020). Sci. Total Environ. 2022, 812, 151334. [Google Scholar] [CrossRef]
- Shukla, P.R.; Wang, S.; Ang, H.M.; Tadé, M.O. Synthesis, characterisation, and adsorption evaluation of carbon-natural-zeolite composites. Adv. Powder Technol. 2009, 20, 245–250. [Google Scholar] [CrossRef]
- Barauskas, D.; Dzikaras, M.; Bieliauskas, D.; Pelenis, D.; Vanagas, G.; Viržonis, D. Selective ultrasonic gravimetric sensors based on capacitive micromachined ultrasound transducer structure—A review. Sensors 2020, 20, 3554. [Google Scholar] [CrossRef]
- Subramanyam, B.; Das, A. Linearised and non-linearised isotherm models optimization analysis by error functions and statistical means. J. Environ. Health Sci. Eng. 2014, 12, 92. [Google Scholar] [CrossRef]
- Parimal, S.; Prasad, M.; Bhaskar, U. Prediction of equillibrium sorption isotherm: Comparison of linear and nonlinear methods. Ind. Eng. Chem. Res. 2010, 49, 2882–2888. [Google Scholar] [CrossRef]
- Osmari, T.A.; Gallon, R.; Schwaab, M.; Barbosa-Coutinho, E.; Severo, J.B., Jr.; Pinto, J.C. Statistical analysis of linear and non-linear regression for the estimation of adsorption isotherm parameters. Adsorpt. Sci. Technol. 2013, 31, 433–458. [Google Scholar] [CrossRef]
- Kumar, K.V.; Porkodi, K.; Rocha, F. Isotherms and thermodynamics by linear and non-linear regression analysis for the sorption of methylene blue onto activated carbon: Comparison of various error functions. J. Hazard. Mater. 2008, 151, 794–804. [Google Scholar] [CrossRef]
- Yan, F.; Chu, Y.; Zhang, K.; Zhang, F.; Bhandari, N.; Ruan, G.; Dai, Z.; Liu, Y.; Zhang, Z.; Kan, A.T.; et al. Determination of adsorption isotherm parameters with correlated errors by measurement error models. Chem. Eng. J. 2015, 281, 921–930. [Google Scholar] [CrossRef]
- Al-Ghouti, M.A.; Da’Ana, D.A. Guidelines for the use and interpretation of adsorption isotherm models: A review. J. Hazard. Mater. 2020, 393, 122383. [Google Scholar] [CrossRef]
- Cassol, G.O.; Gallon, R.; Schwaab, M.; Barbosa-Coutinho, E.; Júnior, J.B.S.; Pinto, J.C. Statistical evaluation of non-linear parameter estimation procedures for adsorption equilibrium models. Adsorpt. Sci. Technol. 2014, 32, 257–273. [Google Scholar] [CrossRef]
- Langmuir, I. The adsorption of gases on plane surfaces of glass, mica and platinum. J. Am. Chem. Soc. 1918, 40, 1361–1403. [Google Scholar] [CrossRef]
- Salam, O.E.A.; Reiad, N.A.; ElShafei, M.M. A study of the removal characteristics of heavy metals from wastewater by low-cost adsorbents. J. Adv. Res. 2011, 2, 297–303. [Google Scholar] [CrossRef]
- Bessashia, W.; Berredjem, Y.; Hattab, Z.; Bououdina, M. Removal of Basic Fuchsin from water by using mussel powdered eggshell membrane as novel bioadsorbent: Equilibrium, kinetics, and thermodynamic studies. Environ. Res. 2020, 186, 109484. [Google Scholar] [CrossRef] [PubMed]
- Adeogun, A.I.; Ofudje, E.A.; Idowu, M.A.; Kareem, S.O.; Vahidhabanu, S.; Babu, B.R. Biowaste-Derived Hydroxyapatite for Effective Removal of Reactive Yellow 4 Dye: Equilibrium, Kinetic, and Thermodynamic Studies. ACS Omega 2018, 3, 1991–2000. [Google Scholar] [CrossRef]
- Chen, Y.; Zhu, Y.; Wang, Z.; Li, Y.; Wang, L.; Ding, L.; Gao, X.; Ma, Y.; Guo, Y. Application studies of activated carbon derived from rice husks produced by chemical-thermal process—A review. Adv. Colloid Interface Sci. 2011, 163, 39–52. [Google Scholar] [CrossRef]
- Peterson, O.R.D.L. A useful adsorption isotherm. J. Phys. Chem. 1958, 63, 1024. [Google Scholar]
- Sips, R. On the structure of a catalyst surface. J. Chem. Phys. 1948, 16, 490–495. [Google Scholar] [CrossRef]
- Wang, J.; Guo, X. Adsorption kinetic models: Physical meanings, applications, and solving methods. J. Hazard. Mater. 2020, 390, 122156. [Google Scholar] [CrossRef] [PubMed]
- Azizian, S.; Eris, S. Adsorption isotherms and kinetics. In Interface Science and Technology; Elsevier: Amsterdam, The Netherlands, 2021; pp. 445–509. [Google Scholar]
- Tan, K.; Hameed, B. Insight into the adsorption kinetics models for the removal of contaminants from aqueous solutions. J. Taiwan Inst. Chem. Eng. 2017, 74, 25–48. [Google Scholar] [CrossRef]
- Patel, H. Fixed-bed column adsorption study: A comprehensive review. Appl. Water Sci. 2019, 9, 45. [Google Scholar] [CrossRef]
- Ho, Y.S.; McKay, G. Pseudo-second order model for sorption processes. Process Biochem. 1999, 34, 451–465. [Google Scholar] [CrossRef]
- Oladoja, N.A.; Ahmad, A.L. Gastropod shell as a precursor for the synthesis of binary alkali-earth and transition metal oxide for Cr(VI) Abstraction from Aqua System. Sep. Purif. Technol. 2013, 116, 230–239. [Google Scholar] [CrossRef]
- Kapoor, A.; Viraraghavan, T. Removal of heavy metals from aqueous solutions using immobilized fungal biomass in continuous mode. Water Res. 1998, 32, 1968–1977. [Google Scholar] [CrossRef]
- Xu, Z.; Cai, J.-G.; Pan, B.-C. Mathematically modeling fixed-bed adsorption in aqueous systems. J. Zhejiang Univ. Sci. A 2013, 14, 155–176. [Google Scholar] [CrossRef]
- Han, R.; Ding, D.; Xu, Y.; Zou, W.; Wang, Y.; Li, Y.; Zou, L. Use of rice husk for the adsorption of congo red from aqueous solution in column mode. Bioresour. Technol. 2008, 99, 2938–2946. [Google Scholar] [CrossRef]
- Ko, D.C.K.; Porter, J.F.; Mckay, G. Optimised correlations for the fixed-bed adsorption of metal ions on bone char. Chem. Eng. Sci. 2000, 55, 5819–5829. [Google Scholar] [CrossRef]
- Pincus, L.N.; Rudel, H.E.; Petrović, P.V.; Gupta, S.; Westerhoff, P.; Muhich, C.L.; Zimmerman, J.B. Exploring the Mechanisms of Selectivity for Environmentally Significant Oxo-Anion Removal during Water Treatment: A Review of Common Competing Oxo-Anions and Tools for Quantifying Selective Adsorption. Environ. Sci. Technol. 2020, 54, 9769–9790. [Google Scholar] [CrossRef]
- Georgin, J.; Franco, D.S.; Martinello, K.d.B.; Lima, E.C.; Silva, L.F. A review of the toxicology presence and removal of ketoprofen through adsorption technology. J. Environ. Chem. Eng. 2022, 10, 107798. [Google Scholar] [CrossRef]
- El Messaoudi, N.; Franco, D.S.P.; Gubernat, S.; Georgin, J.; Şenol, Z.M.; Ciğeroğlu, Z.; Allouss, D.; El Hajam, M. Advances and future perspectives of water defluoridation by adsorption technology: A review. Environ. Res. 2024, 252, 118857. [Google Scholar] [CrossRef] [PubMed]
- Georgin, J.; Franco, D.S.P.; Ramos, C.G.; Piccilli, D.G.; Lima, E.C.; Sher, F. A review of the antibiotic ofloxacin: Current status of ecotoxicology and scientific advances in its removal from aqueous systems by adsorption technology. Chem. Eng. Res. Des. 2023, 193, 99–120. [Google Scholar] [CrossRef]
- Pettinato, M.; Chakraborty, S.; Arafat, H.A.; Calabro’, V. Eggshell: A green adsorbent for heavy metal removal in an MBR system. Ecotoxicol. Environ. Saf. 2015, 121, 57–62. [Google Scholar] [CrossRef]
- Shaheen, S.M.; Eissa, F.I.; Ghanem, K.M.; El-Din, H.M.G.; Al Anany, F.S. Heavy metals removal from aqueous solutions and wastewaters by using various byproducts. J. Environ. Manag. 2013, 128, 514–521. [Google Scholar] [CrossRef]
- Jaradat, A.Q.; Telfah, D.B.; Ismail, R. Heavy metals removal from landfill leachate by coagulation/flocculation process combined with continuous adsorption using eggshell waste materials. Water Sci. Technol. 2021, 84, 3817–3832. [Google Scholar] [CrossRef]
- Hong, K.-S.; Lee, H.M.; Bae, J.S.; Ha, M.G.; Jin, J.S.; Hong, T.E.; Kim, J.P.; Jeong, E.D. Removal of Heavy Metal Ions by using Calcium Carbonate Extracted from Starfish Treated by Protease and Amylase. J. Anal. Sci. Technol. 2011, 2, 75–82. [Google Scholar] [CrossRef]
- Makuchowska-Fryc, J. Use of The Eggshells in Removing Heavy Metals from Waste Water—The Process Kinetics and Efficiency. Ecol. Chem. Eng. S 2019, 26, 165–174. [Google Scholar] [CrossRef]
- Zeng, C.; Hu, H.; Feng, X.; Wang, K.; Zhang, Q. Activating CaCO3 to enhance lead removal from lead-zinc solution to serve as green technology for the purification of mine tailings. Chemosphere 2020, 249, 126227. [Google Scholar] [CrossRef]
- Elabbas, S.; Mandi, L.; Berrekhis, F.; Pons, M.N.; Leclerc, J.P.; Ouazzani, N. Removal of Cr(III) from chrome tanning wastewater by adsorption using two natural carbonaceous materials: Eggshell and powdered marble. J. Environ. Manag. 2016, 166, 589–595. [Google Scholar] [CrossRef]
- Hu, Q.; Chen, N.; Feng, C.; Hu, W. Nitrate adsorption from aqueous solution using granular chitosan-Fe3+ complex. Appl. Surf. Sci. 2015, 347, 1–9. [Google Scholar] [CrossRef]
- Taghizadeh, M.; Asgharinezhad, A.A.; Samkhaniany, N.; Tadjarodi, A.; Abbaszadeh, A.; Pooladi, M. Solid phase extraction of heavy metal ions based on a novel functionalized magnetic multi-walled carbon nanotube composite with the aid of experimental design methodology. Microchim. Acta 2014, 181, 597–605. [Google Scholar] [CrossRef]
- Islam, M.A.; Benhouria, A.; Asif, M.; Hameed, B. Methylene blue adsorption on factory-rejected tea activated carbon prepared by conjunction of hydrothermal carbonization and sodium hydroxide activation processes. J. Taiwan Inst. Chem. Eng. 2015, 52, 57–64. [Google Scholar] [CrossRef]
- Islam, M.A.; Ahmed, M.J.; Khanday, W.A.; Asif, M.; Hameed, B.H. Mesoporous activated coconut shell-derived hydrochar prepared via hydrothermal carbonization-NaOH activation for methylene blue adsorption. J. Environ. Manag. 2017, 203, 237–244. [Google Scholar] [CrossRef]
- Vijayaraghavan, K.; Won, S.W.; Yun, Y.-S. Treatment of complex Remazol dye effluent using sawdust- and coal-based activated carbons. J. Hazard. Mater. 2009, 167, 790–796. [Google Scholar] [CrossRef]
- Bello, O.S.; Siang, T.T.; Ahmad, M.A. Adsorption of Remazol Brilliant Violet-5R reactive dye from aqueous solution by cocoa pod husk-based activated carbon: Kinetic, equilibrium and thermodynamic studies. Asia-Pac. J. Chem. Eng. 2012, 7, 378–388. [Google Scholar] [CrossRef]
- Kaya, N. A comprehensive study on adsorption behavior of some azo dyes from aqueous solution onto different adsorbents. Water Sci. Technol. 2017, 76, 478–489. [Google Scholar] [CrossRef]
- Rachna, K.; Agarwal, A.; Singh, N.B. Rice husk and Sodium hydroxide activated Rice husk for removal of Reactive yellow dye from water. Mater. Today Proc. 2019, 12, 573–580. [Google Scholar] [CrossRef]
- Szlachta, M.; Wójtowicz, P. Adsorption of methylene blue and Congo red from aqueous solution by activated carbon and carbon nanotubes. Water Sci. Technol. 2013, 68, 2240–2248. [Google Scholar] [CrossRef]
- Singh, P.; Raizada, P.; Pathania, D.; Sharma, G.; Sharma, P. Microwave induced KOH activation of guava peel carbon as an adsorbent for congo red dye removal from aqueous phase. Indian J. Chem. Technol. 2013, 20, 305–311. [Google Scholar]
- Chavan, S.B.; Kumbhar, R.R.; Madhu, D.; Singh, B.; Sharma, Y.C. Synthesis of biodiesel from Jatropha curcas oil using waste eggshell and study of its fuel properties. RSC Adv. 2015, 5, 63596–63604. [Google Scholar] [CrossRef]
- Pinto, L.F.; Montaño, A.M.; González, C.P.; Barón, G.C. Removal of rhodamine B in wastewater from the textile industry using geopolymeric material. J. Phys. Conf. Ser. 2019, 1386, 012040. [Google Scholar] [CrossRef]
- Xiao, W.; Garba, Z.N.; Sun, S.; Lawan, I.; Wang, L.; Lin, M.; Yuan, Z. Preparation and evaluation of an effective activated carbon from white sugar for the adsorption of rhodamine B dye. J. Clean. Prod. 2020, 253, 119989. [Google Scholar] [CrossRef]
- Ye, X.; Shang, S.; Zhao, Y.; Cui, S.; Zhong, Y.; Huang, L. Ultra-efficient adsorption of copper ions in chitosan–montmorillonite composite aerogel at wastewater treatment. Cellulose 2021, 28, 7201–7212. [Google Scholar] [CrossRef]
- Ahmad, M.; Zhang, B.; Wang, J.; Xu, J.; Manzoor, K.; Ahmad, S.; Ikram, S. New method for hydrogel synthesis from diphenylcarbazide chitosan for selective copper removal. Int. J. Biol. Macromol. 2019, 136, 189–198. [Google Scholar] [CrossRef]
- Salman, H.; Shaheen, H.; Abbas, G.; Khalouf, N. Use of Syrian natural zeolite for heavy metals removal from industrial waste water: Factors and mechanism. J. Entomol. Zool. Stud. 2017, 5, 452–461. [Google Scholar]
- Wang, M.; Cai, H.; Zhang, J. Application research on the adsorption of cadmium ion in wastewater by zeolite molecular sieve. Chem. Eng. Trans. 2018, 71, 403–408. [Google Scholar]
- El-Azim, H.A.; Mourad, F.A. Removal of Heavy Metals Cd (II), Fe (III) and Ni (II), from Aqueous Solutions by Natural (Clinoptilolite) Zeolites and Application to Industrial Wastewater. Asian J. Environ. Ecol. 2018, 7, 1–13. [Google Scholar] [CrossRef]
- Moosa, A.A.; Ridha, A.M.; Hussien, N.A. Removal of Zinc Ions from Aqueous Solution by Bioadsorbents and CNTs. Am. J. Mater. Sci. 2016, 6, 105–114. [Google Scholar] [CrossRef]
- Banu, H.A.T.; Karthikeyan, P.; Meenakshi, S. Removal of nitrate and phosphate ions from aqueous solution using zirconium encapsulated chitosan quaternized beads: Preparation, characterization and mechanistic performance. Results Surf. Interfaces 2021, 3, 100010. [Google Scholar] [CrossRef]
- Jung, K.-W.; Hwang, M.-J.; Ahn, K.-H.; Ok, Y.-S. Kinetic study on phosphate removal from aqueous solution by biochar derived from peanut shell as renewable adsorptive media. Int. J. Environ. Sci. Technol. 2015, 12, 3363–3372. [Google Scholar] [CrossRef]
- Wang, Z.; Shi, M.; Li, J.; Zheng, Z. Influence of moderate pre-oxidation treatment on the physical, chemical and phosphate adsorption properties of iron-containing activated carbon. J. Environ. Sci. 2014, 26, 519–528. [Google Scholar] [CrossRef] [PubMed]
- Park, J.-H.; Wang, J.J.; Xiao, R.; Zhou, B.; Delaune, R.D.; Seo, D.-C. Effect of pyrolysis temperature on phosphate adsorption characteristics and mechanisms of crawfish char. J. Colloid Interface Sci. 2018, 525, 143–151. [Google Scholar] [CrossRef] [PubMed]
- Solgi, M.; Mohamed, M.H.; Udoetok, I.A.; Steiger, B.G.; Wilson, L.D. Evaluation of a granular Cu-modified chitosan biocomposite for sustainable sulfate removal from aqueous media: A batch and fixed-bed column study. Int. J. Biol. Macromol. 2024, 260, 129275. [Google Scholar] [CrossRef]
- Steiger, B.G.K.; Bui, N.T.; Babalola, B.M.; Wilson, L.D. Sustainable agro-waste pellets as granular slow-release fertilizer carrier systems for ammonium sulfate. RSC Sustain. 2024, 2, 2979–2988. [Google Scholar] [CrossRef]
- Alimohammadi, V.; Sedighi, M.; Jabbari, E. Optimization of sulfate removal from wastewater using magnetic multi-walled carbon nanotubes by response surface methodology. Water Sci. Technol. 2017, 76, 2593–2602. [Google Scholar] [CrossRef]
- Runtti, H.; Tynjälä, P.; Tuomikoski, S.; Kangas, T.; Hu, T.; Rämö, J.; Lassi, U. Utilisation of barium-modified analcime in sulphate removal: Isotherms, kinetics and thermodynamics studies. J. Water Process. Eng. 2017, 16, 319–328. [Google Scholar] [CrossRef]
- Camacho, L.M.; Torres, A.; Saha, D.; Deng, S. Adsorption equilibrium and kinetics of fluoride on sol–gel-derived activated alumina adsorbents. J. Colloid Interface Sci. 2010, 349, 307–313. [Google Scholar] [CrossRef]
- Choong, C.E.; Wong, K.T.; Jang, S.B.; Nah, I.W.; Choi, J.; Ibrahim, S.; Yoon, Y.; Jang, M. Fluoride removal by palm shell waste based powdered activated carbon vs. functionalized carbon with magnesium silicate: Implications for their application in water treatment. Chemosphere 2020, 239, 124765. [Google Scholar] [CrossRef]
- Yang, W.; Li, C.; Tian, S.; Liu, L.; Liao, Q. Influence of synthesis variables of a sol-gel process on the properties of mesoporous alumina and their fluoride adsorption. Mater. Chem. Phys. 2020, 242, 122499. [Google Scholar] [CrossRef]
- Demiral, H.; Gündüzoǧlu, G. Removal of nitrate from aqueous solutions by activated carbon prepared from sugar beet bagasse. Bioresour. Technol. 2010, 101, 1675–1680. [Google Scholar] [CrossRef] [PubMed]
- Kamarehie, B.; Aghaali, E.; Musavic, S.A.; Hashemi, S.Y.; Jafari, A. Nitrate removal from aqueous solutions using granular activated carbon modified with iron nanoparticles. Int. J. Eng. 2018, 31, 554–563. [Google Scholar] [CrossRef]
- Zhu, D.; Zuo, J.; Jiang, Y.; Zhang, J.; Zhang, J.; Wei, C. Carbon-silica mesoporous composite in situ prepared from coal gasification fine slag by acid leaching method and its application in nitrate removing. Sci. Total. Environ. 2020, 707, 136102. [Google Scholar] [CrossRef] [PubMed]
- Kausar, A.; Zohra, S.T.; Ijaz, S.; Iqbal, M.; Iqbal, J.; Bibi, I.; Nouren, S.; El Messaoudi, N.; Nazir, A. Cellulose-based materials and their adsorptive removal efficiency for dyes: A review. Int. J. Biol. Macromol. 2023, 224, 1337–1355. [Google Scholar] [CrossRef]
- Namasivayam, C.; Sureshkumar, M.V. Removal of chromium(VI) from water and wastewater using surfactant modified coconut coir pith as a biosorbent. Bioresour. Technol. 2008, 99, 2218–2225. [Google Scholar] [CrossRef]
- Zheng, B.; Qian, L.; Yuan, H.; Xiao, D.; Yang, X.; Paau, M.C.; Choi, M.M. Preparation of gold nanoparticles on eggshell membrane and their biosensing application. Talanta 2010, 82, 177–183. [Google Scholar] [CrossRef]
- Dong, Q.; Su, H.; Cao, W.; Zhang, D.; Guo, Q.; Lai, Y. Synthesis and characterizations of hierarchical biomorphic titania oxide by a bio-inspired bottom-up assembly solution technique. J. Solid State Chem. 2007, 180, 949–955. [Google Scholar] [CrossRef]
- Mallakpour, S.; Tabesh, F.; Hussain, C.M. Water decontamination using CaCO3 nanostructure and its nanocomposites: Current advances. Polym. Bull. 2023, 80, 7201–7219. [Google Scholar] [CrossRef]
- Yang, D.; Qi, L.; Ma, J. Eggshell membrane templating of hierarchically ordered macroporous networks composed of TiO2 tubes. Adv. Mater. 2002, 14, 1543–1546. [Google Scholar] [CrossRef]
- Intharapat, P.; Kongnoo, A.; Kateungngan, K. The Potential of Chicken Eggshell Waste as a Bio-filler Filled Epoxidized Natural Rubber (ENR) Composite and its Properties. J. Polym. Environ. 2013, 21, 245–258. [Google Scholar] [CrossRef]
- Moonlek, B.; Saenboonruang, K. Mechanical and electrical properties of radiation-vulcanized natural rubber latex with waste eggshell powder as bio-fillers. Radiat. Eff. Defects Solids 2019, 174, 452–466. [Google Scholar] [CrossRef]
- Niju, S.; Meera, K.; Begum, S.; Anantharaman, N. Modification of egg shell and its application in biodiesel production. J. Saudi Chem. Soc. 2014, 18, 702–706. [Google Scholar] [CrossRef]
- Wijaya, V.T. Evaluation of Eggshell as Organic Fertilizer on Sweet Basil. Int. J. Sustain. Agric. Res. 2019, 6, 79–86. [Google Scholar]
- Lee, Y.; Kim, A.Y.; Min, S.; Kwak, H. Characteristics of milk tablets supplemented with nanopowdered eggshell or oyster shell. Int. J. Dairy Technol. 2016, 69, 337–345. [Google Scholar] [CrossRef]
- Than, M.M.; Lawanprasert, P.; Jateleela, S. Utilization of eggshell powder as excipient in fast and sustained release acetaminophen tablets. Mahidol. Univ. J. Pharm. Sci. 2012, 39, 32–38. [Google Scholar]
- Asma, T.; Bakar, A.; Rosly, M.F.; Ain, S.; Jafar, M. Eggshell coated grey cast iron for corrosion applications. J. Teknol. 2017, 79, 1–6. [Google Scholar] [CrossRef][Green Version]
- Yuan, X.; Wu, L.; He, X.; Zeinu, K.; Huang, L.; Zhu, X.; Hou, H.; Liu, B.; Hu, J.; Yang, J. Separator modified with N,S co-doped mesoporous carbon using egg shell as template for high performance lithium-sulfur batteries. Chem. Eng. J. 2017, 320, 178–188. [Google Scholar] [CrossRef]
- Fina, B.L.; Brun, L.R.; Rigalli, A. Increase of calcium and reduction of lactose concentration in milk by treatment with kefir grains and eggshell. Int. J. Food Sci. Nutr. 2016, 67, 133–140. [Google Scholar] [CrossRef]
- Choi, H.-J. Efficiency of methyl-esterified eggshell membrane biomaterials for intensified microalgae harvesting. Environ. Eng. Res. 2017, 22, 356–362. [Google Scholar] [CrossRef]
- Kismiati, S.; Yuwanta, T.; Zuprizal, Z.; Supadmo, S. THE performance of laying hens fed different calcium source. J. Indones. Trop. Anim. Agric. 2012, 37, 263–270. [Google Scholar] [CrossRef][Green Version]
- King‘ori, A. A Review of the Uses of Poultry Eggshells and Shell Membranes. Int. J. Poult. Sci. 2011, 10, 908–912. [Google Scholar] [CrossRef]
- Sunardi, S.; Ariawan, D.; Surojo, E.; Prabowo, A.R.; Akbar, H.I.; Cao, B.; Carvalho, H. Assessment of eggshell-based material as a green-composite filler: Project milestones and future potential as an engineering material. J. Mech. Behav. Mater. 2023, 32, 20220269. [Google Scholar] [CrossRef]
- Mallakpour, S.; Khadem, E. Chitosan/CaCO3-silane nanocomposites: Synthesis, characterization, in vitro bioactivity and Cu(II) adsorption properties. Int. J. Biol. Macromol. 2018, 114, 149–160. [Google Scholar] [CrossRef] [PubMed]
- Li, H.; Sun, J.; Jiang, Q.; Xia, H.; Cheng, S.; Zhou, Z.; Nie, X.; Zhao, C. Facile, time-saving cigarette butt-assisted combustion synthesis of modified CaO-based sorbents for high-temperature CO2 capture. Fuel 2023, 337, 126868. [Google Scholar] [CrossRef]
- Chen, G.; Shan, R.; Shi, J.; Yan, B. Ultrasonic-assisted production of biodiesel from transesterification of palm oil over ostrich eggshell-derived CaO catalysts. Bioresour. Technol. 2014, 171, 428–432. [Google Scholar] [CrossRef]
- Vall, M.; Hultberg, J.; Strømme, M.; Cheung, O. Inorganic carbonate composites as potential high temperature CO2 sorbents with enhanced cycle stability. RSC Adv. 2019, 9, 20273–20280. [Google Scholar] [CrossRef]
- Knowles, G.P.; Chaffee, A.L. Shaped Silica-polyethyleneimine Composite Sorbents for CO2 Capture via Adsorption. Energy Procedia 2017, 114, 2219–2227. [Google Scholar] [CrossRef]
- Rattanakunsong, N.; Jullakan, S.; Płotka-Wasylka, J.; Bunkoed, O. A hierarchical porous composite magnetic sorbent of reduced graphene oxide embedded in polyvinyl alcohol cryogel for solvent-assisted-solid phase extraction of polycyclic aromatic hydrocarbons. J. Sep. Sci. 2022, 45, 1774–1783. [Google Scholar] [CrossRef]
- Shapkin, N.P.; Surkov, M.V.; Tutov, M.V.; Khalchenko, I.G.; Fedorets, A.N.; Sharshina, E.A.; Razov, V.I.; Tokar, E.A.; Papynov, E.K. Organo-Inorganic Composites Based on Phosphorus Vermiculite and Resorcinol–Formaldehyde Polymer and Their Use for Sorption of Nonradioactive Strontium from Solutions. Russ. J. Inorg. Chem. 2022, 67, 221–230. [Google Scholar] [CrossRef]
- Zaharia, M.-M.; Vasiliu, A.-L.; Trofin, M.-A.; Pamfil, D.; Bucatariu, F.; Racovita, S.; Mihai, M. Design of multifunctional composite materials based on acrylic ion exchangers and CaCO3 as sorbents for small organic molecules. React. Funct. Polym. 2021, 166, 104997. [Google Scholar] [CrossRef]
- Choi, D.; Shin, J.; Park, Y. Effects of CaCl2 on cyclic carbonation-calcination kinetics of CaO-based composite for potential application to solar thermochemical energy storage. Chem. Eng. Sci. 2021, 230, 116207. [Google Scholar] [CrossRef]
- Chabane, L.; Bouras, O. Experimental design approach in optimizing the sorption properties of a new generation of reinforced porous hybrid beads. Arab. J. Chem. 2020, 13, 6461–6471. [Google Scholar] [CrossRef]
- Bunia, I.; Socoliuc, V.; Vekas, L.; Doroftei, F.; Varganici, C.; Coroaba, A.; Simionescu, B.C.; Mihai, M. Superparamagnetic Composites Based on Ionic Resin Beads/CaCO3/Magnetite. Chem.—Eur. J. 2016, 22, 18036–18044. [Google Scholar] [CrossRef]
- Bhaskar, T.; Uddin, A.; Kaneko, J.; Kusaba, T.; Matsui, T.; Muto, A.; Sakata, Y.; Murata, K. Liquefaction of mixed plastics containing PVC and dechlorination by calcium-based sorbent. Energy Fuels 2002, 17, 75–80. [Google Scholar] [CrossRef]
- Bhaskar, T.; Matsui, T.; Nitta, K.; Uddin, A.; Muto, A.; Sakata, Y. Laboratory evaluation of calcium-, iron-, and potassium-based carbon composite sorbents for capture of hydrogen chloride gas. Energy Fuels 2002, 16, 1533–1539. [Google Scholar] [CrossRef]
- Mostafa, M.M.; El Saied, M.; Morshedy, A.S. Novel Calcium Carbonate-titania nanocomposites for enhanced sun light photo catalytic desulfurization process. J. Environ. Manag. 2019, 250, 109462. [Google Scholar] [CrossRef] [PubMed]
- Toro, P.; Quijada, R.; Yazdani-Pedram, M.; Arias, J.L. Eggshell, a new bio-filler for polypropylene composites. Mater. Lett. 2007, 61, 4347–4350. [Google Scholar] [CrossRef]
- Xu, Y.; Hanna, M. Effect of eggshell powder as nucleating agent on the structure, morphology and functional properties of normal corn starch fooms. Packag. Technol. Sci. 2007, 20, 165–172. [Google Scholar] [CrossRef]
- Ji, G.; Zhu, H.; Qi, C.; Zeng, M. Mechanism of interactions of eggshell microparticles with epoxy resins. Polym. Eng. Sci. 2009, 49, 1383–1388. [Google Scholar] [CrossRef]
- Kang, D.J.; Pal, K.; Park, S.J.; Bang, D.S.; Kim, J.K. Effect of eggshell and silk fibroin on styrene–ethylene/butylene–styrene as bio-filler. Mater. Des. 2010, 31, 2216–2219. [Google Scholar] [CrossRef]
- Tangboriboon, N.; Pannangpetch, W.; Aranyik, K.; Petcharoen, K.; Sirivat, A. Embedded Eggshells as a Bio-Filler in Natural Rubber for Thermal Insulation Composite Foams. Prog. Rubber Plast. Recycl. Technol. 2015, 31, 189–205. [Google Scholar] [CrossRef]
- Di Serio, M.; Tesser, R.; Pengmei, L.; Santacesaria, E. Heterogeneous catalysts for biodiesel production. Energy Fuels 2008, 22, 207–217. [Google Scholar] [CrossRef]
- Huber, G.W.; Iborra, S.; Corma, A. Synthesis of transportation fuels from biomass: Chemistry, catalysts, and engineering. Chem. Rev. 2006, 106, 4044–4098. [Google Scholar] [CrossRef] [PubMed]
- Ma, F.; Hanna, M.A. Biodiesel production: A review. Bioresour. Technol. 1999, 70, 1–15. [Google Scholar] [CrossRef]
- Balázsi, C.; Wéber, F.; Kövér, Z.; Horváth, E.; Németh, C. Preparation of calcium–phosphate bioceramics from natural resources. J. Eur. Ceram. Soc. 2007, 27, 1601–1606. [Google Scholar] [CrossRef]
- Sharma, Y.C.; Singh, B.; Korstad, J. Application of an efficient nonconventional heterogeneous catalyst for biodiesel synthesis from pongamia pinnata oil. Energy Fuels 2010, 24, 3223–3231. [Google Scholar] [CrossRef]
- Cho, Y.B.; Seo, G. High activity of acid-treated quail eggshell catalysts in the transesterification of palm oil with methanol. Bioresour. Technol. 2010, 101, 8515–8519. [Google Scholar] [CrossRef]
- Navajas, A.; Issariyakul, T.; Arzamendi, G.; Gandía, L.; Dalai, A. Development of eggshell derived catalyst for transesterification of used cooking oil for biodiesel production. Asia-Pac. J. Chem. Eng. 2013, 8, 742–748. [Google Scholar] [CrossRef]
- Mostafavi, E.; Mahinpey, N.; Rahman, M.; Sedghkerdar, M.H.; Gupta, R. High-purity hydrogen production from ash-free coal by catalytic steam gasification integrated with dry-sorption CO2 capture. Fuel 2016, 178, 272–282. [Google Scholar] [CrossRef]
- Taufiq-Yap, Y.H.; Wong, P.; Marliza, T.S.; Suziana, N.M.N.; Tang, L.H.; Sivasangar, S. Hydrogen production from wood gasification promoted by waste eggshell catalyst. Int. J. Energy Res. 2013, 37, 1866–1871. [Google Scholar] [CrossRef]
- Mosaddegh, E. Ultrasonic-assisted preparation of nano eggshell powder: A novel catalyst in green and high efficient synthesis of 2-aminochromenes. Ultrason. Sonochem. 2013, 20, 1436–1441. [Google Scholar] [CrossRef] [PubMed]
- Mosaddegh, E.; Hassankhani, A. Preparation and characterization of nano-CaO based on eggshell waste: Novel and green catalytic approach to highly efficient synthesis of pyrano [4,3-b]pyrans. Cuihua Xuebao/Chin. J. Catal. 2014, 35, 351–356. [Google Scholar] [CrossRef]
- Dayanidhi, K.; Sheik Eusuff, N. Fabrication, Characterization, and Evaluation of Eggshells as a Carrier for Sustainable Slow-Release Multi-Nutrient Fertilizers. ACS Appl. Bio Mater. 2021, 4, 8215–8224. [Google Scholar] [CrossRef] [PubMed]
- Borges, R.; Giroto, A.S.; Klaic, R.; Wypych, F.; Ribeiro, C. Mechanochemical synthesis of eco-friendly fertilizer from eggshell (calcite) and KH2PO4. Adv. Powder Technol. 2021, 32, 4070–4077. [Google Scholar] [CrossRef]
- Dayanidhi, K.; Vadivel, P.; Jothi, S.; Eusuff, N.S. White Eggshells: A Potential Biowaste Material for Synergetic Adsorption and Naked-Eye Colorimetric Detection of Heavy Metal Ions from Aqueous Solution. ACS Appl. Mater. Interfaces 2020, 12, 1746–1756. [Google Scholar] [CrossRef] [PubMed]









| Type of Characterization/Remarks | Refs |
|---|---|
| IR spectroscopy: About 40% of studies report IR spectroscopy of ESP composite. IR results showed major absorption bands that are strongly associated to the carbonyl and hydroxyl groups. Other IR bands for O-H stretching, C-N-, N-H stretching, and C-H bending were evident in the IR spectra. Sharp bands confirming the presence of CaO, Ca(OH)2, and CaCO3 were observed. The composite revealed characteristic bands depending on the different functional groups present, e.g., Ca-bentonite have signatures for Si-O, Al-O, and O-H. After adsorption, the band appearance became broader and stronger in some composites, while there were minor changes for other materials. | [7,20,21,22,23,24,35,36,41,42,43,46,47,48,49,50,51,52,53,54,55,56,57,58] |
| TGA/DTA: Nearly 20% of the studies considered the thermal stability of the ESP and composite adsorbents. Major decomposition of ES was observed between 460–770 °C, revealing that the upper thermal stability limit of ESP was 630 °C. The minor residual contents of ES show it mainly contains carbonate minerals, whereas complete weight loss occurred between 850 and 920 °C. | [7,21,42,46,50,59,60,61,62] |
| EDS/SAED: This method confirms the presence of elements (e.g., K, Ca, Mg, Fe, C, and O) in both ESP and CES. Ca, C, and O have large proportions, revealing that calcium carbonate is the main component of ESP. | [7,46,49,50,53,63,64] |
| SEM/EDS: About 50% of the literature reviewed considered the morphology of the ESP or its composites. In total, 33% of this subset reported the surface morphology after the adsorption process. SEM images reveal that ESP agglomerated and irregular surface features have a porous network and an angular pattern. CES exhibited a macroporous network structure of interwoven cross-linked fibers with diameter between 0.3 and 5 μm. There is increased porosity, and variable surface morphology that depend on the composite components. After adsorption, the structure was crystalline, and pores are no longer visible. EDS showed that Ca, C, and O are major elements in ESP. | [7,20,22,23,36,37,39,40,41,44,46,48,49,50,51,52,53,54,55,56,58,60,61,63,64,65,66,67] |
| X-ray methods (XRD/XRF/EDX): X-ray results for ESP is the rhombohedral crystalline phase of calcite showing CaCO3 as the main component that is replaced by CaO after calcination. Patterns also displayed Ca, Si, Na, S, and Mg as the main elements present in ESP. Calcite is the dominant form at or below 800 °C, while portlandite and lime dominate above 800 °C. There is no XRD specific to CaO and Ca(OH)2 in the composites. Variable XRD patterns show the elemental composition of each, for the various CES composites, and additional peaks show the presence of other elemental species. After adsorption, a shift in peak positions were observed in the XRD pattern of ESP depending on the content and composition of the biocomposite and its adsorbed species. | [7,24,37,38,39,40,41,42,43,44,46,50,52,54,55,56,58,59,60,61,63,64,67,68,69,70] |
| XPS: Binding energy values reveal that the main components of ESP and CES as C, Ca, and O. Ca has spectral bands and binding energy similar to CaCO3. Different band are ascribed to Cl 2p and Cl 2s, Pb, PO43−, and Ca bands for calcium phosphate appear after adsorption, depending on the adsorbed pollutants. | [24,39,59,69] |
| Gas adsorption: Surface area pore size analysis (via the BET method):Higher calcination temperature yields a noticeable increase in the surface area, pore volume, and pore diameter of ESP. Combining ESP or CES with biomaterials may improve these properties. | [39,41,42,44,53,54,56,57,59,60,62,67,69] |
| Surface charge analysis (Zeta potential; mV): Ca-bentonite: −12.56 mV; ESP: −17.48 mV; BEP: −16.41 mV; CES: 800 °C = 0.1 mV; 900 °C = 18.1 mV | [39,60] |
| Raman Spectroscopy: Spectral evidence of graphitic and amorphous or disordered carbon in the composite. The Raman bands of the thin section of ES are characteristic of S-S, amino acids, amide, and C-H groups. After adsorption, new bands specific to the groups of the adsorbate appear. | [53,69] |
| Common/IUPAC Names | Molecular Structure/Mass/Chemical Formula |
|---|---|
| Styryl pyridinium dye, 2-(phenylethenyl) pyridinium chloride | ![]() |
| Methylene Blue, MB, Urelene blue, provay blue, 3,7-bis (dimethylamino)-phenothiazin-5-ium chloride | ![]() |
| Rhodamine Blue, RhB, Basic violet 10, Tetraethylrhodamine 610, 9-(2-carboxyphenyl)-6-(diethylamino) xanthen-3-ylidene-diethyllazanium chloride | ![]() |
| Toluidine Blue, TB, (7-amino-8-methyl phenothiazine-3-ylidene)-dimethylammonium chloride | ![]() |
| Congo Red, CR, Direct red 28, Benzo congo red, Disodium-4-amino-3-[4-[4-(1-amino-4-sulfonatonaphthalen-2-yl) diazenylphenyl] phenyl] diazinyl-naphthalene-1-sulfonate | ![]() |
| Eriochrome Black T, EBT, Mordant Black 11, Solochrome Black T, Sodium; 3-hydroxyl-4-[(1-hydroxynaphthalen-2-yl) diazenyl]-7-nitronaphthalene-1-sulfonate | ![]() |
| Acid Orange, AO7, Orange II, Acid Orange A, Sodium; 4[(2-hydroxynapthalen-1-yl) diazinyl] benzenesulfonate | ![]() |
| Acid red nylon 57, AN57, C. I. Acid Red 57, 6-Amino-5-[[2-[(ethyl phenylamino)sulphonyl] phenyl] azo]-4-hydroxynapthalene-2-sulphonic acid | ![]() |
| Methyl red, C.I. Acid Red 2, 2-[(4-(dimethyl amino) phenyl) diazinyl] benzoic acid | ![]() |
| Remazol reactive red C.I. 198, Remazol red RB 133, Tetrasodium; 5-[[4-chloro-6-(3-sulfonatoanilino)-1,3,5-triazin-2-yl]amino]-4-hydroxy-3-[[4(2-sulfonatooxyethylsulfonyl) phenyl] diazinyl] naphthalene-2,7-disulfonate | ![]() |
| Reactive yellow 145 dye, Tetrasodium; 7-[2-(carbamoylamino)-4-[[4-chloro-6-[3-(2-sulfonatooxyethylsulfonyl) anilino]-1,3,5-triazin-2-yl] amino] phenyl] diazinyl] naphthalene-1,3,6-trisulfonate | ![]() |
| Remazol Brilliant Violet 5R dye, RBV-5R, Reactive Violet 5, Trisodium; 5-acetamido-4hydroxy-3-[[2-hydroxy-5-(2-sulfonatooxyethylsulfonyl) phenyl] diazenyl] naphthalene-2,7-disulfonate | ![]() |
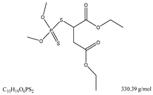
| Malathion, Carbophos, mercaptothion, 2-[(diamethoxyphosphorothioyl) sulfanyl] butanedioate diethyl | ![]() |
| Phenol, Carbolic acid, Phenic acid, hydroxybenzene | ![]() |
| 2,4-dichlorophenol (2,4-DCP) | ![]() |
| Ciprofloxacin, Ciprobay, ciproxan, 1-cyclopropyl-6-fluoro-4-oxo-7-piperazin-1-ylquinolin-3-carboxylic acid | ![]() |
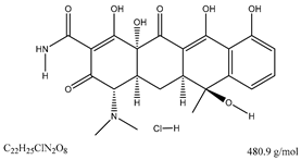
| Tetracycline hydrochloride, Achromycin, Sustamycin, (4S,4aS,5aS,6S,12aR)-4-(dimethylamino)-1,6,10,11,12a-pentahydroxy-6-methyl-3,12-dioxo-4,4a,5,5a-tetrahydrotetracene-2-carboxamide; hydrochloride | ![]() |
| Application | Reference |
|---|---|
| Thermosetting composite blends | [152,153] |
| Catalyst for biodiesel production | [154] |
| Organic fertilizer | [155] |
| Milk tablet supplement | [156] |
| Adsorbent for carbon dioxide | [74] |
| Pharmaceutical formulations for controlled-release | [157] |
| Pigment coatings | [158] |
| Lithium-sulphur batteries | [159] |
| Lactose free milk | [160] |
| Harvesting certain microalgae | [161] |
| Supplement in animal feed | [162] |
| Stabilization of lateritic soils for construction materials | [163] |
| Metal matrix composites and friction materials | [164] |
| Thermoplastic composite fillers | [25] |
| Bone mineralization | [25,165] |
| High temperature carbon monoxide capture | [153,166,167,168,169] |
| Adsorption based-removal of insecticides in beverage samples | [166] |
| Solvent assisted solid phase extraction of PAHs | [170] |
| Adsorptive removal of non-radioactive strontium from aqueous solutions | [171] |
| Removal of divalent metal ions e.g., cadmium, lead | [37,150] |
| Adsorptive removal of organics (neutral red, bromocresol green and tetracycline HCl) | [172] |
| Application to solar thermochemical energy storage | [173] |
| Sorption of dyes | [174] |
| Separation and magnetic extraction of superparamagnetic composite materials | [175] |
| Dichlorination and liquefaction of mixed plastics containing PVC | [176] |
| Dehalogenation: removal of Br− and Cl− | [176] |
| HCl gas capture via adsorption | [177] |
| Desulphurization of dibenzothiophene | [178] |
| Recovery of F− from wastewater | [9] |
Disclaimer/Publisher’s Note: The statements, opinions and data contained in all publications are solely those of the individual author(s) and contributor(s) and not of MDPI and/or the editor(s). MDPI and/or the editor(s) disclaim responsibility for any injury to people or property resulting from any ideas, methods, instructions or products referred to in the content. |
© 2024 by the authors. Licensee MDPI, Basel, Switzerland. This article is an open access article distributed under the terms and conditions of the Creative Commons Attribution (CC BY) license (https://creativecommons.org/licenses/by/4.0/).
Share and Cite
Babalola, B.M.; Wilson, L.D. Valorization of Eggshell as Renewable Materials for Sustainable Biocomposite Adsorbents—An Overview. J. Compos. Sci. 2024, 8, 414. https://doi.org/10.3390/jcs8100414
Babalola BM, Wilson LD. Valorization of Eggshell as Renewable Materials for Sustainable Biocomposite Adsorbents—An Overview. Journal of Composites Science. 2024; 8(10):414. https://doi.org/10.3390/jcs8100414
Chicago/Turabian StyleBabalola, Bolanle M., and Lee D. Wilson. 2024. "Valorization of Eggshell as Renewable Materials for Sustainable Biocomposite Adsorbents—An Overview" Journal of Composites Science 8, no. 10: 414. https://doi.org/10.3390/jcs8100414
APA StyleBabalola, B. M., & Wilson, L. D. (2024). Valorization of Eggshell as Renewable Materials for Sustainable Biocomposite Adsorbents—An Overview. Journal of Composites Science, 8(10), 414. https://doi.org/10.3390/jcs8100414


















