Functional Characteristics of Conductive Polymer Composites with Built-In Carbon Nanotubes and Metallic Particles
Abstract
1. Introduction
- Evaluation of the influence of MWCNTs and metallic particles (CuAl or Al) on the functional properties of PCMs, including the self-regulating temperature effect.
- Investigation of the electrophysical characteristics of the composite materials.
- Assessment of PCM stability under atomic oxygen (AO) exposure and its impact on operational performance, including thermal oxidation during heating up to 100 ± 0.5 °C.
2. Materials and Methods
2.1. Materials
2.2. Key Stages of PCM Preparation and E-Heater Assembly
- MOC—mass of organosilicon compound (A + B), g;
- MMWCNT—mass of MWCNTs, g;
- CMWCNT—mass concentration of MWCNTs, wt.%.
- CMe—mass concentration of Me (PAP-1 or NBP), wt.%.
2.3. Electrophysical Characterization
2.4. Thermal Property Analysis
2.5. Testing of Electrothermal Heating Elements
2.6. Atomic Oxygen Exposure Testing
2.7. Characterization
3. Results and Discussion
3.1. Structural Analysis of the Composites
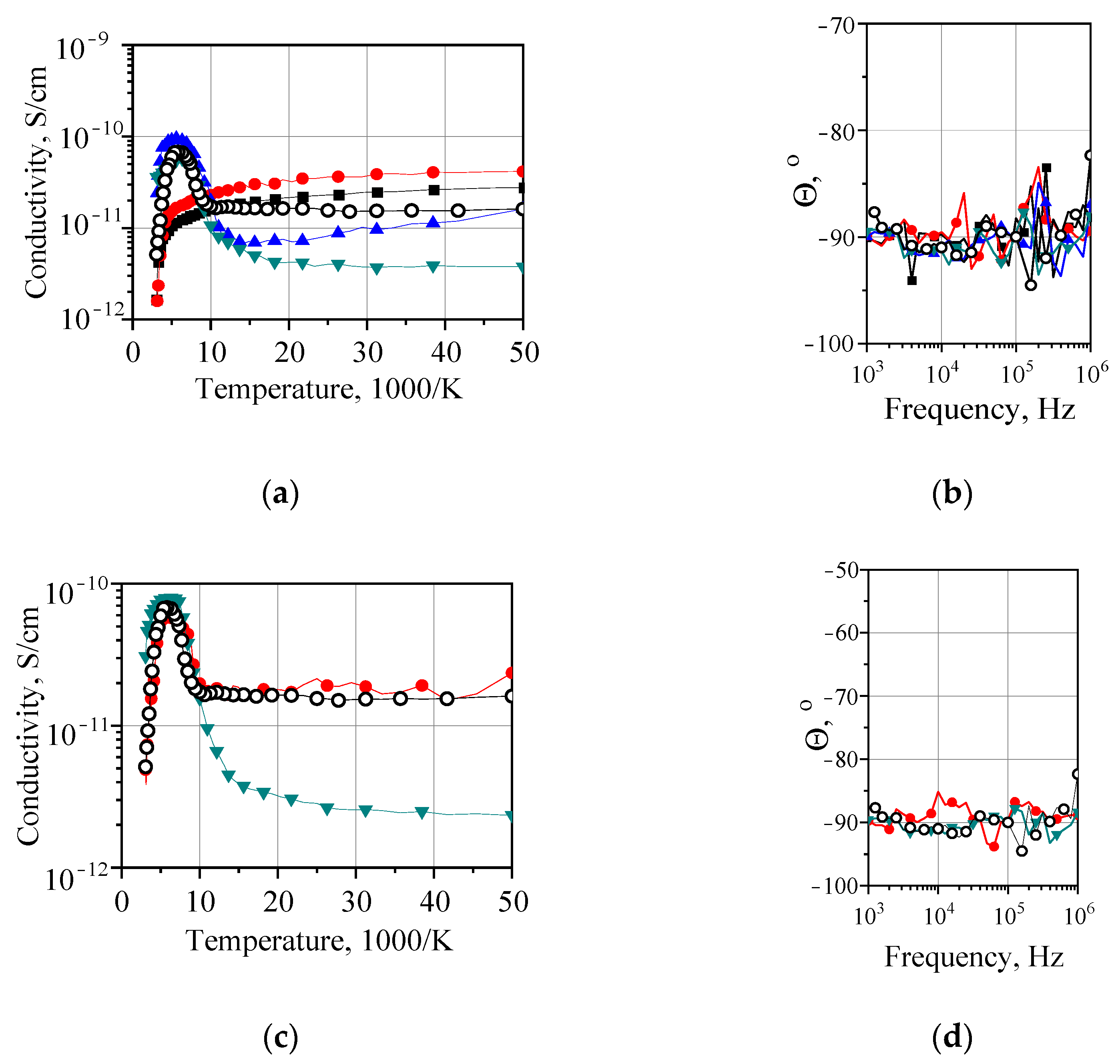
3.2. Analysis of PCM Physical Properties
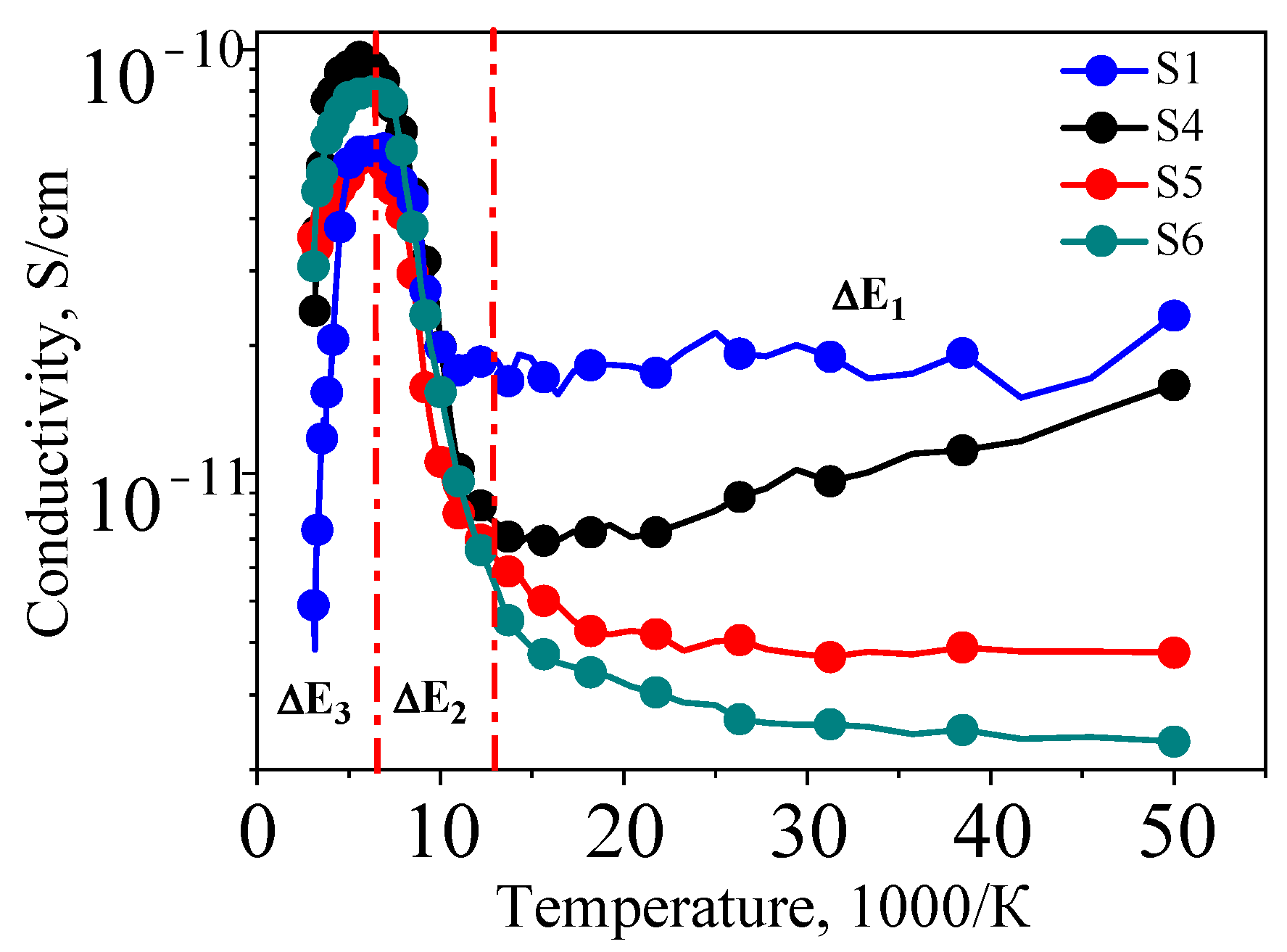
3.3. Temperature-Dependent Activation Energy of Electrical Conductivity Mechanisms in PCM
- At low temperatures, charge carrier transport occurs primarily via tunneling through potential barriers between localized energy states and follows the dependence [48]. Calculated according to Equation (3),
- T1—denotes the temperature needed to raise electronic states to the barrier summit, K;
- T1/T0—the parameter characterizing tunneling (fluctuation-free regime) and conductivity at T = 0, K;
- A—the constant used to determine the relative contribution of the tunneling mechanism to the overall conductivity.
- 2.
- In the high-temperature regime, the conduction mechanism involves charge carrier transport within the forbidden gap through thermally activated hops between neighboring localized energy states. This conduction mechanism is known as variable-range hopping conductivity [48]. Calculated according to Equation (4),
- T2—a temperature parameter related to the density of states at the Fermi level and the localization length, K;
- B—a constant used to determine the contribution of the hopping conduction mechanism to the total conductivity.
3.4. PCM Atomic Oxygen Exposure Test
- It creates an additional thermal barrier (due to the relatively low thermal conductivity of the silicone layer) between the hybrid filler (MWCNT/Al/CuAl) and the matrix, potentially increasing ITR.
- It prevents localized overheating of MWCNTs by reducing filler aggregation and ensuring their uniform distribution in the matrix.
- It improves adhesion at the interface.
3.5. Performance Comparison of PCM-Based E-Heater
4. Conclusions
- The investigation of structural features revealed a distinct organization of metallic particles within the composite matrix, determined by their aspect ratios—approximately 20 for bronze particles compared to about 1 for aluminum inclusions.
- Analysis of electrophysical properties established the general distribution patterns of carbon and metallic particles within the silicone polymer matrix. This study demonstrated how the composite’s structural characteristics influence various electrical conduction mechanisms contributing to overall conductivity: a low-temperature range (50 K−1 to 13 K−1) and two high-temperature ranges (13 K−1 to 6 K−1 and 6 K−1 to 2 K−1).
- The research examined thermal properties of silicone polymers modified with carbon nanostructures and metallic particles, identifying optimal operational parameters for these composites as electric heaters. At 10 V voltage, samples with bronze inclusions showed the shortest stabilization time (180 s) and highest operating temperature (32.9 °C), while aluminum-modified samples achieved 200 s stabilization time and 31.1 °C maximum temperature.
- Accelerated testing under simulated low Earth orbit conditions with atomic oxygen exposure (fluence 3 × 1021 atoms/cm2) demonstrated nearly complete preservation of the composites’ thermal properties, confirming their potential as active thermal regulation coatings for spacecraft applications.
Author Contributions
Funding
Data Availability Statement
Acknowledgments
Conflicts of Interest
Abbreviations
| AO | atomic oxygen |
| BPN | bronze powder needle |
| CB | carbon black |
| CNM | carbon nanomaterial |
| CNT | carbon nanotube |
| CVD | chemical vapor deposition |
| HDPE | high-density polyethylene |
| ITR | interphase interfacial thermal resistance |
| MWCNT | multi-walled carbon nanotube |
| PDMS | polydimethylsiloxane |
| SEM | scanning electron microscopy |
| TEM | transmission electron microscopy |
| PAP | aluminum pigment powder |
| PCM | polymer conductive composite |
| PTC | positive temperature coefficient of resistance |
| VLA | vortex layer apparatus |
| WPU | waterborne polyurethane |
References
- Stoyanova, S.; Ivanov, E.; Hegde, L.R.; Georgopoulou, A.; Clemens, F.; Bedoui, F.; Kotsilkova, R. PVDF Hybrid Nanocomposites with Graphene and Carbon Nanotubes and Their Thermoresistive and Joule Heating Properties. Nanomaterials 2024, 14, 901. [Google Scholar] [CrossRef] [PubMed]
- Yim, Y.; Yoon, Y.; Kim, S.; Lee, J.; Chung, D.; Kim, B. Carbon Nanotube/Polymer composites for functional applications. Polymers 2025, 17, 119. [Google Scholar] [CrossRef]
- Shchegolkov, A.V.; Shchegolkov, A.V.; Kaminskii, V.V.; Chumak, M.A. Polymer Composites with Nanomaterials for Strain Gauging: A Review. J. Compos. Sci. 2025, 9, 8. [Google Scholar] [CrossRef]
- Fenta, E.W.; Mebratie, B.A. Advancements in Carbon Nanotube-Polymer Composites: Enhancing Properties and Applications through Advanced Manufacturing Techniques. Heliyon 2024, 10, e36490. [Google Scholar] [CrossRef]
- Lee, D.; Yoo, J.; Kim, H.; Kang, B.; Park, S. Electrical and Thermal Properties of Carbon Nanotube Polymer Composites with Various Aspect Ratios. Materials 2022, 15, 1356. [Google Scholar] [CrossRef]
- Liew, N.J.; Suhaimi, M.F.; Ju, D.; Lee, H. Design and development of electric radiant heaters for local heating inside the cabin of electric vehicles. Appl. Therm. Eng. 2024, 256, 124087. [Google Scholar] [CrossRef]
- Liu, L.; Wang, X.; Jin, H.; Wang, J.; Li, Q. Carbon Nanotube-Derived Materials for smart thermal management. Adv. Sustain. Syst. 2024, 9, 2400757. [Google Scholar] [CrossRef]
- Shchegolkov, A.V.; Shchegolkov, A.V.; Kaminskii, V.V.; Iturralde, P.; Chumak, M.A. Advances in electrically and thermally conductive functional nanocomposites based on carbon nanotubes. Polymers 2024, 17, 71. [Google Scholar] [CrossRef]
- Shchegolkov, A.V.; Shchegolkov, A.V.; Kaminskii, V.V.; Chumak, M.A. Smart polymer composites for electrical heating: A review. J. Compos. Sci. 2024, 8, 522. [Google Scholar] [CrossRef]
- Chu, K.; Yun, D.; Kim, D.; Park, H.; Park, S. Study of electric heating effects on carbon nanotube polymer composites. Org. Electron. 2014, 15, 2734–2741. [Google Scholar] [CrossRef]
- Zhu, Z.; Lu, H.; Zhao, W.; Tuerxunjiang, A.; Chang, X. Materials, performances and applications of electric heating films. Renew. Sustain. Energy Rev. 2023, 184, 113540. [Google Scholar] [CrossRef]
- Shiverskii, A.V.; Owais, M.; Mahato, B.; Abaimov, S.G. Electrical heaters for Anti/De-Icing of polymer structures. Polymers 2023, 15, 1573. [Google Scholar] [CrossRef]
- De Bock, Y.; Auquilla, A.; Bracquené, E.; Nowé, A.; Duflou, J.R. The energy saving potential of retrofitting a smart heating system: A residence hall pilot study. Sustain. Comput. Inform. Syst. 2021, 31, 100585. [Google Scholar] [CrossRef]
- Ahmed, I.; Duchesne, M.; Tan, Y.; Lu, D.Y. Electrically Heated Fluidized Beds—A review. Ind. Eng. Chem. Res. 2024, 63, 4205–4235. [Google Scholar] [CrossRef]
- Zhang, M.; Wang, C.; Liang, X.; Yin, Z.; Xia, K.; Wang, H.; Jian, M.; Zhang, Y. Weft-Knitted fabric for a highly stretchable and Low-Voltage wearable heater. Adv. Electron. Mater. 2017, 3, 1700193. [Google Scholar] [CrossRef]
- Hao, J.; Yang, Y.; Shen, Y.; Zhou, R.; Zhang, W.; Chen, H.; Cheng, W. Positive temperature coefficient material based on silicone rubber/ paraffin/ graphite/ carbon nanotubes for wearable thermal management devices. Chem. Eng. J. 2024, 493, 152427. [Google Scholar] [CrossRef]
- Ju, Z.; Li, P.; Zhao, X.; Ma, J.; Xu, H.; Liu, Y. Flexible TiN/Co@Carbon nanofiber mats for high-performance electromagnetic interference shielding and Joule heating applications. Carbon 2022, 196, 612–620. [Google Scholar] [CrossRef]
- Zeng, Y.; Lu, G.; Wang, H.; Du, J.; Ying, Z.; Liu, C. Positive temperature coefficient thermistors based on carbon nanotube/polymer composites. Sci. Rep. 2014, 4, 6684. [Google Scholar] [CrossRef] [PubMed]
- Haghgoo, M.; Ansari, R.; Hassanzadeh-Aghdam, M.K.; Tian, L.; Nankali, M. Analytical formulation of the piezoresistive behavior of carbon nanotube polymer nanocomposites: The effect of temperature on strain sensing performance. Compos. Part A Appl. Sci. Manuf. 2022, 163, 107244. [Google Scholar] [CrossRef]
- Zhang, X.; Zhang, Y.; Wang, X.; Zhao, J.; Zou, J.; Sui, X.; Li, Q.; Ding, B. Composite phase change materials by confining polymers inside nanocarbon assemblies: A review. Next Energy 2025, 7, 100281. [Google Scholar] [CrossRef]
- Xue, F.; Li, K.; Cai, L.; Ding, E. Effects of POE and Carbon Black on the PTC performance and flexibility of High-Density polyethylene composites. Adv. Polym. Technol. 2021, 2021, 1124981. [Google Scholar] [CrossRef]
- Brunella, V.; Rossatto, B.G.; Scarano, D.; Cesano, F. Thermal, morphological, electrical properties and Touch-Sensor application of conductive carbon Black-Filled polyamide composites. Nanomaterials 2021, 11, 3103. [Google Scholar] [CrossRef]
- Li, G.; Hu, C.; Zhai, W.; Zhao, S.; Zheng, G.; Dai, K.; Liu, C.; Shen, C. Particle size induced tunable positive temperature coefficient characteristics in electrically conductive carbon nanotubes/polypropylene composites. Mater. Lett. 2016, 182, 314–317. [Google Scholar] [CrossRef]
- Seo, M.; Rhee, K.; Park, S. Influence of electro-beam irradiation on PTC/NTC behaviors of carbon blacks/HDPE conducting polymer composites. Curr. Appl. Phys. 2010, 11, 428–433. [Google Scholar] [CrossRef]
- Bozeya, A.; Makableh, Y.F.; Abu-Zurayk, R.; Khalaf, A.; Bawab, A.A. Thermal and structural properties of high density Polyethylene/Carbon nanotube nanocomposites: A comparison study. Chemosensors 2021, 9, 136. [Google Scholar] [CrossRef]
- Chen, L.; Hou, J.; Chen, Y.; Wang, H.; Duan, Y.; Zhang, J. Synergistic effect of conductive carbon black and silica particles for improving the pyroresistive properties of high density polyethylene composites. Compos. Part B Eng. 2019, 178, 107465. [Google Scholar] [CrossRef]
- Xu, F.; Aouraghe, M.A.; Xie, X.; Zheng, L.; Zhang, K.; Fu, K.K. Highly stretchable, fast thermal response carbon nanotube composite heater. Compos. Part A Appl. Sci. Manuf. 2021, 147, 106471. [Google Scholar] [CrossRef]
- Nayak, L.; Rahaman, M.; Giri, R. Surface Modification/Functionalization of Carbon materials by different techniques: An Overview. In Carbon-Containing Polymer Composites; Springer Series on Polymer and Composite Materials; Springer: Singapore, 2018; pp. 65–98. [Google Scholar] [CrossRef]
- Wang, J.; Hu, L.; Li, W.; Ouyang, Y.; Bai, L. Development and perspectives of thermal conductive polymer composites. Nanomaterials 2022, 12, 3574. [Google Scholar] [CrossRef]
- Chen, H.; Ginzburg, V.V.; Yang, J.; Yang, Y.; Liu, W.; Huang, Y.; Du, L.; Chen, B. Thermal conductivity of polymer-based composites: Fundamentals and applications. Prog. Polym. Sci. 2016, 59, 41–85. [Google Scholar] [CrossRef]
- Zhou, T.; Wang, X.; Cheng, P.; Wang, T.; Xiong, D.; Wang, X. Improving the thermal conductivity of epoxy resin by the addition of a mixture of graphite nanoplatelets and silicon carbide microparticles. Express Polym. Lett. 2013, 7, 585–594. [Google Scholar] [CrossRef]
- Zheng, Q.; Song, Y.; Wu, G.; Song, X. Relationship between the positive temperature coefficient of resistivity and dynamic rheological behavior for carbon black-filled high-density polyethylene. J. Polym. Sci. Part B Polym. Phys. 2003, 41, 983–992. [Google Scholar] [CrossRef]
- Gong, S.; Zhu, Z.H.; Li, Z. Electron tunnelling and hopping effects on the temperature coefficient of resistance of carbon nanotube/polymer nanocomposites. Phys. Chem. Chem. Phys. 2017, 19, 5113–5120. [Google Scholar] [CrossRef]
- Hoang, L.T.; Aghelinejad, M.; Leung, S.N.; Zhu, Z.H. High density Polyethylene/Carbon nanotube nanocomposite foams: Electrical conductivity and percolation threshold. In Proceedings of the 2018 CSME International Congress, Toronto, ON, Canada, 27–30 May 2018. Progress in Canadian Mechanical Engineering. [Google Scholar] [CrossRef]
- Chen, L.; Wu, X.; Zhang, X.; Zhang, J. Enhanced Reproducibility of Positive Temperature Coefficient Effect of CB/HDPE/PVDF Composites with the Addition of Ionic Liquid. Chin. J. Polym. Sci. 2020, 39, 228–236. [Google Scholar] [CrossRef]
- Lai, F.; Zhao, L.; Zou, J.; Zhang, P. High positive temperature coefficient effect of resistivity in conductive polystyrene/polyurethane composites with ultralow percolation threshold of MWCNTs via interpenetrating structure. React. Funct. Polym. 2020, 151, 104562. [Google Scholar] [CrossRef]
- Zhou, C.; Zhang, Y.; Cen, F.; Yu, X.; Zhou, W.; Jiang, S.; Yu, Y. Polymer positive temperature coefficient composites with room-temperature Curie point and superior flexibility for self-regulating heating devices. Polymer 2022, 265, 125587. [Google Scholar] [CrossRef]
- Liu, Y.; Asare, E.; Porwal, H.; Barbieri, E.; Goutianos, S.; Evans, J.; Newton, M.; Busfield, J.J.; Peijs, T.; Zhang, H.; et al. The effect of conductive network on positive temperature coefficient behaviour in conductive polymer composites. Compos. Part A Appl. Sci. Manuf. 2020, 139, 106074. [Google Scholar] [CrossRef]
- Gohar, G.A.; Akhtar, A.; Raza, H.; Mustafa, G.; Fatima, M.; Rehman, H.U.; Aslam, M.W.; Haq, A.U.; Manzoor, W. Achieving enhanced tensile properties of polyurethane-multiwall carbon nanotubes nanocomposites. Nano Express 2023, 4, 045013. [Google Scholar] [CrossRef]
- Das, B.; Yu, X.; Wang, Y.; Porwal, H.; Evans, J.; Newton, M.; Papageorgiou, D.; Zhang, H.; Bilotti, E. High temperature co-polyester thermoplastic elastomer nanocomposites for flexible self-regulating heating devices. Mater. Des. 2024, 242, 113000. [Google Scholar] [CrossRef]
- Wang, J.; Wang, G. Nanocarbon-Based hybrid fillers in thermally conductive polymer composites: A review. Adv. Eng. Mater. 2024, 26, 2301983. [Google Scholar] [CrossRef]
- Asare, E.; Evans, J.; Newton, M.; Peijs, T.; Bilotti, E. Effect of particle size and shape on positive temperature coefficient (PTC) of conductive polymer composites (CPC)—A model study. Mater. Des. 2016, 97, 459–463. [Google Scholar] [CrossRef]
- Wang, Y.; Das, B.; Thorn, T.D.; Huo, S.; Evans, J.; Newton, M.; Liu, Y.; Advani, S.G.; Papageorgiou, D.G.; Bilotti, E.; et al. Towards highly homogeneous self-regulating heating of smart nanocomposites. Appl. Mater. Today 2024, 39, 102292. [Google Scholar] [CrossRef]
- Shchegolkov, A.V.; Shchegolkov, A.V.; Komarov, F.F.; Parfimovich, I.D.; Zemtsova, N.V. Electro- and Thermophysical Properties of Organosilicon Elastomers Modified with Carbon Nanotubes and Microscale Metallic Structures. Russ. J. Gen. Chem. 2024, 94, 1574–1579. [Google Scholar] [CrossRef]
- Koltunowicz, T.N. Test station for Frequency-Domain dielectric spectroscopy of nanocomposites and semiconductors. J. Appl. Spectrosc. 2015, 82, 653–658. [Google Scholar] [CrossRef]
- Standard Practices for Ground Laboratory Atomic Oxygen Interaction Evaluation of Materials for Space Applications [Electronic Resource]. Available online: https://www.astm.org/e2089-15r20.html (accessed on 19 May 2022).
- Shimakawa, K. On the temperature dependence of a.c. conduction in chalcogenide glasses. Philos. Mag. B 1982, 46, 123–135. [Google Scholar] [CrossRef]
- Komarov, F.F.; Zukowski, P.; Kryvasheyeu, R.M.; Munoz, E.; Koltunowicz, T.N.; Rodionova, V.N.; Togambaeva, A.K. Effects of surfactant and fabrication procedure on the electrical conductivity and electromagnetic shielding of single-walled carbon nanotube films. Phys. Status Solidi A 2014, 212, 425–432. [Google Scholar] [CrossRef]
- Street, R.A. Recombination in amorphous semiconductors. Phys. Review. B Condens. Matter 1978, 17, 3984–3995. [Google Scholar] [CrossRef]
- Komarov, F.F.; Parfimovich, I.D.; Tkachev, A.G.; Shchegol’kov, A.V.; Shchegol’kov, A.V.; Mil’chanin, O.V.; Bondarev, V. Effect of Methods for Fabrication of Polymer Composites with Carbon Nanotubes on Conduction Processes. Tech. Phys. 2021, 66, 461–469. [Google Scholar] [CrossRef]
- Sivadas, A.; Akhina, H.; Mrudula, M.S.; Chandran, N. Dielectric and Electrical Conductivity Studies of Carbon Nanotube-Polymer Composites. In Handbook of Carbon Nanotubes; Springer: Cham, Switzerland, 2022; pp. 1209–1233. [Google Scholar] [CrossRef]
- Bao, S.; Liang, G.; Tjong, S. Positive temperature coefficient effect of Polypropylene/Carbon Nanotube/Montmorillonite hybrid nanocomposites. IEEE Trans. Nanotechnol. 2009, 8, 729–736. [Google Scholar] [CrossRef]
- Kaiser, A.B. Electronic transport properties of conducting polymers and carbon nanotubes. Rep. Prog. Phys. 2000, 64, 1–49. [Google Scholar] [CrossRef]
- Banks, B.; Miller, S.; De Groh, K. Low Earth Orbital Atomic Oxygen Interactions with Materials. In Proceedings of the 2nd International Energy Conversion Engineering Conference, Providence, RI, USA, 16–19 August 2004. [Google Scholar] [CrossRef]
- Parkhomenko, I.; Vlasukova, L.; Parfimovich, I.; Komarov, F.; Novikov, L.; Chernik, V.; Zhigulin, D. Atomic oxygen exposure effect on carbon nanotubes/epoxy composites for space systems. Acta Astronaut. 2023, 204, 124–131. [Google Scholar] [CrossRef]
- Novikov, L.S.; Voronina, E.N.; Chernik, V.N.; Zhilyakov, L.A.; Chirskaya, N.P. Combined impact of 500 keV protons and oxygen plasma on polyimide films. Nucl. Instrum. Methods Phys. Res. Sect. B Beam Interact. Mater. At. 2017, 410, 60–67. [Google Scholar] [CrossRef]
- Ramzali, M.; Ahangari, M.G.; Arabi, M.K.; Dargahi, S. Validation of Experimental Results for Polyhedral Oligomeric Silsesquioxane, carbon nanotube and functionalized carbon nanotube/Polymer Nanocomposites through Density Functional Theory Study. Mater. Today Commun. 2024, 41, 110600. [Google Scholar] [CrossRef]
- Guo, Y.; Zhang, D.; Zhang, X.; Wu, Y. Thermal properties and mechanical behavior of functionalized carbon nanotube-filled polypropylene composites using molecular dynamics simulation. Mater. Today Commun. 2023, 37, 107510. [Google Scholar] [CrossRef]
- Shen, Y.; Xiang, Y.; Kuzhandaivel, D.; Wang, L.; Weng, Z.; Zheng, L.; Wang, J.; Zhang, Q.; Wu, L. Water-based Polyurethane Heating Film with Double-Layer Conductive Network for a Rapid Electrothermal Response. Adv. Eng. Mater. 2024, 26, 2400249. [Google Scholar] [CrossRef]
- Ha, J.-H.; Chu, K.; Park, S.-H. Electrical properties of the Carbon-Nanotube composites film under extreme temperature condition. J. Nanosci. Nanotechnol. 2018, 19, 1682–1685. [Google Scholar] [CrossRef] [PubMed]











| № | Powder | Elemental Composition, wt.% | |||||
|---|---|---|---|---|---|---|---|
| Al | Fe | Si | Cu | Mn | Pb | ||
| 1 | PAP-1 | 82–92 | 0.5 | 0.4 | 0.05 | 0.05 | - |
| 2 | NBP | 2.5 | 0.049 | - | 79 | - | 0.049 |
| № | Sample | Composite Formulation |
|---|---|---|
| 1 | S1 | 2 wt.% MWCNT + 10 wt.% CuAl |
| 2 | S2 | 2 wt.% MWCNT + 10 wt.% Al |
| 3 | S3 | 2 wt.% MWCNT + 5 wt.% Al |
| 4 | S4 | 4 wt.% MWCNT + 5 wt.% Al |
| 5 | S5 | 4 wt.% MWCNT + 10 wt.% Al |
| 6 | S6 | 4 wt.% MWCNT + 10 wt.% CuAl |
| № | Sample | Activation Energy | ||
|---|---|---|---|---|
| ΔE1, eV | ΔE2, eV | ΔE3, eV | ||
| 1 | MWCNT 2 wt.% | 0.000052 | 0.29 | 0.081 |
| 2 | S1 | 0.000658 | 0.022 | 0.0716 |
| 3 | S2 | 0.001216 | 0.105 | - |
| 4 | S3 | 0.00107 | 0.083 | - |
| 5 | S4 | 0.00167 | 0.0324 | 0.046 |
| 6 | S5 | 0.00116 | 0.029 | 0.0096 |
| 7 | S6 | 0.0014 | 0.03 | 0.03 |
| Sample | t, s | Q, W | T, °C | QAO, W | TAO, °C | ||||
|---|---|---|---|---|---|---|---|---|---|
| Start | Work Mode | Start | Work Mode | Start | Work Mode | Start | Work Mode | ||
| MWCNT 2 wt.% | 300 | 0.011 | 0.001 | 25 | 25.9 | 0.012 | 0.001 | 25 | 25.9 |
| S1 | 200 | 1.05 | 0.11 | 25 | 31 | 1.05 | 0.1 | 25 | 31.1 |
| S2 | 210 | 0.42 | 0.041 | 25 | 30.6 | 0.41 | 0.04 | 25 | 30.6 |
| S3 | 250 | 0.21 | 0.02 | 25 | 28.8 | 0.2 | 0.022 | 25 | 28.9 |
| S4 | 250 | 0.72 | 0.07 | 25 | 29.6 | 0.73 | 0.07 | 25 | 29.6 |
| S5 | 220 | 1.05 | 0.11 | 25 | 31.2 | 1.06 | 0.1 | 25 | 31.1 |
| S6 | 180 | 1.21 | 0.12 | 25 | 32.9 | 1.21 | 0.12 | 25 | 31.9 |
Disclaimer/Publisher’s Note: The statements, opinions and data contained in all publications are solely those of the individual author(s) and contributor(s) and not of MDPI and/or the editor(s). MDPI and/or the editor(s) disclaim responsibility for any injury to people or property resulting from any ideas, methods, instructions or products referred to in the content. |
© 2025 by the authors. Licensee MDPI, Basel, Switzerland. This article is an open access article distributed under the terms and conditions of the Creative Commons Attribution (CC BY) license (https://creativecommons.org/licenses/by/4.0/).
Share and Cite
Shchegolkov, A.V.; Shchegolkov, A.V.; Parfimovich, I.D.; Komarov, F.F.; Novikov, L.S.; Chernik, V.N. Functional Characteristics of Conductive Polymer Composites with Built-In Carbon Nanotubes and Metallic Particles. J. Compos. Sci. 2025, 9, 429. https://doi.org/10.3390/jcs9080429
Shchegolkov AV, Shchegolkov AV, Parfimovich ID, Komarov FF, Novikov LS, Chernik VN. Functional Characteristics of Conductive Polymer Composites with Built-In Carbon Nanotubes and Metallic Particles. Journal of Composites Science. 2025; 9(8):429. https://doi.org/10.3390/jcs9080429
Chicago/Turabian StyleShchegolkov, Alexandr V., Aleksei V. Shchegolkov, Ivan D. Parfimovich, Fadey F. Komarov, Lev S. Novikov, and Vladimir N. Chernik. 2025. "Functional Characteristics of Conductive Polymer Composites with Built-In Carbon Nanotubes and Metallic Particles" Journal of Composites Science 9, no. 8: 429. https://doi.org/10.3390/jcs9080429
APA StyleShchegolkov, A. V., Shchegolkov, A. V., Parfimovich, I. D., Komarov, F. F., Novikov, L. S., & Chernik, V. N. (2025). Functional Characteristics of Conductive Polymer Composites with Built-In Carbon Nanotubes and Metallic Particles. Journal of Composites Science, 9(8), 429. https://doi.org/10.3390/jcs9080429

