Development of Doum Palm Fiber-Based Building Insulation Composites with Citric Acid/Glycerol Eco-Friendly Binder
Abstract
1. Introduction
2. Materials and Methods
2.1. Doum Palm Fibers and Binding Materials
2.2. Physical Properties of the Fibers
2.2.1. Density and Diameter Measurement
- represents the density of the fiber in g/cm3;
- is the density of toluene in g/cm3;
- is the mass of the empty pycnometer in grams;
- is the mass of the fiber pycnometer in grams;
- is the mass of the toluene-filled pycnometer in grams;
- is the mass of the pycnometer containing the fibers and toluene in grams.
2.2.2. Determination of Chemical Constituents
2.3. Analysis of X-Ray Diffractograms of the Fibers
2.4. Morphological Analysis of the Fibers
2.5. Thermal Stability of the Fibers
2.6. Preparation of the Composites and Specimens
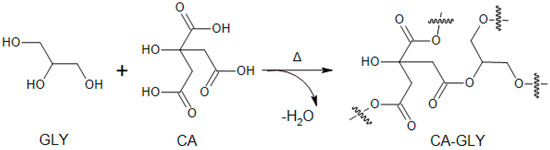
2.6.1. Binder Composition and Preparation
2.6.2. Fiber Preparation
2.6.3. Composite and Specimen Preparation
2.7. Fourier Transform Infrared Analysis of the Fibers and Binder
2.8. Thermal Conductivity and Density of the Composites
2.9. Mechanical Testing of the Composites
3. Results
3.1. Physicochemical Analysis of Doum Palm Fibers
3.2. Fourier Transform Infrared (FTIR) Analysis
3.3. X-Ray Diffraction (XRD) Analysis
3.4. Thermal Analysis (ATG-ATD)
3.5. Morphological Analysis by SEM
3.6. Characterization of the Binder and Biocomposites
3.7. Mechanical and Physical Characterizations of Biocomposites
3.7.1. Mechanical Properties
3.7.2. Physical Properties
Thermal Conductivity
Density
4. Conclusions
Author Contributions
Funding
Data Availability Statement
Acknowledgments
Conflicts of Interest
References
- Bougtaib, K.; Jamil, Y.; Nasla, S.; Gueraoui, K.; Cherraj, M. Compressed Earth Blocks Reinforced with Fibers (Doum Palm) and Stabilized with Lime: Manual Compaction Procedure and Influence of Addition on Mechanical Properties and Durability. JP J. Heat Mass Transf. 2022, 26, 157–177. [Google Scholar] [CrossRef]
- Fatma, N.; Allègue, L.; Salem, M.; Zitoune, R.; Zidi, M. The Effect of Doum Palm Fibers on the Mechanical and Thermal Properties of Gypsum Mortar. J. Compos. Mater. 2019, 53, 2641–2659. [Google Scholar] [CrossRef]
- Fardioui, M.; Guedira, T.; Qaiss, A.E.K.; Bouhfid, R. A Comparative Study of Doum Fiber and Shrimp Chitin Based Reinforced Low Density Polyethylene Biocomposites. J. Polym. Environ. 2018, 26, 443–451. [Google Scholar] [CrossRef]
- Elmoudnia, H.; Faria, P.; Jalal, R.; Waqif, M.; Saâdi, L. Effectiveness of Alkaline and Hydrothermal Treatments on Cellulosic Fibers Extracted from the Moroccan Pennisetum Alopecuroides Plant: Chemical and Morphological Characterization. Carbohydr. Polym. Technol. Appl. 2023, 5, 100276. [Google Scholar] [CrossRef]
- Maguteeswaran, R.; Prathap, P.; Satheeshkumar, S.; Madhu, S. Effect of Alkali Treatment on Novel Natural Fiber Extracted from the Stem of Lankaran Acacia for Polymer Composite Applications. Biomass Convers. Biorefinery 2024, 14, 8091–8101. [Google Scholar] [CrossRef]
- Bijlwan, P.P.; Prasad, L.; Sharma, A.; Gupta, M.K.; Kumar, V. Experimental Study on the Mechanical and Hygroscopic Properties of Alkaline-Treated Grewia Optiva/Basalt Fiber-Reinforced Polymer Composites. Biomass Convers. Biorefinery 2023, 14, 25961–25971. [Google Scholar] [CrossRef]
- Njoku, C.E.; Omotoyinbo, J.A.; Alaneme, K.K.; Daramola, M.O. Characterization of Urena Lobata Fibers after Alkaline Treatment for Use in Polymer Composites. J. Nat. Fibers 2022, 19, 485–496. [Google Scholar] [CrossRef]
- Sanjay, M.; Siengchin, S.; Parameswaranpillai, J.; Jawaid, M.; Pruncu, C.I.; Khan, A. A Comprehensive Review of Techniques for Natural Fibers as Reinforcement in Composites: Preparation, Processing and Characterization. Carbohydr. Polym. 2019, 207, 108–121. [Google Scholar]
- Sanjay, M.R.; Madhu, P.; Jawaid, M.; Senthamaraikannan, P.; Senthil, S.; Pradeep, S. Characterization and Properties of Natural Fiber Polymer Composites: A Comprehensive Review. J. Clean. Prod. 2018, 172, 566–581. [Google Scholar] [CrossRef]
- Fardioui, M.; Stambouli, A.; Gueddira, T.; Dahrouch, A.; Qaiss, A.E.K.; Bouhfid, R. Extraction and Characterization of Nanocrystalline Cellulose from Doum (Chamaerops humilis) Leaves: A Potential Reinforcing Biomaterial. J. Polym. Environ. 2016, 24, 356–362. [Google Scholar] [CrossRef]
- Bahloul, A.; Kassab, Z.; Aziz, F.; Hannache, H.; Bouhfid, R.; Qaiss, A.E.K.; Oumam, M.; El Achaby, M. Characteristics of Cellulose Microfibers and Nanocrystals Isolated from Doum Tree (Chamaerops humilis Var. Argentea). Cellulose 2021, 28, 4089–4103. [Google Scholar] [CrossRef]
- Arrakhiz, F.; El Achaby, M.; Malha, M.; Bensalah, M.; Fassi-Fehri, O.; Bouhfid, R.; Benmoussa, K.; Qaiss, A. Mechanical and Thermal Properties of Natural Fibers Reinforced Polymer Composites: Doum/Low Density Polyethylene. Mater. Des. 2013, 43, 200–205. [Google Scholar] [CrossRef]
- Essabir, H.; Elkhaoulani, A.; Benmoussa, K.; Bouhfid, R.; Arrakhiz, F.; Qaiss, A. Dynamic Mechanical Thermal Behavior Analysis of Doum Fibers Reinforced Polypropylene Composites. Mater. Des. 2013, 51, 780–788. [Google Scholar] [CrossRef]
- Dan-Asabe, B.; Yaro, S.; Yawas, D. Micro-Structural and Mechanical Characterization of Doum-Palm Leaves Particulate Reinforced PVC Composite as Piping Materials. Alex. Eng. J. 2018, 57, 2929–2937. [Google Scholar] [CrossRef]
- Bouchefra, I.; Bichri, F.Z.E.; Chehouani, H.; Benhamou, B. Mechanical and Thermophysical Properties of Compressed Earth Brick Rienforced by Raw and Treated Doum Fibers. Constr. Build. Mater. 2022, 318, 126031. [Google Scholar] [CrossRef]
- Hussin, M.H.; Abd Latif, N.H.; Hamidon, T.S.; Idris, N.N.; Hashim, R.; Appaturi, J.N.; Brosse, N.; Ziegler-Devin, I.; Chrusiel, L.; Fatriasari, W. Latest Advancements in High-Performance Bio-Based Wood Adhesives: A Critical Review. J. Mater. Res. Technol. 2022, 21, 3909–3946. [Google Scholar] [CrossRef]
- Arias, A.; González-Rodríguez, S.; Barros, M.V.; Salvador, R.; de Francisco, A.C.; Piekarski, C.M.; Moreira, M.T. Recent Developments in Bio-Based Adhesives from Renewable Natural Resources. J. Clean. Prod. 2021, 314, 127892. [Google Scholar] [CrossRef]
- Essoua Essoua, G.G.; Landry, V.; Beauregard, R.; Blanchet, P. Pine Wood Treated with a Citric Acid and Glycerol Mixture: Biomaterial Performance Improved by a Bio-Byproduct. BioResources 2016, 11, 3049–3072. [Google Scholar] [CrossRef]
- Kudahettige-Nilsson, R.L.; Ullsten, H.; Henriksson, G. Plastic Composites Made from Glycerol, Citric Acid, and Forest Components. BioResources 2018, 13, 6600–6612. [Google Scholar] [CrossRef]
- Jiugao, Y.; Ning, W.; Xiaofei, M. The Effects of Citric Acid on the Properties of Thermoplastic Starch Plasticized by Glycerol. Starch-Stärke 2005, 57, 494–504. [Google Scholar] [CrossRef]
- Halpern, J.M.; Urbanski, R.; Weinstock, A.K.; Iwig, D.F.; Mathers, R.T.; Von Recum, H.A. A Biodegradable Thermoset Polymer Made by Esterification of Citric Acid and Glycerol. J. Biomed. Mater. Res. Part A 2014, 102, 1467–1477. [Google Scholar] [CrossRef] [PubMed]
- Giroto, A.S.; Valle, S.F.; Borges, R.; Colnago, L.A.; Ribeiro, T.S.; Jablonowski, N.D.; Ribeiro, C.; Mattoso, L.H. Revealing the Structure Formation on Polyglycerol Citrate Polymers—An Environmentally Friendly Polyester as a Seed-Coating Material. Polymers 2023, 15, 4303. [Google Scholar] [CrossRef]
- Nitu, I.P.; Rahman, S.; Islam, M.N.; Ashaduzzaman, M.; Shams, M.I. Preparation and Properties of Jute Stick Particleboard Using Citric Acid–Glycerol Mixture as a Natural Binder. J. Wood Sci. 2022, 68, 30. [Google Scholar] [CrossRef]
- Choowang, R.; Luengchavanon, M.; Raknarong, J. Employing a Mixture of Fine-Particle PKS, Glycerol, and Citric Acid as an Eco-Friendly Binder for Plywood Production from Rubberwood (Hevea brasiliensis) Veneer. J. Wood Sci. 2024, 70, 31. [Google Scholar] [CrossRef]
- Segovia, F.; Blanchet, P.; Auclair, N.; Essoua Essoua, G.G. Thermo-Mechanical Properties of a Wood Fiber Insulation Board Using a Bio-Based Adhesive as a Binder. Buildings 2020, 10, 152. [Google Scholar] [CrossRef]
- ASTM D578; Standard Specification for Glass Fiber Strands. ATSM: West Conshohocken, PA, USA, 2011.
- Boopathi, L.; Sampath, P.S.; Mylsamy, K. Investigation of Physical, Chemical and Mechanical Properties of Raw and Alkali Treated Borassus Fruit Fiber. Compos. Part B Eng. 2012, 43, 3044–3052. [Google Scholar] [CrossRef]
- ASTM 1106-96; Standard Test Method for Acid-Insoluble Lignin in Wood. ASTM International: West Conshohocken, PA, USA, 2013.
- Segal, L.; Creely, J.J.; Martin Jr, A.E.; Conrad, C.M. An Empirical Method for Estimating the Degree of Crystallinity of Native Cellulose Using the X-Ray Diffractometer. Text. Res. J. 1959, 29, 786–794. [Google Scholar] [CrossRef]
- Scherrer, P. Bestimmung Der Grosse Und Inneren Struktur von Kolloidteilchen Mittels Rontgenstrahlen. Nach Ges Wiss Gott. 1918, 2, 8–100. [Google Scholar]
- ASTM D 3379-75; Standard Test Method for Tensile Strength and Young’s Modulus for High-Modulus Single-Filament Materials. ASTM International: West Conshohocken, PA, USA, 1998.
- Elmoudnia, H.; Faria, P.; Jalal, R.; Waqif, M.; Saâdi, L. A Comprehensive Review on Washingtonia Plant Biomass Fiber in Insulating Materials. EDP Sci. 2025, 601, 00069. [Google Scholar] [CrossRef]
- Naiiri, F.; Lamis, A.; Mehdi, S.; Redouane, Z.; Mondher, Z. Performance of Lightweight Mortar Reinforced with Doum Palm Fiber. J. Compos. Mater. 2021, 55, 1591–1607. [Google Scholar] [CrossRef]
- Elmoudnia, H.; Faria, P.; Jalal, R.; Waqif, M.; Saâdi, L. A Comprehensive Chemical, Physical, Mechanical, and Thermal Characterization of Novel Cellulosic Plant Extracted from the Petiole of Washingtonia Robusta Fibers. Biomass Convers. Biorefinery 2024, 1–17. [Google Scholar] [CrossRef]
- Jawaid, M.; Khalil, H.A.; Hassan, A.; Dungani, R.; Hadiyane, A. Effect of Jute Fibre Loading on Tensile and Dynamic Mechanical Properties of Oil Palm Epoxy Composites. Compos. Part B Eng. 2013, 45, 619–624. [Google Scholar] [CrossRef]
- Leman, Z.; Zainudin, E.S.; Ishak, M.R. Effectiveness of Alkali and Sodium Bicarbonate Treatments on Sugar Palm Fiber: Mechanical, Thermal, and Chemical Investigations. J. Nat. Fibers 2018, 17, 877–889. [Google Scholar]
- Rajeshkumar, G. Characterization of Surface Modified Phoenix Sp. Fibers for Composite Reinforcement. J. Nat. Fibers 2021, 18, 2033–2044. [Google Scholar] [CrossRef]
- Adeosun, S.; Akpan, E.; Akanegbu, H. Thermo-Mechanical Properties of Unsaturated Polyester Reinforced with Coconut and Snail Shells. Int. J. Compos. Mater. 2015, 5, 52–64. [Google Scholar]
- Hossain, S.; Jalil, M.A.; Islam, T.; Rahman, M.M. A Low-Density Cellulose Rich New Natural Fiber Extracted from the Bark of Jack Tree Branches and Its Characterizations. Heliyon 2022, 8, e11667. [Google Scholar] [CrossRef]
- Durai, P.N.; Viswalingam, K.; Senthilkumar, B.; Divakaran, D.; Siengchin, S. Effect of Alkalization on Physical, Chemical, Thermal, Tensile, and Surface Morphological Properties of Musa Acuminata Peduncles Fiber. Biomass Convers. Biorefinery 2023, 14, 19753–19764. [Google Scholar] [CrossRef]
- Indran, S.; Raj, R.E.; Sreenivasan, V.S. Characterization of New Natural Cellulosic Fiber from Cissus Quadrangularis Root. Carbohydr. Polym. 2014, 110, 423–429. [Google Scholar] [CrossRef] [PubMed]
- Manivel, S.; Pannirselvam, N.; Gopinath, R.; Sathishkumar, T. Physico-Mechanical, Chemical Composition and Thermal Properties of Cellulose Fiber from Hibiscus Vitifolius Plant Stalk for Polymer Composites. J. Nat. Fibers 2022, 19, 6961–6976. [Google Scholar] [CrossRef]
- Indran, S.; Divya, D.; Raja, S.; Sanjay, M.; Siengchin, S. Physico-Chemical, Mechanical and Morphological Characterization of Furcraea Selloa K. Koch Plant Leaf Fibers-an Exploratory Investigation. 2023, 20, 2146829. [Google Scholar]
- Alotaibi, M.D.; Alshammari, B.A.; Saba, N.; Alothman, O.Y.; Sanjay, M.R.; Almutairi, Z.; Jawaid, M. Characterization of Natural Fiber Obtained from Different Parts of Date Palm Tree (Phoenix dactylifera L.). Int. J. Biol. Macromol. 2019, 135, 69–76. [Google Scholar] [CrossRef] [PubMed]
- Reddy, K.O.; Ashok, B.; Reddy, K.R.N.; Feng, Y.E.; Zhang, J.; Rajulu, A.V. Extraction and Characterization of Novel Lignocellulosic Fibers from Thespesia Lampas Plant. Int. J. Polym. Anal. Charact. 2014, 19, 48–61. [Google Scholar] [CrossRef]
- Moshi, A.A.M.; Ravindran, D.; Bharathi, S.S.; Indran, S.; Saravanakumar, S.S.; Liu, Y. Characterization of a New Cellulosic Natural Fiber Extracted from the Root of Ficus Religiosa Tree. Int. J. Biol. Macromol. 2020, 142, 212–221. [Google Scholar] [CrossRef] [PubMed]
- Qaiss, A.; Bouhfid, R.; Essabir, H. Effect of Processing Conditions on the Mechanical and Morphological Properties of Composites Reinforced by Natural Fibres. In Manufacturing of Natural Fibre Reinforced Polymer Composites; Springer: Cham, Switzerland, 2015; pp. 177–197. [Google Scholar]
- Qaiss, A.; Bouhfid, R.; Essabir, H. Characterization and Use of Coir, Almond, Apricot, Argan, Shells, and Wood as Reinforcement in the Polymeric Matrix in Order to Valorize These Products. In Agricultural Biomass Based Potential Materials; Springer: Cham, Switzerland, 2015; pp. 305–339. [Google Scholar]
- Gopinath, R.; Billigraham, P.; Sathishkumar, T. Physico-Chemical, Mechanical and Thermal Properties of Novel Cellulosic Fiber Extracted from the Bark of Tithonia Diversifolia. J. Nat. Fibers 2023, 20, 2170944. [Google Scholar] [CrossRef]
- De Rosa, I.M.; Kenny, J.M.; Maniruzzaman, M.; Moniruzzaman, M.; Monti, M.; Puglia, D.; Santulli, C.; Sarasini, F. Effect of Chemical Treatments on the Mechanical and Thermal Behaviour of Okra (Abelmoschus esculentus) Fibres. Compos. Sci. Technol. 2011, 71, 246–254. [Google Scholar] [CrossRef]
- Rathinavelu, R.; Paramathma, B.S. Examination of Characteristic Features of Raw and Alkali-Treated Cellulosic Plant Fibers from Ventilago Maderaspatana for Composite Reinforcement. Biomass Convers. Biorefinery 2023, 13, 4413–4425. [Google Scholar] [CrossRef]
- Binoj, J.; Raj, R.E.; Indran, S. Characterization of Industrial Discarded Fruit Wastes (Tamarindus indica L.) as Potential Alternate for Man-Made Vitreous Fiber in Polymer Composites. Process Saf. Environ. Prot. 2018, 116, 527–534. [Google Scholar] [CrossRef]
- Neto, C.P.; Seca, A.; Fradinho, D.; Coimbra, M.; Domingues, F.; Evtuguin, D.; Silvestre, A.; Cavaleiro, J. Chemical Composition and Structural Features of the Macromolecular Components of Hibiscus Cannabinus Grown in Portugal. Ind. Crops Prod. 1996, 5, 189–196. [Google Scholar] [CrossRef]
- Khan, A.; Vijay, R.; Singaravelu, D.L.; Sanjay, M.R.; Siengchin, S.; Jawaid, M.; Alamry, K.A.; Asiri, A.M. Extraction and Characterization of Natural Fibers from Citrullus Lanatus Climber. J. Nat. Fibers 2022, 19, 621–629. [Google Scholar] [CrossRef]
- Kumar, R.; Hynes, N.R.J.; Senthamaraikannan, P.; Saravanakumar, S.; Sanjay, M.R. Physicochemical and Thermal Properties of Ceiba Pentandra Bark Fiber. J. Nat. Fibers 2018, 15, 822–829. [Google Scholar] [CrossRef]
- Chanzy, H.; Imada, K.; Mollard, A.; Vuong, R.; Barnoud, F. Crystallographic Aspects of Sub-Elementary Cellulose Fibrils Occurring in the Wall of Rose Cells Cultured in Vitro. Protoplasma 1979, 100, 303–316. [Google Scholar] [CrossRef]
- Madhu, P.; Sanjay, M.; Pradeep, S.; Bhat, K.S.; Yogesha, B.; Siengchin, S. Characterization of Cellulosic Fibre from Phoenix Pusilla Leaves as Potential Reinforcement for Polymeric Composites. J. Mater. Res. Technol. 2019, 8, 2597–2604. [Google Scholar] [CrossRef]
- Ahmed, J.; Balaji, M.A.; Saravanakumar, S.S.; Senthamaraikannan, P. A Comprehensive Physical, Chemical and Morphological Characterization of Novel Cellulosic Fiber Extracted from the Stem of Elettaria Cardamomum Plant. J. Nat. Fibers 2021, 18, 1460–1471. [Google Scholar] [CrossRef]
- Manimaran, P.; Saravanan, S.P.; Sanjay, M.R.; Siengchin, S.; Jawaid, M.; Khan, A. Characterization of New Cellulosic Fiber: Dracaena Reflexa as a Reinforcement for Polymer Composite Structures. J. Mater. Res. Technol. 2019, 8, 1952–1963. [Google Scholar] [CrossRef]
- Kar, A.; Saikia, D.; Palanisamy, S.; Santulli, C.; Fragassa, C.; Thomas, S. Effect of Alkali Treatment under Ambient and Heated Conditions on the Physicochemical, Structural, Morphological, and Thermal Properties of Calamus Tenuis Cane Fibers. Fibers 2023, 11, 92. [Google Scholar] [CrossRef]
- Pokhriyal, M.; Rakesh, P.K.; Rangappa, S.M.; Siengchin, S. Effect of Alkali Treatment on Novel Natural Fiber Extracted from Himalayacalamus falconeri Culms for Polymer Composite Applications. Biomass Convers. Biorefinery 2023, 14, 18481–18497. [Google Scholar] [CrossRef]
- Palaniappan, M.; Palanisamy, S.; Murugesan, T.M.; Alrasheedi, N.H.; Ataya, S.; Tadepalli, S.; Elfar, A.A. Novel Ficus retusa L. Aerial Root Fiber: A Sustainable Alternative for Synthetic Fibres in Polymer Composites Reinforcement. Biomass Convers. Biorefinery 2024, 1–17. [Google Scholar] [CrossRef]
- Monteiro, S.N.; Calado, V.; Rodriguez, R.J.S.; Margem, F.M. Thermogravimetric Behavior of Natural Fibers Reinforced Polymer Composites—An Overview. Mater. Sci. Eng. A 2012, 557, 17–28. [Google Scholar] [CrossRef]
- Abebaw, N.; Baye, B. Extraction and Characterization of Hibiscus Macrantus Bast Fibers as a Reinforcement Material for Composite Application. Polym. Bull. 2023, 80, 7407–7427. [Google Scholar] [CrossRef]
- Paajanen, A.; Rinta-Paavola, A.; Vaari, J. High-Temperature Decomposition of Amorphous and Crystalline Cellulose: Reactive Molecular Simulations. Cellulose 2021, 28, 8987–9005. [Google Scholar] [CrossRef]
- Sahayaraj, A.F.; Selvan, M.T.; Ramesh, M.; Maniraj, J.; Jenish, I.; Nagarajan, K. Extraction, Purification, and Characterization of Novel Plant Fiber from Tabernaemontana Divaricate Stem to Use as Reinforcement in Polymer Composites. Biomass Convers. Biorefinery 2024, 1–15. [Google Scholar] [CrossRef]
- Vinod, A.; Vijay, R.; Lenin Singaravelu, D.; Khan, A.; Sanjay, M.; Siengchin, S.; Verpoort, F.; Alamry, K.A.; Asiri, A.M. Effect of Alkali Treatment on Performance Characterization of Ziziphus Mauritiana Fiber and Its Epoxy Composites. J. Ind. Text. 2022, 51, 2444S–2466S. [Google Scholar] [CrossRef]
- Senthamaraikannan, P.; Saravanakumar, S. Evaluation of Characteristic Features of Untreated and Alkali-Treated Cellulosic Plant Fibers from Mucuna Atropurpurea for Polymer Composite Reinforcement. Biomass Convers. Biorefinery 2023, 13, 11295–11309. [Google Scholar] [CrossRef]
- Keskin, O.Y.; Koktas, S.; Seki, Y.; Dalmis, R.; Kilic, G.B.; Albayrak, D. Natural Cellulosic Fiber from Carex Panicea Stem for Polymer Composites: Extraction and Characterization. Biomass Convers. Biorefinery 2024, 14, 13901–13912. [Google Scholar] [CrossRef]
- Ilangovan, M.; Guna, V.; Prajwal, B.; Jiang, Q.; Reddy, N. Extraction and Characterisation of Natural Cellulose Fibers from Kigelia Africana. Carbohydr. Polym. 2020, 236, 115996. [Google Scholar] [CrossRef] [PubMed]
- Senthilraja, R.; Sarala, R.; Manimaran, P. Characterization of New Natural Cellulosic Fiber from the Bark of Artocarpus Altilis Plant. J. Nat. Fibers 2023, 20, 2150923. [Google Scholar]
- Balachandran, G.B.; Narayanasamy, P.; Alexander, A.B.; David, P.W.; Mariappan, R.K.; Ramachandran, M.E.; Indran, S.; Rangappa, S.M.; Siengchin, S. Multi-Analytical Investigation of the Physical, Chemical, Morphological, Tensile, and Structural Properties of Indian Mulberry (Morinda tinctoria) Bark Fibers. Heliyon 2023, 9, e21239. [Google Scholar] [CrossRef]
- Drouiche, F.; Laouici, H.; Cheikh, M. Morphological, Chemical, Thermal and Mechanical Analysis of Doum Fibers as Potential Reinforcement of Polymer Composites. J. Compos. Mater. 2024, 58, 37–54. [Google Scholar] [CrossRef]
- Rahman, M.F.; Wu, J.; Tseng, T.L.B. Automatic Morphological Extraction of Fibers from SEM Images for Quality Control of Short Fiber-Reinforced Composites Manufacturing. CIRP J. Manuf. Sci. Technol. 2021, 33, 176–187. [Google Scholar] [CrossRef]
- Purushothaman, R.; Balaji, A.; Swaminathan, J. Influence of NaOH Treatment on Physical, Chemical, Thermal, and Morphological Behavior of Aloe Vera, Banana, and Corn Husk Fiber. Biomass Convers. Biorefinery 2024, 14, 16743–16754. [Google Scholar] [CrossRef]
- Hindi, J.; Abdul Salam, A.A.; K, M.; BM, G.; YM, S.; Ibrahim, A. Characterization of Novel Cellulosic Salvadora Persica Fiber for Potentiality in Polymer Matrix Composites. J. Nat. Fibers 2024, 21, 2409874. [Google Scholar] [CrossRef]
- Raja, T.; Devarajan, Y. Effective Utilization of Fibre Extracted from the Waste Neem Tree Twigs—A Step towards Sustainable Practices. Biomass Convers. Biorefinery 2023, 14, 21049–21057. [Google Scholar] [CrossRef]
- Selvaraj, S.K.; Saravanan, K. Characterization and Potential Applications of Grewia Hirsuta Fibers: Nature’s Own Composite Materials. Biomass Convers. Biorefinery 2024, 1–9. [Google Scholar] [CrossRef]
- Maran, M.; Kumar, R.; Senthamaraikannan, P.; Saravanakumar, S.; Nagarajan, S.; Sanjay, M.; Siengchin, S. Suitability Evaluation of Sida Mysorensis Plant Fiber as Reinforcement in Polymer Composite. J. Nat. Fibers 2022, 19, 1659–1669. [Google Scholar] [CrossRef]
- Wrzecionek, M.; Matyszczak, G.; Bandzerewicz, A.; Ruśkowski, P.; Gadomska-Gajadhur, A. Kinetics of Polycondensation of Citric Acid with Glycerol Based on a Genetic Algorithm. Org. Process Res. Dev. 2021, 25, 271–281. [Google Scholar] [CrossRef]
- Tisserat, B.; O’kuru, R.H.; Hwang, H.; Mohamed, A.A.; Holser, R. Glycerol Citrate Polyesters Produced through Heating without Catalysis. J. Appl. Polym. Sci. 2012, 125, 3429–3437. [Google Scholar] [CrossRef]
- Berube, M.-A.; Schorr, D.; Ball, R.J.; Landry, V.; Blanchet, P. Determination of in Situ Esterification Parameters of Citric Acid-Glycerol Based Polymers for Wood Impregnation. J. Polym. Environ. 2018, 26, 970–979. [Google Scholar] [CrossRef]
- Hassan, T.; Jamshaid, H.; Mishra, R.; Khan, M.Q.; Petru, M.; Novak, J.; Choteborsky, R.; Hromasova, M. Acoustic, Mechanical and Thermal Properties of Green Composites Reinforced with Natural Fibers Waste. Polymers 2020, 12, 654. [Google Scholar] [CrossRef] [PubMed]
- Shakir, M.A.; Ahmad, M.I.; Yusup, Y.; Wabaidur, S.M.; Siddiqui, M.R.; Alam, M.; Rafatullah, M. Sandwich Composite Panel from Spent Mushroom Substrate Fiber and Empty Fruit Bunch Fiber for Potential Green Thermal Insulation. Buildings 2023, 13, 224. [Google Scholar] [CrossRef]
- Sinha, A.K.; Narang, H.K.; Bhattacharya, S. Mechanical Properties of Natural Fibre Polymer Composites. J. Polym. Eng. 2017, 37, 879–895. [Google Scholar] [CrossRef]
- Tůmová, E.; Drochytka, R.; Černý, V.; Čada, P. Development of Organic and Biodegradable Insulating Material for ETICS. Procedia Eng. 2017, 195, 81–87. [Google Scholar] [CrossRef]
- Khalaf, Y.; El Hage, P.; Mihajlova, J.D.; Bergeret, A.; Lacroix, P.; El Hage, R. Influence of Agricultural Fibers Size on Mechanical and Insulating Properties of Innovative Chitosan-Based Insulators. Constr. Build. Mater. 2021, 287, 123071. [Google Scholar] [CrossRef]
- Bakatovich, A.; Davydenko, N.; Gaspar, F. Thermal Insulating Plates Produced on the Basis of Vegetable Agricultural Waste. Energy Build. 2018, 180, 72–82. [Google Scholar] [CrossRef]
- Tigabe, S.; Atalie, D.; Gideon, R.K. Physical Properties Characterization of Polyvinyl Acetate Composite Reinforced with Jute Fibers Filled with Rice Husk and Sawdust. J. Nat. Fibers 2022, 19, 5928–5939. [Google Scholar] [CrossRef]
- Jaber, A.A.; Abbas, S.A.; Farah, A.A.; Kopeć, K.K.; Alsalik, Y.M.; Tayeb, M.A.; Verghese, N. Effect of Fiber Sizing Levels on the Mechanical Properties of Carbon Fiber-Reinforced Thermoset Composites. Polymers 2023, 15, 4678. [Google Scholar] [CrossRef] [PubMed]
- Pakravan, H.; Latifi, M.; Jamshidi, M. Hybrid Short Fiber Reinforcement System in Concrete: A Review. Constr. Build. Mater. 2017, 142, 280–294. [Google Scholar] [CrossRef]
- Mills, P.; Seville, J.; Knight, P.; Adams, M. The Effect of Binder Viscosity on Particle Agglomeration in a Low Shear Mixer/Agglomerator. Powder Technol. 2000, 113, 140–147. [Google Scholar] [CrossRef]
- Bouraima, M.B.; Zhang, X.; Zhou, S.; Qiu, Y. Impact of Viscosity Modifier on Asphalt Properties Used for Bus Rapid Transit Lane in Chengdu. J. Mod. Transp. 2017, 25, 185–193. [Google Scholar] [CrossRef][Green Version]
- Keningley, S.; Knight, P.; Marson, A. An Investigation into the Effects of Binder Viscosity on Agglomeration Behaviour. Powder Technol. 1997, 91, 95–103. [Google Scholar] [CrossRef]
- Paiva, A.; Pereira, S.; Sá, A.; Cruz, D.; Varum, H.; Pinto, J. A Contribution to the Thermal Insulation Performance Characterization of Corn Cob Particleboards. Energy Build. 2012, 45, 274–279. [Google Scholar] [CrossRef]
- Abdou, A.; Budaiwi, I. The Variation of Thermal Conductivity of Fibrous Insulation Materials under Different Levels of Moisture Content. Constr. Build. Mater. 2013, 43, 533–544. [Google Scholar] [CrossRef]
- Elfordy, S.; Lucas, F.; Tancret, F.; Scudeller, Y.; Goudet, L. Mechanical and Thermal Properties of Lime and Hemp Concrete (“Hempcrete”) Manufactured by a Projection Process. Constr. Build. Mater. 2008, 22, 2116–2123. [Google Scholar] [CrossRef]
- Xu, J.; Sugawara, R.; Widyorini, R.; Han, G.; Kawai, S. Manufacture and Properties of Low-Density Binderless Particleboard from Kenaf Core. J. Wood Sci. 2004, 50, 62–67. [Google Scholar] [CrossRef]
- Salas-Ruiz, A.; del Mar Barbero-Barrera, M.; Ruiz-Téllez, T. Microstructural and Thermo-Physical Characterization of a Water Hyacinth Petiole for Thermal Insulation Particle Board Manufacture. Materials 2019, 12, 560. [Google Scholar] [CrossRef]
- Cintura, E.; Faria, P.; Molari, L.; Barbaresi, L.; D’Orazio, D.; Nunes, L. Characterization of an Arundo Donax-Based Composite: A Solution to Improve Indoor Comfort. Ind. Crops Prod. 2024, 208, 117756. [Google Scholar] [CrossRef]
- Cintura, E.; Nunes, L.; Molari, L.; Bettuzzi, M.; Morigi, M.P.; Brancaccio, R.; Faria, P. Hygroscopicity and Morphology of Bio-Based Boards—The Influence of the Formulation. Appl. Sci. 2024, 14, 873. [Google Scholar] [CrossRef]
- Cintura, E.; Faria, P.; Molari, L.; Barbaresi, L.; D’Orazio, D.; Nunes, L. A Feasible Re-Use of an Agro-Industrial by-Product: Hazelnut Shells as High-Mass Bio-Aggregate in Boards for Indoor Applications. J. Clean. Prod. 2024, 434, 140297. [Google Scholar] [CrossRef]
- Ferrandez-Villena, M.; Ferrandez-Garcia, C.E.; Garcia-Ortuño, T.; Ferrandez-Garcia, A.; Ferrandez-Garcia, M.T. Analysis of the Thermal Insulation and Fire-Resistance Capacity of Particleboards Made from Vine (Vitis vinifera L.) Prunings. Polymers 2020, 12, 1147. [Google Scholar] [CrossRef] [PubMed]
- Ninikas, K.; Mitani, A.; Koutsianitis, D.; Ntalos, G.; Taghiyari, H.R.; Papadopoulos, A.N. Thermal and Mechanical Properties of Green Insulation Composites Made from Cannabis and Bark Residues. J. Compos. Sci. 2021, 5, 132. [Google Scholar] [CrossRef]
- Terekhov, I.V.; Chistyakov, E.M. Binders Used for the Manufacturing of Composite Materials by Liquid Composite Molding. Polymers 2021, 14, 87. [Google Scholar] [CrossRef]
- Zhou, Y.; Trabelsi, A.; El Mankibi, M. Development and Characterization of Thermal Insulation Materials Based on Rice Straw and Natural Binder. In Proceedings of the 2022: CLIMA 2022 The 14th REHVA HVAC World Congress, Rotterdam, The Netherlands, 22–25 May 2022. [Google Scholar]
- Chikhi, M.; Agoudjil, B.; Boudenne, A.; Gherabli, A. Experimental Investigation of New Biocomposite with Low Cost for Thermal Insulation. Energy Build. 2013, 66, 267–273. [Google Scholar] [CrossRef]
- Evon, P.; Vandenbossche, V.; Pontalier, P.-Y.; Rigal, L. New Thermal Insulation Fiberboards from Cake Generated during Biorefinery of Sunflower Whole Plant in a Twin-Screw Extruder. Ind. Crops Prod. 2014, 52, 354–362. [Google Scholar] [CrossRef]
- Mati-Baouche, N.; De Baynast, H.; Lebert, A.; Sun, S.; Lopez-Mingo, C.J.S.; Leclaire, P.; Michaud, P. Mechanical, Thermal and Acoustical Characterizations of an Insulating Bio-Based Composite Made from Sunflower Stalks Particles and Chitosan. Ind. Crops Prod. 2014, 58, 244–250. [Google Scholar] [CrossRef]
- Bakatovich, A.; Gaspar, F. Composite Material for Thermal Insulation Based on Moss Raw Material. Constr. Build. Mater. 2019, 228, 116699. [Google Scholar] [CrossRef]
- Liu, Z.; Lei, Y.; Zhang, X.; Kang, Z.; Zhang, J. Effect Mechanism and Simulation of Voids on Hygrothermal Performances of Composites. Polymers 2022, 14, 901. [Google Scholar] [CrossRef] [PubMed]
- Mehdikhani, M.; Gorbatikh, L.; Verpoest, I.; Lomov, S.V. Voids in Fiber-Reinforced Polymer Composites: A Review on Their Formation, Characteristics, and Effects on Mechanical Performance. J. Compos. Mater. 2019, 53, 1579–1669. [Google Scholar] [CrossRef]
- Selamat, M.Z.; Tahir, M.S.Z.; Kasim, A.N.; Dharmalingam, S.; Putra, A.; Yaakob, M.Y.; Daud, M.A.M. Effect of Starch Sizes Particle as Binder on Short Pineapple Leaf Fiber Composite Mechanical Properties. EDP Sci. 2018, 150, 04008. [Google Scholar] [CrossRef][Green Version]
- Pundiene, I.; Vitola, L.; Pranckeviciene, J.; Bajare, D. Hemp Shive-Based Bio-Composites Bounded by Potato Starch Binder: The Roles of Aggregate Particle Size and Aspect Ratio. J. Ecol. Eng. 2022, 23, 220–234. [Google Scholar] [CrossRef] [PubMed]
- Frantz, N.; Dutra, L.F.; Nguyen, D.M.; Almeida, G.; Perré, P. Effects of Phase Ratios, Density and Particle Shapes on Directional Thermal Conductivity of Vegetable Concrete: A Predictive Model. Constr. Build. Mater. 2024, 410, 134238. [Google Scholar] [CrossRef]
- Chen, S.; Fan, H.; Su, Y.; Li, W.; Li, J.; Yan, B.; Song, J.; Hu, L.; Zhang, Y. Influence of Binder Systems on Sintering Characteristics, Microstructures, and Mechanical Properties of PcBN Composites Fabricated by SPS. J. Adv. Ceram. 2022, 11, 321–330. [Google Scholar] [CrossRef]
- Zannen, S.; Ghali, L.; Halimi, M.T.; Hssen, M.B. Effect of Chemical Extraction on Physicochemical and Mechanical Properties of Doum Palm Fibres. Adv. Mater. Phys. Chem. 2014, 04, 203–216. [Google Scholar] [CrossRef]
- Unterweger, C.; Brüggemann, O.; Fürst, C. Effects of Different Fibers on the Properties of Short-Fiber-Reinforced Polypropylene Composites. Compos. Sci. Technol. 2014, 103, 49–55. [Google Scholar] [CrossRef]












| Product | Origin | Molecular Weight (g/mol) | Density (g/cm3) |
|---|---|---|---|
| Citric acid monohydrate | Sigma-Aldrich | 210.14 | 1.5 |
| Pure glycerol | Lobachemie | 92.09 | 1.26 |
| p-TSA | Sigma-Aldrich | 172.20 | 1.24 |
| Biocomposite | Binder % | Type of Fiber |
|---|---|---|
| DPs-B-20 | 20 | Short |
| DPs-B-30 | 30 | |
| DPs-B-40 | 40 | |
| DPp-B-20 | 20 | Powder |
| DPp-B-30 | 30 | |
| DPp-B-40 | 40 |
| Fiber | Cellulose (%) | Hemicellulose (%) | Lignin (%) | Ash (%) | Density (g/cm3) | Diameter (µm) | Ref. |
|---|---|---|---|---|---|---|---|
| DPf | 38 | 23.5 | 18.34 | 3.7 | 1.24 | 110–270 | Current study |
| Doum leaves | 43.2 | 30.1 | 23.7 | - | - | - | [3] |
| Doum palm petiole | 42.3 | 21.85 | 18 | - | 1.32 | 353.37 ± 31.49 | [2,33] |
| Doum leaves | 30.86 | 18.57 | 33.12 | 2.23 | - | 3–10 | [11] |
| Doum trunk | 29.01 | 19.74 | 28.64 | 4.79 | - | 3–10 | [11] |
| Doum palm | 43.1 | 35.8 | 18 | - | - | - | [1] |
| Washingtonia robusta | 40 | 19.34 | 23.5 | 5 | 1.2 | 260–314 | [34] |
| Oil palm | 49.6 | 18 | 21.2 | - | 0.7–1.55 | - | [35] |
| Sugar palm | 43.95 | 8.24 | 43.81 | 5.61 | - | 314.33 ± 55.75 | [36] |
| Phoenix sp. | 61.13 | 12.56 | 19.91 | 7.69 | 1.257 | 576.6 | [37] |
| Components | Organic Matter | Mineral Matter | Dry Matter | Water | Extractable (Ethanol/Toluene) | Extractable (Hot Water) |
|---|---|---|---|---|---|---|
| % by weight | 95.34 | 4.66 | 93.12 | 6.88 | 13 | 15 |
| Biocomposite | Compressive Strength (MPa) | Young’s Modulus (MPa) | Dimensions (Ø × e) (mm2) |
|---|---|---|---|
| DPs-B-20 | 24.32 ± 2.54 | 210.63 ± 10.66 | 30 × 36 |
| DPs-B-30 | 21.20 ± 0.98 | 212.14 ± 6.35 | 30 × 35 |
| DPs-B-40 | 10.74 ± 1.94 | 117.78 ± 3.85 | 30 × 34 |
| DPs range | 18.75 ± 1.82 | 180.14 ± 6.95 | - |
| DPp-B-20 | 12.04 ± 1.74 | 79.52 ± 5.66 | 30 × 25 |
| DPp-B-30 | 7.61 ± 0.31 | 43.42 ± 3.52 | 30 × 22 |
| DPp-B-40 | 5.74 ± 0.51 | 26.50 ± 3.53 | 30 × 20 |
| DPp range | 8.35 ± 0.85 | 49.81 ± 4.23 | - |
| Composites | Density (g/cm3) | Thermal Conductivity W·m−1·K−1 | Dimension (Ø × e) | Source |
|---|---|---|---|---|
| DPs-B-20 | 0.507 | 0.1283 | 30 × 18 mm2 | Current study |
| DPs-B-30 | 0.506 | 0.1158 | 30 × 11 mm2 | Current study |
| DPs-B-40 | 0.450 | 0.1022 | 30 × 10 mm2 | Current study |
| DPs-B-20 to 40 | 0.488 | 0.1154 | - | Current study |
| DPp-B-20 | 0.868 | 0.2173 | 30 × 16 mm2 | Current study |
| DPp-B-30 | 0.916 | 0.2062 | 30 × 10 mm2 | Current study |
| DPp-B-40 | 0.877 | 0.2137 | 30 × 10 mm2 | Current study |
| DPp-B-20 to 40 | 0.887 | 0.2124 | - | Current study |
| Corn cob particleboard | 0.171–0.334 | 0.101 | 25 × 25 × 3 cm3 | [95] |
| Mineral wool (fiberglass and rockwool) | 0.024–0.2 | 0.025–0.047 | 30 × 30 × 5 cm3 | [96] |
| Hemp concrete | 0.417–0.551 | 0.179–0.485 | 50 × 50 × 50 mm3 | [97] |
| Wood (pine, lauan) | 0.45–0.63 | 0.15 | - | [98] |
| Hardboard | 0.89 | 0.126 | - | [98] |
| Plywood | 0.49 | 0.083 | - | [98] |
| Water hyacinth particleboard | 0.251 | 0.047 | 150 × 150 × 15 mm3 | [99] |
| Particleboard | 0.69 | 0.097 | - | [98] |
| A. donax composite | 0.517 ± 0.068 | 0.128 | 50 × 50 × 4 cm3 | [100] |
| Hazelnut shell composite | 0.677 ± 0.047 | - | 10 × 4 cm2 | [101] |
| Hazelnut shell boards | 0.702 ± 0.025 | 0.16 ± 0.01 | 10 × 4 cm2 | [102] |
| Vitis vinifera particleboard | 0.782 | 0.064 | 600 × 400 × 7.5 mm3 | [103] |
Disclaimer/Publisher’s Note: The statements, opinions and data contained in all publications are solely those of the individual author(s) and contributor(s) and not of MDPI and/or the editor(s). MDPI and/or the editor(s) disclaim responsibility for any injury to people or property resulting from any ideas, methods, instructions or products referred to in the content. |
© 2025 by the authors. Licensee MDPI, Basel, Switzerland. This article is an open access article distributed under the terms and conditions of the Creative Commons Attribution (CC BY) license (https://creativecommons.org/licenses/by/4.0/).
Share and Cite
Elmoudnia, H.; Millogo, Y.; Faria, P.; Jalal, R.; Waqif, M.; Saâdi, L. Development of Doum Palm Fiber-Based Building Insulation Composites with Citric Acid/Glycerol Eco-Friendly Binder. J. Compos. Sci. 2025, 9, 67. https://doi.org/10.3390/jcs9020067
Elmoudnia H, Millogo Y, Faria P, Jalal R, Waqif M, Saâdi L. Development of Doum Palm Fiber-Based Building Insulation Composites with Citric Acid/Glycerol Eco-Friendly Binder. Journal of Composites Science. 2025; 9(2):67. https://doi.org/10.3390/jcs9020067
Chicago/Turabian StyleElmoudnia, Hicham, Younoussa Millogo, Paulina Faria, Rachid Jalal, Mohamed Waqif, and Latifa Saâdi. 2025. "Development of Doum Palm Fiber-Based Building Insulation Composites with Citric Acid/Glycerol Eco-Friendly Binder" Journal of Composites Science 9, no. 2: 67. https://doi.org/10.3390/jcs9020067
APA StyleElmoudnia, H., Millogo, Y., Faria, P., Jalal, R., Waqif, M., & Saâdi, L. (2025). Development of Doum Palm Fiber-Based Building Insulation Composites with Citric Acid/Glycerol Eco-Friendly Binder. Journal of Composites Science, 9(2), 67. https://doi.org/10.3390/jcs9020067

