Next Article in Journal
Optimizing Post-Processing Parameters of 3D-Printed Resin for Surgical Guides
Previous Article in Journal
Investigations on Repeated Overheating by Hot Air of Aromatic Epoxy-Based Carbon Fiber-Reinforced Plastics with and Without Thermoplastic Toughening
 
 
Font Type:
Arial Georgia Verdana
Font Size:
Aa Aa Aa
Line Spacing:
Column Width:
Background:
Article

Preparation of Aluminum Matrix Composites Reinforced with Hybrid MAX–MXene Particles for Enhancing Mechanical Properties and Tribological Performance

1
State Key Laboratory of Solidification Processing, School of Materials Science and Engineering, Northwestern Polytechnical University, Xi’an 710072, China
2
Shaanxi Key Laboratory of High-Performance Precision Forming Technology and Equipment, Northwestern Polytechnical University, Xi’an 710072, China
3
National Innovation Center of Forging and Ring Rolling Technology in Defense Industry, Northwestern Polytechnical University, Xi’an 710072, China
*
Authors to whom correspondence should be addressed.
J. Compos. Sci. 2025, 9(10), 552; https://doi.org/10.3390/jcs9100552
Submission received: 8 September 2025 / Revised: 30 September 2025 / Accepted: 9 October 2025 / Published: 10 October 2025
(This article belongs to the Section Metal Composites)

Abstract

This study presents a novel methodology for the fabrication of aluminum matrix composites (AMCs) reinforced with a hybrid of MAX phase (Ti3AlC2) and MXene (Ti3C2Tx) particles via vacuum hot-pressing sintering, aiming to enhance the mechanical properties and tribological performance of aluminum matrix composites. The hybrid-reinforced aluminum matrix composites were fabricated with Ti3AlC2/Ti3C2Tx reinforcements at a 1:1 mass ratio, incorporating reinforcement contents of 5 wt.%, 15 wt.%, and 25 wt.%, respectively. The optimized vacuum hot press sintering process was as follows: firstly, a cold press pressure of 20 MPa was applied to the composite powder, and then hot press sintering was carried out by means of segmental pressurization with a sintering pressure of 20 MPa, a temperature of 500 °C, and a heat preservation of 1 h before cooling in the furnace. It was found by micro-morphological characterization and mechanical property testing that with the increase of Ti3AlC2/Ti3C2Tx reinforcement content (5 wt.%→15 wt.%), the micro-hardness of the composites (31.9→76.1 HV0.2), compressive strength (41.7→151.9 MPa), and tribological properties (friction coefficient 0.68→0.50) were significantly improved; however, when the content of reinforcement exceeded 15 wt.%, the deterioration of properties triggered by the increase in pore defects and particle agglomeration leads instead to a decrease in compressive strength (by 12.3%), apparent modulus of elasticity (specimen’s compressive specific stiffness, by 9.8%) and frictional stability (coefficient of friction recovered to 0.62). The 15 wt.% hybrid reinforcement composites demonstrated optimal strength-toughness synergies, exhibiting a 361.6% increase in yield strength and a 597.1% increase in apparent modulus of elasticity compared to pure aluminum. Furthermore, the friction coefficient exhibited a 26.47% reduction in comparison to pure aluminum, thereby substantiating enhanced tribological performance. The observed enhancements are attributed to the synergistic effects of the MAX and MXene phases, where MXene improves interfacial wettability and densification, while MAX particles enhance overall strength through diffusion reinforcement.

Graphical Abstract

1. Introduction

Aluminum alloys, recognized for their low density, high specific strength, excellent thermal and electrical conductivity, and superior formability, have become indispensable structural and functional materials across modern industrial sectors, including aerospace, automotive manufacturing, electronics, and high-end equipment [1]. In the 1960s, Professor Novotny first systematically reported MAX-phase materials (chemical general formula Mn+1AXn, where M is a transition metal, A is a dominant element, and X is C or N) [2]. These layered ternary compounds consist of alternating stacks of metal layers (M layers) and covalently bond-dominated ceramic layers (AX layers), combining the high thermal conductivity, electrical conductivity, and machinability of metals with the high strength, high temperature resistance, and oxidation resistance of ceramics [3,4]. Typical MAX-phase materials, exemplified by Ti3AlC2, Ti3SiC2, and Ti2AlC, exhibit considerable promise for utilization in domains such as energy storage, high-temperature structural applications, and aerospace engineering, attributable to their distinctive property profile [3]. In recent years, the study of MAX phase as a reinforcement for aluminum matrix composites has gradually emerged. Research has demonstrated that composites such as Ti3AlC2/Al exhibit substantial enhancements in properties such as hardness, compressive yield strength, and wear resistance when compared to pure aluminum and aluminum alloys [5,6,7,8]. However, the inadequate wettability between the MAX phase and the aluminum matrix results in insufficient interfacial bonding strength, which is susceptible to triggering interfacial debonding failure [9], thereby severely restricting the optimization of their properties. Furthermore, the MAX phase is susceptible to interfacial reaction with Al, resulting in the formation of brittle intermetallic compounds (e.g., Al3Ti) during conventional preparation processes (e.g., the fusion casting method). This phenomenon further compromises the performance of the composites [9,10,11,12].
In 2011, Barsoum’s team at Drexel University successfully prepared novel two-dimensional transition metal carbides or nitrides (MXene, e.g., Ti3C2Tx) by selectively etching the A-layer in the MAX phase [13,14]. As a class of transition group metal carbides or nitrides, MXene is derived from its precursor MAX phase—a layered ceramic particle that exhibits both ceramic and metal properties, including high hardness, excellent electrical conductivity, and good processability—which has already been proven to be an effective reinforcing phase for aluminum matrix composites. MXene not only inherits the high toughness and conductivity of the MAX phase but also, due to its abundant surface functional groups (e.g., –O2−, –OH, –F), exhibits significantly enhanced wettability with the aluminum matrix compared to the parent MAX phase [15,16,17]. This improved interfacial compatibility, coupled with MXene’s unique open accordion-like structure, endows it with a strong “anchoring effect” that can significantly enhance the densification of composites. Additionally, its interlayer slip property has been demonstrated to improve the plastic toughness of the materials [18,19,20,21]. However, the loosely stacked, accordion-like structure of MXene also results in weak interlayer bonding, making it susceptible to crack initiation under mechanical loading and leading to premature failure [22,23]. Notably, the prevailing focus of contemporary research endeavors has been on the functional applications of MXene, with scant attention devoted to addressing its structural defects. Against this backdrop, developing new aluminum matrix composites by compositing MAX and MXene particles as reinforcements holds great research significance and application value. Table 1 summarizes the current state of research on MAX/MXene-reinforced composites.
The predominant method for producing aluminum-based composite materials is powder metallurgy. Among these, vacuum hot-press sintering technology has been widely adopted due to its ability to effectively suppress interfacial reactions and enhance density. For instance, Wang et al. successfully achieved a uniform distribution of Ti3AlC2 particles in an aluminum matrix using this process, thereby significantly enhancing the mechanical properties of the composite material [7]. From the perspective of strengthening mechanisms, single MAX phases primarily enhance composite strength through dislocation strengthening and dispersion strengthening, while MXene enhances interfacial bonding through the “anchoring effect” of its two-dimensional structure. However, extant studies have not systematically verified the synergistic effects of these two mechanisms [14,23]. Furthermore, in the context of performance regulation, numerous studies have examined the impact of single reinforcing phase content on composite hardness and strength. However, there is a paucity of in-depth exploration into the balance between tribological and mechanical properties in composite reinforcement systems [10].
The present study proposes a novel hybrid reinforcement strategy involving the co-doping of Ti3AlC2 (MAX phase) and Ti3C2Tx (MXene phase) into an aluminum matrix. The objective of this approach is to achieve a synergistic effect that overcomes the limitations of single-phase reinforcement materials. Specifically, MXene, with its abundant surface functional groups (–O2−, –OH, –F), has been shown to significantly improve the interfacial wettability between the reinforcement material and the aluminum matrix. Its accordion-like structure is conducive to densification through strong anchoring effects. Concurrently, the rigid Ti3AlC2 particles impede crack propagation and augment overall strength through diffusion strengthening. This effect effectively compensates for the deficient interlayer bonding strength of MXene.
This paper systematically investigated the effects of mixed reinforcement content (5 wt.%, 15 wt.%, 25 wt.%) on microstructure, mechanical properties, and tribological properties. The employment of vacuum hot-press sintering technology (a powder metallurgy process) entails the optimization of etching time (2 h) and sintering parameters (500 °C, 20 MPa). This approach effectively circumvents the destruction of the MXene structure by molten aluminum in conventional melting casting, thereby facilitating the attainment of a uniform distribution of the two reinforcing phases and interfacial strengthening. This study pioneers a Ti3AlC2–Ti3C2Tx dual-phase reinforced aluminum matrix composite, systematically examining the synergistic reinforcement mechanisms at varying phase ratios. Multi-technique characterization elucidates the MAX–MXene interplay, correlating their content with the material’s mechanical and tribological properties. This work addresses the existing gap in systematic research on MAX–MXene synergy and establishes an experimental basis for optimizing aluminum composite formulations.

2. Experimental Materials and Methods

In this study, Ti3C2Tx was prepared by subjecting Ti3AlC2 to high-frequency (HF) acid etching and subsequently compositing it with Ti3AlC2 as a reinforcement within an aluminum matrix. The specific process entails the preparation of the MXene phase, ball milling, and the amalgamation of the reinforcement with aluminum powder. Subsequent steps involve vacuum hot pressing and sintering molding. The subsequent sections delineate the process parameters and optimization process of each preparation step with great particularity.

2.1. Preparation of MXene Phase (Ti3C2Tx)

The Ti3AlC2 precursor was prepared by etching the Ti3C2Tx compound using a HF solution with a concentration of 40%, as previously described in the literature [23,29]. First, weigh 2 g of Ti3AlC2 powder into a PTFE beaker. Add a stir bar and 50 mL of 40% HF solution. Cover the beaker opening with vented plastic wrap, place it on a magnetic stirrer in a water bath, and heat to 50 °C. Perform etching for varying durations: 1 h, 2 h, and 3 h. Stirring should be maintained throughout both the heating and etching processes to evaluate the effect of etching time on the product morphology. To optimize the etching effect, after etching, centrifuge the solution 9–10 times with deionized water at 4500 rpm for 3 min per cycle until the pH of the supernatant reaches approximately 6. Filter off the water, then dry the sample in a vacuum oven at 80 °C for 24 h. Store the sample in a vacuum desiccator at approximately 0.01 MPa vacuum for subsequent use [30]. Following the completion of the scanning electron microscopy characterization, it was ascertained that the Ti3C2Tx lamellae exhibited optimal structural integrity after undergoing etching for a duration of two hours. Consequently, the preferred etching process, as determined by the experimental findings, is as follows: The high-frequency (HF) concentration was set at 40%, the etching temperature was maintained at 50 °C, and the etching time was set at 2 h.
Figure 1a,b show the XRD diffraction patterns of Ti3C2Tx and Al powder derived from Ti3AlC2 after different etching durations, respectively. All diffraction peaks of Ti3AlC2 match the standard reference pattern almost exactly, with no additional impurity peaks observed, indicating the high purity of Ti3AlC2. The XRD patterns reveal changes in the crystal structure of Ti3C2Tx. Compared to Ti3AlC2, the etched Ti3C2Tx exhibits distinct differences, forming characteristic diffraction peaks unique to MXene. A continuous hump is observed in the 30–45° 2θ range, and the characteristic peak corresponding to the (002) plane shifts from approximately 9.5° in Ti3AlC2 to around 7.3° in the etched sample. This shift indicates a reduction in lattice parameters, suggesting that Al atoms are removed during etching, leading to an expansion of the interplanar spacing. The XRD results for MXene obtained after different etching durations also show variations. After 2 h of etching, the Ti3C2Tx diffraction peaks remain relatively intact, with a moderate shift in the (002) plane. Other characteristic peaks are also clearly visible, indicating that the interlayer spacing of the resulting Ti3C2Tx is nearly fully opened without structural damage.

2.2. Reinforcement/Aluminum Powder Ball Mill Mixing

A planetary ball mill was utilized for the ball milling and mixing of Ti3AlC2, Ti3C2Tx and pure aluminum particles. A 1:1 mass ratio of Ti3AlC2 to Ti3C2Tx was selected as an enhancer, and mixed enhancement powders with mass fractions of 5%, 15%, and 25%, respectively, were added to the aluminum matrix powders for vacuum ball milling. The following procedure was employed in the synthesis of the hybrid powder by ball milling was:
(1)
The procedure entails the weighing of 100 g of Ti3AlC2, Ti3C2Tx, and Al powders in a ball-milling jar. Subsequently, 1 kg of grinding balls is added at a ball-to-material ratio of 10:1. The mixture is then supplemented with approximately 33 g of anhydrous ethanol, constituting 3% of the total mass of the ball material.
(2)
In order to prevent the powder from oxidizing, it is necessary to vacuum to approximately 0.05 MPa after covering the lid of the ball milling tank.
(3)
The speed of the ball mill was set to 150 revolutions per minute (rpm), alternating between clockwise and counterclockwise rotations. Each cycle lasted 30 min, with 10 min intervals allocated to allow the machine to cool down. The experiment spanned six cycles, with the cumulative effective ball milling time amounting to 360 min. Following the ball milling process, the aluminum powder particles underwent a transformation in shape, exiting the ball mill as irregularly shaped particles that deviated from their original spherical form. Concurrently, the surface energy of the powder experienced a substantial increase, a property that would prove advantageous in subsequent sintering tests.
(4)
Subsequently, the ball milling product should be subjected to vacuum drying in order to ensure its preservation for future use.

2.3. Vacuum Hot-Pressing Sintering

The experiment is a single-phase system sintering, which principally relies on the mass flow transfer of aluminum particles. The sintering process is carried out in the solid state, without generating new phases or compounds. Consequently, the pure aluminum sintering experiment can be utilized to establish a process window for the selection of sintering parameters for composites. In accordance with the fundamental tenets of powder metallurgy [31,32], the sintering temperature is typically elevated in comparison to the recrystallization temperature of the metal. This elevated temperature is a critical factor in accelerating the self-diffusion rate of the metal atoms, thereby facilitating the desired phase transformation. The sintering process comprises three distinct stages: low-temperature pre-sintering, medium-temperature sintering, and high-temperature holding. The temperature of the latter stage is calculated to be 0.70–0.85 times the melting point of the metal. The melting point of the hybrid powder has been determined to be 663 °C based on the DSC experiments, indicating a range of 382 °C to 523 °C. In accordance with the findings of preceding research, temperatures of 460 °C, 480 °C, 500 °C, and 520 °C were selected for the sintering experiments. However, the sample was completely melted at 520 °C during practical operation, so the maximum sintering temperature was set at 500 °C.
Given the established pressure limit of 25 MPa within the sintering mold, a triad of pressures—namely, 10 MPa, 15 MPa, and 20 MPa—was designated as the sintering pressures. A total of three sintering temperatures were then selected for the sintering test, with each combination representing an individual sintering sample. The resulting densities of the prepared samples are presented in Table 2. As illustrated in Table 2, increasing the sintering temperature and pressure resulted in a progressive increase in the density of the sintered samples. Notably, at a sintering temperature of 500 °C and a sintering pressure of 20 MPa, the density of the pure aluminum samples sintered attained 99.38%, exhibiting near-complete density. Consequently, the sintering temperature of 500 °C and the sintering pressure of 20 MPa were ultimately identified as the optimal sintering temperature and pressure parameters for the fabrication of the composites, respectively. The preferred sintering process parameters are enumerated in Table 3.

2.4. Experiment and Methods

For microstructural characterization, 2 mm thick slices were sectioned from the central region of the specimen gauge. Phase identification was performed using X-ray diffraction (XRD, Bruker D8 DISCOVER A25(Bruker, Karlsruhe, Germany)) with Co-Kα1 radiation, operating at 40 kV and 30 mA. XRD scans were collected over a 2θ range of 5° to 90° at a scan speed of 3°/min. Microstructural observations were primarily conducted using a scanning electron microscope (SEM, FEI Helios NanoLab G3 UC(FEI, Brno, Czech Republic)). Prior to SEM imaging, the sample surfaces were mechanically polished to a mirror-like finish and then vibrationally polished for 8 h to eliminate residual stress.
Vickers microhardness was measured using a LECO LM248AT (LECO Corporation, St. Joseph, MI, USA) tester, with applied loads ranging from 5 to 2000 gf and a stepper resolution of 1 µm. Quasi-static compressive tests were performed using a GNT100 (GNT, Houston, TX, USA) electronic universal testing machine, which has a maximum load capacity of 100 kN, force resolution of 0.2 N, and displacement resolution of 0.017 µm. The compression specimens were cylindrical, with dimensions of Φ8 mm × 12 mm. Before testing, both ends of the specimens were polished to a smooth finish to minimize the effects of surface impurities or friction on the compression results.
Tribological properties were evaluated using a UMT Tribo(Bruker, Karlsruhe, Germany) multifunctional friction and wear tester. The tests were conducted in linear reciprocating mode at room temperature, with applied loads ranging from 20 mN to 200 N, a stroke length of 1 mm, and a frequency of 0.1 to 5 Hz.

3. Results and Discussion

3.1. Characterization of MXene Enhancers

Figure 2 presents the SEM morphology of Ti3C2Tx powders fabricated under varying etching times. It can be observed that the Al atoms between layers in the original close-packed particle structure of Ti3AlC2 have been selectively etched, resulting in the expansion of the layer spacing. Consequently, the particle structure has undergone a transformation from close-packed to open, accordion-like. Figure 2 illustrates the Ti3C2Tx powder morphology under varying etching times:
(1)
The etching process was conducted for a duration of one hour. As a result, the layer spacing was observed to undergo a substantial widening. However, it was noted that a number of layers remained partially open.
(2)
The etching process was conducted for a duration of two hours. This resulted in a moderate degree of interlayer opening, with almost no unopened layers and a uniform morphology. The interlayer openings were found to be uniformly and moderately open. This was performed to maintain the hardness of the original MAX particles. Additionally, a larger number of surface functional groups were observed. These groups can maximize the provision of interfacial wettability with the aluminum substrate. This, in turn, allows for the formation of a strong interfacial bond.
(3)
The etching process was conducted for a duration of three hours. This resulted in an expansion of the layer spacing to a greater extent than before, accompanied by the occurrence of over-etching. This, in turn, led to the fracturing of certain lamellar structures.
The EDS results of Ti3C2Tx powders obtained at varying etching times are presented in Figure 3. The uniform composition of Ti3C2Tx powder is evident in the distribution of Ti and C elements.

3.2. Effect of Reinforcement Content on Microstructure and Densification of Aluminum Matrix Composites

The composite samples containing 5 wt.%, 15 wt.%, and 25 wt.% mixed reinforcements were prepared using the preferred vacuum hot press sintering process, and their microstructural evolution is shown in Figure 4 and Figure 5. As demonstrated in Figure 4 and Figure 5, the content of reinforcement has a substantial impact on the uniformity of its distribution and the density of the composites, as evidenced by characterization techniques such as optical microscopy and scanning electron microscopy (SEM).

3.2.1. Microstructural Evolution

The enhancer content of 5 wt.% is as follows: As demonstrated in Figure 3(a1–c1) and Figure 4(a1–c1), the enhancer (gray-black particles) is uniformly dispersed at the grain boundaries of the Al substrate, with no apparent agglomerates or holes. This indicates that the enhancer’s vacuum hot-pressing sintering microstructure and morphology are uniform, despite its low content.
As illustrated in Figure 3(a2–c2) and Figure 4(a2–c2), at an enhancer content of 15 wt.%, there is a tendency for enhancers to cluster in the local area, accompanied by a modest number of submicron-sized pores (indicated by the red circle in Figure 4(a2)). Concurrently, there is a decrease in the degree of densification. The distribution of titanium (Ti) elements, as determined by energy-dispersive spectroscopy (EDS) surface scanning, aligns closely with the morphology observed through scanning electron microscopy (SEM). This finding serves to substantiate the hypothesis that the clustered area is indeed an enhancer-enriched region.
As the content of the reinforcing body increases, the tendency for agglomeration and the formation of a continuous network structure become more pronounced. This phenomenon, depicted in Figure 3(a3–c3) and Figure 4(a3–c3), results in the generation of a substantial number of strip micropores and point-like pores at the interface. Consequently, the densification process is further diminished.

3.2.2. Interface Bonding and Anchoring Effect Mechanisms

Figure 6 presents the high-magnification SEM analysis of the reinforcement particles in the 15 wt.% reinforcement composites, unveiling the distinctive interfacial interactions between the reinforcement and the Al matrix.
Ti3C2Tx reinforcement: The initial layered structure, reminiscent of an accordion, becomes partially closed during the sintering process due to the penetration of the flowing mass transfer of Al into the interlayer gap. This results in a morphology that resembles that of MAX. This phenomenon is not a reversible transformation of the etched structure, but rather a mechanical anchoring effect caused by the capillary force-driven mass transfer of molten Al, which enhances the interfacial load transfer efficiency.
Ti3AlC2 reinforcement: Ti3AlC2 exhibits a metallurgical bond with the aluminum substrate interface characterized by no obvious gaps. High-magnification SEM observations reveal the presence of a diffusion layer approximately 50–100 nm thick at the interface (Figure 6b). The formation of this interface structure is attributed to the diffusion of Ti elements into the aluminum substrate during hot-press sintering, resulting in the formation of an Al–Ti solid solution zone, which effectively enhances the interface load transfer efficiency. Additionally, the layered structure of Ti3AlC2 can alleviate stress concentration through interlayer slip when subjected to force, while synergistically interacting with the anchoring effect of MXene to further suppress interface cracking.

3.3. Effect of Reinforcement Content on the Properties of Aluminum Matrix Composites

To guarantee statistical reliability, all mechanical properties (including compressive and hardness measurements) and tribological tests were evaluated using five parallel specimens for each condition. The data were statistically processed, and the results are presented as the mean value with the corresponding standard deviation (SD). Accordingly, error bars derived from these standard deviations are incorporated in all relevant performance graphs (e.g., density, hardness).

3.3.1. Densification Test

A total of three density tests were conducted on each of the prepared composites, employing Archimedes’ drainage method. The results of these tests were then averaged, and the findings are presented in Table 4.
Theoretically, the density of pure aluminum is 2.7 g/cm3, while that of Ti3AlC2 is 4.25 g/cm3, and that of Ti3C2Tx is 3.7 g/cm3. The theoretical density of the 5 wt.% reinforced body composites was calculated to be 2.74 g/cm3, the theoretical density of the 15 wt.% reinforced body composites was 2.835 g/cm3, and the theoretical density of the 25 wt.% reinforced body composite was 2.93 g/cm3.
The densities of the composites were calculated and are presented in Table 5. The variation in density with reinforcement content is illustrated in Figure 7. The decrease in the densification of the composites with the increase in the reinforcement content from 99.38% (pure aluminum) to 92.38% (25 wt.%) can be attributed to the increase in reinforcement, which resulted in an increase in agglomerates. This phenomenon occurred due to the inability of the reinforcing particles to form a completely tight bond with each other, resulting in a greater number of holes. The results of the densification test of the composites, which contained three proportions of 5 wt.%, 15 wt.%, and 25 wt.% of reinforcers were consistent with the metallographic organization and SEM test results. These results indicated that as the content of the reinforcer particles increased, the composites became more porous, and the densification gradually decreased. However, the densification of the three types of aluminum matrix composites with three types of reinforcements exceeds 92%, with the highest density approaching 99%, suggesting that the prepared composites exhibit enhanced density.

3.3.2. Microhardness Test

As illustrated in Table 6 and Figure 8, the nonlinear strengthening pattern of the reinforcement content on the hardness of the composites is evident. The hardness of sintered pure aluminum was measured at 31.9 HV0.2, while the hardness of composites containing 5 wt.%, 15 wt.%, and 25 wt.% of reinforcement were enhanced to 45.27, 76.13, and 86.84 HV0.2, respectively. However, the strengthening effect exhibits a substantial decay after exceeding 15 wt.%. The increase in hardness is 139% at the 0→15 wt.% stage, and the subsequent increase in hardness is only 14% at the 15→25 wt.% stage. This phenomenon is the result of a dynamic competition between dislocation pinning reinforcement and hole-damaging effects. As the reinforcement content increases, the Orowan dislocation pinning mechanism becomes the predominant mechanism. The holes created by the subsequent increase in reinforcement also increase, leading to a decrease in the densification. This decrease partially offsets the increase in hardness, resulting in a net decrease in the hardness value of the composites when the reinforcement content is increased from 15 wt.% to 25 wt.%.

3.3.3. Uniaxial Compression Testing

Uniaxial compression tests were used to characterize the strength and apparent modulus (specimen’s compressive specific stiffness) of aluminum matrix composites reinforced with particles. As illustrated in Figure 9 and substantiated in Table 7, the compressive failure mode of the specimens with increasing reinforcement content undergoes a transition from ductile bulging (5 wt.%) to brittle splitting (25 wt.%). The mechanical response of these specimens exhibits nonlinear characteristics. As demonstrated in Figure 9, an increase in reinforcement content resulted in the manifestation of a bulging belly phenomenon, concurrently accompanied by the formation of cracks, particularly at a reinforcement content of 25 wt.%. It is evident that the specimen exhibited a compression direction of the crack at an angle of 45°. Numerous fine cracks also appear perpendicular to the main crack. This phenomenon can be attributed to the strengthening effect of high particle content, which enhances the brittleness of the composite material. The presence of a high concentration of reinforcing particles inherently makes the material more brittle. As the material deforms under external forces, cracks initiate. With further deformation, stress concentrations around pores or agglomerates lead to the formation of secondary cracks.
Figure 10 shows the compression stress–strain curves of composites with different filler contents: (a) Ti3AlC2 and Ti3C2Tx, and (b) Ti3AlC2 [5]. As shown in Figure 10a, the compression curves of the Ti3AlC2 and Ti3C2Tx two-phase reinforcements are depicted; the strength corresponding to a plastic strain of 0.2% is designated as the compressive yield strength of the material. The slope of the initial straight-line segment of the engineering stress–strain curve is identified as the apparent modulus of elasticity of the material. The results are documented in Table 7. A close examination of the data presented in Table 7 reveals a consistent upward trend in the yield strength and apparent modulus of elasticity of the composites, ranging from 0 wt.% to 15 wt.% of reinforcement content. However, this trend undergoes a reversal at 15 wt.%, exhibiting a decrease rather than an increase, up to 25 wt.%. A comprehensive analysis was conducted, incorporating the densities of the composites and the findings from metallographic and SEM image analysis. This analysis led to the conclusion that the densities of the 25 wt.% reinforced composites exhibited a decrease despite an increase in the reinforcements. The investigation revealed that the agglomeration of Ti3AlC2 and Ti3C2Tx particles was more pronounced, resulting in the formation of additional pores. The material that was loaded with these agglomerates and pores was found to experience stress concentration, which led to premature material failure. The premature yielding of the material, as well as its effect on the strength and apparent modulus of elasticity of the composites, has been demonstrated to exceed the enhancement of these properties by the reinforcing particles. This phenomenon ultimately results in a decrease in the strength and apparent modulus of elasticity of the 25 wt.% reinforcing composites. As shown in Figure 10b, the compressive stress–strain curve of the Ti3AlC2 single-phase reinforced material is presented [5]. A comparative analysis reveals that the dual-phase (Ti3AlC2–Ti3C2Tx) reinforced composite achieves a significant improvement in plasticity without a loss of compressive strength. This synergistic enhancement is attributed to the effective interplay between the two reinforcing phases.
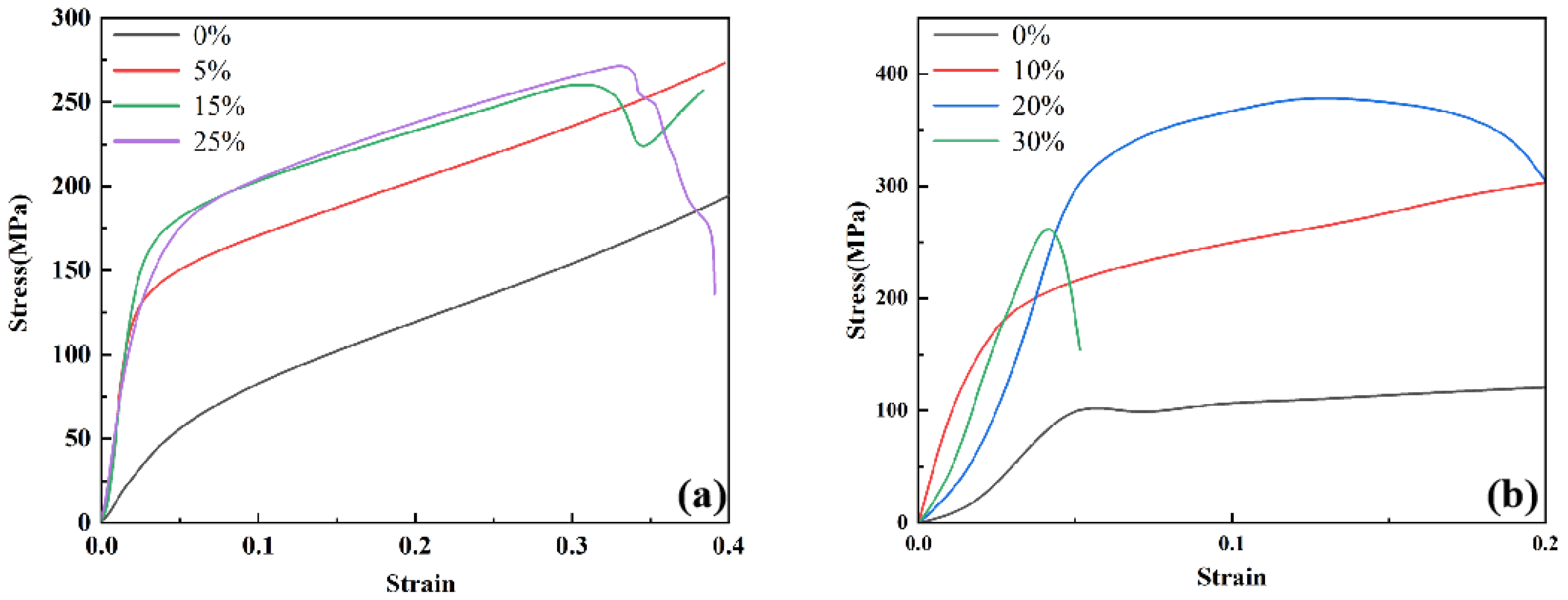
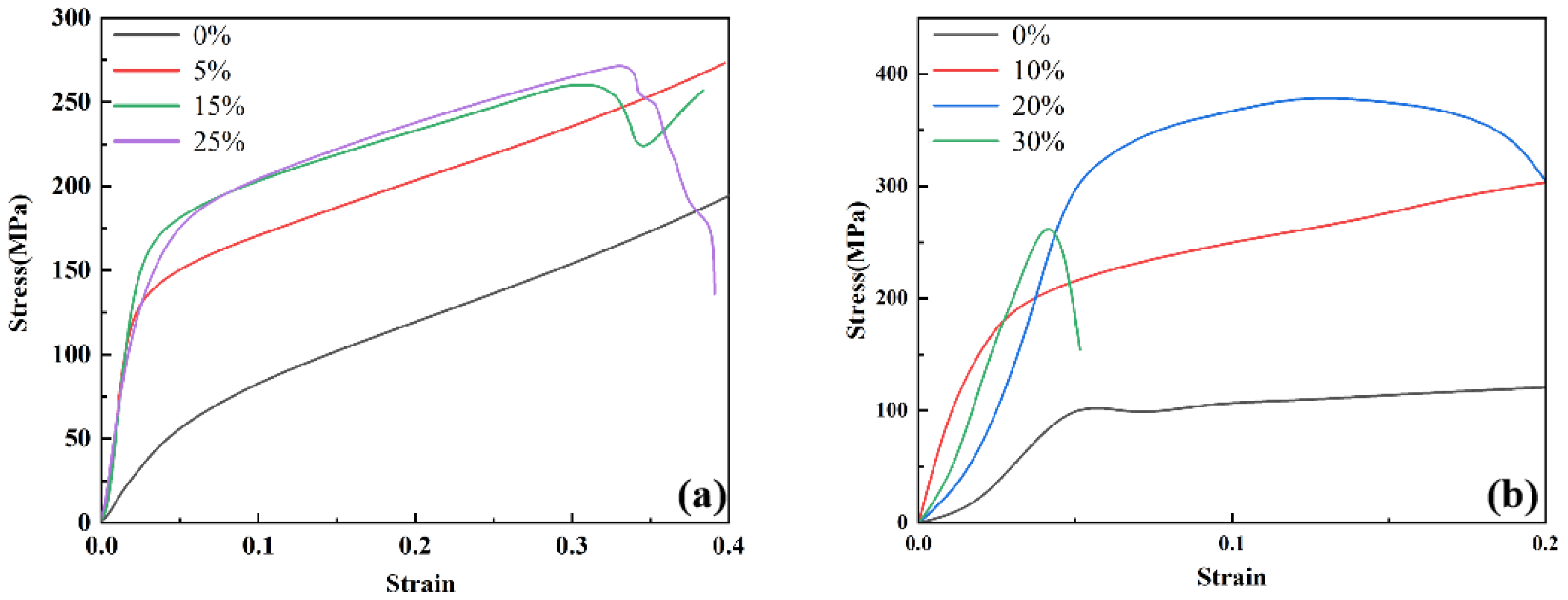
The enhancement of yield strength and apparent modulus of elasticity is attributed to the addition of reinforcement particles, specifically Ti3AlC2 and Ti3C2Tx. These particles exhibit a synergistic effect in conjunction with pressure and temperature during the hot pressing and sintering process, resulting in enhanced interfacial bonding of the composites. This, in turn, leads to an improvement in the effective transfer of loads from the aluminum matrix to the reinforcing particles when subjected to external forces. Consequently, this process enhances the strength and hardness of the materials. Concurrently, the micron-sized hard particles of the reinforcing body can readily form Orowan rings around them when subjected to loads, thereby instigating an Orowan strengthening mechanism. This hinders some dislocation movements and consequently enhances the deformation resistance. In conclusion, the 15 wt.% reinforcement composites demonstrated optimal strength, exhibiting an increase of 361.60% in yield strength and 597.10% in apparent modulus of elasticity compared to pure aluminum.

3.3.4. Friction Performance Test

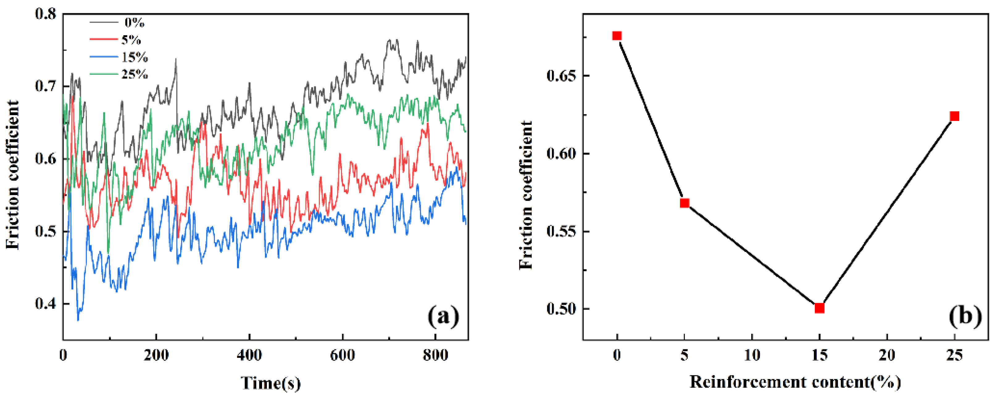
As illustrated in Figure 11a, the measured variation curves of the friction coefficients of composites with varying reinforcer contents are presented. Pure aluminum exhibits the highest friction coefficient, which exceeds 0.75, while the lowest friction coefficient, recorded at 15 wt.% reinforcer composites, is approximately 0.33. The friction coefficients of the 5 wt.% and 25 wt.% reinforcer composites are intermediate, while the friction coefficients of the 25 wt.% reinforcing composites are greater than those of the 5 wt.% reinforcing composites.
The variation in the average friction coefficient of composites with different reinforcement contents is shown in Figure 11b. The average friction coefficient decreases and then increases with the increase in reinforcement content (pure aluminum: 0.68→15 wt.%: 0.50→25 wt.%: 0.62). The average coefficients of friction of the composites were all lower than that of pure aluminum, and the friction resistance was improved. The lowest average coefficient of friction was reduced by 26.47% compared to pure aluminum. This phenomenon can be attributed to the self-lubrication process initiated by the rubbing of the reinforcer particles against the steel ball. As this process progresses, the laminar structure of the reinforcer particles undergoes a gradual disintegration, leading to a reduction in the overall friction resistance.
However, an increase in the reinforcement content from 15 wt.% to 25 wt.% resulted in an increase in the average friction coefficient of the aluminum matrix composites from 0.50 to 0.62. Notably, the friction coefficient of the 25 wt.% composites exceeded that of the 5 wt.% composites. The underlying mechanism for this phenomenon is attributed to the agglomeration of reinforcement particles at high contents, particularly at 25 wt.%. This agglomeration introduces both surface and internal voids, which reduce the composite’s overall density. As a result, the interfacial bonding between the aluminum matrix and the Ti3AlC2/Ti3C2Tx particles is weakened. During sustained friction against hard steel balls, the weakened interface promotes the dislodgement of agglomerated particles. This particle loss compromises the material’s self-lubricating properties, leading to an increased coefficient of friction.
Figure 12 presents the SEM images of the friction wear surface morphology of composites with varying reinforcer contents, and the aforementioned changes in friction coefficient are corroborated by the SEM images. Regardless of the filler content, plow-like scratches aligned with the friction direction formed on the composite surface. This represents the classic abrasive wear morphology left by hard steel balls after high-speed dry sliding wear on the composite surface. As illustrated in Figure 12a, the 5 wt.% reinforcer composite demonstrates a distinct composition, wherein the aluminum matrix predominates due to the minimal reinforcer content. The aluminum matrix undergoes incessant plastic deformation, which cumulatively generates and propagates subsurface cracks. These cracks, in turn, initiate the process of peeling wear. This phenomenon results in a reduction in the coefficient of friction due to the self-lubrication of the reinforcement particles, although the magnitude of this reduction is negligible. As the friction time increases, a small amount of Ti3AlC2 and Ti3C2Tx particles will be shed. These particles can be seen in Figure 12a in the red arrows, specifically in the circle part. Figure 12b shows the result for 15 wt.%. The composition of reinforcer composites is modified to include elevated levels of hard particles, thereby enhancing the composite’s hardness and reducing its vulnerability to plastic deformation. This is accompanied by a reduction in the friction contact area. Despite these modifications, the material undergoes densification, resulting in a minimal number of holes. This facilitates the intimate integration of the reinforcing body with the matrix, thereby maximizing the self-lubricating properties of the Ti3AlC2 and Ti3C2Tx particles. Consequently, the composite material exhibits a further decrease in its friction coefficient (Figure 12c). The percentage is expressed as a percentage of the whole. The presence of a high content of reinforcing body particles has been shown to result in a number of undesirable outcomes. These include the intensification of agglomeration, an increase in holes and defects, a weakening of the bonding force between the reinforcement and the matrix, an increase in particle shedding during friction, and a decrease in the self-lubrication of the composite material. These phenomena ultimately led to an increase in the friction coefficient of the 25 wt.% reinforcer composite material rather than a decrease.

3.4. Mechanism Analysis of Performance Evolution

3.4.1. Synergistic Mechanism of MAX–MXene Composite Reinforcement

The mechanical properties of the 15 wt.% composite-reinforced composite material are significantly improved, attributed to the synergistic effect between Ti3AlC2 and Ti3C2Tx. The abundant functional groups on the MXene surface (–O2−, –OH, etc.) enhance the interfacial wettability between the reinforcing phase and the aluminum matrix, promoting the formation of strong metallurgical bonding (as shown in Figure 5b). During sintering, the “accordion structure” of Ti3C2Tx partially closes due to Al penetration, creating a mechanical “anchoring effect” that significantly enhances interfacial load transfer efficiency. Concurrently, rigid Ti3AlC2 particles hinder dislocation movement via the Orowan dislocation pinning mechanism and form a transition layer with the aluminum matrix through diffusion, further reinforcing overall strength. This dual effect of “MXene interface enhancement + MAX phase strength reinforcement” enables the 15 wt.% composite material to achieve optimal synergistic strength and toughness.

3.4.2. Microstructural Causes of Performance Degradation at High Reinforcing Phase Content

When the reinforcing phase content exceeds 15 wt.%, the performance degradation (e.g., reduced compressive strength) is primarily attributed to two factors:
(1)
Particle agglomeration: Ti3AlC2/Ti3C2Tx forms a continuous network structure (Figure 4(a3)), which acts as a stress concentration point under external loads, triggering crack initiation and reducing the effective bearing area.
(2)
Pore defects: An increase in strip-like and punctate pores (Figure 3(a3–c3)) weakens the matrix continuity, with density decreasing from 96.06% to 92.38%, leading to premature failure of the material under compression.

3.4.3. Mechanism of Enhancement Phase Content Regulation on Tribological Properties

The non-monotonic variation in the coefficient of friction stems from the balance between self-lubrication and interfacial bonding force:
At 15 wt.%, the material has high density, and the reinforcing phase is firmly bonded to the matrix. During friction, the layered structure of Ti3AlC2/Ti3C2Tx gradually peels off, forming a lubricating film on the worn surface, reducing the friction coefficient by 26.47% compared to pure aluminum.
At 25 wt.%, severe agglomeration and porosity weaken the interfacial bonding, causing the reinforcing phase to easily detach from the matrix during prolonged friction, disrupting the lubricating film and exacerbating abrasive wear, resulting in a friction coefficient increase to 0.62.

4. Conclusions

By employing vacuum hot-pressing sintering, this study successfully fabricated aluminum matrix composites reinforced with a hybrid of MAX phase (Ti3AlC2) and MXene (Ti3C2Tx) particles. The main conclusions obtained are as follows:
(1)
The mechanical and tribological properties evolve with reinforcement content, influenced by a balance between strengthening and defect degradation. Microhardness increases nonlinearly (31.9→86.84 HV0.2), but the strengthening effect sharply diminishes beyond 15 wt.% (with the increment dropping from 139% to 14%) due to the competing effects of dislocation pinning and pore/agglomeration damage. The 15 wt.% composite achieves the optimal strength-toughness synergy—yield strength (151.87 MPa) and compressive specific modulus (7.80 GPa) are 361.6% and 597.1% higher than pure Al. This enhancement is driven by the Al-penetration anchoring effect of Ti3C2Tx and the diffusion strengthening of Ti3AlC2. Tribologically, the friction coefficient drops to 0.50 (26.47% lower than pure Al) at 15 wt.% (coincident with 96.06% densification); excess reinforcement content weakens bonding, disrupting lubrication and raising friction.
(2)
These findings confirm that 15 wt.% is the optimal reinforcement content, while highlighting a key synergistic mechanism: MXene improves interfacial wettability and load transfer via anchoring, while Ti3AlC2 enhances strength and crack resistance through rigid particles and diffusion layers. This “interface enhancement + structural reinforcement” strategy addresses single-phase shortcomings (e.g., poor MAX phase wettability and MXene interlayer weakness), providing a design principle for high-performance composites.
(3)
The 15 wt.% AMC holds significant promise for aerospace and automotive lightweight, wear-resistant components, with sintering facilitating industrial scalability. Future research will utilize gradient-content samples and advanced characterization techniques to further elucidate the microscale synergistic effects, which will guide the development of tailored composites.

Author Contributions

Conceptualization, F.L. and Q.L.; methodology, F.L.; software, Z.L. (Zikun Liang); validation, G.Y., W.Z. and Z.L. (Zikun Liang); formal analysis, Z.L. (Zipeng Li); investigation, J.Y.; resources, Q.L.; data curation, Z.L. (Zipeng Li); writing—original draft preparation, Z.L. (Zipeng Li); writing—review and editing, F.L.; visualization, W.Z.; supervision, G.Y.; project administration, J.Y.; funding acquisition, F.L. All authors have read and agreed to the published version of the manuscript.

Funding

The authors are very grateful for the support received from the National Key Research and Development Program of China (Grant No. 2021YFB3400902), the National Natural Science Foundation of China (Grant Nos. 52375385, 52130507), the Fundamental Research Funds for the Central Universities with Grant No. 3102015BJ (II) ZS007, the Innovation Capability Support Plan Project in Shaanxi Province (No. 2024CX-GXPT-20), and the Tianshan Innovative group’s project of Xinjiang Uygur Autonomous Region (No. 2020D14041).

Institutional Review Board Statement

Not applicable.

Data Availability Statement

The original contributions presented in this study are included in the article. Further inquiries can be directed to the corresponding authors.

Conflicts of Interest

The authors declare no conflicts of interest.

References

  1. Sharma, S.K.; Gajević, S.; Sharma, L.K.; Pradhan, R.; Sharma, Y.; Miletić, I.; Stojanović, B. Progress in aluminum-based composites prepared by stir casting: Mechanical and tribological properties for automotive, aerospace, and military applications. Lubricants 2024, 12, 421. [Google Scholar] [CrossRef]
  2. Kushnir, Y.; Ratzker, B.; Dahlqvist, M.; Baranov, M.; Favelukis, B.; Nitsan, A.; Maman, N.; Upcher, A.; Ezersky, V.; Rosen, J.; et al. Expanding MAX phases: Discovery of a double-A-layer Ti2Bi2C with rhombohedral symmetry. Matter 2025, 8, 102152. [Google Scholar] [CrossRef]
  3. Tan, Q.; Zhuang, W.; Attia, M.; Djugum, R.; Zhang, M. Recent Progress in Additive Manufacturing of Bulk MAX Phase Components: A review. J. Mater. Sci. Technol. 2022, 131, 30–47. [Google Scholar] [CrossRef]
  4. Jin, X.; Wang, J.; Dai, L.; Liu, X.; Li, L.; Yang, Y.; Cao, Y.; Wang, W.; Wu, H.; Guo, S. Flame-retardant Poly(Vinyl alcohol)/MXene Multilayered Films with Outstanding Electromagnetic Interference Shielding and Thermal Conductive Performances. Chem. Eng. J. 2020, 380, 122475. [Google Scholar] [CrossRef]
  5. Hashmi, A.; Li, F.; Zhao, Q.; Li, Q.; Zhu, E.; Tanveer, M.; Cui, W.; Gopi, K.R. Meso-structure-Based Numerical Simulations of Deformation and Damage of Ti3AlC2/Al Composites by 3D Cylinder Model under Axial Compression. J. Mater. Eng. Perform. 2024, 34, 13098–13115. [Google Scholar] [CrossRef]
  6. Zhao, Q.; Li, F.; Zhu, E.; Hashmi, A.; Niu, J.; Gopi, K.R. Understanding the isothermal compression behavior of Al-Mg-Si alloy based on hot deformation parameters and instability criteria. Mater. Today. Commun. 2024, 40, 110074. [Google Scholar] [CrossRef]
  7. Wang, Z.; Ma, Y.; Sun, K.; Zhang, Q.; Zhou, C.; Shao, P.; Xiu, Z.; Wu, G. Enhanced Ductility of Ti3AlC2 Particles Reinforced Pure Aluminum Composites by Interface Control. Mater. Sci. Eng. A 2022, 832, 142393. [Google Scholar] [CrossRef]
  8. Wang, Y.; Huang, Z.; Hu, W.; Yu, Q.; Wang, H.; Li, X.; Dastan, D.; Zhou, Y. Microstructure and Mechanical Behaviors of Ti3AlC2 Triggered In-situ Al3Ti and TiC Reinforced 2024Al Composite. J. Mater. Res. Technol. 2022, 19, 289–299. [Google Scholar] [CrossRef]
  9. Zhuang, W.; Huang, Z.; Hu, W.; Wang, Y.; Wu, Y.; Yu, Q.; Wang, H.; Li, X. Microstructure Characterization and Enhanced Mechanical Properties of Quasi-continuous Network Structured Ti3AlC2-Al3Ti/2024Al Composite. Mater. Charact. 2022, 191, 112131. [Google Scholar] [CrossRef]
  10. Gao, L.; Li, S.; Han, T.; Liu, L.; Pan, D.; Zhang, X.; Zhang, Y.; Zhang, Y.; He, Y.; Chen, W.; et al. Microstructure, properties and fracture mechanism of MAX phase Ti3AlC2 ceramics with Si doping via Ti–Al–C system by powder metallurgy. J. Mater. Res. Technol. 2021, 15, 3663–3672. [Google Scholar] [CrossRef]
  11. Joel, E.; Konstantin, L.; Fernando, F.S.; Zhang, C.; Siriwardena, P.; Lewis, M.; Golberg, V. The effect of Ti3AlC2 MAX phase synthetic history on the structure and electrochemical properties of resultant Ti3C2 MXenes. Mater. Des. 2021, 199, 109403. [Google Scholar] [CrossRef]
  12. Lu, X.; Gu, X.; Shi, Y. A review on the synthesis of MXenes and their lubrication performance and mechanisms. Tribol. Int. 2023, 179, 108170. [Google Scholar] [CrossRef]
  13. Ji, Y.; Li, W.; You, Y.; Xu, G. In situ synthesis of M (Fe, Cu, Co and Ni)-MOF@ MXene composites for enhanced specific capacitance and cyclic stability in supercapacitor electrodes. Chem. Eng. J. 2024, 496, 154009. [Google Scholar] [CrossRef]
  14. Zeng, Y.; Xiong, C.; Li, W.; Rao, S.; Du, G.; Fan, Z.; Chen, N. Significantly Improved Dielectric and Mechanical Performance of Ti3C2Tx MXene/Silicone Rubber Nanocomposites. J. Alloy. Compd. 2022, 905, 164172. [Google Scholar] [CrossRef]
  15. Shen, L.; Zhao, W.; Wang, K.; Xu, J. GO-Ti3C2 Two-dimensional Heterojunction Nanomaterial for Anticorrosion Enhancement of Epoxy Zinc-rich Coatings. J. Hazard. Mater. 2021, 417, 126048. [Google Scholar] [CrossRef]
  16. Sharma, N.; Charan, S.; Kumar, D.; Saini, S.; Sulania, I.; Vishwakarma, K.; Srivastava, S. Preparation of Ti3AlC2 MAX-phase as a precursor material using industrial waste carbon flex for MXene synthesis. Ceram. Int. 2024, 50, 55706–55713. [Google Scholar] [CrossRef]
  17. Chen, H.; Chen, K.; Lai, M.; Cai, P.; Sun, L.; Gao, R.; Xu, Y.; Li, S.; Sun, T.; Xu, F.; et al. Significantly enhanced electrochemical performance of Al-Ti3C2Tx MXene synthesized from Al-Ti3AlC2 MAX phase. Ceram. Int. 2024, 50, 54862–54868. [Google Scholar] [CrossRef]
  18. Dixit, P.; Maiti, T. A facile pot synthesis of (Ti3AlC2) MAX phase and its derived MXene (Ti3C2Tx). Ceram. Int. 2022, 48, 36156–36165. [Google Scholar] [CrossRef]
  19. Feng, X.; Zeng, C.; Sui, F.; Liu, J.; Wu, K.; Cheng, Y.; Xiao, B. Synthesis and characterization of a new out-of-plane ordered double-transition-metal MAX phase, Mo2VAlC2, and its two-dimensional derivate Mo2VC2Tx MXene. Mater. Sci. Eng. B 2024, 305, 117403. [Google Scholar] [CrossRef]
  20. Aslam, M.; AlGarni, T.; Javed, M.; Shah, A.; Hussai, S.; Xu, M. 2D MXene Materials for Sodium Ion Batteries: A review on Energy Storage. J. Energy. Storage 2021, 37, 102478. [Google Scholar] [CrossRef]
  21. Stanly, Z.; Ravanan, I.; Rajalakshmi, M. Recent advances in optoelectronic properties and applications of Ti3C2Tx MXene. J. Alloy. Compd. 2025, 1011, 178296. [Google Scholar] [CrossRef]
  22. Hao, W.; Ren, S.; Wu, X.; Shen, X.; Cui, S. Recent advance in the construction of 3D porous structure Ti3C2Tx MXene and their multi-functional applications. J. Alloy. Compd. 2023, 968, 172219. [Google Scholar] [CrossRef]
  23. Li, N.; Huo, J.; Zhang, Y.; Ye, B.; Chen, X.; Li, X.; Xu, S.; He, J.; Chen, X.; Tang, Y.; et al. Transition Metal Carbides/Nitrides (MXenes): Properties, Synthesis, Functional Modification and Photocatalytic Application. Sep. Purif. Technol. 2024, 330, 125325. [Google Scholar] [CrossRef]
  24. Gonzalez-Julian, J.; Onrubia, S.; Bram, M.; Guillon, O. Effect of sintering method on the microstructure of pure Cr2AlC MAX phase ceramics. J. Ceram. Soc. Jpn. 2016, 124, 415–420. [Google Scholar] [CrossRef]
  25. Alhabeb, M.; Maleski, K.; Mathis, T.S.; Sarycheva, A.; Hatter, C.B.; Uzun, S.; Levitt, A.; Gogotsi, P.Y. Selective etching of silicon from Ti3SiC2 (MAX) to obtain 2D titanium carbide (MXene). Angew. Chem. Int. Ed. 2018, 57, 5444–5448. [Google Scholar] [CrossRef]
  26. Zhang, J.; Li, S.; Hu, S.; Zhou, Y. Chemical stability of Ti3C2 MXene with Al in the temperature range 500–700 °C. Materials 2018, 11, 1979. [Google Scholar] [CrossRef] [PubMed]
  27. Liu, L.; Ying, G.; Wen, D.; Li, Y.; Zhang, K.; Min, H.; Hu, C.; Sun, C.; Wang, C. High-performance copper-matrix materials reinforced by nail board-like structure 2D Ti3C2Tx MXene with in-situ TiO2 particles. Mater. Sci. Eng. A 2022, 832, 142392. [Google Scholar] [CrossRef]
  28. Zhou, W.; Zhou, Z.; Fan, Y.; Nomura, N. Significant strengthening effect in few-layered MXene-reinforced Al matrix composites. Mater. Res. Lett. 2021, 9, 148–154. [Google Scholar] [CrossRef]
  29. Murugan, N.; Thangarasu, S.; Venkatachalam, P.; Bhosale, M.; Kang, M.; Yu, M.; Hwan, T.; Kim, Y. Fabrication of nickel nanoparticles anchored on a 2D double transition metal MXene for efficient hydrogen and oxygen evolution reactions. Int. J. Hydrogen Energy 2024, 141, 762–772. [Google Scholar] [CrossRef]
  30. Tsyganov, A.; Vikulov, M.; Shindrova, A.; Zheleznov, D.; Gorokhovsky, A.; Gorshkov, N. Molten salt-shielded synthesis of Ti3AlC2 as a precursor for large-scale preparation of Ti3C2Tx MXene binder-free film electrode supercapacitors. Dalton Trans. 2024, 53, 922–5931. [Google Scholar] [CrossRef]
  31. Tang, W.; Wang, T.; Zhang, X.; Cheng, R.; Tan, X.; Cui, Y.; Zhang, J.; Fu, C. Preparation of high-purity alumina ceramics with high-performance by powder metallurgy. Mater. Today Commun. 2025, 47, 112910. [Google Scholar] [CrossRef]
  32. Zhang, B.; Huang, Y.; Dou, Z.; Wang, J.; Huang, Z. Refractory high-entropy alloys fabricated by powder metallurgy: Progress, challenges and opportunities. J. Sci. Adv. Mater. Devices 2024, 9, 100688. [Google Scholar] [CrossRef]
Figure 1. XRD patterns of: (a) Ti3AlC2 and prepared at different etching times Ti3C2Tx; (b) Al powders.
Figure 1. XRD patterns of: (a) Ti3AlC2 and prepared at different etching times Ti3C2Tx; (b) Al powders.
Jcs 09 00552 g001
Figure 2. SEM images of Ti3C2Tx prepared at varying etching times: (1) 1 h; (2) 2 h; (3) 3 h, and (a) 10,000× magnification; (b) 50,000× magnification; (c) 10,000× magnification.
Figure 2. SEM images of Ti3C2Tx prepared at varying etching times: (1) 1 h; (2) 2 h; (3) 3 h, and (a) 10,000× magnification; (b) 50,000× magnification; (c) 10,000× magnification.
Jcs 09 00552 g002
Figure 3. EDS images of Ti3C2Tx prepared at varying etching times: (1) 1 h; (2) 2 h; (3) 3 h, and (a) SEM image; (b) Ti elemental distribution; (c) C elemental distribution.
Figure 3. EDS images of Ti3C2Tx prepared at varying etching times: (1) 1 h; (2) 2 h; (3) 3 h, and (a) SEM image; (b) Ti elemental distribution; (c) C elemental distribution.
Jcs 09 00552 g003
Figure 4. Metallographic structure of composites containing (a1c1) 5 wt.%; (a2c2) 15 wt.%; (a3c3) 25 wt.% reinforcements.
Figure 4. Metallographic structure of composites containing (a1c1) 5 wt.%; (a2c2) 15 wt.%; (a3c3) 25 wt.% reinforcements.
Jcs 09 00552 g004
Figure 5. SEM image of composites containing (a1) 5 wt.%, (a2) 15 wt.%, (a3) 25 wt.% reinforcements and EDS image of composites containing (b1,c1) 5 wt.%, (b2,c2) 15 wt.%, (b3,c3) 25 wt.% reinforcements. (a) The dark area is the Al matrix, and the grayish-white protrusions are the reinforcing particles; (b) the red area is the Al matrix, and the black area is the reinforcing phase; (c) the black area is the Al matrix, and the green area is the reinforcing phase.
Figure 5. SEM image of composites containing (a1) 5 wt.%, (a2) 15 wt.%, (a3) 25 wt.% reinforcements and EDS image of composites containing (b1,c1) 5 wt.%, (b2,c2) 15 wt.%, (b3,c3) 25 wt.% reinforcements. (a) The dark area is the Al matrix, and the grayish-white protrusions are the reinforcing particles; (b) the red area is the Al matrix, and the black area is the reinforcing phase; (c) the black area is the Al matrix, and the green area is the reinforcing phase.
Jcs 09 00552 g005
Figure 6. (a) Ti3C2Tx particles; (b) Ti3AlC2 particles in composites containing 15 wt.% reinforcement.
Figure 6. (a) Ti3C2Tx particles; (b) Ti3AlC2 particles in composites containing 15 wt.% reinforcement.
Jcs 09 00552 g006
Figure 7. Relative density of the composite with four different reinforcement contents.
Figure 7. Relative density of the composite with four different reinforcement contents.
Jcs 09 00552 g007
Figure 8. Vickers microhardness of composites with varying reinforcement contents.
Figure 8. Vickers microhardness of composites with varying reinforcement contents.
Jcs 09 00552 g008
Figure 9. (a) Original sample (size: 8 diameters × 12 height); (b) 5 wt.%; (c) 15 wt.%; (d) 25 wt.% reinforced composite after compression of the sample.
Figure 9. (a) Original sample (size: 8 diameters × 12 height); (b) 5 wt.%; (c) 15 wt.%; (d) 25 wt.% reinforced composite after compression of the sample.
Jcs 09 00552 g009
Figure 10. Compression stress–strain curves of composite specimens with different filler contents: (a) Ti3AlC2 and Ti3C2Tx; (b) Ti3AlC2 [5].
Figure 10. Compression stress–strain curves of composite specimens with different filler contents: (a) Ti3AlC2 and Ti3C2Tx; (b) Ti3AlC2 [5].
Jcs 09 00552 g010
Figure 11. (a) Friction coefficient curves of the composite sample with different reinforcement contents under pressure of 4 N; (b) The average friction coefficient of composites with different reinforcement contents under pressure of 4 N.
Figure 11. (a) Friction coefficient curves of the composite sample with different reinforcement contents under pressure of 4 N; (b) The average friction coefficient of composites with different reinforcement contents under pressure of 4 N.
Jcs 09 00552 g011
Figure 12. SEM image of the friction and wear surfaces morphology of composite samples containing: (a) 5 wt.%; (b) 15 wt.%; (c) 25 wt.% reinforcement.
Figure 12. SEM image of the friction and wear surfaces morphology of composite samples containing: (a) 5 wt.%; (b) 15 wt.%; (c) 25 wt.% reinforcement.
Jcs 09 00552 g012
Table 1. Current status of MAX/MXene-reinforced composite materials research.
Table 1. Current status of MAX/MXene-reinforced composite materials research.
ResearchersReinforcement Type (MAX/MXene)Preparation MethodKey Findings
Gonzalez-Julian J et al. [24]Cr2AlC (MAX phase)Pressureless sintering (Ar atmosphere)High-purity Cr2AlC with low density; secondary heat treatment needed for densification.
Alhabeb M et al. [25]Ti3SiC2 (MAX phase)Not specifiedTiCxNi3(Al, Ti)-Ni composite prepared; hardness increased by nearly 50%, and bending strength, fracture toughness improved significantly vs. traditional Ni and Ni alloys.
Zhang et al. [26]Ti3C2Tx (MXene)Pressureless sintering (650 °C) + hot extrusion3 wt.% Ti3C2Tx/Al composite: hardness (0.27→0.52 GPa) and tensile strength (98→148 MPa) improved vs. pure Al.
Liu et al. [27]Ti3C2Tx (MXene)High-shear mixing + SPSPartial MXene oxidized to TiO2 in situ, forming nail-plate reinforcement (NSR); Cu matrix yield strength increased by 70.3%.
Zhou et al. [28]Ti3C2Tx (MXene)Powder metallurgyTi3C2Tx tightly bonded to Al matrix; interfacial load transfer enhanced by Al penetration anchoring effect; 0.26 vol.% Ti3C2Tx increased composite strength by ~66% vs. pure Al.
Table 2. Densification of sintered pure aluminum after 20 MPa cold pressing.
Table 2. Densification of sintered pure aluminum after 20 MPa cold pressing.
Number of SamplesSintering Temperature (℃)Sintering Pressure (MPa)Densification (%)
14601083.07%
24601588.61%
34602090.14%
44801093.40%
54801594.35%
64802096.18%
75001094.60%
85001596.95%
95002099.38%
Table 3. Preferred sintering process parameters.
Table 3. Preferred sintering process parameters.
Sinter PointSintering PressureSintering VacuumHeating RateCooling Method
500 °C20 MPa5 × 10−3 Pa10 °C/minFurnace cooling
Table 4. Density of composites with different reinforcement contents.
Table 4. Density of composites with different reinforcement contents.
Reinforcement Content (wt.%)Density (g/cm3)
02.68 ± 0.006
52.71 ± 0.006
152.72 ± 0.006
252.71 ± 0.006
Table 5. Densification of composites with varying reinforcement content.
Table 5. Densification of composites with varying reinforcement content.
Reinforcement Content (wt.%)Densification (%)
099.38 ± 0.21
598.79 ± 0.21
1596.06 ± 0.21
2592.38 ± 0.20
Table 6. Vickers microhardness of composites with varying reinforcement contents.
Table 6. Vickers microhardness of composites with varying reinforcement contents.
Reinforcement Content (wt.%)Hardness (HV0.2)
031.90 ± 0.10
545.27 ± 1.63
1576.13 ± 3.08
2586.74 ± 7.95
Table 7. Compression properties of composites.
Table 7. Compression properties of composites.
Reinforcement Content (wt.%)Compressive Yield Strength (MPa)Apparent Elastic Modulus (GPa)Stress at Cracking (MPa)Strain at Cracking
042.001.31uncrackeduncracked
5112.607.78uncrackeduncracked
15151.877.80261.0430.61%
25116.216.38272.4133.12%
Disclaimer/Publisher’s Note: The statements, opinions and data contained in all publications are solely those of the individual author(s) and contributor(s) and not of MDPI and/or the editor(s). MDPI and/or the editor(s) disclaim responsibility for any injury to people or property resulting from any ideas, methods, instructions or products referred to in the content.

Share and Cite

MDPI and ACS Style

Li, Z.; Li, Q.; You, J.; Li, F.; Yu, G.; Zhang, W.; Liang, Z. Preparation of Aluminum Matrix Composites Reinforced with Hybrid MAX–MXene Particles for Enhancing Mechanical Properties and Tribological Performance. J. Compos. Sci. 2025, 9, 552. https://doi.org/10.3390/jcs9100552

AMA Style

Li Z, Li Q, You J, Li F, Yu G, Zhang W, Liang Z. Preparation of Aluminum Matrix Composites Reinforced with Hybrid MAX–MXene Particles for Enhancing Mechanical Properties and Tribological Performance. Journal of Composites Science. 2025; 9(10):552. https://doi.org/10.3390/jcs9100552

Chicago/Turabian Style

Li, Zipeng, Qinghua Li, Junda You, Fuguo Li, Guo Yu, Wen Zhang, and Zikun Liang. 2025. "Preparation of Aluminum Matrix Composites Reinforced with Hybrid MAX–MXene Particles for Enhancing Mechanical Properties and Tribological Performance" Journal of Composites Science 9, no. 10: 552. https://doi.org/10.3390/jcs9100552

APA Style

Li, Z., Li, Q., You, J., Li, F., Yu, G., Zhang, W., & Liang, Z. (2025). Preparation of Aluminum Matrix Composites Reinforced with Hybrid MAX–MXene Particles for Enhancing Mechanical Properties and Tribological Performance. Journal of Composites Science, 9(10), 552. https://doi.org/10.3390/jcs9100552

Article Metrics

Back to TopTop