Investigations on Repeated Overheating by Hot Air of Aromatic Epoxy-Based Carbon Fiber-Reinforced Plastics with and Without Thermoplastic Toughening
Abstract
1. Introduction
2. Materials and Methods
2.1. Materials

| CFRP | Type | Polymer Content * | Flame Retardants | Lay-Up (2 mm) |
|---|---|---|---|---|
| RTM6/G939 | resin + fabric | EP: ~47 wt% | - | 8 plies: [(+45/−45)(90/0) (−45/45)(0/90)]S |
| M18-1/G939 | fabric prepreg | EP: ~36 wt% PEI: ~6 wt% | Zinc borate: ~1.6 wt% Magnesium hydroxide: ~1.6 wt% |
2.2. Experimental
3. Results
3.1. Basic Characterization of Thermal Damage
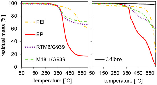
3.2. Thermogravimetric Analysis
3.3. Mass Loss
3.4. Infrared Spectroscopy
3.5. Ultrasonic Measurements
3.6. Interlaminar Shear Strength
4. Discussion
4.1. Interpretation of Thermal Damage Effects
4.2. Correlation of Residual Strength and Infrared Measurements
4.3. Multivariate Data Analyses
5. Conclusions
Author Contributions
Funding
Data Availability Statement
Acknowledgments
Conflicts of Interest
Abbreviations
| CFRP | carbon fiber-reinforced plastic |
| PEI | polyetherimide |
| µCT | computer tomography |
| QI | quasi-isotropic |
| ILSS | interlaminar shear strength |
| µ-ATR-FTIR | micro-attenuated total reflection Fourier transform infrared spectroscopy |
| ATR | attenuated total reflection |
| TGA | thermogravimetric analyses |
| EP | epoxy resin |
| EA | activation energy |
| RMSECV | root mean squared error of cross validation |
References
- Lengsfeld, H.; Lacalle, J.; Neumeyer, T.; Altstädt, V. Faserverbundwerkstoffe, Prepregs und Ihre Verarbeitung 1. Aufl.; Carl Hanser Verlag GmbH & Co. KG: Munich, Germany, 2016; ISBN 978-3446433007. [Google Scholar]
- Schürmann, H. Konstruieren mit Faser-Kunststoff-Verbunden, 2nd ed.; Springer: New York, NY, USA, 2007. [Google Scholar]
- Ehrenstein, G.W. Faserverbund-Kunststoffe: Werkstoffe—Verarbeitung—Eigenschaften, 2nd ed.; Carl Hanser Verlag GmbH & Co. KG: Munich, Germany, 2006; ISBN 9783446227163. [Google Scholar]
- Gandhi, U.; Goris, S.; Osswald, T.A. Discontinuous Fiber-Reinforced Composites: Fundamentals and Applications, 1st ed.; Carl Hanser Verlag GmbH & Co. KG: Munich, Germany, 2020; ISBN 9781569906941. [Google Scholar]
- Eurofighter Jagdflugzeug GmbH. Eurofighter Typhoon: Technical Guide. 2013. Available online: https://www.eurofighter.com. (accessed on 27 April 2025).
- Zhang, J.; Lin, G.; Vaidya, U.; Wang, H. Past, present and future prospective of global carbon fibre composite developments and applications. Compos. Part B Eng. 2023, 250, 110463. [Google Scholar] [CrossRef]
- Sreejith, M.; Rajeev, R.S. Fiber reinforced composites for aerospace and sports applications. In Fiber Reinforced Composites, 1st ed.; Kuruvilla, J., Kristiina, O., Gejo, G., Runcy, W., Saritha, A., Eds.; Woodhead Publishing: Cambridge, UK, 2021; pp. 821–859. [Google Scholar] [CrossRef]
- Wang, Y.C.; Wong, P.M.H.; Kodur, V. An experimental study of the mechanical properties of fibre reinforced polymer (FRP) and steel reinforcing bars at elevated temperatures. Compos. Struct. 2006, 80, 131–140. [Google Scholar] [CrossRef]
- Gong, T.; Xie, Q.; Huang, X. Fire behaviors of flame-retardant cables part I: Decomposition, swelling and spontaneous ignition. Fire Saf. J. 2018, 95, 113–121. [Google Scholar] [CrossRef]
- Spinner, N.S.; Field, C.R.; Hammond, M.H.; Williams, B.A.; Myers, K.M.; Lubrano, A.L.; Rose-Pehrsson, S.L.; Tuttle, S.G. Physical and chemical analysis of lithium-ion battery cell-to-cell failure events inside custom fire chamber. J. Power Sources 2015, 279, 713–721. [Google Scholar] [CrossRef]
- McAllister, J.L.; Carpenter, D.J.; Roby, R.J.; Purser, D. The Importance of Autopsy and Injury Data in the Investigation of Fires. Fire Technol. 2013, 50, 1357–1377. [Google Scholar] [CrossRef]
- Schartel, B.; Hull, T.R. Development of fire-retarded materials—Interpretation of cone calorimeter data. Fire Mater. 2007, 31, 327–354. [Google Scholar] [CrossRef]
- McLean, A.D. Burns and military clothing. J. R. Army Med. Corps 2001, 147, 97–106. [Google Scholar] [CrossRef]
- Wang, Y.; Zhupanska, O.I. Lightning strike thermal damage model for glass fiber reinforced polymer matrix composites and its application to wind turbine blades. Compos. Struct. 2015, 132, 1182–1191. [Google Scholar] [CrossRef]
- Dorofeev, S.B.; Sidorov, V.P.; Efimenko, A.A.; Kochurko, A.S.; Kuznetsov, M.S.; Chaivanov, B.B.; Matsukov, D.I.; Pereverzev, A.K.; Avenyan, V.A. Fireballs from deflagration and detonation of heterogeneous fuel-rich clouds. Fire Saf. J. 1995, 25, 323–336. [Google Scholar] [CrossRef]
- Rajic, D.; Kamberovic, Z.; Karkalic, R.; Ivankovic, N.; Senic, Z. Thermal resistance testing of standard and protective filtering military garment on the burning napalm mixture. Hem. Ind. 2013, 67, 941–950. [Google Scholar] [CrossRef]
- Eibl, S. Damage by Improvised Incendiary Devices on Carbon Fiber-Reinforced Polymer Matrix Composites. J. Compos. Sci. 2021, 5, 72. [Google Scholar] [CrossRef]
- Wolfrum, J.; Eibl, S.; Oeltjen, E.; Osterholz, J.; Wickert, M. High-energy laser effects on carbon fiber reinforced polymer composites with a focus on perforation time. J. Compos. Mater. 2021, 55, 2249–2262. [Google Scholar] [CrossRef]
- Vetter, T.M.; Bibinger, J.; Zimmer, F.; Eibl, S.; Gudladt, H.-J. Characterization of one-sided thermal damage of carbon fiber reinforced polymers by means of depth profiles. J. Compos. Mater. 2020, 54, 3699–3713. [Google Scholar] [CrossRef]
- Maurente, A.; Alves, C.G. Radiation heat transfer in a gas slab with properties characteristics of a jet engine combustor. Int. J. Heat Mass Transf. 2019, 145, 118734. [Google Scholar] [CrossRef]
- Skourlis, T.P.; McCullough, R.L. The Effect of Temperature on the Behavior of the Interphase in Polymeric Composites. Compos. Sci. Technol. 1993, 49, 363–368. [Google Scholar] [CrossRef]
- Milke, J.A.; Vizzini, A.J. Thermal Response of Fibre-Exposed Composites. J. Compos. Technol. Res. 1991, 13, 145–151. [Google Scholar] [CrossRef]
- Burcham, L.J.; Eduljee, R.F.; Gillespie, J.W. Investigation on the Microcracking Behavior of Bismaleimide Composites During thermal Aging. Polym. Compos. 1995, 16, 507–517. [Google Scholar] [CrossRef]
- Mascia, L.; Zhang, J. Mechanical properties and thermal aging of a perfluoroether-modified epoxy resin in castings and glass fibre composites. Composites 1995, 26, 379–385. [Google Scholar] [CrossRef]
- Dao, B.; Hodkin, J.; Krstina, J.; Mardel, J.; Tian, W. Accelerated Aging versus realistic aging in aerospace composite Materials, II Chemistry of thermal aging in a structural composite. J. Appl. Polym. Sci. 2006, 102, 3221–3232. [Google Scholar] [CrossRef]
- Bondzic, S.; Hodkin, J.; Krstina, J.; Mardel, J. Chemistry of thermal aging in aerospace epoxy composites. J. Appl. Polym. Sci. 2005, 100, 2210–2219. [Google Scholar] [CrossRef]
- Bibinger, J. Charakterisierung der Degradationsmechanismen von CFK bei Verschiedenen Thermischen Belastungsszenarien (Characterization of Degradation Mechanisms of CFRP Under Different Loading Scenarios). Ph.D. Thesis, Universität der Bundeswehr München, Neubiberg, Germany, 2024. [Google Scholar]
- Wolfrum, J.; Whitney, E.; Eibl, S. Approaches to understand and predict the influence of rapid heat-up on degradation and strength of carbon fibre polymer matrix composites. J. Comp. Mat. 2017, 51, 2435–2447. [Google Scholar] [CrossRef]
- Mehrkam, P.A.; Armstrong-Carroli, E.; Cochran, R. Characterization of Heat Damage in Graphite Epoxy Composites; Report NAWCADWAR 9400-4; ASTM International: West Conshohocken, PA, USA, May 1994. [Google Scholar]
- Mallick, P.K. Non-destructive tests. In Composites Engineering Handbook; CRC Press: Boca Raton, FL, USA, 1997; pp. 857–873. [Google Scholar]
- Wróbel, G.; Stabik, J.; Rojek, M. Non-destructive diagnostic methods of polymer matrix composites degradation. J. Achiev. Mater. Manuf. Eng. 2008, 31, 53–59. [Google Scholar]
- Callinan, R.J.; Wang, J.; White, C. Residual Strength of a Helicopter Composite Structure Subjected to Small Arms Fire. In Material Science Forum; Trans Tech Publications Ltd.: Baech, Switzerland, 2010; Volume 654–656, pp. 2596–2599. [Google Scholar] [CrossRef]
- Fisher, W.G.; Storey, J.M.E.; Sharp, S.L.; Janke, C.J.; Wachter, E.A. Wachter, Non-destructive Inspection of Graphite-Epoxy Composites for Heat Damage Using Laser-Induced Fluorescence. Appl. Spectrosc. 1995, 49, 1225–1231. [Google Scholar] [CrossRef]
- Dara, I.H.; Ankara, A.; Akovali, G.; Suzer, S. Heat Damage Assessment of Carbon-fiber-Reinforced Polymer Composites by Diffuse Reflectance Infrared Spectroscopy. J. Appl. Polym. Sci. 2005, 96, 1222–1230. Available online: https://hdl.handle.net/11511/12433 (accessed on 7 September 2025). [CrossRef]
- Shelley, P.; Vahey, P.; Werner, G. Thermal Effect Measurement with Mid-Infrared Spectroscopy. US Patent 2010/0038544 A1, 8 August 2013. [Google Scholar]
- Vetter, T.M.; Eibl, S.; Gudladt, H.J. Predicting Delaminations and Residual Strength of Carbon Fibre Reinforced Polymers (CFRP) After One-Sided Thermal Loading by Means of Infrared Spectroscopy. Appl. Compos. Mater. 2021, 28, 427–446. [Google Scholar] [CrossRef]
- Vetter, T.M.; Zimmer, F.; Eibl, S.; Gudladt, H.J. Using infrared spectroscopy in combination with multivariate data analysis to predict residual strength of carbon fiber reinforced polymers after one-sided thermal loading. Polym. Compos. 2021, 42, 4138. [Google Scholar] [CrossRef]
- Eibl, S. Thermal and reaction to fire properties of CFRP under various heat impact scenarios—Specific hazards. In Proceedings of the 17th European Conference on Composite Materials, Munich, Germany, 26–30 June 2016. [Google Scholar]
- Eibl, S.; Wolfrum, J. Prospects to separately estimate temperature and duration of a thermal pre-load on a polymer matrix composite. J. Comp. Mat. 2013, 47, 3011–3025. [Google Scholar] [CrossRef]
- Eibl, S. Observing inhomogeneity of plastic components in carbon fibre reinforced polymer materials by ATR-FTIR spectroscopy in the micrometer scale. J. Comp. Mat. 2008, 42, 1231–1246. [Google Scholar] [CrossRef]
- Bruckbauer, P. Struktur-Eigenschafts-Beziehungen von Interphasen zwischen Epoxidharz und thermoplastischen Funktionsschichten für Faserverbundwerkstoffe (Structure-Property-Relations of Interphases Between Epoxy Resin and Thermoplastic Function Layers for CFRP). Ph.D. Thesis, Technical University of Munich, Munich, Germany, 2018. [Google Scholar]
- Zhang, M.; Yu, Y.; Li, L.; Zhou, H.; Gong, L.; Zhou, H. A molecular dynamics assisted insight on damping enhancement in carbon fiber reinforced polymer composites with oriented multilayer graphene oxide coatings. Microstructures 2024, 4, 2024051. [Google Scholar] [CrossRef]
- Product Data Sheets. Hexcel Inc. Available online: www.hexcel.com (accessed on 1 March 2025).
- Gröger, L. Einfluss des Lagenaufbaus und von Flammschutzmitteln auf das Abbrandverhalten von CFK (Influence of Lay-up and Flame Retardants on Reaction-to-Fire Properties of CFRP). Bachelor’s Thesis, University of Applied Sciences, Department Chemical Engineering, Münster, Germany, 2013. [Google Scholar]
- Schuster, T.; Eibl, S.; Gudladt, H.-J. Influence of carbon nanotubes on thermal response and reaction to fire properties of carbon fiber-reinforced plastic material. J. Comp. Mat. 2017, 52, 567–579. [Google Scholar] [CrossRef]
- Bahlmann, J. Einfluss von Modifikationen der Matrix auf die Thermische Schädigung von CFK. Bachelor’s Thesis, Universität der Bundeswehr München, Neubiberg, Germany, 2014. [Google Scholar]
- Eibl, S. Comparison of surface and bulk analytical techniques for the distinct quantification of a moderate thermal pre-load on a carbon fibre reinforced plastic material. Polym. Degrad. Stab. 2017, 135, 31–42. [Google Scholar] [CrossRef]
- Broschure Optris PI Series, Optris GmbH&Co KG, Berlin, Germany. Available online: www.optris.com (accessed on 7 September 2025).
- DIN EN 2564:1998-08; Aerospace Series—Carbon Fiber Reinforced Plastics—Unidirectional Laminates; Determination of Fiber, Resin and Pore Content. Deutsches Institut für Normung: Berlin, Germany, 1998.
- DIN EN 2563; Aerospace Series—Carbon Fiber Reinforced Plastics—Unidirectional Laminates; Determination of Apparent Interlaminar Shear Strength. Beuth Verlag: Berlin, Germany, 1997.
- Hummel, O.; Scholl, F. Atlas of Polymer and Plastics Analysis; Carl Hanser Verlag: Munich, Germany, 1988; Volume 2. [Google Scholar]
- Davis, M.E.; Davis, R.J. Fundamentals of Chemical Reaction Engineering; McGraw-Hill: Boston, MA, USA, 2003; p. 54. [Google Scholar]
- Heitzmann, M.T.; Hou, M.; Veidt, M.; Vandi, L.J.; Paton, R. Morphology of an Interface between Polyetherimide and Epoxy Prepreg. Adv. Mater. Res. 2012, 393–395, 184–188. [Google Scholar] [CrossRef]
- Raghava, R.S. Development and characterization of thermosetting—Thermoplastic polymer blends for applications in damage-tolerant composites. J. Polym. Sci. Part B Polym. Phys. 1988, 26, 65–81. [Google Scholar] [CrossRef]
- Eibl, S. Influence of unwoven roving and woven fabric carbon fiber reinforcements on reaction-to-fire properties of polymer matrix composites. Fire Mater. 2020, 44, 557–572. [Google Scholar] [CrossRef]
- Mark, H.; Workman, J. Chemometrics in Spectroscopy; Academic Press-Elsevier: Amsterdam, The Netherlands, 2007. [Google Scholar]
- Chalmers, J.M.; Griffiths, P.R. Handbook of Vibrational Spectroscopy; Wiley-VCH: Hoboken, NJ, USA, 2002; p. 2226. [Google Scholar]





















| Temperature/Time | 15 min | 30 min | 45 min | 60 min |
|---|---|---|---|---|
| 200 °C | c | c | c | c |
| 230 °C | c | c | c | c |
| 250 °C | c | c | c | c |
| 260 °C | a, c | a, c | a, c | a, c |
| 270 °C | c | c | c | c |
| 280 °C | a, c | a, c | a, c | a, c |
| 290 °C | c | c | c | c |
| 300 °C | a, c | a, c | a, c | a, c |
| 310 °C | a, c | a, c | a, c | a, c |
| 320 °C | a, c | a, c | a, c | a, c |
| 330 °C | c | c | c | c |
| Temperature/Time | 15 min | 60 min | ||
|---|---|---|---|---|
| “M18-1” | “RTM6” | “M18-1” | “RTM6” | |
| 200 °C | 0.02% | 0.03% | 0.05% | 0.08% |
| 260 °C | 0.27% | 0.31% | 0.77% | 1.17% |
| 300 °C | 1.16% | 1.52% | 1.91% | 2.98% |
| 320 °C | 1.98% | 2.56% | 3.14% | 4.10% |
| Tsurface | Time | Mass Loss | ILSS | |||
|---|---|---|---|---|---|---|
| 200–330 [°C] | 10–60 [min] 6–32 [cycles] | 0–6 [%] | 0–60/70 [MPa] | |||
| Continuous | RTM6 | back | 8.2 (0.95) | 12.4 (0.46) | 0.4 (0.94) | 4.6 (91.2) |
| front | 8.9 (0.95) | 14.2 (0.28) | 0.5 (0.90) | 5.0 (89.8) | ||
| M18-1 | back | 8.3 (0.95) | 12.1 (0.48) | 0.4 (0.90) | 4.9 (92.4) | |
| front | 8.3 (0.95) | 13.8 (0.32) | 0.3 (0.95) | 4.4 (93.8) | ||
| Cyclic | RTM6 | back | 7.3 (0.90) | 3.8 (0.82) | 0.2 (0.93) | 5.0 (0.80) |
| front | 6.4 (0.92) | 5.3 (0.65) | 0.2 (0.95) | 4.8 (0.81) | ||
| M18-1 | back | 7.9 (0.86) | 4.9 (0.71) | 0.2 (0.91) | 4.5 (0.86) | |
| front | 6.5 (0.91) | 5.2 (0.67) | 0.2 (0.96) | 4.9 (0.84) | ||
Disclaimer/Publisher’s Note: The statements, opinions and data contained in all publications are solely those of the individual author(s) and contributor(s) and not of MDPI and/or the editor(s). MDPI and/or the editor(s) disclaim responsibility for any injury to people or property resulting from any ideas, methods, instructions or products referred to in the content. |
© 2025 by the authors. Licensee MDPI, Basel, Switzerland. This article is an open access article distributed under the terms and conditions of the Creative Commons Attribution (CC BY) license (https://creativecommons.org/licenses/by/4.0/).
Share and Cite
Eibl, S.; Greiner, L. Investigations on Repeated Overheating by Hot Air of Aromatic Epoxy-Based Carbon Fiber-Reinforced Plastics with and Without Thermoplastic Toughening. J. Compos. Sci. 2025, 9, 551. https://doi.org/10.3390/jcs9100551
Eibl S, Greiner L. Investigations on Repeated Overheating by Hot Air of Aromatic Epoxy-Based Carbon Fiber-Reinforced Plastics with and Without Thermoplastic Toughening. Journal of Composites Science. 2025; 9(10):551. https://doi.org/10.3390/jcs9100551
Chicago/Turabian StyleEibl, Sebastian, and Lara Greiner. 2025. "Investigations on Repeated Overheating by Hot Air of Aromatic Epoxy-Based Carbon Fiber-Reinforced Plastics with and Without Thermoplastic Toughening" Journal of Composites Science 9, no. 10: 551. https://doi.org/10.3390/jcs9100551
APA StyleEibl, S., & Greiner, L. (2025). Investigations on Repeated Overheating by Hot Air of Aromatic Epoxy-Based Carbon Fiber-Reinforced Plastics with and Without Thermoplastic Toughening. Journal of Composites Science, 9(10), 551. https://doi.org/10.3390/jcs9100551

