Effect of the Incorporation of Olive Tree Pruning Sawdust in the Production of Lightweight Mortars
Abstract
1. Introduction
2. Materials and Methods
2.1. Characterization of Mortar Raw Materials
2.2. Mortar Preparation and Testing
2.3. Data Analysis
3. Results and Discussion
3.1. Characterization of the Raw Materials
3.2. Characterization of the Olive Tree Pruning Sawdust Mortars
4. Conclusions
Author Contributions
Funding
Institutional Review Board Statement
Data Availability Statement
Acknowledgments
Conflicts of Interest
Appendix A
| Sample | Treatment | Bulk Density kg/m3 | Capillarity | Flexural Strength MPa | Compressive Strength MPa |
|---|---|---|---|---|---|
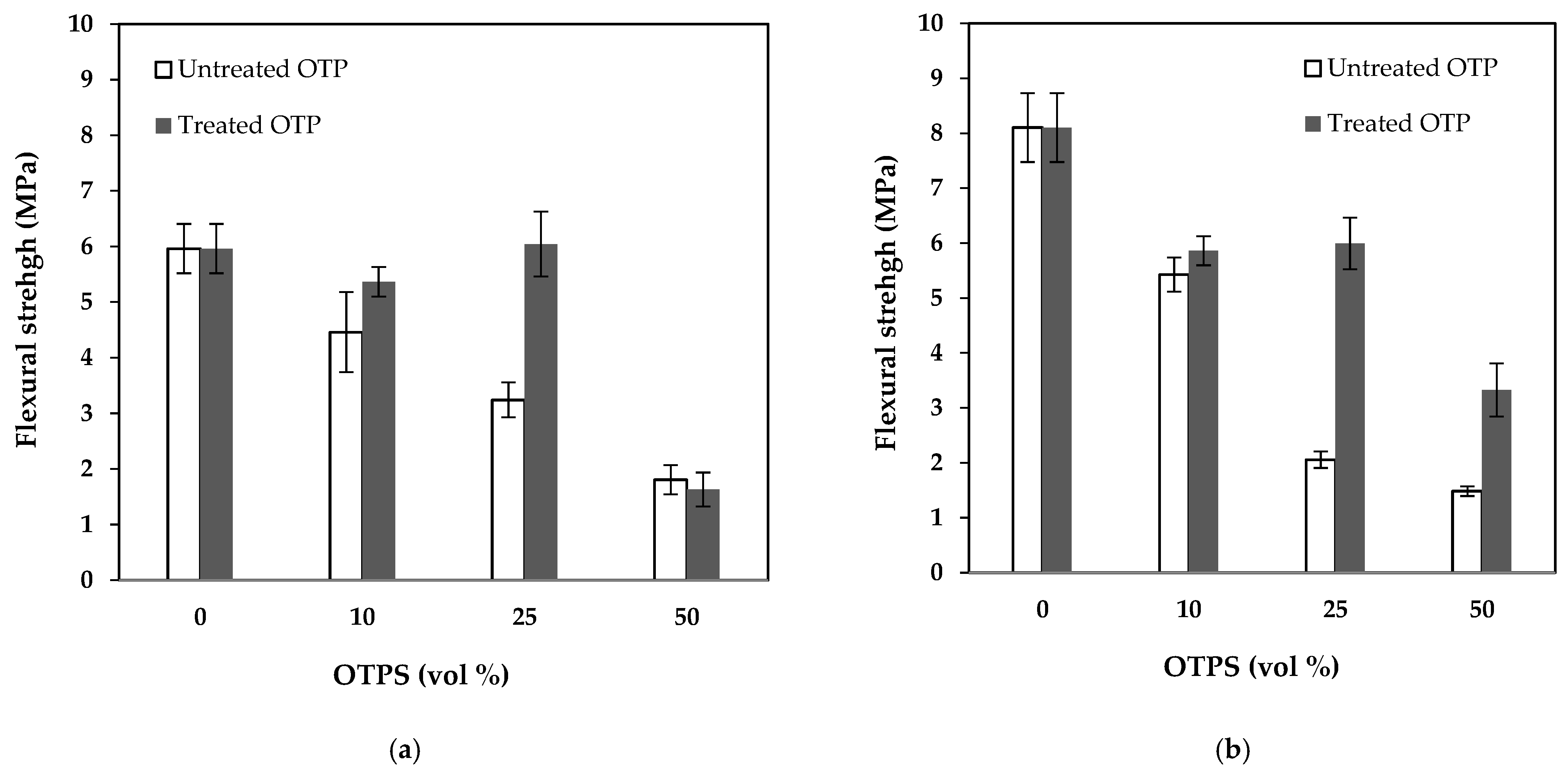
| CSW-10OTP | UT | 2.057 ± 0.011 | 0.132 ± 0.018 | 4.460 ± 0.882 | 24.043 ± 3.997 |
| CSW-10OTP | T | 2.067 ± 0.011 | 0.163 ± 0.024 | 5.367 ± 0.327 | 32.824 ± 5.194 |
| p-value (α = 0.05) | 0.360 | 0.094 | 0.225 | 0.038 | |
| CSW-25OTP | UT | 1.389 ± 0.051 | 0.252 ± 0.021 | 3.241 ± 0.384 | 7.147 ± 1.464 |
| CSW-25OTP | T | 1.921 ± 0.014 | 0.153 ± 0.025 | 6.042 ± 3.164 | 18.931 ± 3.520 |
| p-value (α = 0.05) | 0.148 | 0.010 | 0.247 | 0.011 | |
| CSW-50OTP | UT | 1.491 ± 0.008 | 0.510 ± 0.078 | 1.808 ± 0.321 | 4.181 ± 0.651 |
| CSW-50OTP | T | 1.409 ± 0.005 | 0.455 ± 0.041 | 1.632 ± 0.373 | 3.463 ± 0.272 |
| p-value (α = 0.05) | 0.091 | 0.020 | 0.545 | 0.077 | |
| Sample | Treatment | Bulk Density kg/m3 | Capillarity | Flexural Strength MPa | Compressive Strength MPa |
|---|---|---|---|---|---|
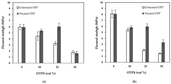
| CSW-10OTP | UT | 2.032 ± 0.005 | 0.125 ± 0.014 | 5.425 ± 0.380 | 20.118 ± 1.527 |
| CSW-10OTP | T | 2.166 ± 0.007 | 0.130 ± 0.011 | 5.860 ± 0.323 | 30.425 ± 4.729 |
| p-value (α = 0.05) | 0.090 | 0.540 | 0.249 | 0.018 | |
| CSW-25OTP | UT | 1.847 ± 0.006 | 0.257 ± 0.047 | 2.056 ± 0.184 | 6.797 ± 1.703 |
| CSW-25OTP | T | 1.985 ± 0.014 | 0.167 ± 0.033 | 5.995 ± 0.577 | 16.289 ± 1.706 |
| p-value (α = 0.05) | 0.091 | 0.002 | 0.092 | 0.010 | |
| CSW-50OTP | UT | 1.396 ± 0.004 | 0.167 ± 0.086 | 1.485 ± 0.109 | 2.262 ± 0.313 |
| CSW-50OTP | T | 1.687 ± 0.004 | 0.542 ± 0.066 | 3.327 ± 0.591 | 7.149 ± 0.763 |
| p-value (α = 0.05) | 0.089 | 0.001 | 0.105 | 0.009 | |
References
- Ministerio de Agricultura y Pesca. Alimentación y Medio Ambiente (MAPAMA); Ministerio de Agricultura y Pesca: Madrid, Spain, 2014.
- Agencia Andaluza de la Energía, Consejería de Empleo, Industria y comercio. La biomasa en Andalucía; Agencia Andaluza de la Energía, Consejería de Empleo, Industria y comercio: Sevilla, Spain, 2015.
- Mateo, S.; Puentes, J.G.; Sánchez, S.; Moya, A.J. Oligosaccharides and monomeric carbohydrates production from olive tree pruning biomass. Carbohydr. Polym. 2013, 93, 416–423. [Google Scholar] [CrossRef] [PubMed]
- Pimenta, P.; Chandellier, J.; Rubaud, M.; Dutrel, F.; Nicole, H. Etude de Faisabilté des Procédés de Constrution à Base de Betón de Bois; Cahiers du CSTB: Paris, France, 1994. [Google Scholar]
- Turgut, P.; Algin, H.M. Limestone dust and wood sawdust as brick material. Build. Environ. 2007, 42, 3399–3403. [Google Scholar] [CrossRef]
- Bouguerra, O.; Amiri, A.; Aït-Mokhtar, A.; Diop, M.B. Water sorptivity and pore structure of wood cementitious composites. Mag. Concr. Res. 2002, 54, 103–112. [Google Scholar] [CrossRef]
- Simatupang, M.H.; Schawarz, H.G.; Broker, F.W. Small scale plants for the manufacture of mineral-bonded wood composites. In Proceedings of the 8th Word Forestry Congress, Jakarta, Indonesia, 16–28 October 1978; pp. 98–120. [Google Scholar]
- Furuno, T.; Uehara, T.; Joday, S. Combinations of wood and silicate. Impregnation by water glass and application of aluminium sulfate and calcium chloride as reactants. Mokuzai Gakkaishi 1991, 37, 62–472. [Google Scholar]
- Beraldo, A.L.; Carvalho, J.V. Compósito Eualyptus grandis-cimento Portland. Sci. Forastelis 2004, 1, 150–161. [Google Scholar]
- Moslemi, A.A.; Lim, Y.T. Compatibilty of southern hardwoods with Porland cement. For. Prod. J. 1984, 34, 22–26. [Google Scholar]
- Corinaldesi, V.; Mazzoli, A.; Siddique, R. Characterization of lightweight mortars containing wood processing by-products waste. Constr. Build. Mater. 2016, 123, 281–289. [Google Scholar] [CrossRef]
- Beraldo, A.L.; Balzamo, H. Non-structural composites of sawdust from Argentina Wood species and comercial cements. Maderas. Cienc. Y Tecnol. 2009, 11, 233–250. [Google Scholar] [CrossRef]
- Gouny, F.; Fouchal, F.; Maillard, P.; Rossignol, S. A geopolymer mortar for wood and earth structures. Constr. Build. Mater. 2012, 36, 188–195. [Google Scholar] [CrossRef]
- Schackow, A.; Stringari, D.; Senff, L.; Correia, S.L.; Segadães, A.M. Influence of fired clay brick waste additions on the durability of mortars. Cem. Concr. Compos. 2015, 62, 82–89. [Google Scholar] [CrossRef]
- Corinaldesi, V.; Donnini, J.; Nardinocchi, A. Lightweight plasters containing plastic waste for sustainable and energy-efficient building. Constr. Build. Mater. 2015, 94, 337–345. [Google Scholar] [CrossRef]
- Corinaldesi, V.; Gnappi, G.; Moriconi, G.; Montenero, A. Reuse of ground waste glass as aggregate for mortars. Waste Manag. 2005, 25, 197–201. [Google Scholar] [CrossRef] [PubMed]
- Miranda, J.M.; Narváez, L.; Tapia, J.I.; Martínez, E.E.; Hernández, S. Polymer mortars prepared using a polymeric resin and particles obtained from waste pet bottle. Constr. Build. Mater. 2014, 65, 376–383. [Google Scholar] [CrossRef]
- Reis, J.M.L.; Carneiro, E.P. Evaluation of PET waste aggregates in polymer mortars. Constr. Build. Mater. 2012, 27, 107–111. [Google Scholar] [CrossRef]
- Corinaldesi, V.; Moriconi, G. Use of synthetic fibers in self-compacting lightweight aggregate concretes. J. Build. Eng. 2015, 4, 247–254. [Google Scholar] [CrossRef]
- Corinaldesi, V.; Mazzoli, A.; Moriconi, G. Mechanical behaviour and thermal conductivity of mortars containing waste rubber particles. Mater. Desing 2011, 32, 1646–1650. [Google Scholar] [CrossRef]
- Cai, L. Experimental research on producing thermal insulating bonding mortar by spent polystyrene foam. Cem. Concr. Compos. 2012, 174–177, 1253–1257. [Google Scholar] [CrossRef]
- Laukaitis, A.; Zurauskas, R.; Keriene, J. The effect of foam polystyrene granules on cement composite properties. Cem. Concr. Compos. 2005, 27, 41–47. [Google Scholar] [CrossRef]
- Chen, P.W.; Chung, D.D.L. A comparative study of concretes reinforced with carbon, polyethylene, and steel fibers and their improvement by latex addition. A review. ACI Mater. J. 1996, 93, 129–133. [Google Scholar]
- Osei, D.Y.; Jackson, E.N. Compressive strength of concrete using Sawdust as Aggregate. Int. J. Sci. Eng. Res. 2016, 7, 1349–1353. [Google Scholar]
- Bdeir, L.M.H. Study some mechanical properties of mortar with sawdust as a partially replacement of sand. Anbar J. Eng. Sci. 2012, 5, 22–23. [Google Scholar]
- Oyedepo, O.J.; Oluwajana, S.D.; Akande, S.P. Investigation of properties of concrete using sawdust as partial replacement of sand. Civ. Environ. Res. 2014, 6, 35–42. [Google Scholar]
- Tilak, L.N.; Kumar, S.; Manvendra, S.; Niranjan. Use of saw Dust as fine aggregate in concrete mixture. Int. Res. J. Eng. Technol. (IRJET) 2018, 5, 1249–1253. [Google Scholar]
- Sojobi, A.O.; Aladegboye, O.J.; Awolusi, T.F. Green Interlocking paving units. Constr. Build. Mater. 2018, 173, 600–614. [Google Scholar] [CrossRef]
- Akash, A.; Sukanya, S.; Sayali, D.; Rachana, V. Review Paper on saw dust in concrete mixture. Int. J. Creat. Res. Thoughts (IJCRT) 2022, 10, 2320–2882. [Google Scholar]
- Olaiya, B.; Lawan, M.; Olonade, K.A. Utilization of sawdust composites in construction—A review. Appl. Sci. 2023, 5, 140. [Google Scholar] [CrossRef]
- Cebrian, J.L.; Pisonero, F. Determinación de la superficie específica por el método Blaine en cenizas volantes y cementos puzolánicos. Mater. Construcción 1971, 142, 81–91. [Google Scholar] [CrossRef][Green Version]
- Van Soest, P.J.; Wine, R.H. Use of detergents in the analysis of fibrous feed. IV. The Determination of plant cell constituents. J. Assoc. Off. Anal. Chem. 1967, 50, 50–55. [Google Scholar] [CrossRef]
- UNE-EN 196-1:2018; Methods of Testing Cement—Part 1: Determination of Strength. Aenor: Madrid, Spain, 2018.
- UNE-EN 1015-3:2000; Methods of Test for Mortar for Masonry: Part 3. Determination of Consistence of Fresh Mortar (by Flow Table). Aenor: Madrid, Spain, 2000.
- UNE-EN 1015-10:2020; Methods of Test for Mortar for Masonry. Part 10: Determination of Dry Bul Density of Hardened Mortar. Aenor: Madrid, Spain, 2020.
- UNE-EN 1015-18:2003; Methods of Test for Mortar for Masonry. Part 18: Determination of Water Absorption Coefficient Due to Capillary Action of Hardened Mortar. Aenor: Madrid, Spain, 2003.
- UNE-EN 1015-11:2020; Methods of Test for Mortar for Masonry. Part 11: Determination of Flexural and Compressive Strength of Hardened Mortar. Aenor: Madrid, Spain, 2020.
- Bederina, M.; Marmoret, L.; Mezreb, K.; Khenfer, M.M.; Bali, A.; Queneudec, M. Effect of the addition of wood shavings on the thermal conductivity of the sand concretes—Experimental study and modelling. Constr. Build. Mater. 2007, 21, 662–668. [Google Scholar] [CrossRef]
- UNE-EN 998-1:2018; Specification for Mortar for Masonry—Part 1: Rendering and Plastering Mortar. Aenor: Madrid, Spain, 2018.
- Collepardi, M. The New Concrete; Grafiche Tintoretto: Treviso, Italy, 2006; p. 115. [Google Scholar]






| Mortars | OTPS (g) | Sand (g) | Water (g) | Cement (g) |
|---|---|---|---|---|
| CSW-0OTP | 0 | 1350 | 225 | 450 |
| CSW-10OTP | 22.9 | 1215 | 225 | 450 |
| CSW-25OTP | 57.25 | 1012.5 | 225 | 450 |
| CSW-50OTP | 114.5 | 675 | 225 | 450 |
| Cement | Humidity (%) | pH | Carbonates (%) | Specific Area (cm2/g) | Relative Density (g/cm3) |
| 0.25% | 11.8 | 16.98 ± 0.96 | 3670 | 2.840 | |
| OTPS | Humidity (%) | Ash (%) | Cellulose (%) | Hemicellulose (%) | Lignin (%) |
| 4.49 | 0.178 | 18.51 | 20.71 | 23.67 |
| Oxide Content (%) | |
|---|---|
| SiO2 | 21.33 |
| Al2O3 | 5.89 |
| Fe2O3 | 3.87 |
| CaO | 58.32 |
| MgO | 1.39 |
| K2O | 0.88 |
| Na2O | 0.91 |
| MnO | 0.06 |
| TiO2 | 0.43 |
| P2O5 | 0.08 |
| SO3 | 4.03 |
| ZnO | - |
| Cl | 0.08 |
| Sr | 0.07 |
| Cr | 0.02 |
| Ni | 0.01 |
| Cu | 0.03 |
| Zn | 0.03 |
| Ba | 0.07 |
| Zr | 82.7 |
| LOI | 2.61 |
| Shrinkage (%) | ||
|---|---|---|
| Mortars | Untreated (a) | Treated (b) |
| CSW-0OTP | 0.296 ± 0.080 | |
| CSW-10OTP | −0.295 ± 0.069 | −0.174 ± 0.078 |
| CSW-25OTP | −0.503 ± 0.095 | −0.225 ± 0.032 |
| CSW-50OTP | −0.547 ± 0.078 | −0.249 ± 0.095 |
Disclaimer/Publisher’s Note: The statements, opinions and data contained in all publications are solely those of the individual author(s) and contributor(s) and not of MDPI and/or the editor(s). MDPI and/or the editor(s) disclaim responsibility for any injury to people or property resulting from any ideas, methods, instructions or products referred to in the content. |
© 2024 by the authors. Licensee MDPI, Basel, Switzerland. This article is an open access article distributed under the terms and conditions of the Creative Commons Attribution (CC BY) license (https://creativecommons.org/licenses/by/4.0/).
Share and Cite
Oya-Monzón, M.; Eliche-Quesada, D.; La Rubia, M.D. Effect of the Incorporation of Olive Tree Pruning Sawdust in the Production of Lightweight Mortars. J. Compos. Sci. 2024, 8, 188. https://doi.org/10.3390/jcs8050188
Oya-Monzón M, Eliche-Quesada D, La Rubia MD. Effect of the Incorporation of Olive Tree Pruning Sawdust in the Production of Lightweight Mortars. Journal of Composites Science. 2024; 8(5):188. https://doi.org/10.3390/jcs8050188
Chicago/Turabian StyleOya-Monzón, Marina, Dolores Eliche-Quesada, and M. Dolores La Rubia. 2024. "Effect of the Incorporation of Olive Tree Pruning Sawdust in the Production of Lightweight Mortars" Journal of Composites Science 8, no. 5: 188. https://doi.org/10.3390/jcs8050188
APA StyleOya-Monzón, M., Eliche-Quesada, D., & La Rubia, M. D. (2024). Effect of the Incorporation of Olive Tree Pruning Sawdust in the Production of Lightweight Mortars. Journal of Composites Science, 8(5), 188. https://doi.org/10.3390/jcs8050188

