Next Article in Journal
Investigation of the Impact of SmFeN Doping on the Anisotropic NdFeB/SmFeN Composite Magnets
Next Article in Special Issue
An Upcycling Strategy for Polyethylene Terephthalate Fibers: All-Polymer Composites with Enhanced Mechanical Properties
Previous Article in Journal
Fabrication of PVTF Films with High Piezoelectric Properties Through Directional Heat Treatment
Previous Article in Special Issue
The Effect of Adhesive Quantity on Adhesion Quality and Mechanical Characteristics of Woven Kevlar Fabric-Reinforced Laminated Structures
 
 
Font Type:
Arial Georgia Verdana
Font Size:
Aa Aa Aa
Line Spacing:
Column Width:
Background:
Article

A Molecular Dynamics Study on Auxetic Behaviors of Origami Graphene/Cu Nanocomposites

1
School of Aeronautics and Astronautics, Shanghai Jiao Tong University, Shanghai 200240, China
2
Department of Mechanical and Aerospace Engineering, Syracuse University, Syracuse, NY 13244, USA
*
Author to whom correspondence should be addressed.
J. Compos. Sci. 2024, 8(12), 513; https://doi.org/10.3390/jcs8120513
Submission received: 28 October 2024 / Revised: 28 November 2024 / Accepted: 4 December 2024 / Published: 6 December 2024
(This article belongs to the Special Issue Mechanical Properties of Composite Materials and Joints)

Abstract

Graphene is considered to be one of the most promising reinforcement phases for nanocomposites due to its unique two-dimensional planar structure with excellent mechanical properties. After the design of origami, the 2D material will obtain a negative Poisson’s ratio in the in-plane direction and become a metamaterial with unusual mechanical properties. Inspired by this, an origami pattern is adopted for graphene at an atomic scale using a molecular dynamics (MD) approach, and then origami graphene is embedded into a single-crystal copper matrix to obtain origami graphene/copper nanocomposites with auxetic behaviors. In the modeling, the periodic boundary condition is chosen to exhibit the Poisson’s ratio of the whole system. Under the isothermal–isobaric ensemble, the interactions between C-C, Cu-Cu, and C-Cu atoms are, respectively, determined by three potential functions: AIREBO, EAM, and LJ. The effect of the origami graphene/copper interfacial gap on the critical strain of incremental Poisson’s ratio, critical strain of engineering Poisson’s ratio, and moduli of the origami graphene/copper nanocomposites is studied to determine the optimum distance between the two phases. The influences of the mass fraction of carbon atom and temperature on those properties are discussed in detail after the MD model is confirmed.

1. Introduction

Graphene is a two-dimensional honeycomb nanomaterial made of tightly packed carbon atoms. The discovery of this novel material has attracted a lot of attention in the fields of materials science [1,2,3,4,5,6], physics [7,8,9], and electromagnetism [10,11,12]. It is considered to be one of the most useful composite reinforcements due to its extreme mechanical property [1,13,14,15,16,17,18] and excellent electrical conductivity [10]. Because of these excellent properties, graphene has been hailed as one of the most promising composite reinforcements of the 21st century [1]. Similar to its allotropes carbon nanotube [19,20], graphene itself also exhibits auxetic behavior when it is stretched at a certain strain [21,22,23,24]. Compared with conventional materials, auxetic materials have abnormal strains perpendicular to the stress direction when the material is subjected to tension or compression, and this property makes negative Poisson’s ratio materials have better fracture resistance [25], energy absorption [26], and vibration isolation properties [27]. However, contemporary man-made negative Poisson’s ratio materials such as hexagonal-structure material [28] and chiral ligament-structure materials [29] cannot have an industrially desired high elastic modulus [30].
Origami is a technique that folds a two-dimensional plane into a three-dimensional structure. Among the various origami configurations, Miura-fold invented by Japanese scientist Miura [31] allows two-dimensional flat materials to be folded with a negative Poisson’s ratio by its unique folding method. The basic unit of the Miura fold consists of four parallelograms, they remain unbent and flat during the folding process. The Miura fold has a simple geometric composition and a single degree of freedom of motion after folding. Because of these properties, Miura-fold is used in many applications [32,33,34,35,36]. And in 2019, the folding and unfolding of monolayer graphene was achieved by Chen et al. [37] using tunneling scanning microscopy at a low temperature, which lay the foundation for processing graphene planes at the atomic scale. Furthermore, Lee et al. [38] successfully realized graphene generation on copper with small-scale surface roughness. In their research, they developed a high-throughput method for growing high-quality polycrystalline graphene on an initially rough Cu surface via CH4 annealing of the Cu surface prior to graphene growth. Inspired by this, Fan and Shen [22] proposed an origami graphene and embedded it into a single-crystal copper. By using the MD method, they successfully predicted the auxetic properties of origami graphene nanocomposites. In their simulation results, origami graphene displays in-plane auxetic behavior, and the elastic modulus is stronger than other negative Poisson’s ratio materials. Meng and Chen [23] used the MD method to simulate the tension behavior of hydrogenated graphene that is folded in a Miura-origami shape. They also observed auxetic phenomenon in the tension progress of two axles. Ho et al. [39] introduced a Miura origami approach to fold graphene and achieved it via MD simulation and density functional theory (DFT) calculations. In their studies, the graphene of the Miura-fold structure shows super flexibility in both tension and compression. It also shows a negative Poisson’s ratio in mechanical behavior. Cai [40] et al. assembled the graphene origami strips, and then they evaluated the origami graphene’s mechanical and thermal properties by analyzing and comparing the numerical results from atomistic and continuum-based simulations. This shows that origami graphene’s thermo-conductivity is tunable with the geometrical parameters of the Miura-ori graphene. Yan et al. [41] constructed functionalized Miura-fold graphene. Compared to conventional cuboid leg thermoelectric nanogenerators, the thermoelectric conversion efficiency of origami metamaterials can be two orders of magnitude higher. And the fold angle rules are of vital importance in enhancing materials thermoelectric performance. With these research results, origami graphene is expected to be a promising reinforcement of composite material.
Owing to the fabrication of graphene generally using vapor phase deposition on the surface of copper [42], copper is always selected as the matrix of nanocomposites reinforced by graphene. Wang et al. [3] fabricated the graphene/Cu nanocomposite by particle capture shear compositing and investigated their compressive properties. In a study by Chu et al. [2], tensile tests were performed on graphene/copper nanocomposites with 10 percent versus 20 percent graphene volume fraction to investigate the anisotropic mechanical properties of the material by analyzing its tensile stress–strain curve. Furthermore, Kumar and Sunil [43] used MD simulations to test the loads required to separate copper from graphene along the parallel and vertical axes. However, in existing studies, graphene is mostly bonded to copper substrates in a planar form [44], in which case graphene only provides the geometric properties corresponding to the planes. Thus, graphene/Cu nanocomposite with reinforcements in 3D structures has great research value. Inspired by the folding availability of the graphene, if graphene is folded into a material with negative Poisson’s ratio by the Miura-fold and then embedded in copper as a reinforcement, the resulting composite material will have a high elastic modulus and a negative Poisson’s ratio effect at the same time.
In this paper, an MD model of origami graphene embedded into single-crystal copper is established. To fully study the auxetic behavior of the origami graphene/copper nanocomposite, the MD simulations of the relaxation of the graphene/copper nanocomposites at different interfacial gaps are carried out using LAMMPS 64-bit 2Aug2023 software [45]. After the proper interfacial gap is chosen, the relationship between the auxetic properties and the mass fraction of graphene in the material or temperature is investigated. It is found that the auxetic phenomenon of origami graphene/Cu becomes more obvious as the temperature increases or the mass fraction of carbon increases. The present work reveals the auxetic phenomenon of origami graphene/Cu and investigates its mechanical behavior in different carbon mass fractions and different temperatures. It is believed that with these new findings, our work will contribute to future nanocomposite study.

2. Materials and Methods

2.1. Modeling of Origami Graphene/Cu

The schematic of Miura origami graphene is shown in Figure 1. First of all, a 3D Cartesian coordinate system is established for the sake of convenience in the modeling. The zigzag direction of graphene is selected as the x direction, while the armchair direction is selected as the y direction. Consequently, the direction perpendicular to the graphene plane is the z direction. When applying the Miura origami method to graphene, the C-C bond of graphene should avoid the crease. To successfully apply the Miura-ori pattern on graphene, the folding lines should avoid crossing C-C keys, and the start and end of the crease must be located at a carbon atom. Finally, the boundaries of origami graphene should satisfy periodic conditions as required in the simulation.
The main parameters of the basic unit of Miura origami are shown in Figure 1, where a and b are the lengths of the two sides of the parallelogram of the folding front in the basic unit in Miura folding. The acute angle γ is the angle between two neighboring sides of the parallelogram in the basic cell in the Miura fold. The dihedral fold angle θ is the angle between the parallelogram in the basic cell and the xOy plane after folding. In order to satisfy the requirements of the creases, the acute angle of the Miura folding cell can only be chosen as 30° or 60° due to the periodic symmetry of graphene. When the acute angle is 60°, the valid value range of the dihedral fold angle should be between 0° and 70.53°, and the geometric parameters a and b follow the below formulas, respectively.
a = 3 m l c ,
b = 3 n l c .
where lc is the graphene lattice constant and m and n are positive integers.
After four basic parameters of an origami element are determined, other parameters depicted in Figure 1 can also be determined by the following equations [30]:
H = a sin θ sin γ ,
S = b cos θ tg γ 1 + cos 2 θ tg γ ,
L = a 1 sin 2 θ sin 2 γ ,
V = b 1 1 + cos 2 θ tg 2 γ .
As is illustrated in Figure 2, the matrix is composed of copper atoms that are in the fashion of face-centered cubic (FCC) packing, and the MD model of single-crystal copper is built along [1 0 0], [0 1 0], and [0 0 1] crystal orientations. In the modeling, the periodical boundary conditions for copper lattices are also taken into account. In order to satisfy the periodical boundary conditions, the zigzag direction of origami graphene and the [1 0 0] crystal orientation of the copper matrix is set as the x direction of the model and the armchair direction of origami graphene, and the [0 1 0] crystal orientation of the copper matrix is set as the y direction. The origami graphene/copper nanocomposite is finally obtained after the Miura origami structure is embedded in the copper matrix, which is shown in Figure 2.

2.2. Setting of Simulation Environment

The key to the calculations for MD simulations is the selection of potential functions. There are three types of atomic bonds: C-C, Cu-Cu, and C-Cu in the origami graphene/copper nanocomposites proposed in this paper. In terms of the selection of the C-C potential function, the REBO potential function [46] is a common potential function describing the forces between carbon atoms, which can accurately describe the interactions between carbon atoms in the system. The AIREBO potential function [47] is further developed on the basis of the REBO potential function and contains both the LJ potential describing non-bonding and the REBO potential describing covalent bond formation, as well as the torsion potential describing dihedral torsion. The specific expression is shown below:
E A I R E B O = E R E B O + E L J + E T O R S ,
where EREBO, ELJ, and ETORS can be expressed by the following equations:
E R E B O = i = 1 j = 1 f r i j · V i j R + b i j V i j A ,
where f(rij) is the truncation function between atoms i and j, rij represents the distance between atoms i and j, VRij is the repulsion term, VAij is the attraction term, and bij is the correction factor in the attraction term.
E L J = i = 1 j = 1 4 ε i j σ i j r i j 12 σ i j r i j 6 ,
where εij represents the potential well depth and σij denotes the distance between atom i and atom j when the potential energy is 0.
E T O R S = k j l i , j , k f r i j , r l k , r j k V T O R S w i j k l ,
where  w i j k l  refers to a dihedral angle. According to Equations (6)–(10), the AIREBO potential function was chosen to more accurately describe the interatomic relative interactions between carbon atoms compared to the REBO function, so the AIREBO potential function was used to model the C-C interactions during the simulation.
In the study of the interaction potential between metal atoms, the EAM potential [48] is usually chosen to describe the interaction potential between metal atoms. EAM consists of terms related to the atomic pair potential energy and the electron cloud density. It can be expressed by the following equation:
E E A M = i = 1 F i ρ i + 1 2 i = 1 j = 1 , j i Φ i j r i j ,
where Fi(ρi) denotes the energy required to put the atom into the electron density of ρi, and φij(rij) denotes the two-body interaction potential between atoms i, j. EAM is a more complete representation of the relative interaction potential between metal atoms, so the EAM potential function is chosen to describe the interaction between copper atoms and can more accurately simulate the stretching process. Regarding the selection of the potential function between Cu-C atoms, it is available to describe the interaction by the Lennard Jones potential, and its principle can be described by Equation (9).
After the model has been constructed, the system is not stable because its potential energy is not at a minimum due to geometric problems. Therefore, it is necessary to use the conjugate gradient method for the energy minimum before simulation. After that, relaxation progress is carried out to make sure that the model is in an equilibrium state before the simulation. During relaxation, the temperature is kept constant at room temperature using the Nose–Hoover hot bath method, and the isothermal isobaric system (NPT) is selected so that the stresses in the three main directions are 0 and a constant value is set during the relaxation progress. The relaxation time step is selected to be 1 fs, and the relaxation step is set to be 10,000. During the stretching process, the temperature of the system is kept constant during the relaxation. The time step of stretching is also set to 1 fs, and the number of stretching steps is 100,000. The computational process uses the virial theorem to determine the position and velocity of each atom. The strain curves in different directions of the material can be divided into elastic and plastic stages; the elastic stage is when the material already has a negative incremental Poisson’s ratio and engineering Poisson’s ratio. And both of them have the trend of changing from positive to negative. At the same time, the incremental Poisson’s ratio change curve is obtained by fitting polynomials to the corresponding zones of the strain curves in different directions. The formula for engineering Poisson’s ratio (EPR) is given by Equation (12), and the calculation formula for incremental Poisson’s ratio (IPR) is given by Equation (13):
ν = ε l ε ,
ν i n = d ε l d ε ,
where  ν i n  represents the incremental Poisson’s ratio,  ε  represents the strain in the tensile direction,  ε l  represents the strain in the vertical tensile direction, and  ν  represents the engineering Poisson’s ratio.
In order to compare the interfacial strength of the composite material, we calculate the binding energy of different cases, which is shown as
E b = ( E C C u E c E C u ) A ,
where  E C C u  represents the total energy of the origami graphene/copper nanocomposite before separation,  E c  represents the energy of graphene after separation of the composite along the z direction,  E C u  represents the energy of the copper layer after separation, and  A  represents the surface area of the material interface.

3. Results and Discussions

3.1. Determination of Interfacial Gap

The simulation results reveal that the gap between copper and carbon atoms in the composite material, as shown in Figure 3, has a great influence on the simulation results. In order to simulate the actual condition of the material and predict the mechanical properties of the material more accurately, selecting a suitable atomic gap in the simulation is of vital importance.
In order to explore the appropriate atomic gap for the simulation, origami graphene basic unit parameters of a = 14.76 Å, b = 25.56 Å, γ = 60°, θ = 60°, and model scales of Å in the x direction, 90.4 Å in the y direction, and 101.4 Å in the z direction were selected to construct the model for simulation. The carbon/copper atomic gaps of 2.4 Å to 3.2 Å were selected for simulation, and the simulated composite material was stretched in the x, y directions. In the strain curves in different directions of the material, the point where the incremental Poisson’s ratio becomes positive is taken as the incremental Poisson’s ratio critical strain ( ε I P R ), and the point where the strain in the perpendicular tensile direction turns from negative to positive is taken as the engineering Poisson’s ratio critical strain ( ε E P R ), which is shown in Figure 4. The tensile direction strain 0–1 percent of the two-direction strain curve for the fitting calculation of engineering Poisson’s ratio. The elastic modulus is fitted to the stress–strain curve by taking the strain from 0 to 1 percent in the tensile direction.
The corresponding mechanical property parameters were obtained by the stress–strain curves in the x and y direction of the corresponding cases with the strain curves in both x and y directions. From the simulation results in Table 1, it can be seen that the IPR critical strains of origami graphene/copper nanocomposite all appeared in the elastic state of the origami graphene/copper nanocomposite, indicating that the incremental Poisson’s ratio of origami graphene/copper nanocomposites has been turned into a negative value in its elastic phase. The EPR and IPR critical strain show a tendency of initially decreasing then increasing with the increase in the atomic gap. The minimum value of incremental Poisson’s ratio critical strain occurs when the interfacial gap of the composite material is 3.0 Å, which is 0.0205. The minimum EPR critical strain occurs when the interfacial gap of the composite material is 3.0 Å, which is 0.0375.
Results of the y direction are shown in Table 2; the IPR critical strain appears to be more lagged when the composite material is stretched along the y direction compared to the case stretched along the x direction. Some cases do not exhibit EPR critical strain because in the elastic state of the origami graphene/copper nanocomposite, there is no EPR critical strain. The average IPR critical strain in the y direction is smaller than that in the x direction, indicating that the y direction of the composites is more prone to showing a negative Poisson’s ratio effect than the x direction.
Figure 5 shows the elastic moduli of the nanocomposites in the x and y directions for different atomic gaps. The elastic modulus of the origami graphene/copper nanocomposite in the y direction is larger than that in the x direction, and the change in the elastic modulus with the atomic gap is not significant in either direction. The minimum elastic modulus in the x direction is 45.8 GPa when the interfacial gap is 2.8 Å, and the maximum is 47.4 GPa when the interfacial gap is 2.4 Å. The minimum elastic modulus in the y direction is 74.5 GPa when the interfacial gap is 2.8 Å, and the maximum is 76.8 GPa when the interfacial gap is 3.2 Å. The average elastic modulus in the y direction is 64 percent higher than that in the x direction, indicating that the enhancement effect on the elastic modulus of origami graphene/copper nanocomposites in the armchair direction is greater than that in the zigzag direction.
Zhang et al. [4] have compared the enhancement effect of the two graphene configurations of the composite material on the elastic modulus by the molecular dynamics method and concluded that the enhancement effect of the armchair configuration on the elastic modulus of composite materials is greater than that of the zigzag configuration. The modulus of the elasticity enhancement effect on composites is greater than that of the zigzag configuration. The simulation result in this paper is in good agreement with their conclusion. In terms of structural stability, the potential energy distributions of different atomic gap models after relaxation are shown in Table 3, and the material with a 2.8 Å interfacial gap has the minimum potential energy, which means it is the most stable case.
Figure 6 compares the binding energies of two nanocomposites, respectively, enhanced by origami graphene and monolayer graphene. In terms of interfacial strength, the origami parameters are a = 24.60 Å, b = 42.60 Å, γ = 60°, θ = 40°, and the nanocomposite model dimensions are 97.6 Å in the x direction, 90.4 Å in the y direction, and 50.7 Å in the z direction. The interfacial gaps of the material are selected from 2.0 Å to 7.0 Å, and MD simulations of the z direction interfacial separation process were carried out at an ambient temperature of 300 K.
As shown in Figure 6, the interfacial strengths of both origami graphene/copper nanocomposites and monolayer graphene/copper nanocomposites show the same trend with the change in interfacial gap: the interfacial bonding energy is the smallest and the structure is the most stable in the equilibrium position. When the interfacial gap is smaller than the equilibrium interfacial gap, the force between the interfaces is repulsive, and the repulsive force increases sharply with the decrease in the interfacial gap; therefore, the bonding energy of the composite material will also increase sharply with the decrease in the interfacial gap. When the interfacial gap is smaller than the equilibrium interfacial gap, the force between the interfaces is attractive and will gradually decrease with the increase in the distance between atoms. Therefore, the bonding energy of the composite material will also decrease slowly with the increase in the interfacial gap and finally stabilize at a constant value, which indicates that the interfacial strength of the composite material will slowly tend to 0 with the increase in the interfacial gap. The results in this paper fit with those of Xu and Buehler [49]. The simulation results show that the minimum binding energy of origami graphene is different from that of monolayer graphene, and the minimum binding energy appears in different interfacial gaps between them. Compared to monolayer graphene/copper nanocomposites, the minimum binding energy of origami graphene/copper nanocomposites appears when the interfacial gap is 2.8 Å and its value is −0.04429 eV·Å−2, and is lower than the minimum of monolayer graphene which appears at 3.0 Å and its value is −0.02536 eV·Å−2. This indicates that origami graphene/copper nanocomposites have a higher interface strength than monolayer graphene/copper nanocomposites in the equilibrium state of the system. And when the interfacial gap is 2.8 Å, the origami graphene/copper nanocomposite has the most stable interface. Taking the potential energy and interfacial strength of the origami graphene/copper nanocomposites into consideration, 2.8 Å is the most suitable gap for the following MD simulation.
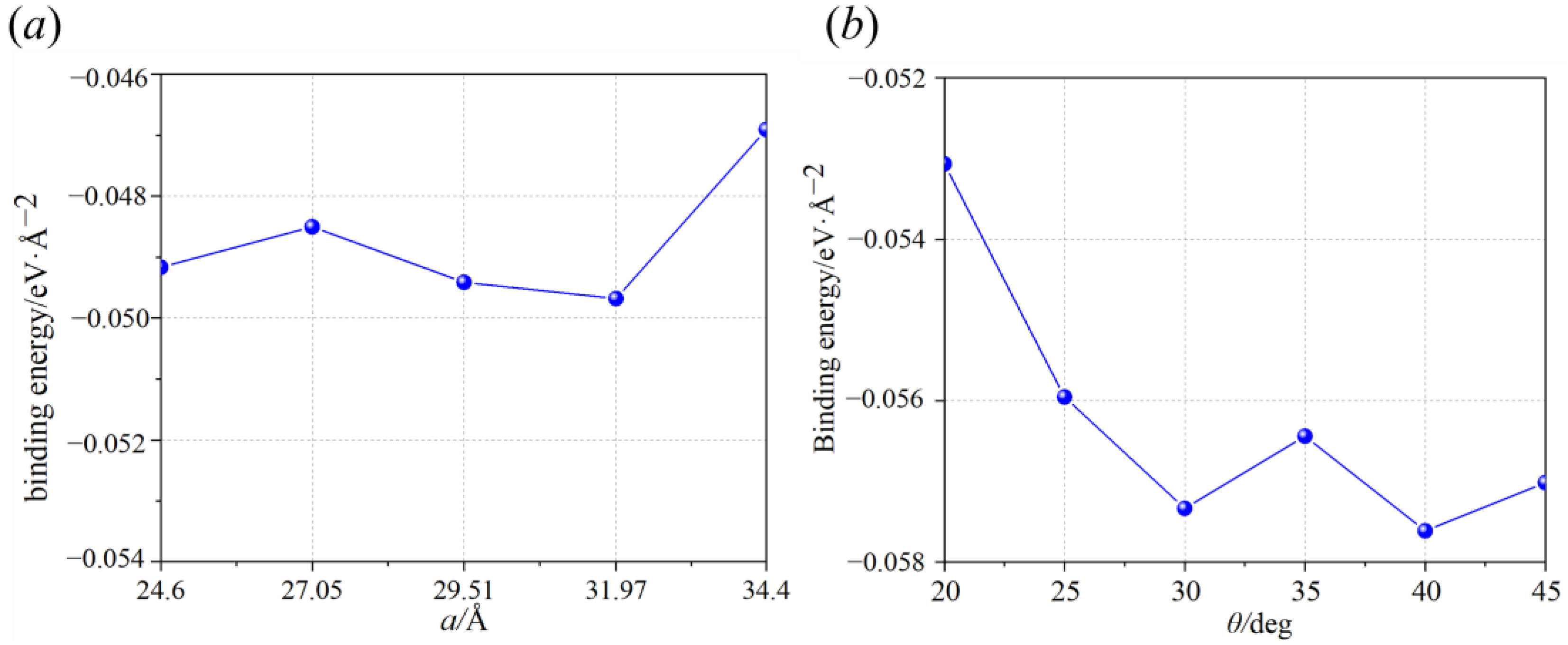
In addition, in order to investigate the effect of side length a of the parallelogram on the mechanical properties of composite materials, γ = 60° and θ = 45°, and an atomic gap of 2.8 Å were chosen for the simulation at a temperature of 300 K. The molecular dynamics simulation of the z direction interfacial separation process is carried out by ensuring that the ratio of the lengths of the two neighboring sides of the origami basic unit parallelogram, a/b, is 1. The side lengths of the origami basic unit parallelogram are set as 22.13 Å, 24.60 Å, 27.05 Å, 29.51 Å, 31.97 Å, and 34.4 Å. The molecular dynamics of the z direction interfacial separation process is also simulated at a temperature of 300 K. After the simulation is completed, the energy of the system before and after the separation in the z direction for each model is recorded, and the relationship between the binding energy of the composites and a can be obtained, as shown in Figure 7 below. From the figure, it can be seen that the variation in the binding energy of the composites with the length a of the parallelogram of the basic unit of origami is not significant, and the minimum value is obtained at the origami parameter a = 31.97 Å, which is −0.0496 eV·Å−2, while the maximum value is obtained at the origami parameter a = 34.4 Å, which is −0.0469 eV·Å−2, with a difference of only about 5.4 percent. It can be seen that in the case of a constant dihedral angle, the change in side length does not affect the crystal plane composition of the interface of origami graphene/copper nanocomposites, and the interfacial atomic spacing of the composites with the same crystal plane composition is also the same. Therefore, the interfacial strength of origami graphene/copper nanocomposites should be the same if the gap is the same and the crystalline structure of the composites is the same, and the results of the simulation shown in Figure 7 are also consistent with this.
The origami parameters a = 24.60 Å, b = 42.60 Å, and γ = 60° were selected for the MD simulations at a temperature of 300 K to investigate the effect of the dihedral angle on the interfacial strength of origami graphene/copper composites. During the simulation, the dihedral angle in the composite model was set from 20° to 45° for the molecular dynamic simulation of interfacial separation in the z direction. After completing the molecular dynamics simulation of interfacial separation, the resulting energy was calculated. The binding energy of the composite material is shown in Figure 6. The simulation results indicate that the binding energy of the composite material does not change significantly when the dihedral angle is between 30° and 45° but decreases significantly when the dihedral angle is 20°. For dihedral angles between 30° and 45°, the binding energy of the composite material is −0.057 eV·Å−2, while the binding energy of the composites is only −0.053 eV·Å−2 for a dihedral angle of 20°. This phenomenon can be explained by the change in the stacking mode at the interface. The change in the atomic stacking mode at the interface of the composites is not significant when the dihedral angle decreases from 45° to 30°. However, when the dihedral angle decreases to 20°, the stacking mode of the copper atoms at the interface changes considerably. This difference in stacking mode also causes the interfacial gap in the model to change significantly when the dihedral angle is 20° compared to 45°. According to the previous conclusion, when the interfacial gap of the composite material changes, its binding energy will also change correspondingly. Therefore, the change in interfacial binding energy caused by the change in the dihedral angle further supports the notion that interfacial binding energy in composites is affected by changes in the interfacial gap.

3.2. Effect of Graphene Mass Fraction

To investigate the effect of mass fraction of graphene on the mechanical properties of origami graphene/copper nanocomposites, the origami parameters are a = 14.76 Å, b = 25.56 Å, γ = 60°, θ = 60°, and the atomic gap is 2.8 Å. The dimensions of the nanocomposite model were set to 97.6 Å in the x direction, 90.4 Å in the y direction, and varying scales in the z direction. By altering scales in the z direction while the scale of origami graphene remains the same, origami graphene/copper nanocomposites with different carbon mass fractions can be obtained. Tensile simulations were conducted in the x, y, and z directions, and their elastic modulus and Poisson’s ratio were statistically analyzed. The mechanical properties of the nanocomposites in the x direction are shown in Table 4. The results indicate that the engineering Poisson’s ratio critical strain and incremental Poisson’s ratio critical strain in the x direction of origami graphene/copper nanocomposites increase as the mass fraction of carbon decreases. Additionally, the incremental and engineering Poisson’s ratio critical strains of each model all appeared in their elastic state.
Table 5 below shows the mechanical properties of origami graphene/copper nanocomposites in the y direction as they change with thickness. The statistical results indicate that the simulation outcomes in the y direction and x direction are relatively close to each other. Additionally, the trends of the mechanical property parameters concerning the mass fraction of carbon are consistent with those in the x direction.
The elastic modulus in three directions is shown in Figure 8. From the figure, it is evident that the elastic modulus of the origami graphene/copper nanocomposite in the y direction shows an increasing trend followed by a decrease, with the maximum value occurring at a carbon mass fraction of 2.10%, reaching 56.3 GPa. The elastic modulus in the x direction is smaller than that in the y direction on average and shows an increasing trend with a decreasing mass fraction of carbon. The maximum elastic modulus in the x direction occurs at a carbon mass fraction of 1.72%, reaching 42.6 GPa. This indicates that the elastic modulus of the origami graphene/copper nanocomposites decreases with an increasing mass fraction of copper, with the average elastic modulus in the y direction being 39.3% higher than in the x direction.
The engineering Poisson’s ratio of origami graphene/copper nanocomposites in the x, y, and z directions is shown in Figure 9. It can be seen from Figure 9 that the engineering Poisson’s ratio of the origami graphene/copper nanocomposites in the x and y directions decreases with the reduction in the thickness of the nanocomposite material. The engineering Poisson’s ratio in the armchair direction is greater than that in the zigzag direction when the carbon mass fraction of the model is 1.72% to 2.71%. The engineering Poisson’s ratios of the material whose carbon mass fraction is 3.27% in the two directions appear to have a negative value: the armchair direction is −0.1, and the zigzag direction is −0.08, indicating that the material has demonstrated a negative Poisson’s ratio effect. Poisson’s ratio of pure copper is about 0.33, Poisson’s ratio of graphene is about −0.0409, and Poisson’s ratio of the x direction of the basic unit of the origami graphene is given as
ν = ( cos θ   t g γ ) 2
whose theoretical calculation value is −0.75. This shows that the negative Poisson’s ratio of the nanocomposite material appears because of the negative Poisson’s ratio effect of origami graphene, and the negative Poisson’s ratio effect of origami graphene zigzag direction in the nanocomposite material is more significant. And according to the formula for calculating Poisson’s ratio of origami graphene, it can be seen that Poisson’s ratio of origami graphene is affected by the acute angle and dihedral angle of its basic unit. When the value of dihedral angle is a constant value, the auxetic effect of the material will be exhibited more obviously. And when the mass fraction of carbon in the material is higher than a certain critical value, the engineering Poisson’s ratio of the nanocomposite material will become negative.

3.3. Effect of Temperature

To investigate the mechanical properties of the nanocomposites affected by temperature and the origami parameters, the origami parameters were set as a = 19.68 Å, b = 42.60 Å, γ = 60°, θ = 40°. The dimensions of the nanocomposites were 111.9 Å in the x direction, 81.76 Å in the y direction, and 101.4 Å in the z direction, with an interfacial gap of 2.8 Å. Tensile MD simulations were conducted at temperatures from 4.3 K to 1000 K to analyze the mechanical properties in the x and y directions. The mechanical property parameters in the x direction are shown in Table 6, while those in the y direction are shown in Table 7.
It can be concluded that the elastic modulus of the nanocomposites in both the x and y directions gradually decreases with an increase in temperature. In the x direction, the maximum value of the elastic modulus occurs at the simulated temperature of 4.3 K, which is 63.4 GPa. The minimum value of the elastic modulus occurs at a simulation temperature of 1000 K, which is 37.9 GPa, indicating a decrease of about 40.2%. In the y direction, the maximum elastic modulus is also 78.8 GPa for 4.3 K, while the value reduces to 49.8 GPa at 1000 K.
Regarding the critical strain of the EPR, the onset of the negative Poisson’s ratio phenomenon advances with increasing temperature. In the x direction, the critical strain of the EPR of the nanocomposites is 0.0462 at 4.3 K and 0.0282 at 1000 K.
In the y direction, as shown in Table 7, the IPR critical strain of the nanocomposites is 0.0467 at the simulated temperature of 4.3 K, while at the simulated temperature of 1000 K, it decreases to 0.0353. This represents a reduction of approximately 24.4% compared to the value at 4.3 K. Consequently, the IPR critical strain at the ambient temperature of 4.3 K occurs about 24.4% earlier than at 1000 K. In both the x and y directions, the onset of the incremental Poisson’s ratio phenomenon in the nanocomposites occurs earlier at higher simulated ambient temperatures compared to lower ones. The simulation results show that the mechanical properties of origami graphene/copper nanocomposite materials are dependent on the ambient temperature in both the x and y directions. Moreover, the observation that the elastic modulus of origami graphene/copper nanocomposites continuously decreases with increasing temperature during the simulation is consistent with macroscopic observations.

4. Conclusions

An MD study on mechanical properties of origami graphene/copper nanocomposite was carried out in this paper, and the IPR critical strain of origami graphene/copper nanocomposites is found to decrease and then increase with the widening of the interfacial gap through the simulation of the stretching process in both the x and y directions. The zigzag direction is more prone to exhibiting auxetic phenomena than the armchair direction in the origami graphene/copper nanocomposite. Regarding the effect of the mass fraction of carbon of the material, the EPR critical strain and IPR critical strain of the origami graphene/copper nanocomposite all increase with a lower mass fraction of carbon in the nanocomposite material, indicating that the auxetic phenomenon of the origami graphene/copper nanocomposite material is more prone to being exhibited with the increase in carbon mass fraction. The negative EPR effect occurs in the nanocomposite material when the mass fraction of carbon reaches 3.27 percent. With the increase in the temperature, the IPR critical strain and the EPR critical strain occur at an earlier time. In addition, the binding energy of different interfacial gaps is investigated, and it is found that the interfacial strength shows an LJ potential trend and the origami parameters affect interfacial strength by changing the interfacial gap. In terms of elastic modulus, the enhancement effect on the elastic modulus is greater in the armchair direction compared to the zigzag direction in nanocomposite material. The elastic modulus in both x and y directions increases with a lower carbon mass fraction of the material. As the temperature increases, elastic modulus in both x and y directions of nanocomposite material declines with the thermal effect.

Author Contributions

Conceptualization, B.-W.N., H.-N.Z. and Y.F.; methodology, B.-W.N. and H.-N.Z.; software, B.-W.N.; validation, B.-W.N., H.-N.Z. and Y.F.; formal analysis, B.-W.N., H.-N.Z. and Y.F.; investigation, B.-W.N., H.-N.Z. and Y.F.; resources, Y.F.; data curation, B.-W.N.; writing—original draft, B.-W.N. and Y.F.; writing—review and editing, B.-W.N., H.-N.Z., Y.F. and Y.W.; supervision, Y.F. and Y.W.; project administration, Y.F.; funding acquisition, Y.F. All authors have read and agreed to the published version of the manuscript.

Funding

This work is sponsored by the National Natural Science Foundation of China (NSFC) under Grant No. 12102255 and Natural Science Foundation of Shanghai under Grant No. 22ZR1429500.

Data Availability Statement

The data presented in this study are available on request from the corresponding author.

Acknowledgments

The computations in this work were run on the π 2.0 cluster supported by the Center for High Performance Computing at Shanghai Jiao Tong University.

Conflicts of Interest

The authors declare that they have no known competing financial interests or personal relationships that could have appeared to influence the work reported in this paper.

Abbreviations

The following abbreviations are used in this manuscript:
MDmolecular dynamics
LAMMPSLarge-scale Atomic/Molecular Massively Parallel Simulator
REBOReactive Empirical Bond Order
AIREBOAdaptive Intermolecular Reactive Empirical Bond Order
LJLennard Jones
EAMEmbedded Atom Potential
NPTisothermal isobaric system
IPRincremental Poisson’s ratio
EPRengineering Poisson’s ratio

References

  1. Geim, A.K.; Novoselov, K.S. The rise of graphene. Nat. Mater. 2009, 6, 11–19. [Google Scholar]
  2. Chu, K.; Wang, F.; Wang, X.H.; Huang, D.J. Anisotropic mechanical properties of graphene/copper composites with aligned graphene. Mater. Sci. Eng. A—Struct. Mater. Prop. Microstruct. Process. 2018, 713, 269–296. [Google Scholar] [CrossRef]
  3. Wang, L.; Cui, Y.; Yang, S.; Li, B.; Liu, Y.; Dong, P.; Bellah, J.; Fan, G.; Vajtai, R.; Fei, W. Microstructure and properties of carbon nanosheet/copper composites processed by particle-assisted shear exfoliation. RSC Adv. 2015, 5, 19321–19328. [Google Scholar] [CrossRef]
  4. Zhang, C.; Lu, C.; Pei, L.Q.; Li, J.Q.; Wang, R.; Tieu, K. The negative Poisson’s ratio and strengthening mechanism of nanolayered graphene/Cu composites. Carbon 2019, 143, 125–142. [Google Scholar] [CrossRef]
  5. Pan, X.; Lin, Z.; Yang, L.; Deng, L. Research Progress on Preparation Process and Properties of Graphene Reinforced Copper Matrix Composites. Mater. Mech. Eng. 2023, 47, 1–10. [Google Scholar]
  6. Lin, Z.-D.; Shu, S.-C.; Li, A.; Wu, M.-L.; Yang, M.-Y.; Han, Y.; Zhu, Z.-X.; Chen, B.-A.; Ding, Y.; Zhang, Q.; et al. Preparation and Mechanical Property of Graphene-reinforced Copper Matrix Composites. J. Inorg. Mater. 2019, 34, 469–477. [Google Scholar] [CrossRef]
  7. Nguyen, V.H. Recent advances in experimental basic research on graphene and graphene-based nanostructures. Adv. Nat. Sci. Nanosci. Nanotechnol. 2016, 7, 023001. [Google Scholar] [CrossRef]
  8. Wei, K.X.; Jia, F.L.; Wei, W.; Zhou, H.R.; Chu, F.Q.; Du, Q.B.; Alexandrov, I.V.; Hu, J. Flexible Nanotwinned Graphene/Copper Composites as Thermal Management Materials. ACS Appl. Nano Mater. 2020, 3, 4810–4817. [Google Scholar] [CrossRef]
  9. Feng, M.; Jia, S.; Li, S.; Song, K. Research progress of Cu/C composites. Trans. Mater. Heat Treat. 2020, 41, 25–36. [Google Scholar]
  10. Xia, Y.X.; Gao, W.W.; Gao, C. A Review on Graphene-Based Electromagnetic Functional Materials: Electromagnetic Wave Shielding and Absorption. Adv. Funct. Mater. 2022, 32, 2240591. [Google Scholar] [CrossRef]
  11. Jagannadham, K. Electrical conductivity of copper graphene composite films synthesized by electrochemical deposition with exfoliated graphene platelets. J. Vac. Sci. Technol. B 2012, 30, 109–118. [Google Scholar] [CrossRef]
  12. Wang, Y.; Li, Y.; Zhu, J.; Zhao, Y.; Li, H. Advances in Graphene/CuO Composites as Anode Materials for Lithium Ion Batteries. Mater. Rev. 2018, 32, 3712–3719. [Google Scholar]
  13. Reddy, C.D.; Rajendran, S.; Liew, K.M. Equilibrium configuration and continuum elastic properties of finite sized graphene. Nanotechnology 2006, 17, 864–890. [Google Scholar]
  14. Boukhvalov, D.W.; Katsnelson, M.I.; Lichtenstein, A.I. Hydrogen on graphene: Electronic structure, total energy, structural distortions and magnetism from first-principles calculations. Phys. Rev. B 2008, 77, 035427. [Google Scholar] [CrossRef]
  15. Lee, C.; Wei, X.D.; Kysar, J.W.; Hone, J. Measurement of the elastic properties and intrinsic strength of monolayer graphene. Science 2008, 321, 385–388. [Google Scholar] [CrossRef]
  16. Wei, X.D.; Kysar, J.W. Experimental validation of multiscale modeling of indentation of suspended circular graphene membranes. Int. J. Solids Struct. 2012, 49, 3201–3209. [Google Scholar] [CrossRef]
  17. Min, K.; Aluru, N.R. Mechanical properties of graphene under shear deformation. Appl. Phys. Lett. 2011, 98, 013113. [Google Scholar] [CrossRef]
  18. Pan, Y.Z.; Sahoo, N.G.; Li, L. The application of graphene oxide in drug delivery. Expert Opin. Drug Deliv. 2012, 9, 1365–1378. [Google Scholar] [CrossRef]
  19. Zhang, H.N.; Fan, Y.; Shen, H.S. Chirality-Dependent and Intrinsic Auxeticity for Single-Walled Carbon Nanotubes. Materials 2022, 15, 8720. [Google Scholar] [CrossRef]
  20. Zhang, H.N.; Fan, Y.; Shen, H.S. Prediction of Temperature-Dependent Mechanical Properties for SWCNT/Cu Nanocomposite Metamaterials: A Molecular Dynamics Study. Nanomaterials 2023, 13, 1885. [Google Scholar] [CrossRef]
  21. Fan, Y.; Xiang, Y.; Shen, H.S. Temperature-Dependent Mechanical Properties of Graphene/CuNanocomposites with In-Plane Negative Poisson’s Ratios. Research 2020, 2020, 5618021. [Google Scholar] [CrossRef] [PubMed]
  22. Fan, Y.; Shen, H.S. Non-symmetric stiffness of origami-graphene metamaterial plates. Compos. Struct. 2022, 297, 115974. [Google Scholar] [CrossRef]
  23. Meng, F.; Chen, S.; Zhang, W.; Ou, P.; Zhang, J.; Chen, C.; Song, J. Negative Poisson’s ratio in graphene Miura origami. Mech. Mater. 2021, 155, 103774. [Google Scholar] [CrossRef]
  24. Zhang, J.; Xiong, Q.L. The negative Poisson’s ratio in graphene-based carbon foams. Phys. Chem. Chem. Phys. 2018, 20, 4597–4605. [Google Scholar] [CrossRef]
  25. Choi, J.B.; Lakes, R.S. Nonlinear properties of metallic cellular materials with a negative Poisson’s ratio. J. Mater. Sci. 1992, 27, 5375–5381. [Google Scholar] [CrossRef]
  26. Chekkal, I.; Bianchi, M.; Remillat, C.; Bécot, F.-X.; Jaouen, L.; Scarpa, F. Vibro-Acoustic Properties of Auxetic Open Cell Foam: Model and Experimental Results. Acta Acust. United Acust. 2010, 2, 266–274. [Google Scholar] [CrossRef]
  27. Wang, Z.; Hu, H. Auxetic materials and their potential applications in textiles. Text. Res. J. 2014, 84, 1600–1611. [Google Scholar] [CrossRef]
  28. Evans, K.E.; Nkansah, M.A.; Hutchinson, I.J. Auxetic foams: Modelling negative Poisson’s ratios. Acta Metall. Mater. 1994, 42, 1289–1294. [Google Scholar] [CrossRef]
  29. Alderson, A.; Alderson, K.; Attard, D.; Evans, K.; Gatt, R.; Grima, J.; Miller, W.; Ravirala, N.; Smith, C.; Zied, K. Elastic constants of 3-, 4- and 6-connected chiral and anti-chiral honeycombs subject to uniaxial in-plane loading. Compos. Sci. Technol. 2010, 70, 1042–1048. [Google Scholar] [CrossRef]
  30. Schenk, M.; Guest, S.D. Geometry of Miura-folded metamaterials. Proc. Natl. Acad. Sci. USA 2013, 110, 3276–3281. [Google Scholar] [CrossRef]
  31. Miura, K. Method of packaging and deployment of large membranes in space. Inst. Space Astronaut. Sci. Rep. 1985, 618, 1–9. [Google Scholar]
  32. Yao, Y.; Ni, Y.; He, L.H. Rutile-mimic 3D metamaterials with simultaneously negative Poisson’s ratio and negative compressibility. Mater. Des. 2021, 200, 109440. [Google Scholar] [CrossRef]
  33. Qin, G.H.; Qin, Z.Z. Negative Poisson’s ratio in two-dimensional honeycomb structures. npj Comput. Mater. 2021, 5, 185–190. [Google Scholar] [CrossRef]
  34. Chang, Y.P.; Hu, H. 3D Fabrics with Negative Poisson’s Ratio: A Review. Appl. Compos. Mater. 2022, 29, 95–108. [Google Scholar] [CrossRef]
  35. Sorrentino, A.; Castagnetti, D. Negative Poisson’s ratio lattice for designing vertebral biomaterials. Mech. Adv. Mater. Struct. 2022, 29, 6626–6633. [Google Scholar] [CrossRef]
  36. Ren, C.H.; Yang, D.Q. Mechanical properties of a 2D metamaterial with negative stiffness and negative Poisson’s ratio. J. Harbin Eng. Univ. 2022, 41, 1129–1135. [Google Scholar]
  37. Chen, H.; Zhang, X.-L.; Zhang, Y.-Y.; Wang, D.; Bao, D.-L.; Que, Y.; Xiao, W.; Du, S.; Ouyang, M.; Pantelides, S.T.; et al. Atomically Precise, Custom-Design Origami Graphene Nanostructures. Science 2019, 365, 1036–1040. [Google Scholar] [CrossRef]
  38. Lee, H.C.; Jo, S.B.; Lee, E.; Yoo, M.S.; Kim, H.H.; Lee, S.K.; Lee, W.H.; Cho, K. Facet-Mediated Growth of High-Quality Monolayer Graphene on Arbitrarily Rough Copper Surfaces. Adv. Mater. 2016, 28, 2010–2017. [Google Scholar] [CrossRef]
  39. Ho, D.T.; Ho, V.H.; Babar, V.; Kim, S.Y.; Schwingenschlögl, U. Complex three-dimensional graphene structures driven by surface functionalization. Nanoscale 2020, 12, 10172–10179. [Google Scholar] [CrossRef]
  40. Cai, J.; Estakhrianhaghighi, E.; Akbarzadeh, A. Functionalized graphene origami metamaterials with tunable thermal conductivity. Carbon 2022, 191, 610–624. [Google Scholar] [CrossRef]
  41. Yan, L.F.; Yang, B.; Cai, J. Multiscale functionalized graphene origami metamaterials enable programming thermoelectric performance of flexible energy harvesters. Carbon 2024, 225, 119149. [Google Scholar] [CrossRef]
  42. Sun, X.; Lin, L.; Sun, L.; Zhang, J.; Rui, D.; Li, J.; Wang, M.; Tan, C.; Kang, N.; Wei, D.; et al. Low-temperature and rapid growth of large single-crystalline graphene with ethane. Small 2018, 14, 1709216. [Google Scholar] [CrossRef]
  43. Kumar, S. Effect of applied force and atomic organization of copper on its adhesion to a graphene substrate. RSC Adv. 2017, 7, 25118–25131. [Google Scholar] [CrossRef]
  44. Kim, Y.; Lee, J.; Yeom, M.S.; Shin, J.W.; Kim, H.; Cui, Y.; Kysar, J.W.; Hone, J.; Jung, Y.; Jeon, S.; et al. Strengthening effect of single-atomic-layer graphene in metal-graphene nanolayered composites. Nat. Commun. 2013, 4, 2114. [Google Scholar] [CrossRef] [PubMed]
  45. Thompson, A.P.; Aktulga, H.M.; Berger, R.; Bolintineanu, D.S.; Brown, W.M.; Crozier, P.S.; in’t Veld, P.J.; Kohlmeyer, A.; Moore, S.G.; Nguyen, T.D.; et al. LAMMPS-a flexible simulation tool for particle-based materials modeling at the atomic, meso, and continuum scales. Comput. Phys. Commun. 2022, 271, 108171. [Google Scholar] [CrossRef]
  46. Stuart, S.J.; Tutien, A.B.; Harrison, J.A. A reactive potential for hydrocarbons with intermolecular interactions. J. Chem. Phys. 2000, 112, 6472–6486. [Google Scholar] [CrossRef]
  47. Brenner, D.W.; Shenderova, O.A.; Harrison, J.A.; Stuart, S.J.; Ni, B.; Sinnot, S.B. A second-generation reactive empirical bond order (REBO) potential energy expression for hydrocarbons. J. Phys.—Condens. Matter 2002, 14, 783–802. [Google Scholar] [CrossRef]
  48. Foiles, S.M.; Baskes, M.I.; Daw, M.S. Erratum: Embedded-atom-method functions for the fcc metals Cu, Ag, Au, Ni, Pd, Pt, and their alloys. Phys. Rev. B 1988, 37, 10378. [Google Scholar] [CrossRef]
  49. Xu, Z.P.; Buehler, M.J. Interface structure and mechanics between graphene and metal substrates: A first-principles study. J. Phys.—Condens. Matter 2010, 22, 485301. [Google Scholar] [CrossRef]
Figure 1. Schematic diagrams of (a) Miura origami and (b) Miura origami graphene, where the solid black line represents a fold outward from the paper, the dotted blue line represents a fold inward from the paper and carbon atoms in four regions are in different colors.
Figure 1. Schematic diagrams of (a) Miura origami and (b) Miura origami graphene, where the solid black line represents a fold outward from the paper, the dotted blue line represents a fold inward from the paper and carbon atoms in four regions are in different colors.
Jcs 08 00513 g001
Figure 2. Schematic diagrams of origami graphene/copper nanocomposite, Cu atoms are in blue and C atoms are in red.
Figure 2. Schematic diagrams of origami graphene/copper nanocomposite, Cu atoms are in blue and C atoms are in red.
Jcs 08 00513 g002
Figure 3. Schematic diagram of carbon/copper interfacial gap in origami graphene/copper nanocomposites, where Cu atoms are in blue and C atoms are in red.
Figure 3. Schematic diagram of carbon/copper interfacial gap in origami graphene/copper nanocomposites, where Cu atoms are in blue and C atoms are in red.
Jcs 08 00513 g003
Figure 4. Strain curve between x direction and y direction.
Figure 4. Strain curve between x direction and y direction.
Jcs 08 00513 g004
Figure 5. Relationship between the interfacial gap and the variation in elastic modulus in the x and y direction of the composite material.
Figure 5. Relationship between the interfacial gap and the variation in elastic modulus in the x and y direction of the composite material.
Jcs 08 00513 g005
Figure 6. Relationship between bonding energy and interfacial gap of nanocomposites.
Figure 6. Relationship between bonding energy and interfacial gap of nanocomposites.
Jcs 08 00513 g006
Figure 7. (a) Relationship between bonding energy and basic parallelogram length. (b) Relationship between bonding energy and dihedral angle.
Figure 7. (a) Relationship between bonding energy and basic parallelogram length. (b) Relationship between bonding energy and dihedral angle.
Jcs 08 00513 g007
Figure 8. Modulus of elasticity of origami graphene/copper nanocomposites in x, y, and z directions versus mass fraction of carbon in origami graphene/copper nanocomposites.
Figure 8. Modulus of elasticity of origami graphene/copper nanocomposites in x, y, and z directions versus mass fraction of carbon in origami graphene/copper nanocomposites.
Jcs 08 00513 g008
Figure 9. (a) Engineering Poisson’s ratio versus thickness for x, y direction of nanocomposites. (b) Engineering Poisson’s ratio versus thickness for x, z direction of nanocomposites. (c) Engineering Poisson’s ratio versus thickness for y, z direction of nanocomposites.
Figure 9. (a) Engineering Poisson’s ratio versus thickness for x, y direction of nanocomposites. (b) Engineering Poisson’s ratio versus thickness for x, z direction of nanocomposites. (c) Engineering Poisson’s ratio versus thickness for y, z direction of nanocomposites.
Jcs 08 00513 g009
Table 1. Mechanical properties in x direction for different interfacial gaps.
Table 1. Mechanical properties in x direction for different interfacial gaps.
Interfacial Gap/Å ε I P R ε E P R
2.40.02530.0432
2.60.02120.0406
2.80.02270.0396
3.00.02050.0375
3.20.02540.0430
Table 2. Mechanical properties in y direction for different interfacial gaps.
Table 2. Mechanical properties in y direction for different interfacial gaps.
Interfacial Gap/Å ε I P R ε E P R
2.40.03020.0458
2.60.02830.0421
2.80.02710.0462
3.00.0275-
3.20.0315-
Table 3. Potential energy after relaxation for different gap.
Table 3. Potential energy after relaxation for different gap.
Interfacial gap/Å2.42.62.833.2
Potential energy/eV−8.61 × 105−8.72 × 105−8.73 × 105−8.63 × 105−8.56 × 105
Table 4. Mechanical properties of nanocomposites in x direction with different mass fraction of graphene.
Table 4. Mechanical properties of nanocomposites in x direction with different mass fraction of graphene.
Graphene Mass Fraction ε I P R ε E P R
3.27%0.00080.0023
2.71%0.01060.0191
2.31%0.01720.0327
2.10%0.01810.0383
1.72%0.02270.0396
Table 5. Mechanical properties of nanocomposites in y direction with different mass fraction of carbon.
Table 5. Mechanical properties of nanocomposites in y direction with different mass fraction of carbon.
Carbon Mass Fraction ε I P R ε E P R
3.27%0.00090.0015
2.71%0.01550.0206
2.31%0.02080.0324
2.10%0.02370.0351
1.72%0.02710.0462
Table 6. Mechanical properties of nanocomposites with different temperatures in x direction.
Table 6. Mechanical properties of nanocomposites with different temperatures in x direction.
T/K ε I P R ε E P R E/GPa
4.30.04620.060163.4
1000.04400.060162.0
2000.04150.058759.7
3000.03940.060356.7
4000.03840.053855.1
5000.03810.052152.6
7000.03330.040847.8
10000.02820.043237.9
Table 7. Mechanical properties of nanocomposites with different temperatures in y direction.
Table 7. Mechanical properties of nanocomposites with different temperatures in y direction.
T/K ε I P R ε E P R E/GPa
4.30.04670.063278.8
1000.04590.063176.6
2000.04510.068273.9
3000.04280.062172.6
4000.04220.061868.6
5000.04140.060865.7
7000.03910.058759.6
10000.03530.057349.9
Disclaimer/Publisher’s Note: The statements, opinions and data contained in all publications are solely those of the individual author(s) and contributor(s) and not of MDPI and/or the editor(s). MDPI and/or the editor(s) disclaim responsibility for any injury to people or property resulting from any ideas, methods, instructions or products referred to in the content.

Share and Cite

MDPI and ACS Style

Na, B.-W.; Zhang, H.-N.; Fan, Y.; Wang, Y. A Molecular Dynamics Study on Auxetic Behaviors of Origami Graphene/Cu Nanocomposites. J. Compos. Sci. 2024, 8, 513. https://doi.org/10.3390/jcs8120513

AMA Style

Na B-W, Zhang H-N, Fan Y, Wang Y. A Molecular Dynamics Study on Auxetic Behaviors of Origami Graphene/Cu Nanocomposites. Journal of Composites Science. 2024; 8(12):513. https://doi.org/10.3390/jcs8120513

Chicago/Turabian Style

Na, Bai-Wei, Hai-Ning Zhang, Yin Fan, and Yeqing Wang. 2024. "A Molecular Dynamics Study on Auxetic Behaviors of Origami Graphene/Cu Nanocomposites" Journal of Composites Science 8, no. 12: 513. https://doi.org/10.3390/jcs8120513

APA Style

Na, B.-W., Zhang, H.-N., Fan, Y., & Wang, Y. (2024). A Molecular Dynamics Study on Auxetic Behaviors of Origami Graphene/Cu Nanocomposites. Journal of Composites Science, 8(12), 513. https://doi.org/10.3390/jcs8120513

Article Metrics

Back to TopTop