Thermal Insulation Properties of Milkweed Floss Nonwovens: Influence of Temperature, Relative Humidity, and Fiber Content
Abstract
1. Introduction
2. Materials and Methods
2.1. Materials
2.2. Plant Guidelines
2.3. Experimental and Analytical Evaluations of the Thermal Properties of Milkweed Floss
2.3.1. Drying and Measurement of Moisture Content of Milkweed Floss
2.3.2. Production of Nonwoven Mats
2.3.3. Conditioning and Measurement of Moisture Regain of the Nonwoven Mats
2.3.4. Estimation of Total Porosity and Mesoporosity of the Nonwoven Mats
2.3.5. Experimental Evaluation of the Thermal Conductivity, λ, and Thermal Resistance, R-Value
2.3.6. Experimental Evaluation of Specific Heat Capacity, Cp, and Thermal Diffusivity, α
3. Results and Discussion
3.1. Moisture Content and Moisture Regain
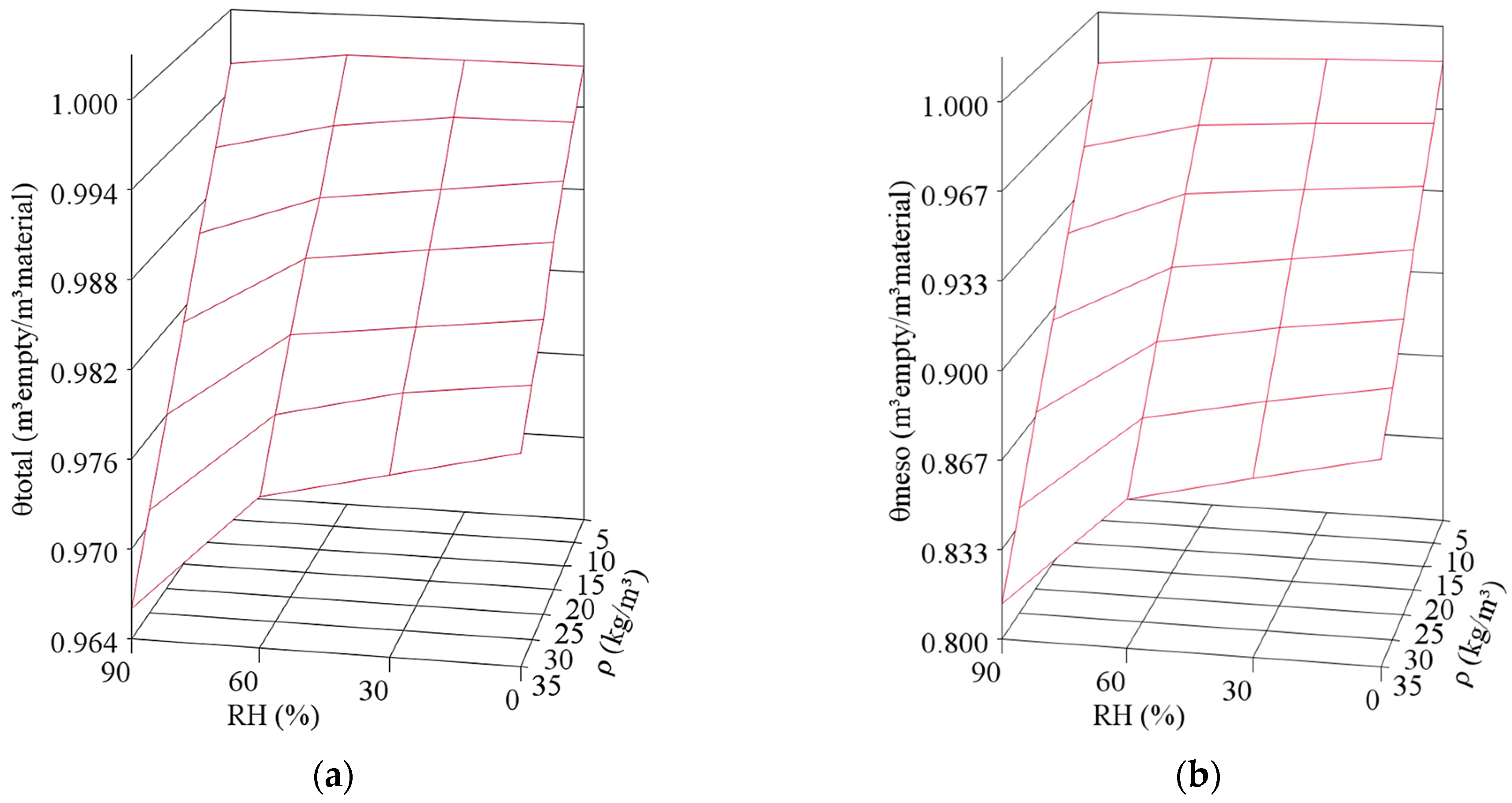
3.2. Mesoporosity and Total Porosity
3.3. Thermal Conductivity
3.4. Thermal Resistance (R-Value)
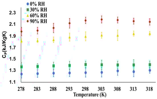
3.5. Specific Heat Capacity
3.6. Thermal Diffusivity
4. Conclusions
Author Contributions
Funding
Data Availability Statement
Conflicts of Interest
References
- Kamara, L.A.; Chisale, V.S.; Kgabi, P.; Onjefu, N.A.; Zulu, N.A. Thermal efficient isolating materials from agricultural residues to improve energy efficiency in buildings. Int. J. Civ. Eng. Technol. 2019, 10, 2067–2074. [Google Scholar]
- Stapulionienė, R.; Vaitkus, S.; Vėjelis, S.; Sankauskaitė, A. Investigation of thermal conductivity of natural fibers processed by different mechanical methods. Int. J. Precis. Eng. Manuf. 2016, 17, 1371–1381. [Google Scholar] [CrossRef]
- Kalayci, E.; Avinc, O.; Turkoglu, K.B. Importance of Asclepias Syriaca (Milkweed) fibers in sustainable fashion and textile industry and its potential end-uses. In Sustainable Approaches in Textiles and Fashion. Sustainable Textiles: Production, Processing, Manufacturing, and Chemistry; Muthu, S.S., Ed.; Springer: Berlin/Heidelberg, Germany, 2022; pp. 1–21. [Google Scholar]
- Karthik, T.; Murugan, R. Milkweed: A potential sustainable natural fibre crop. In Environmental Footprints and Eco-Design of Products; Springer: Berlin/Heidelberg, Germany, 2016; pp. 111–146. [Google Scholar]
- Hassanzadeh, S.; Hasani, H. A review on milkweed fiber properties as a high-potential raw material in textile applications. J. Ind. Text. 2017, 46, 1412–1436. [Google Scholar] [CrossRef]
- Berkman, B. Milkweed: A war strategic material and a potential industrial crop for sub-marginal lands in the United States. Econ. Bot. 1949, 3, 223–239. [Google Scholar] [CrossRef]
- Ovlaque, P. Valorisation de la Fibre D’asclépiade pour le Renforcement de Matrices Organiques. Ph.D. Thesis, Université de Sherbrooke, Sherbrooke, QC, Canada, 2019. [Google Scholar]
- Richard, C.; Cousin, P.; Foruzanmehr, M.; Elkoun, S.; Robert, M. Characterization of components of milkweed floss fiber. Sep. Sci. Technol. 2019, 54, 3091–3099. [Google Scholar] [CrossRef]
- Sanchez-Diaz, S.; Ouellet, C.; Elkoun, S.; Robert, M. Evaluating the properties of native and modified milkweed floss for applications as a reinforcing fiber. J. Nat. Fibers 2023, 20, 2174630. [Google Scholar] [CrossRef]
- Bakhtiari, M.; Hasani, H.; Zarrebini, M.; Hassanzadeh, S. Investigation of the thermal comfort properties of knitted fabric produced from Estabragh-cotton blended yarns. J. Text. Inst. 2015, 106, 47–56. [Google Scholar] [CrossRef]
- Peng, Y.; Cui, Y. Advanced Textiles for Personal Thermal Management and Energy. Joule 2020, 4, 724–742. [Google Scholar] [CrossRef]
- Ganesan, P.; Karthik, T. Development of acoustic nonwoven materials from kapok and milkweed fibres. J. Text. Inst. 2016, 107, 477–482. [Google Scholar] [CrossRef]
- Ganesan, P.; Karthik, T. Development of sustainable sound and thermal insulation products from unconventional natural fibres for automobile applications. In Sustainable Approaches in Textile and Fashion; Muthu, S.S., Ed.; Springer Nature: Cham, Switzerland, 2022; pp. 195–218. [Google Scholar]
- Crews, P.C.; Sievert, S.A.; Woeppel, L.T.; McCullough, E.A. Evaluation of milkweed floss as an insulative fill material. Text. Res. J. 1991, 61, 203–210. [Google Scholar] [CrossRef]
- Mills, N.J. Polymer Foams Handbook: Engineering and Biomechanics Applications and Design Guide; Butterworth-Heinemann: Oxford, UK, 2007. [Google Scholar]
- Schneider, A.M.; Hoschke, B.N.; Goldsmid, H.J. Heat transfer through moist fabrics. Text. Res. J. 1992, 62, 61–66. [Google Scholar] [CrossRef]
- ASTM Standard D2654; Standard Test Methods for Moisture in Textiles. ASTM International: West Conshohocken, PA, USA, 2022.
- ASTM Standard D1776/D1776M; Standard Practice for Conditioning and Testing Textiles. ASTM International: West Conshohocken, PA, USA, 2020.
- Hailwood, A.J.; Horrobin, S. Absorption of water by polymers: Analysis in terms of a simple model. J. Chem. Soc. Faraday Trans. 1946, 42, 84–92. [Google Scholar] [CrossRef]
- Simpson, W. Sorption theories Applied to Wood. Wood Fibers 1979, 12, 183–195. [Google Scholar]
- Hill, C.A.S.; Norton, A.; Newman, G. The water vapor sorption behavior of natural fibers. J. Appl. Polym. Sci. 2009, 112, 1524–1537. [Google Scholar] [CrossRef]
- Morton, W.E.; Hearle, J.W.S. Theories of moisture sorption. In Physical Properties of Textile Fibres; Woodhead Publishing Limited: Sawston, UK, 2008. [Google Scholar]
- Kwame, I.; Okoh, A.; Skaar, C. Moisture sorption Isotherms of the wood and inner bark of ten southern U.S. hardwoods. Wood Fibers 1976, 12, 98–111. [Google Scholar]
- ASTM Standard C518; Standard Test Method for Steady-State Thermal Transmission Properties by Means of the Heat Flow Meter Apparatus. ASTM International: West Conshohocken, PA, USA, 2021.
- Rohsenow, W.M.; Hartnett, J.P.; Cho, Y.I. Natural Convection. In Handbook of Heat Transfer, 3rd ed.; McGraw-Hill: New York, NY, USA, 1998; Chapter 4. [Google Scholar]
- Woeppel, L.; Crews, P.C. Determining the Moisture Characteristics of Milkweed Floss. In Proceedings of the Nebraska Academy of Sciences, One-Hundredth Annual Meeting, Lincoln, NE, USA, 20–21 April 1990; p. 11. [Google Scholar]
- Jones, D.; von Bargen, K.L. Some Physical properties of milkweed pods. Am. Soc. Agric. Eng. 1992, 35, 243–246. [Google Scholar] [CrossRef]
- von Bargen, K.; Jones, D.; Zeller, R.; Knudsen, P. Equipment for milkweed floss-fiber recovery. Ind. Crops Prod. II 1994, 2, 201–210. [Google Scholar] [CrossRef]
- Çengel, Y.A.; Ghajar, A.J. Heat and Mass Transfer. Fundamentals and Applications; McGraw-Hill: New York, NY, USA, 2015. [Google Scholar]
- Adachi, K.; Daicho, K.; Furuta, M.; Shiga, T.; Saito, T.; Kodama, T. Thermal conduction through individual cellulose nanofibers. Appl. Phys. Lett. 2021, 118, 053701. [Google Scholar] [CrossRef]
- Antlauf, M.; Boulanger, N.; Berglund, L.; Oksman, K.; Andersson, O. Thermal conductivity of cellulose fibers in different size scales and densities. Biomacromolecules 2021, 22, 3800–3809. [Google Scholar] [CrossRef]
- Zhang, T.; Luo, T. Role of Chain morphology and stiffness in thermal conductivity of amorphous polymers. J. Phys. Chem. B 2016, 120, 803–812. [Google Scholar] [CrossRef]
- Wang, Y.; Liu, K.; Liu, Y.; Wang, D.; Liu, J. The impact of temperature and relative humidity dependent thermal conductivity of insulation materials on heat transfer through the building envelope. J. Build. Eng. 2022, 46, 103700. [Google Scholar] [CrossRef]
- Khoukhi, M. The combined effect of heat and moisture transfer dependent thermal conductivity of polystyrene insulation material: Impact on building energy performance. Energy Build. 2018, 169, 228–235. [Google Scholar] [CrossRef]
- Anh, L.; Pásztory, Z. An overview of factors influencing thermal conductivity of building insulation materials. J. Build. Eng. 2021, 44, 102604. [Google Scholar]
- Korjenic, A.; Petránek, V.; Zach, J.; Hroudová, J. Development and performance evaluation of natural thermal-insulation materials composed of renewable resources. Energy Build. 2011, 43, 2518–2523. [Google Scholar] [CrossRef]
- Cheng, P.; Chang, I.-D. Buoyancy induced flow in a saturated porous media adjacent to impermeable horizontal surfaces. Int. J. Heat Mass Transf. 1976, 19, 1267–1272. [Google Scholar]
- Arambakam, R.; Tafreshi, H.; Pourdeyhimi, B. Modeling performance of multi-component fibrous insulations against conductive and radiative heat transfer. Int. J. Heat Mass Transf. 2014, 71, 341–348. [Google Scholar] [CrossRef]
- Sekino, N. Density dependence in the thermal conductivity of cellulose fiber mats and wood shavings mats: Investigation of the apparent thermal conductivity of coarse pores. J. Wood Sci. 2016, 62, 20–26. [Google Scholar] [CrossRef]
- Zhu, F.L. Investigating the effective thermal conductivity of moist fibrous fabric based on Parallel-Series model: A consideration of material’s swelling effect. Mater. Res. Express 2020, 7, 045308. [Google Scholar] [CrossRef]
- Wang, Y.; Ma, C.; Liu, Y.; Wang, D.; Liu, J. A model for the effective thermal conductivity of moist porous building materials based on fractal theory. Int. J. Heat Mass Transf. 2018, 125, 387–399. [Google Scholar] [CrossRef]
- Ghanbarian, B.; Daigle, H. Thermal conductivity in porous media: Percolation-based effective-medium approximation. Water Resour. Res. 2016, 52, 295–314. [Google Scholar] [CrossRef]
- Dias, T.; Delkumburewatte, G.B. The influence of moisture content on the thermal conductivity of a knitted structure. Meas. Sci. Technol. 2007, 18, 1304–1314. [Google Scholar] [CrossRef]
- Schiavoni, S.; Alessandro, F.D.; Bianchi, F.; Asdrubali, F. Insulation materials for the building sector: A review and comparative analysis. Renew. Sustain. Energy Rev. 2016, 62, 988–1011. [Google Scholar] [CrossRef]
- Karimi, F.; Soltani, P.; Zarrebini, M.; Hassanpour, A. Acoustic and thermal performance of polypropylene nonwoven fabrics for insulation in buildings. J. Build. Eng. 2022, 50, 104125. [Google Scholar] [CrossRef]
- Hatakeyama, T.; Hatakeyama, H. Thermal properties of cellulose and its derivates. In Thermal Properties of Green Polymers and Biocomposites; Springer: Berlin/Heidelberg, Germany, 2005; Chapter 3; Volume 4, pp. 39–130. [Google Scholar]
- Voitkevich, O.V.; Kabo, G.J.; Blokhin, A.V.; Paulechka, Y.U.; Shishonok, M.V. Thermodynamic properties of plant biomass components. Heat capacity, combustion energy, and gasification equilibria of lignin. J. Chem. Eng. 2012, 57, 1903–1909. [Google Scholar] [CrossRef]
- Blokhin, A.V.; Voitkevich, O.V.; Kabo, G.J.; Paulechka, Y.U.; Shishonok, M.V.; Kabo, A.G.; Simirsky, V.V. Thermodynamic properties of plant biomass components. Heat capacity, combustion energy, and gasification equilibria of cellulose. J. Chem. Eng. 2011, 56, 3523–3531. [Google Scholar] [CrossRef]
- Hatakeyama, T.; Nakamura, K.; Hatakeyama, H. Studies on heat capacity of cellulose and lignin by differential scanning calorimetry. Polymer 1982, 23, 1801–1804. [Google Scholar] [CrossRef]
- Fainberg, E.Z.; Mikhailov, N.V. Temperature dependence of the specific heat of cellulose fibers. Vysokomol. Soyed. 1967, 9, 920–926. [Google Scholar]
- Hatakeyama, T.; Hatakeyama, H. Lignin. In Thermal Properties of Green Polymers and Biocomposites; Springer: Berlin/Heidelberg, Germany, 2005; Chapter 5; Volume 4, pp. 131–169. [Google Scholar]
- Pyda, M. Conformational heat capacity of interacting systems of polymer and water. Macromolecules 2002, 35, 4009–4016. [Google Scholar] [CrossRef]
- Pyda, M. Conformational contribution to the heat capacity of the starch and water system. J. Polym. Sci. B Polym. Phys. 2001, 39, 3038–3054. [Google Scholar] [CrossRef]
- Hatakeyama, T.; Hatakeyama, H. Heat capacity and nuclear magnetic relaxation times of non-freezing water restrained by polysaccharides. J. Biomater. Sci. Polym. 2017, 28, 1215–1230. [Google Scholar] [CrossRef]








| ρ | λ LSM | 99% Conf. Limits | ρi/ρj † | 5 | 10 | 15 | 20 | 25 | 30 | 35 |
|---|---|---|---|---|---|---|---|---|---|---|
| 5 | 49.45 | 47.95–50.95 | 5 | - | <0.0001 | <0.0001 | <0.0001 | <0.0001 | <0.0001 | <0.0001 |
| 10 | 39.28 | 37.78–40.79 | 10 | <0.0001 | - | 0.002 | <0.0001 | <0.0001 | <0.0001 | 0.0070 |
| 15 | 36.01 | 34.50–37.51 | 15 | <0.0001 | 0.0017 | - | 0.895 ⁑ | 0.821 ⁑ | 0.936 ⁑ | 0.999 ⁑ |
| 20 | 35.03 | 33.53–36.53 | 20 | <0.0001 | <0.0001 | 0.895 ⁑ | - | 1.000 ⁑ | 1.000 ⁑ | 0.686 ⁑ |
| 25 | 34.90 | 33.40–36.40 | 25 | <0.0001 | <0.0001 | 0.821 ⁑ | 1.000 ⁑ | - | 0.999 ⁑ | 0.577 ⁑ |
| 30 | 35.14 | 33.64–36.64 | 30 | <0.0001 | <0.0001 | 0.936 ⁑ | 1.000 ⁑ | 0.999 ⁑ | - | 0.764 ⁑ |
| 35 | 36.33 | 34.83–37.83 | 35 | <0.0001 | 0.0070 | 0.999 ⁑ | 0.686 ⁑ | 0.577 ⁑ | 0.764 ⁑ | - |
Disclaimer/Publisher’s Note: The statements, opinions and data contained in all publications are solely those of the individual author(s) and contributor(s) and not of MDPI and/or the editor(s). MDPI and/or the editor(s) disclaim responsibility for any injury to people or property resulting from any ideas, methods, instructions or products referred to in the content. |
© 2024 by the authors. Licensee MDPI, Basel, Switzerland. This article is an open access article distributed under the terms and conditions of the Creative Commons Attribution (CC BY) license (https://creativecommons.org/licenses/by/4.0/).
Share and Cite
Sanchez-Diaz, S.; Elkoun, S.; Robert, M. Thermal Insulation Properties of Milkweed Floss Nonwovens: Influence of Temperature, Relative Humidity, and Fiber Content. J. Compos. Sci. 2024, 8, 16. https://doi.org/10.3390/jcs8010016
Sanchez-Diaz S, Elkoun S, Robert M. Thermal Insulation Properties of Milkweed Floss Nonwovens: Influence of Temperature, Relative Humidity, and Fiber Content. Journal of Composites Science. 2024; 8(1):16. https://doi.org/10.3390/jcs8010016
Chicago/Turabian StyleSanchez-Diaz, Simon, Saïd Elkoun, and Mathieu Robert. 2024. "Thermal Insulation Properties of Milkweed Floss Nonwovens: Influence of Temperature, Relative Humidity, and Fiber Content" Journal of Composites Science 8, no. 1: 16. https://doi.org/10.3390/jcs8010016
APA StyleSanchez-Diaz, S., Elkoun, S., & Robert, M. (2024). Thermal Insulation Properties of Milkweed Floss Nonwovens: Influence of Temperature, Relative Humidity, and Fiber Content. Journal of Composites Science, 8(1), 16. https://doi.org/10.3390/jcs8010016

