Acoustic Emission Damage Detection during Three-Point Bend Testing of Short Glass Fiber Reinforced Composite Panels: Integrity Assessment
Abstract
:1. Introduction
2. Materials and Methods
2.1. Materials
2.2. Test System
3. Results and Discussion
3.1. Mechanical Properties
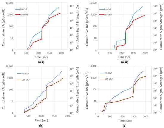
3.2. Acoustic Emission—Cumulative Signal Strength
3.3. Acoustic Emission—Waveform Features
3.4. Acoustic Emission—Peak Frequency Classification
3.5. Acoustic Emission—Other AE Features
4. Conclusions
Author Contributions
Funding
Acknowledgments
Conflicts of Interest
References
- Masuelli, M.A. Introduction of fibre-reinforced polymers—Polymers and composites: Concepts, properties and processes. In Fiber Reinforced Polymers—The Technology Applied for Concrete Repair; Masuelli, M.A., Ed.; IntechOpen: London, UK, 2013; pp. 3–40. [Google Scholar]
- Mertiny, P. Leakage failure in fibre-reinforced polymer composite tubular vessels at elevated temperature. Polym. Test 2012, 31, 25–30. [Google Scholar] [CrossRef]
- Simonen, F.A. Pressure vessels and piping systems: Reliability, risk and safety assessment. In Ancillary Equipment and Electrical Equipment; EOLSS Publications: Abu Dhabi, United Arab Emirates, 2010; Volume 1, Available online: http://www.desware.net/sample-chapters/d09/e6-165-07-00.pdf (accessed on 20 November 2021).
- Scott, I.G.; Scala, C.M. A review of non-destructive testing of composite materials. NDT Int. 1982, 15, 75–86. [Google Scholar] [CrossRef]
- Wevers, M.; Lambrighs, K. Applications of acoustic emission for SHM: A review. In Encyclopedia of Structural Health Monitoring; Boller, C., Ed.; John Wiley & Sons, Ltd.: Chichester, UK, 2009; Available online: https://onlinelibrary.wiley.com/doi/epdf/10.1002/9780470061626.shm011 (accessed on 20 November 2021).
- Eitzen, D.G.; Wadley, H.N.G. Acoustic emission: Establishing the fundamentals. J. Res. Nat. Bur. Stand. 1984, 89, 75–100. [Google Scholar] [CrossRef] [PubMed]
- Liu, Z.; Kleiner, Y. State-of-the-art review of technologies for pipe structural health monitoring. IEEE Sens. J. 2012, 12, 1987–1992. [Google Scholar] [CrossRef]
- Mukhopadhyay, C.K.; Jayakumar, T.; Haneef, T.K.; Suresh Kumar, S.; Rao, B.P.C.; Goyal, S.; Gupta, S.K.; Bhasin, V.; Vishnuvardhan, S.; Raghava, G.; et al. Use of acoustic emission and ultrasonic techniques for monitoring crack initiation/growth during ratcheting studies on 304LN stainless steel straight pipe. Int. J. Pres. Ves. Pip. 2014, 116, 27–36. [Google Scholar] [CrossRef]
- Ono, K.; Gallego, A. Research and applications of AE on advanced composites. In Proceedings of the 30th European Conference on Acoustic Emission Testing & 7th International Conference on Acoustic Emission, Granada, Spain, 12–15 September 2012; NDT.net: Bad Breisig, Germany. [Google Scholar]
- Collins, D.J. Damage Detection in Composite Materials Using Acoustic Emission and Self-Sensing Fibres. Ph.D. Thesis, University of Birmingham, Birmingham, UK, 2010. [Google Scholar]
- Ni, Q.Q.; Iwamoto, M. Wavelet transform of acoustic emission signals in failure of model composites. Eng. Fract. Mech. 2002, 69, 717–728. [Google Scholar] [CrossRef]
- de Groot, P.J.; Wijnen, P.A.M.; Janssen, R.B.F. Real-time frequency determination of acoustic emission for different fracture mechanisms in carbon/epoxy composites. Compos. Sci. Technol. 1995, 55, 405–412. [Google Scholar] [CrossRef]
- Ramirez-Jimenez, C.R.; Papadakis, N.; Reynolds, N.; Gan, T.H.; Purnell, P.; Pharaoh, M. Identification of failure modes in glass/polypropylene composites by means of the primary frequency content of the acoustic emission event. Compos. Sci. Technol. 2004, 64, 1819–1827. [Google Scholar] [CrossRef]
- Amenabar, I.; Mendikute, A.; López-arraiza, A.; Lizaranzu, M.; Aurrekoetxea, J. Comparison and analysis of non-destructive testing techniques suitable for delamination inspection in wind turbine blades. Compos. Part B-Eng. 2011, 42, 1298–1305. [Google Scholar] [CrossRef]
- Nikbakht, M.; Yousefi, J.; Hosseini-Toudeshky, H.; Minak, G. Delamination evaluation of composite laminates with different interface fiber orientations using acoustic emission features and micro visualization. Compos. Part B-Eng. 2017, 113, 185–196. [Google Scholar] [CrossRef]
- Fotouhi, M.; Heidary, H.; Ahmadi, M. Characterization of composite materials damage under quasi-static three-point bending test using wavelet and fuzzy C-means clustering. J. Compos. Mater. 2012, 46, 1795–1808. [Google Scholar] [CrossRef]
- Zhou, W.; Zhao, W.; Zhang, Y.; Ding, Z. Cluster analysis of acoustic emission signals and deformation measurement for delaminated glass fiber epoxy composites. Compos. Struct. 2018, 195, 349–358. [Google Scholar] [CrossRef]
- Beheshtizadeh, N.; Mostafapour, A.; Davoodi, S. Three point bending test of glass/epoxy composite health monitoring by acoustic emission. Alex Eng. J. 2019, 58, 567–578. [Google Scholar] [CrossRef]
- Liu, P.; Yang, J.; Peng, X. Delamination analysis of carbon fiber composites under hygrothermal environment using acoustic emission. J. Compos. Mater. 2017, 51, 1157–1571. [Google Scholar] [CrossRef]
- Gutkin, R.; Green, C.J.; Vangrattanachai, S.; Pinho, S.T.; Robinson, P.; Curtis, P.T. On acoustic emission for failure investigation in CFRP: Pattern recognition and peak frequency analyses. Mech. Syst. Signal. Pr. 2011, 25, 1393–1407. [Google Scholar] [CrossRef]
- Shateri, M.; Ghaib, M.; Svecova, D.; Thomson, D. On acoustic emission for damage detection and failure prediction in fiber reinforced polymer rods using pattern recognition analysis. Smart Mater. Struct. 2017, 26, 065023. [Google Scholar] [CrossRef]
- Sikdar, S.; Mirgal, P.; Banerjee, S.; Ostachowicz, W. Damage-induced acoustic emission source monitoring in a honeycomb sandwich composite structure. Compos. Part B-Eng. 2019, 158, 179–188. [Google Scholar] [CrossRef]
- Momon, S.; Godin, N.; Reynaud, P.; R’Mili, M.; Fantozzi, G. Unsupervised and supervised classification of AE data collected during fatigue test on CMC at high temperature. Compos. Part A-Appl. S 2012, 43, 254–260. [Google Scholar] [CrossRef]
- Das, A.K.; Suthar, D.; Leung, C.K.Y. Machine learning based crack mode classification from unlabeled acoustic emission waveform features. Cement. Concrete. Res. 2019, 121, 42–57. [Google Scholar] [CrossRef]
- Chandarana, N.; Martinez-Sanchez, D.; Soutis, C.; Gresil, M. Early damage detection in composites by distributed strain and acoustic event monitoring. Procedia Eng. 2017, 188, 88–95. [Google Scholar] [CrossRef]
- Barile, C.; Casavola, C.; Pappalettera, G. Damage assessment of carbon fibre reinforced plastic using acoustic emission technique: Experimental and numerical approach. Struct. Health Monit. 2020, 20, 1090–1101. [Google Scholar] [CrossRef]
- Oz, F.E.; Ersoy, N.; Lomov, S.V. Do high frequency acoustic emission events always represent fibre failure in CFRP laminates? Compos. Part A Appl. Sci. Manuf. 2017, 103, 230–235. [Google Scholar] [CrossRef]
- Saeedifar, M.; Zarouchas, D. Damage characterization of laminated composites using acoustic emission: A review. Compos. Part B 2020, 195, 108039. [Google Scholar] [CrossRef]
- Barile, C.; Casavola, C.; Pappalettera, G. Application of different acoustic emission descriptors in damage assessment of fiber reinforced plastics: A comprehensive review. Eng. Fract. Mech. 2020, 235, 107083. [Google Scholar] [CrossRef]
- ASTM D7264; Standard Test Method for Flexural Properties of Polymer Matrix Composite Materials. ASTM International: West Conshohocken, PA, USA, 2007.
- ASTM D2584; Standard Test Method for Ignition Loss of Cured Reinforced Resin. ASTM International: West Conshohocken, PA, USA, 2011.
- Gillis, P.P. Dislocation Motions and Acoustic Emissions; Liptai, R., Harris, D., Tatro, C., Eds.; ASTM International: West Conshohocken, PA, USA, 1972. [Google Scholar]
- Ali, H.Q.; Tabrizi, I.E.; Khan, R.M.A.; Tufani, A.; Yildiz, M. Microscopic analysis of failure in woven carbon fabric laminates coupled with digital image correlation and acoustic emission. Compos. Struct. 2019, 230, 111515. [Google Scholar] [CrossRef]
- Alia, A.; Fantozzi, G.; Godin, N.; Osmani, H.; Reynaud, P. Mechanical behaviour of jute fibre-reinforced polyester composite: Characterization of damage mechanisms using acoustic emission and microstructural observations. J. Compos. Mater. 2019, 53, 3377–3394. [Google Scholar] [CrossRef]
- Wolff-fabris, F.; Starzynski, K.; Altst, V. Identification of failure mechanisms of metallised glass Fi bre reinforced composites under tensile loading using acoustic emission analysis. Compos. Part B Eng. 2015, 81, 1–13. [Google Scholar]
- Tabrizi, I.E.; Kefal, A.; Seyyed, J.; Zanjani, M.; Akalin, C.; Yildiz, M. Experimental and numerical investigation on fracture behavior of glass/carbon fiber hybrid composites using acoustic emission method and refined Zigzag theory. Compos. Struct. 2019, 223, 110971. [Google Scholar] [CrossRef]
- Bohmann, T.; Schlamp, M.; Ehrlich, I. Acoustic emission of material damages in glass fibre-reinforced plastics. Compos. Part B Eng. 2018, 155, 444–451. [Google Scholar] [CrossRef]
- Kalteremidou, K.; Murray, B.R.; Tsangouri, E.; Aggelis, D.G.; Hemelrijck, D.V.; Pyl, L. Multiaxial damage characterization of carbon/epoxy angle-ply laminates under static tension by combining in situ microscopy with acoustic emission. Appl. Sci. 2018, 8, 2021. [Google Scholar] [CrossRef] [Green Version]
- Aggelis, D.G.; Barkoula, N.; Matikas, T.E.; Paipetis, A.S. Acoustic structural health monitoring of composite materials: Damage identification and evaluation in cross ply laminates using acoustic emission and ultrasonics. Compos. Sci. Technol. 2012, 72, 1127–1133. [Google Scholar] [CrossRef]

















| Literature | Fiber/Matrix Type | Frequency Range for Each Failure Mode (kHz) | |||
|---|---|---|---|---|---|
| Matrix Cracking | Fiber-Matrix Debonding | Delamination | Fiber Breakage | ||
| [14] | GF/polyester | 100–150 | 150–250 | <120 | 350–500 |
| [15] | GF/epoxy | 50–200 | - | - | - |
| [13] | GF/polypropylene | - | 90–110 | - | 420–540 |
| [16] | GF/epoxy | 100–190 | - | 200–320 | 380–430 |
| [17] | GF/epoxy | <60 | - | 200–320 | 380–430 |
| [18] | GF/epoxy | 62.5–125 | 125–187.5 | - | 187.5–250 |
| [12] | CF/epoxy | 50–180 | 220–300 | 220–300 | 300–530 |
| [19] | CF/epoxy | 80–130 | 160–190 | 130–160 | 190–330 |
| [20] | CF/epoxy | <50 | 50–150 | 200–300 | 400–500 |
| Specimen # | Length (mm) | Mid-Span Width (mm) | Mid-Span Thickness (mm) | Fiber Volume Fraction (%) |
|---|---|---|---|---|
| 1 | 212.7 | 24.1 | 4.5 | 12.5 |
| 2 | 212.7 | 23.3 | 4.6 | 12.5 |
| 3 | 212.7 | 24.6 | 4.7 | 12.5 |
| 4 | 212.7 | 28.6 | 4.8 | 12.5 |
| 5 | 330.2 | 20.3 | 8.5 | 15.0 |
| 6 | 330.2 | 20.2 | 9.1 | 15.0 |
| 7 | 330.2 | 20.3 | 8.6 | 15.0 |
| 8 | 330.2 | 20.3 | 8.5 | 15.0 |
| 9 | 330.2 | 20.3 | 8.9 | 15.0 |
Publisher’s Note: MDPI stays neutral with regard to jurisdictional claims in published maps and institutional affiliations. |
© 2022 by the authors. Licensee MDPI, Basel, Switzerland. This article is an open access article distributed under the terms and conditions of the Creative Commons Attribution (CC BY) license (https://creativecommons.org/licenses/by/4.0/).
Share and Cite
Nazaripoor, H.; Ashrafizadeh, H.; Schultz, R.; Runka, J.; Mertiny, P. Acoustic Emission Damage Detection during Three-Point Bend Testing of Short Glass Fiber Reinforced Composite Panels: Integrity Assessment. J. Compos. Sci. 2022, 6, 48. https://doi.org/10.3390/jcs6020048
Nazaripoor H, Ashrafizadeh H, Schultz R, Runka J, Mertiny P. Acoustic Emission Damage Detection during Three-Point Bend Testing of Short Glass Fiber Reinforced Composite Panels: Integrity Assessment. Journal of Composites Science. 2022; 6(2):48. https://doi.org/10.3390/jcs6020048
Chicago/Turabian StyleNazaripoor, Hadi, Hossein Ashrafizadeh, Ryan Schultz, Joel Runka, and Pierre Mertiny. 2022. "Acoustic Emission Damage Detection during Three-Point Bend Testing of Short Glass Fiber Reinforced Composite Panels: Integrity Assessment" Journal of Composites Science 6, no. 2: 48. https://doi.org/10.3390/jcs6020048
APA StyleNazaripoor, H., Ashrafizadeh, H., Schultz, R., Runka, J., & Mertiny, P. (2022). Acoustic Emission Damage Detection during Three-Point Bend Testing of Short Glass Fiber Reinforced Composite Panels: Integrity Assessment. Journal of Composites Science, 6(2), 48. https://doi.org/10.3390/jcs6020048

