Hydroxyapatite-Based Magnetic Bionanocomposite as Pharmaceuticals Carriers in Chitosan Scaffolds
Abstract
1. Introduction
2. Materials and Methods
2.1. Materials
2.2. Synthesis of Fe3O4 Nanoparticles
2.3. HA Synthesis via Hydrothermal Treatment
2.4. Composite Synthesis Fe3O4—HA
2.5. Surface Modification of Fe3O4—HA with Oleic acid (Fe3O4—HA@OA)
2.6. Simvastatin Adsorption on the Surface of Fe3O4—HA@OA
2.7. Preparation of Chitosan Scaffolds with Fe3O4—HA@OA-SIMV
2.8. Characterizations
3. Results and Discussion
3.1. Structural Characterization
3.1.1. XRD and FTIR Analysis
3.1.2. Magnetization Measurements
3.1.3. TEM
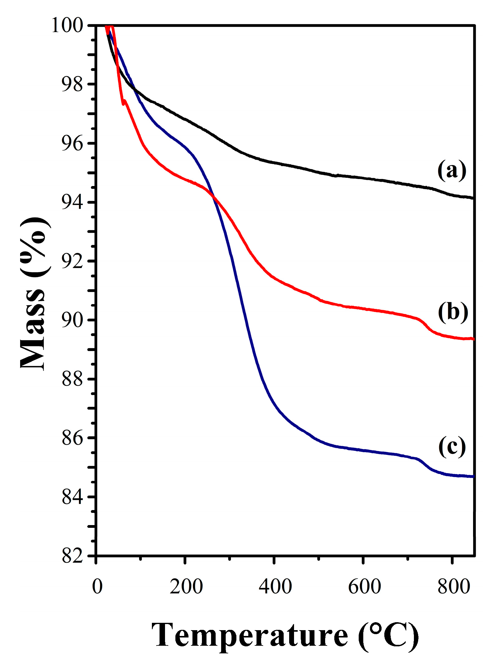
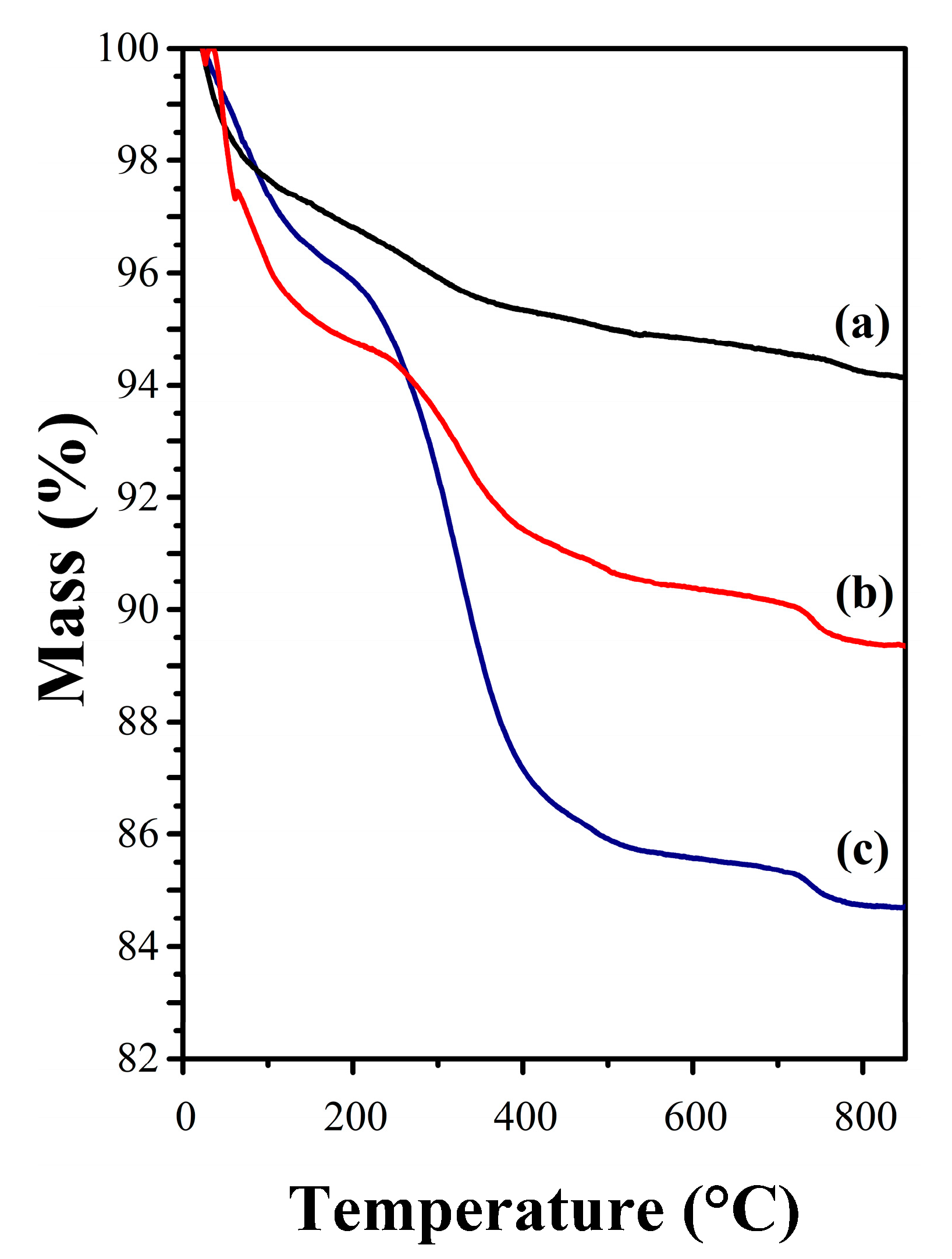
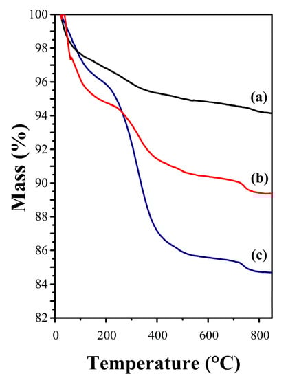
3.1.4. Thermal Analysis
3.2. Chitosan Bionanocomposite
4. Conclusions
Author Contributions
Funding
Acknowledgments
Conflicts of Interest
References
- Zhou, Y.; Wu, C.; Chang, J. Bioceramics to regulate stem cells and their microenvironment for tissue regeneration. Mater. Today 2019, 24, 41–56. [Google Scholar] [CrossRef]
- Meng, D.; Dong, L.; Yuan, Y.; Jiang, Q. In vitro and in vivo analysis of the biocompatibility of two novel and injectable calcium phosphate cements. Regen. Biomater. 2018, 6, 13–19. [Google Scholar] [CrossRef] [PubMed]
- Zhao, C.; Wu, C.; Chang, J. Advances in synthesis of calcium phosphate crystals with controlled size and shape. Acta Biomater. 2014, 10, 4071–4102. [Google Scholar] [CrossRef]
- Moura, N.K.D.; Siqueira, I.A.; Machado, J.P.D.B.; Kido, H.W.; Avanzi, I.R.; Rennó, A.C.M.; Trichês, E.D.S.; Passador, F.R. Production and Characterization of Porous Polymeric Membranes of PLA/PCL Blends with the Addition of Hydroxyapatite. J. Compos. Sci. 2019, 3, 45. [Google Scholar] [CrossRef]
- Pietrzykowska, E.; Romelczyk, B.; Wojnarowicz, J.; Sokolova, M.; Szlązak, K.; Święszkowski, W.; Locs, J.; Lojkowski, W. Preparation of a Ceramic Matrix Composite Made of Hydroxyapatite Nanoparticles and Polylactic Acid by Consolidation of Composite Granules. Nanomaterials 2020, 10, 1060. [Google Scholar] [CrossRef] [PubMed]
- Martinelli, N.M.; Ribeiro, M.J.G.; Ricci, R.; Marques, M.A.; Lobo, A.O.; Marciano, F. In Vitro Osteogenesis Stimulation via Nano-Hydroxyapatite/Carbon Nanotube Thin Films on Biomedical Stainless Steel. Materials 2018, 11, 1555. [Google Scholar]
- Zakrzewski, W.; Dobrzyński, M.; Rybak, Z.; Szymonowicz, M.K.; Wiglusz, R.J. Selected Nanomaterials’ Application Enhanced with the Use of Stem Cells in Acceleration of Alveolar Bone Regeneration during Augmentation Process. Nanomaterials 2020, 10, 1216. [Google Scholar] [CrossRef]
- Jiang, P.; Zhang, Y.; Hu, R.; Wang, X.; Lai, Y.; Rui, G.; Lin, C. Hydroxyapatite-modified micro/nanostructured titania surfaces with different crystalline phases for osteoblast regulation. Bioact. Mater. 2021, 6, 1118–1129. [Google Scholar] [CrossRef]
- Moise, S.; Céspedes, E.; Soukup, D.; Byrne, J.; El Haj, A.J.; Telling, N.D. The cellular magnetic response and biocompatibility of biogenic zinc- and cobalt-doped magnetite nanoparticles. Sci. Rep. 2017, 7, 39922. [Google Scholar] [CrossRef]
- Samrot, A.V.; Sahithya, C.S.; Selvarani A, J.; Purayil, S.K.; Ponnaiah, P. A review on synthesis, characterization and potential biological applications of superparamagnetic iron oxide nanoparticles. Curr. Res. Green Sustain. Chem. 2021, 4, 100042. [Google Scholar] [CrossRef]
- Tufani, A.; Qureshi, A.; Niazi, J.H. Iron oxide nanoparticles based magnetic luminescent quantum dots (MQDs) synthesis and biomedical/biological applications: A review. Mater. Sci. Eng. C 2020, 118, 111545. [Google Scholar] [CrossRef] [PubMed]
- Gawali, S.L.; Shelar, S.B.; Gupta, J.; Barick, K.; Hassan, P. Immobilization of protein on Fe3O4 nanoparticles for magnetic hyperthermia application. Int. J. Biol. Macromol. 2021, 166, 851–860. [Google Scholar] [CrossRef] [PubMed]
- Mohammadi, M.; Aghaei, F.P. Magnetite Fe3O4 surface as an effective drug delivery system for cancer treatment drugs: Density functional theory study. J. Biomol. Struct. Dyn. 2020. [Google Scholar] [CrossRef] [PubMed]
- Xia, Y.; Chen, H.; Zhao, Y.; Zhang, F.; Li, X.; Wang, L.; Weir, M.D.; Ma, J.; Reynolds, M.A.; Gu, N.; et al. Novel magnetic calcium phosphate-stem cell construct with magnetic field enhances osteogenic differentiation and bone tissue engineering. Mater. Sci. Eng. C 2019, 98, 30–41. [Google Scholar] [CrossRef] [PubMed]
- Vangijzegem, T.; Stanicki, D.; Laurent, S. Magnetic iron oxide nanoparticles for drug delivery: Applications and characteristics. Expert Opin. Drug Deliv. 2019, 16, 69–78. [Google Scholar] [CrossRef]
- Yan, Y.; Zhang, Y.; Zuo, Y.; Zou, Q.; Li, J.; Huang, J. Development of Fe3O4–HA/PU superparamagnetic composite porous scaffolds for bone repair application. Mater. Lett. 2018, 212, 303–306. [Google Scholar] [CrossRef]
- Ribeiro, V.; Barreto, A.; DeNardin, J.C.; Mele, G.; Carbone, L.; Mazzetto, S.; Sousa, E.M.B.; Fechine, P.B. Magnetic nanoparticles coated with anacardic acid derived from cashew nut shell liquid. J. Mater. Sci. 2013, 48, 7875–7882. [Google Scholar] [CrossRef]
- Fan, D.; Wang, Q.; Zhu, T.; Wang, H.; Liu, B.; Wang, Y.; Liu, Z.; Liu, X.; Fan, D.; Wang, X. Recent Advances of Magnetic Nanomaterials in Bone Tissue Repair. Front. Chem. 2020, 8, 745. [Google Scholar] [CrossRef]
- Jafari, M.; Paknejad, Z.; Rad, M.R.; Motamedian, S.R.; Eghbal, M.J.; Nadjmi, N.; Khojasteh, A. Polymeric scaffolds in tissue engineering: A literature review. J. Biomed. Mater. Res. Part B Appl. Biomater. 2017, 105, 431–459. [Google Scholar] [CrossRef]
- Li, M.; Liu, J.; Cui, X.; Sun, G.; Hu, J.; Xu, S.; Yang, F.; Zhang, L.; Wang, X.; Tang, P. Osteogenesis effects of magnetic nanoparticles modified-porous scaffolds for the reconstruction of bone defect after bone tumor resection. Regen. Biomater. 2019, 6, 373–381. [Google Scholar] [CrossRef]
- Cruz, R.; Pesce, G.; Calasans-Maia, J.D.A.; Moraschini, V.; Calasans-Maia, M.D.; Granjeiro, J.M. Calcium Phosphate Carrying Simvastatin Enhances Bone Regeneration: A Systematic Review. Braz. Dent. J. 2020, 31, 93–102. [Google Scholar] [CrossRef] [PubMed]
- Sun, T.-W.; Yu, W.-L.; Qi, C.; Chen, F.; Zhu, Y.; He, Y. Multifunctional simvastatin-loaded porous hydroxyapatite microspheres/collagen composite scaffold for sustained drug release, angiogenesis and osteogenesis. J. Control. Release 2017, 259, e130. [Google Scholar] [CrossRef]
- Yu, W.-L.; Sun, T.-W.; Qi, C.; Zhao, H.-K.; Ding, Z.-Y.; Zhang, Z.-W.; Sun, B.-B.; Shen, J.; Chen, F.; Zhu, Y.; et al. Enhanced osteogenesis and angiogenesis by mesoporous hydroxyapatite microspheres-derived simvastatin sustained release system for superior bone regeneration. Sci. Rep. 2017, 7, 44129. [Google Scholar] [CrossRef] [PubMed]
- Barreto, A.; Santiago, V.R.; Mazzetto, S.; DeNardin, J.C.; Lavín, R.; Mele, G.; Ribeiro, M.E.N.P.; Vieira, I.G.P.; Gonçalves, T.; Ricardo, N.M.P.S.; et al. Magnetic nanoparticles for a new drug delivery system to control quercetin releasing for cancer chemotherapy. J. Nanoparticle Res. 2011, 13, 6545–6553. [Google Scholar] [CrossRef]
- Wang, L.; Weng, L.; Wang, L.; Song, S. Hydrothermal synthesis of hydroxyapatite nanoparticles with various counterions as templates. J. Ceram. Soc. Jpn. 2010, 118, 1195–1198. [Google Scholar] [CrossRef][Green Version]
- Panseri, S.; Cunha, C.; D’Alessandro, T.; Sandri, M.; Russo, A.; Giavaresi, G.; Marcacci, M.; Hung, C.T.; Tampieri, A. Magnetic Hydroxyapatite Bone Substitutes to Enhance Tissue Regeneration: Evaluation In Vitro Using Osteoblast-Like Cells and In Vivo in a Bone Defect. PLoS ONE 2012, 7, e38710. [Google Scholar] [CrossRef]
- Rodríguez-Vázquez, M.; Vega-Ruiz, B.; Ramos-Zúñiga, R.; Saldaña-Koppel, D.A.; Quiñones-Olvera, L.F. Chitosan and Its Potential Use as a Scaffold for Tissue Engineering in Regenerative Medicine. BioMed Res. Int. 2015, 2015, 1–15. [Google Scholar] [CrossRef]
- Rietveld, H.M. Line profiles of neutron powder-diffraction peaks for structure refinement. Acta Crystallogr. 1967, 22, 151–152. [Google Scholar] [CrossRef]
- Bleicher, L.; Sasaki, J.M.; Santos, C.O.P. Development of a graphical interface for the Rietveld refinement program DBWS. J. Appl. Crystallogr. 2000, 33, 1189. [Google Scholar] [CrossRef]
- Cheng, G.; Zhang, Y.; Yin, H.; Ruan, Y.; Sun, Y.; Lin, K. Effects of strontium substitution on the structural distortion of hydroxyapatite by rietveld refinement and Raman Spectroscopy. Ceram. Int. 2019, 45, 11073–11078. [Google Scholar] [CrossRef]
- Pereira, G.F.L.; Costa, F.N.; Souza, J.A.; Haddad, P.S.; Ferreira, F.F. Parametric Rietveld refinement and magnetic characterization of superparamagnetic iron oxide nanoparticles. J. Magn. Magn. Mater. 2018, 456, 108–117. [Google Scholar] [CrossRef]
- Neto, D.A.; Carvalho, E.; Rodrigues, E.; Feitosa, V.P.; Sauro, S.; Mele, G.; Carbone, L.; Mazzetto, S.; Rodrigues, L.; Fechine, P.B. Novel hydroxyapatite nanorods improve anti-caries efficacy of enamel infiltrants. Dent. Mater. 2016, 32, 784–793. [Google Scholar] [CrossRef] [PubMed]
- Taufiq, A.; Nikmah, A.; Hidayat, A.; Sunaryono, S.; Mufti, N.; Hidayat, N.; Susanto, H. Synthesis of magnetite/silica nanocomposites from natural sand to create a drug delivery vehicle. Heliyon 2020, 6, e03784. [Google Scholar] [CrossRef] [PubMed]
- Freire, T.M.; Fechine, L.M.U.D.; Queiroz, D.; Freire, R.M.; DeNardin, J.C.; Ricardo, N.M.P.S.; Rodrigues, T.N.B.; Gondim, D.R.; Silva, I.J.; Fechine, P.B. Magnetic Porous Controlled Fe3O4–Chitosan Nanostructure: An Ecofriendly Adsorbent for Efficient Removal of Azo Dyes. Nanomaterials 2020, 10, 1194. [Google Scholar] [CrossRef] [PubMed]
- Miranda, M.; Torrecillas, R.; Fernández, A. Reactivity of Ca and P precursors to form hydroxyapatite and its influence on the properties of the obtained powders. Ceram. Int. 2020, 46, 27860–27865. [Google Scholar] [CrossRef]
- Daryan, S.H.; Khavandi, A.; Javadpour, J. Surface engineered hollow hydroxyapatite microspheres: Hydrothermal synthesis and growth mechanisms. Solid State Sci. 2020, 106, 106301. [Google Scholar] [CrossRef]
- Wierzbinski, K.R.; Szymanski, T.; Rozwadowska, N.; Rybka, J.D.; Zimna, A.; Zalewski, T.; Nowicka-Bauer, K.; Malcher, A.; Nowaczyk, M.; Krupinski, M.; et al. Potential use of superparamagnetic iron oxide nanoparticles for in vitro and in vivo bioimaging of human myoblasts. Sci. Rep. 2018, 8, 1–17. [Google Scholar] [CrossRef]
- Neto, D.M.A.; Freire, R.M.; Gallo, J.; Freire, T.M.; Queiroz, D.C.; Ricardo, N.M.P.S.; Vasconcelos, I.F.; Mele, G.; Carbone, L.; Mazzetto, S.E.; et al. Rapid Sonochemical Approach Produces Functionalized Fe3O4 Nanoparticles with Excellent Magnetic, Colloidal, and Relaxivity Properties for MRI Application. J. Phys. Chem. C 2017, 121, 24206–24222. [Google Scholar] [CrossRef]
- De Menezes, F.L.; Andrade Neto, D.M.; Rodrigues, M.D.L.L.; Lima, H.L.S.; Paiva, D.V.M.; da Silva, M.A.S.; Fechine, L.M.U.D.; Sombra, A.S.B.; Freire, R.M.; Denardin, J.C.; et al. From Magneto-Dielectric Biocomposite Films to Microstrip Antenna Devices. J. Compo. Sci. 2020, 4, 144. [Google Scholar] [CrossRef]
- Auric, P.; Van Dang, N.; Bandyopadhyay, A.; Zarzycki, J. Superparamagnetism and ferrimagnetism of the small particles of magnetite in a silicate matrix. J. Non-Crystalline Solids 1982, 50, 97–106. [Google Scholar] [CrossRef]
- De Carvalho, J.; Medeiros, S.N.; Morales, M.; Dantas, A.L.; Carriço, A. Synthesis of magnetite nanoparticles by high energy ball milling. Appl. Surf. Sci. 2013, 275, 84–87. [Google Scholar] [CrossRef]
- Lu, T.; Wang, J.; Yin, J.; Wang, A.; Wang, X.; Zhang, T. Surfactant effects on the microstructures of Fe3O4 nanoparticles synthesized by microemulsion method. Colloids Surfaces A Physicochem. Eng. Asp. 2013, 436, 675–683. [Google Scholar] [CrossRef]
- Kolen’Ko, Y.V.; Bañobre-López, M.; Rodríguez-Abreu, C.; Carbó-Argibay, E.; Sailsman, A.; Piñeiro-Redondo, Y.; Cerqueira, M.F.; Petrovykh, D.Y.; Kovnir, K.; Lebedev, O.I.; et al. Large-Scale Synthesis of Colloidal Fe3O4 Nanoparticles Exhibiting High Heating Efficiency in Magnetic Hyperthermia. J. Phys. Chem. C 2014, 118, 8691–8701. [Google Scholar] [CrossRef]
- Oliveira, M.A.D.; Yoshida, M.I.; Lima Gomes, E.C.D. Análise térmica aplicada a fármacos e formulações farmacêuticas na indústria farmacêutica. Química Nova 2011, 34, 1224–1230. [Google Scholar] [CrossRef]
- Williams, M. The Merck Index: An Encyclopedia of Chemicals, Drugs, and Biologicals, 15th ed.; O’Neil, M.J., Ed.; Royal Society of Chemistry: Cambridge, UK, 2013; Volume 74, p. 339. ISBN 9781849736701. [Google Scholar]
- Arayne, M.S.; Sultana, N.; Haroon, U.; Zaidi, B. In Vitro Evidences for Simvastatin and Losartan Potassium Interaction and its in vivo Implications. J. Chil. Chem. Soc. 2009, 54, 432–436. [Google Scholar] [CrossRef]
- Goldberg, M.A.; Protsenko, P.; Smirnov, V.; Antonova, O.; Konovalov, A.; Vorckachev, K.; Kudryavtsev, E.; Barinov, S.; Komlev, V. The enhancement of hydroxyapatite thermal stability by Al doping. J. Mater. Res. Technol. 2020, 9, 76–88. [Google Scholar] [CrossRef]
- Fréty, R.; Santos, M.R.; Sales, R.F.; Silva, A.O.; Barbosa, C.B.M.; Pacheco, J.G. Flash Pyrolysis of Oleic Acid as a Model Compound Adsorbed on Supported Nickel Catalysts for Biofuel Production. J. Braz. Chem. Soc. 2014, 25, 2433–2443. [Google Scholar] [CrossRef]







| Sample | Crystalline Phase | Mass (%) | Lattice Parameters | Rwp (%) | S | V(Å3) | Density (g·cm–3) | Width (nm) | ||
|---|---|---|---|---|---|---|---|---|---|---|
| a (Å) | b (Å) | c (Å) | ||||||||
| HA | Ca10(PO4)6(OH)2 | 100 | 9.4713 | 9.4713 | 6.8669 | 13.81 | 1.89 | 533.484 | 3.122 | 18.37 (±0.39) |
| Fe3O4 | Fe3O4 | 100 | 8.3615 | 8.3615 | 8.3615 | 14.91 | 0.91 | 548.598 | 5.263 | 15.5 (±0.32) |
| Fe3O4-HA | Ca10(PO4)6(OH)2 | 93.7 | 9.4439 | 9.4439 | 6.8769 | 11.16 | 1.48 | 531.175 | 3.135 | 18.37 (±0.34) |
| Fe3O4 | 6.3 | 8.3562 | 8.3562 | 8.3562 | 583.496 | 5.273 | 22.53 (±0.74) | |||
Publisher’s Note: MDPI stays neutral with regard to jurisdictional claims in published maps and institutional affiliations. |
© 2021 by the authors. Licensee MDPI, Basel, Switzerland. This article is an open access article distributed under the terms and conditions of the Creative Commons Attribution (CC BY) license (http://creativecommons.org/licenses/by/4.0/).
Share and Cite
Chaves, A.V.; Freire, R.M.; Feitosa, V.P.; Ricardo, N.M.P.S.; Denardin, J.C.; Andrade Neto, D.M.; Fechine, P.B.A. Hydroxyapatite-Based Magnetic Bionanocomposite as Pharmaceuticals Carriers in Chitosan Scaffolds. J. Compos. Sci. 2021, 5, 37. https://doi.org/10.3390/jcs5020037
Chaves AV, Freire RM, Feitosa VP, Ricardo NMPS, Denardin JC, Andrade Neto DM, Fechine PBA. Hydroxyapatite-Based Magnetic Bionanocomposite as Pharmaceuticals Carriers in Chitosan Scaffolds. Journal of Composites Science. 2021; 5(2):37. https://doi.org/10.3390/jcs5020037
Chicago/Turabian StyleChaves, Anderson Valério, Rafael Melo Freire, Victor Pinheiro Feitosa, Nágila Maria Pontes Silva Ricardo, Juliano Casagrande Denardin, Davino Machado Andrade Neto, and Pierre Basílio Almeida Fechine. 2021. "Hydroxyapatite-Based Magnetic Bionanocomposite as Pharmaceuticals Carriers in Chitosan Scaffolds" Journal of Composites Science 5, no. 2: 37. https://doi.org/10.3390/jcs5020037
APA StyleChaves, A. V., Freire, R. M., Feitosa, V. P., Ricardo, N. M. P. S., Denardin, J. C., Andrade Neto, D. M., & Fechine, P. B. A. (2021). Hydroxyapatite-Based Magnetic Bionanocomposite as Pharmaceuticals Carriers in Chitosan Scaffolds. Journal of Composites Science, 5(2), 37. https://doi.org/10.3390/jcs5020037

