Precipitation, Deformation, and Superplastic Behavior of Novel Crossover Al-Zn-Mg-Cu-Y(Er)-Zr-Cr-Ti-Fe-Si Alloys
Abstract
1. Introduction
2. Materials and Methods
3. Results and Discussion
3.1. Precipitation Behavior
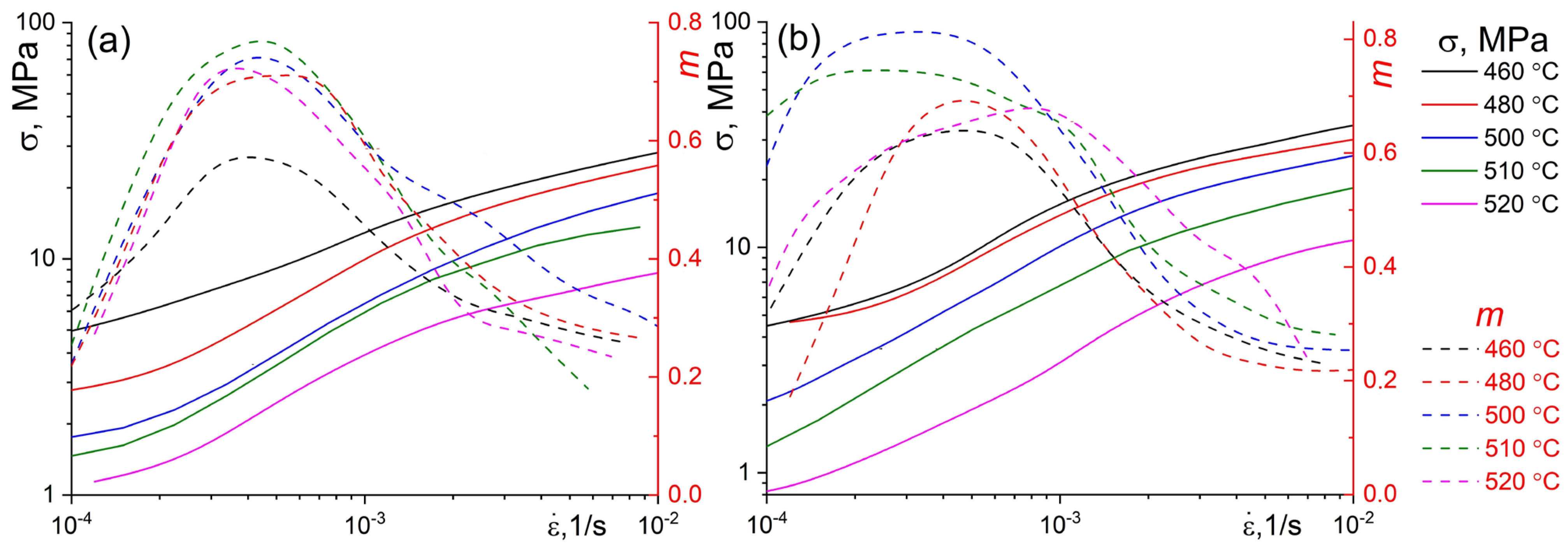
3.2. Deformation Behavior and Processing Maps
3.3. Superplastic Behavior
4. Conclusions
Author Contributions
Funding
Data Availability Statement
Acknowledgments
Conflicts of Interest
References
- ASM International Handbook Committee. Properties and selection–nonferrous alloys and special-purpose materials. In ASM Handbook; ASM International: Metals Park, OH, USA, 2001; Volume 2, ISBN 0871700077. [Google Scholar]
- Zolotorevsky, V.S.; Belov, N.A.; Glazoff, M.V. Casting Aluminum Alloys; Elsevier: Amsterdam, The Netherlands, 2007; ISBN 9780080453705. [Google Scholar]
- Shen, W.; Hu, A.; Liu, S.; Hu, H. Al-Mn alloys for electrical applications: A review. J. Alloys Metall. Syst. 2023, 2, 100008. [Google Scholar] [CrossRef]
- Li, F.; Zhang, W.; Kooi, B.J.; Pei, Y. Eutectic aluminum alloys fabricated by additive manufacturing: A comprehensive review. J. Mater. Sci. Technol. 2025, 250, 123–164. [Google Scholar] [CrossRef]
- Cui, L.; Liu, K.; Chen, X.-G. Recent advances in cost-effective aluminum alloys with enhanced mechanical performance for high-temperature applications: A review. Mater. Des. 2025, 253, 113869. [Google Scholar] [CrossRef]
- Zhang, J.; Li, Q.; Liu, G.; Zhang, X.; Wang, K.; Hu, P. A new synergy to overcome the strength-ductility dilemma in Al-Si-Cu alloy by adding AlZrNiTi master alloy. Mater. Sci. Eng. A 2024, 915, 147213. [Google Scholar] [CrossRef]
- Zhu, C.; Guo, D.; Zhang, K.; Tzanakis, I.; Leung, C.L.A.; Lee, P.D.; Eskin, D. A New Approach to the Design of Al Alloys with Low Cracking Susceptibility and High-Temperature Strength for Cast and Additive Manufacturing. In Light Metals 2025; TMS 2025. The Minerals, Metals & Materials Series; Springer: Cham, Switzerland, 2025. [Google Scholar] [CrossRef]
- Amer, S.M.; Glavatskikh, M.V.; Barkov, R.Y.; Khomutov, M.G.; Pozdniakov, A.V. Phase composition and mechanical properties of Al-Si based alloys with Yb or Gd addition. Mater. Lett. 2022, 320, 132320. [Google Scholar] [CrossRef]
- Akopyan, T.K.; Belov, N.A.; Alabin, A.N.; Zlobin, G.S. Calculation-experimental study of the aging of casting high-strength Al-Zn-Mg-(Cu)-Ni-Fe aluminum alloys. Russ. Metall. 2014, 2014, 60–65. [Google Scholar] [CrossRef]
- Brodova, I.G.; Shirinkina, I.G.; Rasposienko, D.Y.; Akopyan, T.K. Structural Evolution in the Quenched Al–Zn–Mg–Fe–Ni Alloy during Severe Plastic Deformation and Annealing. Phys. Met. Metallogr. 2020, 121, 899–905. [Google Scholar] [CrossRef]
- Glavatskikh, M.V.; Konovalova, S.M.; Chubov, D.G.; Khomutov, M.G.; Barkov, R.Y.; Pozdniakov, A.V. Novel cast heat resistant crossover Al-Zn-Mg-Cu-Y-Zr-Cr alloy with improved corrosion and wear behavior, and low thermal expansion. J. Alloys Compd. 2025, 1033, 181286. [Google Scholar] [CrossRef]
- Pozdniakov, A.V.; Zolotorevskiy, V.S.; Mamzurina, O.I. Determining hot cracking index of Al–Mg–Zn casting alloys calculated using effective solidification range. Int. J. Cast Met. Res. 2015, 28, 318–321. [Google Scholar] [CrossRef]
- Zhang, J.; Han, B.; Shen, G.; Liu, M.; Jiang, L.; Xu, H.; Wang, Y.; Li, D.; Chao, Z.; Chen, G. Hot deformation behavior and microstructural evolution of a new type of 7xxx Al alloy. Mater. Today Commun. 2024, 41, 110218. [Google Scholar] [CrossRef]
- David, M.D.; Foley, R.D.; Griffin, J.A.; Monroe, C.A. Microstructural Characterization and Thermodynamic Simulation of Cast Al–Zn–Mg–Cu Alloys. Int. J. Met. 2016, 10, 2–20. [Google Scholar] [CrossRef]
- Akopyan, T.K.; Belov, N.A.; Letyagin, N.V.; Sviridova, T.A.; Cherkasov, S.O. New quaternary eutectic Al-Cu-Ca-Si system for designing precipitation hardening alloys. J. Alloys Compd. 2024, 993, 174695. [Google Scholar] [CrossRef]
- Wu, S.; Yang, C.; Zhang, P.; Xue, H.; Gao, Y.; Wang, Y.; Wang, R.; Zhang, J.; Liu, G.; Sun, J. Review of Sc microalloying effects in Al–Cu alloys. Int. J. Miner. Metall. Mater. 2024, 31, 1098–1114. [Google Scholar] [CrossRef]
- Akopyan, T.K.; Belov, N.A.; Sviridova, T.A.; Letyagin, N.V.; Solovev, I.S.; Cherkasov, S.O. New quaternary Al-Cu-Ca-Fe system utilizing iron for designing precipitation hardening alloys. J. Alloys Compd. 2025, 1036, 181731. [Google Scholar] [CrossRef]
- Amer, S.M.; Barkov, R.Y.; Prosviryakov, A.S.; Pozdniakov, A.V. Structure and Properties of New Wrought Al–Cu–Y- and Al–Cu–Er-Based Alloys. Phys. Metals Metallogr. 2021, 122, 915–922. [Google Scholar] [CrossRef]
- Raabe, D.; Tasan, C.C.; Olivetti, E.A. Strategies for improving the sustainability of structural metals. Nature 2019, 575, 64–74. [Google Scholar] [CrossRef] [PubMed]
- Stemper, L.; Tunes, M.A.; Tosone, R.; Uggowitzer, P.J.; Pogatscher, S. On the potential of aluminum crossover alloys. Prog. Mater. Sci. 2022, 124, 100873. [Google Scholar] [CrossRef]
- Zhang, Z.; Li, Y.; Li, H.; Zhang, D.; Zhang, J. Effect of high Cu concentration on the mechanical property and precipitation behavior of Al–Mg–Zn-(Cu) crossover alloys. J. Mater. Res. Technol. 2022, 20, 4585–4596. [Google Scholar] [CrossRef]
- Zhang, L.; Peng, G.; Gu, Y.; Chen, S.; Li, J. Composition optimization and mechanical properties of Al–Zn–Mg–Si–Mn crossover alloys by orthogonal design. Mater. Chem. Phys. 2023, 307, 128216. [Google Scholar] [CrossRef]
- Zhang, Z.; Li, Y.; Liu, Y.; Li, H.; Zhang, D.; Zhang, J. A novel Al-Mg-Zn(-Cu) crossover alloy with ultra-high strength. Mater. Lett. 2023, 347, 134640. [Google Scholar] [CrossRef]
- Zhang, X.; Yang, C.; Meng, L.; Chen, Z.; Gong, W.; Sun, B.; Zhao, S.; Zhang, D.; Li, Y.; Zhou, D. The influence of precipitation on plastic deformation in a high Mg-containing AlMgZn-based crossover alloy: Slip localization and strain hardening. Int. J. Plast. 2024, 173, 103896. [Google Scholar] [CrossRef]
- Trink, B.; Weißensteiner, I.; Uggowitzer, P.J.; Strobel, K.; Hofer-Roblyek, A.; Pogatscher, S. Processing and microstructure–property relations of Al-Mg-Si-Fe crossover alloys. Acta Mater. 2023, 257, 119160. [Google Scholar] [CrossRef]
- Zhang, Z.; Hao, Z.; Wang, H.; Zhang, D.; Zhang, J. Modifying the microstructure and stress distribution of crossover Al-Mg-Zn alloy for regulating stress corrosion cracking via retrogression and re-aging treatment. Mater. Sci. Eng. A 2023, 884, 145564. [Google Scholar] [CrossRef]
- Tan, P.; Liu, Z.; Qin, J.; Wei, Q.; Wang, B.; Yi, D. Enhanced corrosion performance by controlling grain boundary precipitates in a novel crossover Al-Cu-Zn-Mg alloy by optimizing Zn content. Mater. Charact. 2024, 208, 113615. [Google Scholar] [CrossRef]
- Glavatskikh, M.V.; Barkov, R.Y.; Gorlov, L.E.; Khomutov, M.G.; Pozdniakov, A.V. Novel Cast and Wrought Al-3Zn-3Mg-3Cu-Zr-Y(Er) Alloys with Improved Heat Resistance. Metals 2023, 13, 909. [Google Scholar] [CrossRef]
- Glavatskikh, M.V.; Barkov, R.Y.; Gorlov, L.E.; Khomutov, M.G.; Pozdniakov, A.V. Microstructure and Phase Composition of Novel Crossover Al-Zn-Mg-Cu-Zr-Y(Er) Alloys with Equal Zn/Mg/Cu Ratio and Cr Addition. Metals 2024, 14, 547. [Google Scholar] [CrossRef]
- Glavatskikh, M.V.; Gorlov, L.E.; Loginova, I.S.; Barkov, R.Y.; Khomutov, M.G.; Churyumov, A.Y.; Pozdniakov, A.V. Effect of Er on the Hot Deformation Behavior of the Crossover Al3Zn3Mg3Cu0.2Zr Alloy. Metals 2024, 14, 1114. [Google Scholar] [CrossRef]
- Peng, G.-S.; Zhao, P.-Y.; Gu, Y.-C.; Zhang, L.; Shi, X.-B.; Chen, L.-L. Aging temperature regulating the precipitation-hardening behavior of new crossover Al-8Zn-5Mg-0.3Si alloys. Vacuum 2025, 233, 113961. [Google Scholar] [CrossRef]
- Gerchikova, N.S.; Fridlyander, I.N.; Zaitseva, N.I.; Kirkina, N.N. Change in the structure and properties of Al-Zn-Mg alloys. Met. Sci. Heat Treat. 1972, 14, 233–236. [Google Scholar] [CrossRef]
- Zou, Y.; Wu, X.; Tang, S.; Zhu, Q.; Song, H.; Guo, M.; Cao, L. Investigation on microstructure and mechanical properties of Al-Zn-Mg-Cu alloys with various Zn/Mg ratios. J. Mater. Sci. Technol. 2021, 85, 106–117. [Google Scholar] [CrossRef]
- Pan, Y.; Zhang, D.; Liu, H.; Zhuang, L.; Zhang, J. Precipitation hardening and intergranular corrosion behavior of novel Al–Mg–Zn(-Cu) alloys. J. Alloys Compd. 2021, 853, 157199. [Google Scholar] [CrossRef]
- Zou, G.-T.; Chen, S.-J.; Xu, Y.-Q.; Shen, B.-K.; Zhang, Y.-J.; Ye, L.-Y. Microstructural evolution and deformation mechanisms of superplastic aluminium alloys: A review. Trans. Nonferrous Met. Soc. China 2024, 34, 3069–3092. [Google Scholar] [CrossRef]
- Mikhaylovskaya, A.V.; Kishchik, A.A.; Kotov, A.D.; Rofman, O.V.; Tabachkova, N.Y. Precipitation behavior and high strain rate superplasticity in a novel fine-grained aluminum based alloy. Mater. Sci. Eng. A 2019, 760, 37–46. [Google Scholar] [CrossRef]
- Zhang, Z.; Jia, Z.; Ding, L.; Xiang, K.; Zhuang, L. Achieving equiaxial fine grains and high superplasticity of Al-Zn-Mg-Cu alloy by an improved thermo-mechanical treatment. Mater. Charact. 2025, 230 Part B, 115806. [Google Scholar] [CrossRef]
- Liu, X.; Ye, L.; Tang, J.; Ke, B.; Dong, Y.; Chen, X.; Gu, Y. Superplastic deformation mechanisms of a fine-grained Al–Cu–Li alloy. Mater. Sci. Eng. A 2022, 848, 143403. [Google Scholar] [CrossRef]
- Chen, S.; Zou, G.; Xu, Y.; Li, J.; Duan, T.; Liu, Y.; Ye, L. Effect of Rolling Schedule on Grain Refinement and Superplasticity of 7475 Al-Zn-Mg-Cu Alloy Sheet. J. Mater. Res. Technol. 2025, 39, 9465–9476. [Google Scholar] [CrossRef]
- Fakhar, N.; Fereshteh-Saniee, F.; Mahmudi, R. High strain-rate superplasticity of fine- and ultrafine-grained AA5083 aluminum alloy at intermediate temperatures. Mater. Des. 2015, 85, 342–348. [Google Scholar] [CrossRef]
- Ko, Y.G.; Shin, D.H.; Park, K.-T.; Lee, C.S. Superplastic deformation behavior of ultra-fine-grained 5083 Al alloy using load-relaxation tests. Mater. Sci. Eng. A 2007, 449–451, 756–760. [Google Scholar] [CrossRef]
- Mahajan, A.; Badheka, V. Engineering Applications of Superplasticity of Metals: Review. In Advances in Materials Engineering. ICFAMMT 2024; Bhingole, P., Joshi, K., Yadav, S.D., Sharma, A., Eds.; Lecture Notes in Mechanical Engineering; Springer: Singapore, 2025. [Google Scholar] [CrossRef]
- Chuvil’dEev, V.N.; Gryaznov, M.Y.; Shotin, S.V.; Nokhrin, A.V.; Likhnitskii, K.V.; Shadrina, Y.S.; Kopylov, V.I.; Bobrov, A.A.; Chegurov, M.K. Superplasticity of Ultrafine-Grained Al–6% Mg–0.12% Sc–0.10% Zr Alloys with 0.10% Yb, Er, and Hf Additions. Inorg. Mater. Appl. Res. 2025, 16, 417–428. [Google Scholar] [CrossRef]
- Mochugovskiy, A.G.; Chukwuma, E.U.; Mikhaylovskaya, A.V. The Effect of Multidirectional Forging on the Microstructure and Superplasticity of the Al–Mg–Si–Cu System Alloys with Different Contents of Mg and Si. Phys. Metals Metallogr. 2024, 125, 56–63. [Google Scholar] [CrossRef]
- Bobruk, E.V.; Ramazanov, I.A.; Astanin, V.V.; Zaripov, N.G.; Kazykhanov, V.U.; Drits, A.M.; Murashkin, M.Y.; Enikeev, N.A. Low-Temperature Superplasticity of the 1565ch Al–Mg Alloy in Ultrafine-Grained and Nanostructured States. Phys. Metals Metallogr. 2023, 124, 839–849. [Google Scholar] [CrossRef]
- Bhatta, L.; Pesin, A.; Zhilyaev, A.P.; Tandon, P.; Kong, C.; Yu, H. Recent Development of Superplasticity in Aluminum Alloys: A Review. Metals 2020, 10, 77. [Google Scholar] [CrossRef]
- Nieh, T.G.; Wadsworth, J.; Sherby, O.D. Superplasticity in Metals and Ceramics; Cambridge University Press: Cambridge, UK, 2003. [Google Scholar] [CrossRef]
- Kawasaki, M.; Langdon, T.G. Developing Superplasticity in Ultrafine-Grained Metals. Acta Phys. Pol. A 2015, 128, 470–478. [Google Scholar] [CrossRef]
- García-Infanta, J.M.; Zhilyaev, A.P.; Sharafutdinov, A.; Ruano, O.A.; Carreño, F. An evidence of high strain rate superplasticity at intermediate homologous temperatures in an Al–Zn–Mg–Cu alloy processed by high-pressure torsion. J. Alloys Compd. 2009, 473, 163–166. [Google Scholar] [CrossRef]
- Horita, Z.; Furukawa, M.; Nemoto, M.; Barnes, A.J.; Langdon, T.G. Superplastic forming at high strain rates after severe plastic deformation. Acta Mater. 2000, 48, 3633–3640. [Google Scholar] [CrossRef]
- Lee, S.; Utsunomiya, A.; Akamatsu, H.; Neishi, K.; Furukawa, M.; Horita, Z.; Langdon, T.G. Influence of scandium and zirconium on grain stability and superplastic ductilities in ultrafine-grained Al–Mg alloys. Acta Mater. 2002, 50, 553–564. [Google Scholar] [CrossRef]
- Smolej, A.; Skaza, B.; Markoli, B.; Klobčar, D.; Dragojević, V.; Slaček, E. Superplastic Behaviour of AA5083 Aluminium Alloy with Scandium and Zirconium. Mater. Sci. Forum. 2012, 709, 395–401. [Google Scholar] [CrossRef]
- Chentouf, S.M.; Belhadj, T.; Bombardier, N.; Brodusch, N.; Gauvin, R.; Jahazi, M. Influence of predeformation on microstructure evolution of superplastically formed Al 5083 alloy. Int. J. Adv. Manuf. Technol. 2017, 88, 2929–2937. [Google Scholar] [CrossRef]
- Wang, X.G.; Li, Q.S.; Wu, R.R.; Zhang, X.Y.; Ma, L. A Review on Superplastic Formation Behavior of Al Alloys. Adv. Mater. Sci. Eng. 2018. [Google Scholar] [CrossRef]
- Samberger, S.; Weißensteiner, I.; Stemper, L.; Kainz, C.; Uggowitzer, P.J.; Pogatscher, S. Fine-grained aluminium crossover alloy for high-temperature sheet forming. Acta Mater. 2023, 253, 118952. [Google Scholar] [CrossRef]
- Backofen, W.A. Turner, I.R.; Avery, D.H. Superplasticity in an Al-Zn alloy. Trans. Am. Soc. Met. 1964, 57, 980–990. [Google Scholar]
- Ma, L.; Wan, M.; Li, W.; Shao, J.; Bai, X.; Zhang, J. Superplastic deformation mechanical behavior and constitutive modelling of a near-α titanium alloy TNW700 sheet. Mater. Sci. Eng. A 2021, 817, 141419. [Google Scholar] [CrossRef]
- Han, X.; Li, H.; He, W.; Wang, G.; Zhang, X.; Wang, X.; Volodymyr, S.; Shcheretskyi, O. Study on the microstructure and mechanical properties of hot rolled nano-ZrB2/AA6016 aluminum matrix composites by friction stir processing. Mater. Today Commun. 2024, 40, 109815. [Google Scholar] [CrossRef]
- Pan, S.; Li, C.; Qian, F.; Hao, L.; Li, Y. Diffusion controlled early-stage L12-D023 transitions within Al3Zr. Scr. Mater. 2023, 231, 115460. [Google Scholar] [CrossRef]
- Ding, L.; Zhao, M.; Ehlers, F.J.H.; Jia, Z.; Zhang, Z.; Weng, Y.; Schryvers, D.; Liu, Q.; Idrissi, H. “Branched” structural transformation of the L12-Al3Zr phase manipulated by Cu substitution/segregation in the Al-Cu-Zr alloy system. J. Mater. Sci. Technol. 2024, 185, 186–206. [Google Scholar] [CrossRef]
- Ding, L.; Zhao, L.; Weng, Y.; Schryvers, D.; Liu, Q.; Idrissi, H. Atomic-scale investigation of the heterogeneous precipitation in the E (Al18Mg3Cr2) dispersoid of 7075 aluminum alloy. J. Alloys Compd. 2021, 851, 156890. [Google Scholar] [CrossRef]
- Shechtman, D.; Blech, I.; Gratias, D.; Cahn, J.W. Metallic Phase with Long-Range Orientational Order and No Translational Symmetry. Phys. Rev. Lett. 1984, 53, 1951–1953. [Google Scholar] [CrossRef]
- Zener, C.; Hollomon, J.H. Effect of strain rate upon plastic flow of steel. J. Appl. Phys. 1944, 15, 22–32. [Google Scholar] [CrossRef]
- Prasad, Y.V.R.K.; Gegel, H.L.; Doraivelu, S.M.; Malas, J.C.; Morgan, J.T.; Lark, K.A.; Barker, D.R. Modeling of dynamic material behavior in hot deformation: Forging of Ti-6242. Metall. Trans. A 1984, 15, 1883–1892. [Google Scholar] [CrossRef]
- Rust, M.A.; Todd, R.I. Surface studies of Region II superplasticity of AA5083 in shear: Confirmation of diffusion creep, grain neighbour switching and absence of dislocation activity. Acta Mater. 2011, 59, 5159–5170. [Google Scholar] [CrossRef]
- Brandes, E.A.; Brook, G.B. Smithells Metals Reference Book; Butterworth-Heinemann: Oxford, UK, 1992; p. 1794. [Google Scholar]
- Ruano, O.A.; Sherby, O.D. On constitutive equations for various diffusion-controlled creep mechanisms. Rev. Phys. Appl. 1988, 23, 625–637. [Google Scholar] [CrossRef]
- Shen, Z.; Ye, L.; Liu, X.; Dong, Y. Achieving high strain rate superplasticity in an Al-Cu-Li alloy processed by thermo-mechanical processing. Mater. Lett. 2023, 340, 134142. [Google Scholar] [CrossRef]
- Yakovtseva, O.A.; Mikhaylovskaya, A.V.; Levchenko, V.S.; Irzhak, A.V.; Portnoy, V.K. Study of the mechanisms of superplastic deformation in Al–Mg–Mn-based alloys. Phys. Metals Metallogr. 2015, 116, 908–916. [Google Scholar] [CrossRef]
- Mikhaylovskaya, A.V.; Yakovtseva, O.A.; Sitkina, M.N.; Kotov, A.D.; Irzhak, A.V.; Krymskiy, S.V.; Portnoy, V.K. Comparison between superplastic deformation mechanisms at primary and steady stages of the fine grain AA7475 aluminium alloy. Mater. Sci. Eng. A 2018, 718, 277–286. [Google Scholar] [CrossRef]












| Alloy | Al | Zn | Mg | Cu | Zr | Ti | Fe + Si | Y or Er | Cr |
|---|---|---|---|---|---|---|---|---|---|
| Al2.5Zn2.5Mg2.5CuYCr | bal. | 2.6 | 2.6 | 2.7 | 0.2 | 0.1 | 0.3 | 0.5 | 0.2 |
| Al2.5Zn2.5Mg2.5CuErCr | bal. | 2.6 | 2.5 | 2.6 | 0.2 | 0.1 | 0.3 | 1.3 | 0.2 |
| Number | Equation | Parameters | Description |
|---|---|---|---|
| (1) | —strain rate (s−1), T—temperature (K) | - | |
| (2) | A3, n2 and α—material’s constants | Universal law | |
| (3) | A2, β—material’s constants | For high stresses | |
| (4) | A1, n1—material’s constants | For low stresses | |
| (5) | - | - |
| Number | Equation | Parameters | Description |
|---|---|---|---|
| (6) | n1—the coefficient from Equation (4) | strain rate sensitivity coefficient | |
| (7) | - | efficiency of power dissipation | |
| (8) | - | flow instability |
Disclaimer/Publisher’s Note: The statements, opinions and data contained in all publications are solely those of the individual author(s) and contributor(s) and not of MDPI and/or the editor(s). MDPI and/or the editor(s) disclaim responsibility for any injury to people or property resulting from any ideas, methods, instructions or products referred to in the content. |
© 2025 by the authors. Licensee MDPI, Basel, Switzerland. This article is an open access article distributed under the terms and conditions of the Creative Commons Attribution (CC BY) license (https://creativecommons.org/licenses/by/4.0/).
Share and Cite
Glavatskikh, M.V.; Barkov, R.Y.; Khomutov, M.G.; Yakovtseva, O.A.; Pozdniakov, A.V. Precipitation, Deformation, and Superplastic Behavior of Novel Crossover Al-Zn-Mg-Cu-Y(Er)-Zr-Cr-Ti-Fe-Si Alloys. J. Manuf. Mater. Process. 2025, 9, 403. https://doi.org/10.3390/jmmp9120403
Glavatskikh MV, Barkov RY, Khomutov MG, Yakovtseva OA, Pozdniakov AV. Precipitation, Deformation, and Superplastic Behavior of Novel Crossover Al-Zn-Mg-Cu-Y(Er)-Zr-Cr-Ti-Fe-Si Alloys. Journal of Manufacturing and Materials Processing. 2025; 9(12):403. https://doi.org/10.3390/jmmp9120403
Chicago/Turabian StyleGlavatskikh, Maria V., Ruslan Yu. Barkov, Maxim G. Khomutov, Olga A. Yakovtseva, and Andrey V. Pozdniakov. 2025. "Precipitation, Deformation, and Superplastic Behavior of Novel Crossover Al-Zn-Mg-Cu-Y(Er)-Zr-Cr-Ti-Fe-Si Alloys" Journal of Manufacturing and Materials Processing 9, no. 12: 403. https://doi.org/10.3390/jmmp9120403
APA StyleGlavatskikh, M. V., Barkov, R. Y., Khomutov, M. G., Yakovtseva, O. A., & Pozdniakov, A. V. (2025). Precipitation, Deformation, and Superplastic Behavior of Novel Crossover Al-Zn-Mg-Cu-Y(Er)-Zr-Cr-Ti-Fe-Si Alloys. Journal of Manufacturing and Materials Processing, 9(12), 403. https://doi.org/10.3390/jmmp9120403

