Microstructure and Thermal Mechanical Behavior of Arc-Welded Aluminum Alloy 6061-T6
Abstract
1. Introduction
2. Materials and Methods
2.1. Material Used and Welding Procedure
2.2. Numerical Procedure
2.3. Samples’ Preparation for Microstructure Characterization
2.4. Microhardness Measurement
2.5. Micro-Flat-Tensile Tests with Digital Imaging Correlation
3. Results and Discussions
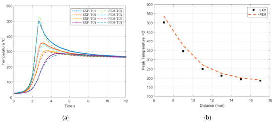
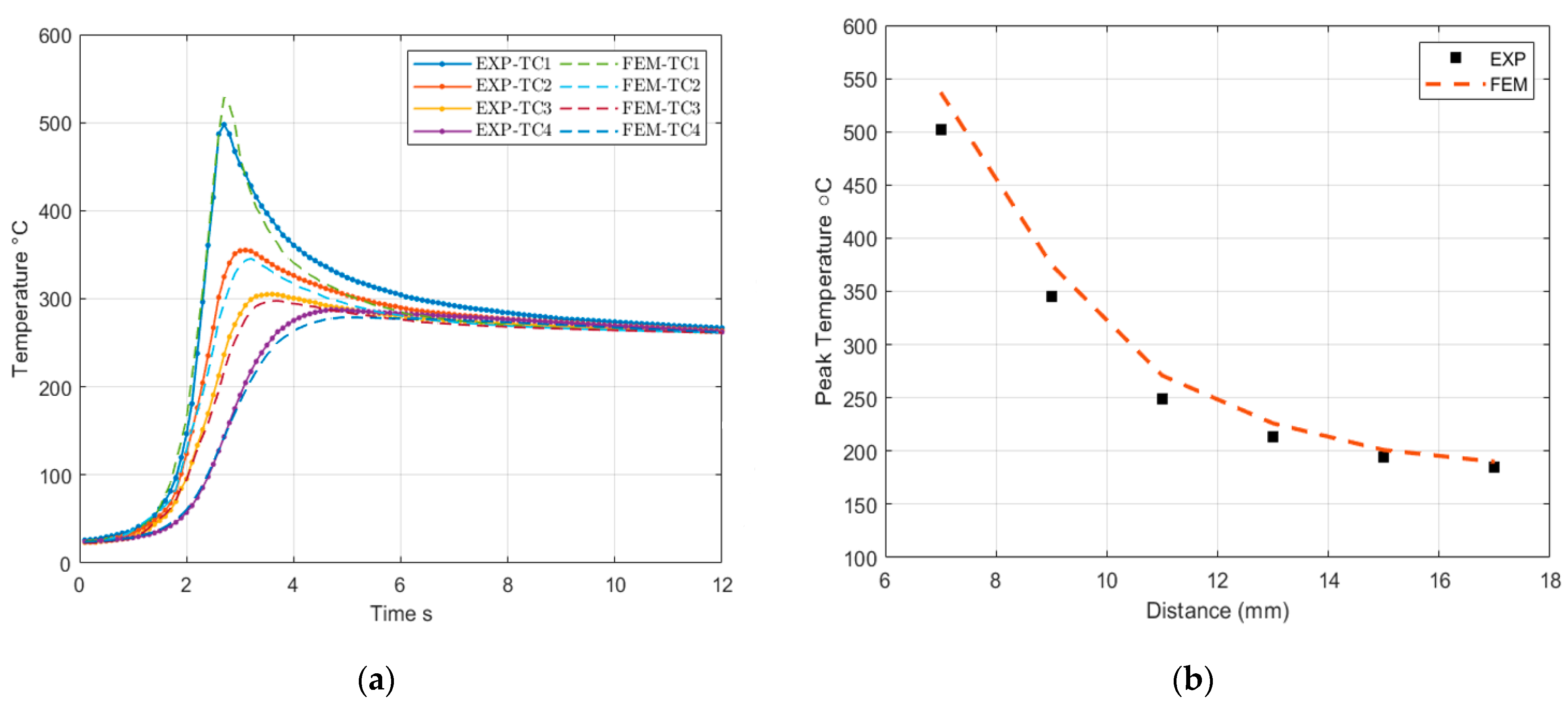
3.1. Thermal Profile and Melting Zone
3.2. Microstructure
3.3. Microhardness across the HAZ
3.4. Micro-Flat-Tensile Tests Using DIC
3.4.1. Local Behavior of HAZ Subzones in Welded Plate Obtained by DIC
3.4.2. Local Stress–Strain Properties Obtained Using DIC test
3.4.3. Thermal Profile and Mechanical Behavior
4. Conclusions
- A thermal finite element analysis produced reasonably accurate results compared to the experimental thermal profile, and the most significant difference between the experimental results and the model results was an 8.3% difference in the temperature measured by the thermocouples nearest to the FZ.
- The mechanical response of the welded sample was significantly influenced by the welding thermal cycle, and thermal cycle variations created different subzones in the HAZ. The over-aged subzone that produced the lowest hardness could be described as a 2.2 mm width plane located 5.9 mm to 8.1 mm on both sides of the welding center line. The symmetrical mechanical response on both sides of the weld was a result of the steady welding speed and robotic welding heat input.
- The HAZ subzones present different plastic properties from zone to zone, and the local mechanical behavior of these zones varies according to the peak temperature to which they are exposed. The mechanical response of the heterogeneous HAZ led to the development of an extreme localization of deformed zones within which necking and fracture occurred during tensile testing. These subzones were closely correlated with the peak temperature.
- Micro-flat tensile tests using the DIC technique together with thermal numerical simulations provided a very interesting and powerful tool to understand the local mechanical behavior of the welded part. It revealed that welding heat is a crucial factor in the strength of AA6061-T6 weldment.
- Although the microhardness technique was able to reveal the lowest hardness regions in the weldment, this technique has limitations when it comes to predicting the failure zone as it shows similar hardness values in the FZ and over-aged planes.
Author Contributions
Funding
Data Availability Statement
Acknowledgments
Conflicts of Interest
References
- Dursun, T.; Soutis, C. Recent developments in advanced aircraft aluminium alloys. Mater. Des. 2014, 56, 862–871. [Google Scholar] [CrossRef]
- ASM International. Heat treating, Section “Heat treating of Aluminum Alloys”. In ASM International Handbook; ASM International: Materials Park, OH, USA, 1991; Volume 4, p. 2173. [Google Scholar]
- Buchanan, K.; Colas, K.; Ribis, J.; Lopez, A.; Garnier, J. Analysis of the metastable precipitates in peak-hardness aged Al-Mg-Si (-Cu) alloys with differing Si contents. Acta Mater. 2017, 132, 209–221. [Google Scholar] [CrossRef]
- Easterling, K. Introduction to the Physical Metallurgy of Welding; Butterworth-Heinemann Ltd.: Oxford, UK, 1992. [Google Scholar]
- Liang, Y.; Shen, J.; Hu, S.; Wang, H.; Pang, J. Effect of TIG current on microstructural and mechanical properties of 6061-T6 aluminium alloy joints by TIG–CMT hybrid welding. J. Mater. Process. Technol. 2018, 255, 161–174. [Google Scholar] [CrossRef]
- Zhang, L.; Li, X.; Nie, Z.; Huang, H.; Sun, J. Softening behavior of a new Al-Zn-Mg-Cu alloy due to TIG welding. J. Mater. Eng. Perform. 2016, 25, 1870–1879. [Google Scholar] [CrossRef]
- Pérez, J.S.; Ambriz, R.R.; López, F.F.C.; Vigueras, D.J. Recovery of mechanical properties of a 6061-T6 aluminum weld by heat treatment after welding. Metall. Mater. Trans. A 2016, 47, 3412–3422. [Google Scholar] [CrossRef]
- Peng, D.; Shen, J.; Tang, Q.; Wu, C.P.; Zhou, Y.B. Effects of aging treatment and heat input on the microstructures and mechanical properties of TIG-welded 6061-T6 alloy joints. Int. J. Miner. Metall. Mater. 2013, 20, 259–265. [Google Scholar] [CrossRef]
- Wang, B.; Xue, S.; Ma, C.; Wang, J.; Lin, Z. Effects of porosity, heat input and post-weld heat treatment on the microstructure and mechanical properties of TIG welded joints of AA6082-T6. Metals 2017, 7, 463. [Google Scholar] [CrossRef]
- Narsimhachary, D.; Bathe, R.N.; Padmanabham, G.; Basu, A. Influence of temperature profile during laser welding of aluminum alloy 6061 T6 on microstructure and mechanical properties. Mater. Manuf. Process. 2014, 29, 948–953. [Google Scholar] [CrossRef]
- Nie, F.; Dong, H.; Chen, S.; Li, P.; Wang, L.; Zhao, Z.; Li, X.; Zhang, H. Microstructure and mechanical properties of pulse MIG welded 6061/A356 aluminum alloy dissimilar butt joints. J. Mater. Sci. Technol. 2018, 34, 551–560. [Google Scholar] [CrossRef]
- Marumoto, K.; Fujinaga, A.; Takahashi, T.; Yamamoto, H.; Yamamoto, M. Selection of Welding Conditions for Achieving Both of High Efficiency and Low Heat Input on Hot-wire GMAW. J. Manuf. Mater. Process. 2024, 8, 82. [Google Scholar]
- Vargas, J.A.; Torres, J.E.; Pacheco, J.A.; Hernandez, R.J. Analysis of heat input effect on the mechanical properties of Al-6061-T6 alloy weld joints. Mater. Des. 2013, 52, 556–564. [Google Scholar] [CrossRef]
- Walter, V.; Weidenmann, K.; Schulze, V. A comparison of FSW, BHLW and TIG joints for Al-Si-Mg alloy (EN AW-6082 T6). Procedia CIRP 2014, 18, 120–125. [Google Scholar] [CrossRef]
- Malin, V. Study of metallurgical phenomena in the HAZ of 6061-T6 aluminum welded joints. Weld. J. Incl. Weld. Res. Suppl. 1995, 74, 305s–318s. [Google Scholar]
- Zhang, K.; Chen, J.; Ma, P.; Zhang, X. Effect of welding thermal cycle on microstructural evolution of Al–Zn–Mg–Cu alloy. Mater. Sci. Eng. A 2018, 717, 85–94. [Google Scholar] [CrossRef]
- Gómora, C.; Ambriz, R.; Curiel, F.; Jaramillo, D. Heat distribution in welds of a 6061-T6 aluminum alloy obtained by modified indirect electric arc. J. Mater. Process. Technol. 2017, 243, 433–441. [Google Scholar] [CrossRef]
- Ambriz, R.R.; Barrera, G.; García, R.; López, V.H. Effect of the weld thermal cycles of the modified indirect electric arc on the mechanical properties of the AA6061-T6 alloy. Weld. Int. 2010, 24, 321–328. [Google Scholar] [CrossRef]
- Tsirkas, S. Numerical simulation of the laser welding process for the prediction of temperature distribution on welded aluminium aircraft components. Opt. Laser Technol. 2018, 100, 45–56. [Google Scholar] [CrossRef]
- Lee, H.T.; Wu, J.L. The effects of peak temperature and cooling rate on the susceptibility to intergranular corrosion of alloy 690 by laser beam and gas tungsten arc welding. Corros. Sci. 2009, 51, 439–445. [Google Scholar] [CrossRef]
- Francis, J.D. Welding Simulations of Aluminum alloy Joints by Finite Element Analysis. Master’s Thesis, Virginia Polytechnic Institute, Blacksburg, VA, USA, 2002. Available online: https://vtechworks.lib.vt.edu/server/api/core/bitstreams/de9fb4e3-f86f-4426-9474-9065fbffe0b2/content (accessed on 25 May 2024).
- Nazemi, N. Identification of the Mechanical Properties in the Heat-Affected Zone of Aluminum Welded Structures. Ph.D. Thesis, University of Windsor, Windsor, ON, Canada, 2015. Available online: https://scholar.uwindsor.ca/etd/5485 (accessed on 9 May 2024).
- Hu, Y.; Pei, W.; Ji, H.; Yu, R.; Liu, S. Tungsten Inert Gas Welding of 6061-T6 Aluminum Alloy Frame: Finite Element Simulation and Experiment. Materials 2024, 17, 1039. [Google Scholar] [CrossRef]
- Vimalan, D.; Purushothaman, A.; Muthukumaran, S.; Sastikumar, D. Numerical and Experimental Thermal Studies on Friction Welding of AA6061 Plate and AA1060 Tube Using External Tool. Trans. Indian Inst. Met. 2024, 23, 3184. Available online: https://link.springer.com/article/10.1007/s12666-023-03184-w (accessed on 9 May 2024). [CrossRef]
- Nélias, D.; Jullien, J.-F.; Deloison, D. Experimental investigation and finite element simulation of laser beam welding induced residual stresses and distortions in thin sheets of AA 6056-T4. Mater. Sci. Eng. A 2010, 527, 3025–3039. [Google Scholar]
- Liang, Z.; Yin, B.; Mo, J.; Wang, S. A new method to deal with the effect of subset size for digital image correlation. Opt. Int. J. Light Electron Opt. 2015, 126, 4940–4945. [Google Scholar] [CrossRef]
- Sutton, M.; Reu, P.L. International Digital Imaging Correlation Society; Springer International Publishing: Cham, Switzerland, 2017. [Google Scholar]
- Leitão, C.; Galvão, I.; Leal, R.; Rodrigues, D. Determination of local constitutive properties of aluminium friction stir welds using digital image correlation. Mater. Des. 2012, 33, 69–74. [Google Scholar] [CrossRef]
- Lockwood, W.D.; Tomaz, B.; Reynolds, A.P. Mechanical response of friction stir welded AA2024: Experiment and modeling. Mater. Sci. Eng. A 2002, 323, 348–353. [Google Scholar] [CrossRef]
- ESI-Group. “SYSWELD”, Theory Manuals; ESI-Group: Lyon, France, 2019. [Google Scholar]
- GOM. ARAMIS User Manual–Software; GOM GmBH: Braunschweig, Germany, 2016. [Google Scholar]
- Niu, L.-Q.; Li, X.-Y.; Zhang, L.; Liang, X.-B.; Li, M. Correlation Between Microstructure and Mechanical Properties of 2219-T8 Aluminum Alloy Joints by VPTIG Welding. Acta Metall. Sin. 2017, 30, 438–446. [Google Scholar] [CrossRef]
- ASM International. Casting Handbook; ASM International: Materials Park, OH, USA, 2008; Volume 15, pp. 416–522. [Google Scholar]
- Myhr, O.; Grong, Ø.; Fjær, H.; Marioara, C. Modelling of the microstructure and strength evolution in Al–Mg–Si alloys during multistage thermal processing. Acta Mater. 2004, 52, 4997–5008. [Google Scholar] [CrossRef]
- Hirose, A.; Kurosawa, N.; Kobayashi, K.F.; Todaka, H.; Yamaoka, H. Quantitative evaluation of softened regions in weld heat-affected zones of 6061-T6 aluminum alloy—Characterizing of the laser beam welding process. Metall. Mater. Trans. A 1999, 30, 2115–2120. [Google Scholar] [CrossRef]
- Maisonnette, D.; Suery, M.; Nelias, D.; Chaudet, P.; Epicier, T. Effects of heat treatments on the microstructure and mechanical properties of a 6061 aluminium alloy. Mater. Sci. Eng. A 2011, 528, 2718–2724. [Google Scholar] [CrossRef]



















| Al | Cr | Cu | Fe | Mn | Mg | Si | Ti | Zn | |
|---|---|---|---|---|---|---|---|---|---|
| BM (AA6061-T6) | 98.6 | 0.004 | 0.15 | 0.7 | 0.15 | 0.8 | 0.4 | 0.15 | 0.25 |
| FW (ER4043) | 93.3 | --- | 0.3 | 0.8 | 0.05 | 0.05 | 5.25 | 0.2 | 0.1 |
| Wire Feeding Speed (mm/s) | Voltage (V) | Ampere (A) | Welding Speed (mm/s) | Angle (Degree) | Shield Gas (Argon) (L/min) |
|---|---|---|---|---|---|
| 114.2 | 23.2 | 174 | 15.2 | 15° | 12 |
| Welding Speed (mm/s) | (W/mm3) | (mm) | (mm) | (mm) | Qeff (W) | |
|---|---|---|---|---|---|---|
| 15.2 | 32.7 | 6 | 3 | 4 | 1 | 3150 |
| Type of Material | YS (MPa) | UTS (MPa) | Elongation (%) | Hardness (Vickers) |
|---|---|---|---|---|
| BM (AA6061-T6) | 276 | 310 | 12 | 107 |
| FW (ER4043) | 70 | 145 | 22 | 47 |
| Peak Temperature °C | ||||
|---|---|---|---|---|
| Thermocouples | TC1 | TC2 | TC3 | TC4 |
| Experimental | 453 | 331 | 276 | 246 |
| FEA | 424 | 316 | 266 | 239.8 |
| Difference | 6.4% | 4.5% | 3.1% | 2.5% |
| Welded Metal | Base Metal | |||||
|---|---|---|---|---|---|---|
| Description | Test 1 | Test 2 | Ave. | Test1 | Test2 | Ave. |
| Yield Stress (MPa) | 153 | 162 | 157.3 | 271 | 271 | 274 |
| Ultimate strength (MPa) | 220 | 231 | 226 | 301 | 308 | 305 |
| Elongation (%) | 6.8 | 6.7 | 6.8 | 9.1 | 9.8 | 9.4 |
Disclaimer/Publisher’s Note: The statements, opinions and data contained in all publications are solely those of the individual author(s) and contributor(s) and not of MDPI and/or the editor(s). MDPI and/or the editor(s) disclaim responsibility for any injury to people or property resulting from any ideas, methods, instructions or products referred to in the content. |
© 2024 by the authors. Licensee MDPI, Basel, Switzerland. This article is an open access article distributed under the terms and conditions of the Creative Commons Attribution (CC BY) license (https://creativecommons.org/licenses/by/4.0/).
Share and Cite
Arhumah, Z.; Pham, X.-T. Microstructure and Thermal Mechanical Behavior of Arc-Welded Aluminum Alloy 6061-T6. J. Manuf. Mater. Process. 2024, 8, 110. https://doi.org/10.3390/jmmp8030110
Arhumah Z, Pham X-T. Microstructure and Thermal Mechanical Behavior of Arc-Welded Aluminum Alloy 6061-T6. Journal of Manufacturing and Materials Processing. 2024; 8(3):110. https://doi.org/10.3390/jmmp8030110
Chicago/Turabian StyleArhumah, Zeli, and Xuan-Tan Pham. 2024. "Microstructure and Thermal Mechanical Behavior of Arc-Welded Aluminum Alloy 6061-T6" Journal of Manufacturing and Materials Processing 8, no. 3: 110. https://doi.org/10.3390/jmmp8030110
APA StyleArhumah, Z., & Pham, X.-T. (2024). Microstructure and Thermal Mechanical Behavior of Arc-Welded Aluminum Alloy 6061-T6. Journal of Manufacturing and Materials Processing, 8(3), 110. https://doi.org/10.3390/jmmp8030110

