Impact of Injection Molding Parameters on Material Acoustic Parameters
Abstract
1. Introduction
2. Theory
2.1. Injection Molding and Polymer Acoustics
2.2. Linear Elastic Media
2.3. Electrical Impedance
3. Materials and Methods
3.1. Fabrication of Polymer Samples
- Mold temperature = 65 C
- Melt temperature = 210 C
- Injection velocity = 60 mm/s
- Packing pressure = 120 MPa
3.2. Residual Stress Analysis
3.3. Ultrasound Electrical Impedance Spectroscopy
3.4. Moldex3dTM Simulations
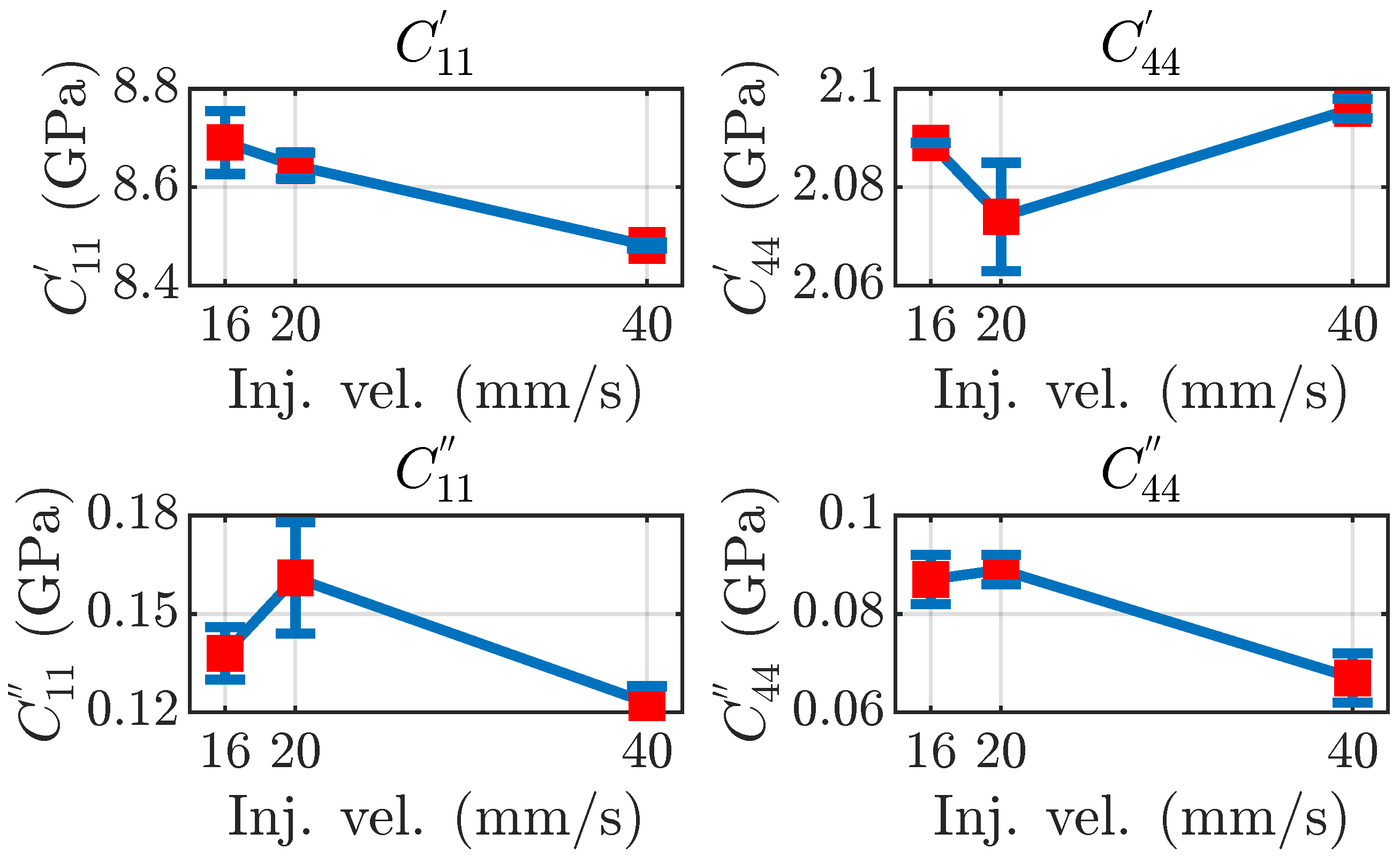
4. Results and Discussion
- The injection velocity has a pronounced impact on the shear stress of the parts, with higher velocities generally leading to reduced shear stresses during filling.
- The central region of the part from which the rings were cut remains relatively unaffected by drastic changes in the residual stress, regardless of the varied injection velocities or other process parameters.
- The consistency in the shear stresses across identical settings in different runs (like Run 1, Run 4, and Run 7) reinforces the reliability of our simulations and the process repeatability.
5. Conclusions
Author Contributions
Funding
Data Availability Statement
Conflicts of Interest
Abbreviations
| IM | Injection molding |
| QA | Quality assurance |
| DOE | Design of experiment |
| PMMA | Polymethyl methacrylate |
| UEIS | Ultrasound electrical-impedance spectroscopy |
| LOC | Lab-on-a-chip |
| PZT | Lead zirconate titanate |
Appendix A
| Sample | (mm) | (mm) | (mm) | (mm) | / (mm) |
|---|---|---|---|---|---|
| PP1(A) | 10.033(7) | 0.490(1) | 20.007(4) | 1.422(4) | 1.91(2)/0.03(2) |
| PP1(B) | 10.043(5) | 0.528(4) | 19.999(1) | 1.425(7) | 1.91(1)/0.015(6) |
| PP1(C) | 10.047(3) | 0.509(4) | 19.999(1) | 1.422(5) | 1.91(1)/0.021(7) |
| PP2(A) | 10.041(7) | 0.524(3) | 19.999(1) | 1.424(4) | 1.95(2)/0.004(7) |
| PP2(B) | 10.030(7) | 0.517(6) | 19.997(2) | 1.422(3) | 1.92(1)/0.006(5) |
| PP2(C) | 10.045(4) | 0.526(4) | 20.001(2) | 1.428(4) | 1.92(1)/0.036(2) |
| PP3(A) | 10.033(5) | 0.510(1) | 19.999(3) | 1.424(3) | 1.90(1)/0.007(2) |
| PP3(B) | 10.037(5) | 0.521(3) | 20.000(3) | 1.423(4) | 1.91(1)/0.008(6) |
| PP3(C) | 10.038(3) | 0.516(5) | 19.999(1) | 1.426(3) | 1.92(1)/0.012(3) |
| IV1(A) | 10.038(5) | 0.509(5) | 20.06(1) | 1.921(2) | 1.98(1)/0.014(6) |
| IV1(B) | 10.041(4) | 0.508(3) | 19.999(8) | 1.919(1) | 1.96(1)/0.025(6) |
| IV1(C) | 10.03(1) | 0.521(4) | 19.99(1) | 1.922(3) | 1.99(1)/0.012(6) |
| IV2(A) | 10.042(1) | 0.502(6) | 19.96(1) | 1.911(5) | 1.98(1)/0.015(6) |
| IV2(B) | 10.040(6) | 0.506(3) | 19.99(1) | 1.913(3) | 1.98(1)/0.015(5) |
| IV2(C) | 10.033(6) | 0.513(4) | 20.00(1) | 1.915(2) | 1.95(1)/0.009(7) |
| IV3(A) | 10.045(5) | 0.522(3) | 20.01(2) | 1.908(2) | 1.95(1)/0.007(6) |
| IV3(B) | 10.043(6) | 0.530(4) | 19.998(4) | 1.913(2) | 1.96(1)/0.007(6) |
| IV3(C) | 10.030(4) | 0.508(5) | 19.87(1) | 1.915(3) | 1.96(1)/0.006(6) |
Appendix B
| Run | Melt Temp. (C)/Mold Temp. (C)/Packing Pressure (MPa)/Injection Velocity (mm/s) | Avg. Shear Stress (Filling) (MPa) | Avg. Shear Stress (Packing) (MPa) |
|---|---|---|---|
| Run 1 | 220/65/90/16 | 0.38 | 0.10 |
| Run 2 | 220/65/90/20 | 0.31 | 0.12 |
| Run 3 | 220/65/90/40 | 0.19 | 0.14 |
| Run 4 | 220/65/105/16 | 0.38 | 0.10 |
| Run 5 | 220/65/105/20 | 0.31 | 0.12 |
| Run 6 | 220/65/105/40 | 0.19 | 0.14 |
| Run 7 | 220/65/120/16 | 0.38 | 0.10 |
| Run 8 | 220/65/120/20 | 0.31 | 0.12 |
| Run 9 | 220/65/120/40 | 0.19 | 0.14 |
References
- Piccolo, L.; Puleo, K.; Sorgato, M.; Lucchetta, G.; Masato, D. Modeling the replication of submicron-structured surfaces by micro injection molding. Mater. Des. 2021, 198, 109272. [Google Scholar] [CrossRef]
- Vieten, T.; Stahl, D.; Schilling, P.; Civelek, F.; Zimmermann, A. Feasibility Study of Soft Tooling Inserts for Injection Molding with Integrated Automated Slides. Micromachines 2021, 12, 730. [Google Scholar] [CrossRef] [PubMed]
- Fareh, F.; Demers, V.; Demarquette, N.R.; Turenne, S.; Scalzo, O. Molding Properties of Inconel 718 Feedstocks Used in Low-Pressure Powder Injection Molding. Adv. Mater. Sci. Eng. 2016, 2016, 7078045. [Google Scholar] [CrossRef]
- Liou, G.Y.; Su, W.J.; Cheng, F.J.; Chang, C.H.; Tseng, R.H.; Hwang, S.J.; Peng, H.S.; Chu, H.Y. Optimize Injection-Molding Process Parameters and Build an Adaptive Process Control System Based on Nozzle Pressure Profile and Clamping Force. Polymers 2023, 15, 610. [Google Scholar] [CrossRef] [PubMed]
- Lee, H.; Ryu, K.; Cho, Y. A Framework of a Smart Injection Molding System Based on Real-time Data. Procedia Manuf. 2017, 11, 1004–1011. [Google Scholar] [CrossRef]
- Mortelmans, T.; Kazazis, D.; Werder, J.; Kristiansen, P.M.; Ekinci, Y. Injection Molding of Thermoplastics for Low-Cost Nanofluidic Devices. Acs Appl. Nano Mater. 2022, 5, 17758–17766. [Google Scholar] [CrossRef]
- Ma, X.; Li, R.; Jin, Z.; Fan, Y.; Zhou, X.; Zhang, Y. Injection molding and characterization of PMMA-based microfluidic devices. Microsyst. Technol.-Micro Nanosyst. Inf. Storage Process. Syst. 2020, 26, 1317–1324. [Google Scholar] [CrossRef]
- Su, C.W.; Su, W.J.; Cheng, F.J.; Liou, G.Y.; Hwang, S.J.; Peng, H.S.; Chu, H.Y. Optimization process parameters and adaptive quality monitoring injection molding process for materials with different viscosity. Polym. Test. 2022, 109, 107526. [Google Scholar] [CrossRef]
- Lickert, F.; Ohlin, M.; Bruus, H.; Ohlsson, P. Acoustophoresis in polymer-based microfluidic devices: Modeling and experimental validation. J. Acoust. Soc. Am. 2021, 149, 4281–4291. [Google Scholar] [CrossRef]
- Ayun, A.H.Q.; Triyono, J.; Pujiyanto, E. Optimization of Injection Molding Simulation of Bioabsorbable Bone Screw Using Taguchi Method and Particle Swarm Optimization. Jordan J. Mech. Ind. Eng. 2022, 16, 319–325. [Google Scholar]
- Alvarado-Iniesta, A.; García-Alcaraz, J.L.; Del Valle-Carrasco, A.; Pérez-Domínguez, L.A. Multi-objective optimization of an injection molding process. Stud. Comput. Intell. 2017, 663, 391–407. [Google Scholar] [CrossRef]
- Lee, H.; Ryu, K. Process parameters optimization using knowledge based control and a classification model for smart injection molding. Icic Express Lett. Part Appl. 2018, 9, 1083–1090. [Google Scholar] [CrossRef]
- Yu, S.; Zhang, T.; Zhang, Y.; Huang, Z.; Gao, H.; Han, W.; Turng, L.S.; Zhou, H. Intelligent setting of process parameters for injection molding based on case-based reasoning of molding features. J. Intell. Manuf. 2022, 33, 77–89. [Google Scholar] [CrossRef]
- Tofteberg, T.; Andreassen, E. Multiscale simulation of injection molding of parts with low aspect ratio microfeatures. Int. Polym. Process. 2010, 25, 63–74. [Google Scholar] [CrossRef]
- Ozcelik, B.; Ozbay, A.; Demirbas, E. Influence of injection parameters and mold materials on mechanical properties of ABS in plastic injection molding. Int. Commun. Heat Mass Transf. 2010, 37, 1359–1365. [Google Scholar] [CrossRef]
- Mehat, N.M.; Kamaruddin, S. Investigating the Effects of Injection Molding Parameters on the Mechanical Properties of Recycled Plastic Parts Using the Taguchi Method. Mater. Manuf. Process. 2011, 26, 202–209. [Google Scholar] [CrossRef]
- Rosli, M.U.; Termizi, S.N.A.A.; Khor, C.Y.; Nawi, M.A.M.; Omar, A.A.; Ishak, M.I. Simulation Based Optimization of Thin Wall Injection Molding Parameter Using Response Surface Methodology. IOP Conf. Ser. Mater. Sci. Eng. 2020, 864, 012193. [Google Scholar] [CrossRef]
- Loaldi, D.; Regi, F.; Baruffi, F.; Calaon, M.; Quagliotti, D.; Zhang, Y.; Tosello, G. Experimental validation of injection molding simulations of 3D microparts and microstructured components using virtual design of experiments and multi-scale modeling. Micromachines 2020, 11, 614. [Google Scholar] [CrossRef]
- Giannekas, N.; Zhang, Y.; Tosello, G. Investigation on Product and Process Fingerprints for Integrated Quality Assurance in Injection Molding of Microstructured Biochips. J. Manuf. Mater. Process. 2018, 2, 79. [Google Scholar] [CrossRef]
- Wang, M.W.; Arifin, F.; Vu, V.H. The Study of Optimal Molding of a LED Lens with Grey Relational Analysis and Molding Simulation. Period. Polytech. Mech. Eng. 2019, 64, 278–294. [Google Scholar] [CrossRef]
- Chen, J.; Cui, Y.; Liu, Y.; Cui, J. Design and Parametric Optimization of the Injection Molding Process Using Statistical Analysis and Numerical Simulation. Processes 2023, 11, 414. [Google Scholar] [CrossRef]
- El Bahra, S.; Ludwig, K.; Samran, A.; Freitag-Wolf, S.; Kern, M. Linear and volumetric dimensional changes of injection-molded PMMA denture base resins. Dent. Mater. 2013, 29, 1091–1097. [Google Scholar] [CrossRef] [PubMed]
- Zhang, H.; Fang, F.; Gilchrist, M.D.; Zhang, N. Precision replication of micro features using micro injection moulding: Process simulation and validation. Mater. Des. 2019, 177, 107829. [Google Scholar] [CrossRef]
- Giannekas, N. Precision Injection Moulding of Microfeatures Using Integrate Process and Product Quality Assurance. Ph.D. Thesis, Technical University of Denmark, Lyngby, Denmark, 2018; pp. 1–2. [Google Scholar] [CrossRef]
- Moon, J.S.; Choi, B.H. Modeling and validation of the effects of processing parameters on the dimensional stability of an injection-molded polypropylene plate. J. Mech. Sci. Technol. 2018, 32, 5623–5630. [Google Scholar] [CrossRef]
- Bodé, W.N.; Lickert, F.; Augustsson, P.; Bruus, H. Determination of the Complex-Valued Elastic Moduli of Polymers by Electrical-Impedance Spectroscopy for Ultrasound Applications. Phys. Rev. Appl. 2022, 18, 064078. [Google Scholar] [CrossRef]
- Kek, T.; Kusic, D.; Hancic, A.; Grum, J. Acoustic emission crack detection in injection molding. In Proceedings of the VIIIth International Workshop NDT in Progress (NDTP2015), Prague, Czech Republic, 12–14 October 2015; pp. 81–88. [Google Scholar]
- Kusić, D.; Kek, T.; Slabe, J.M.; Svečko, R.; Grum, J. The impact of process parameters on test specimen deviations and their correlation with AE signals captured during the injection moulding cycle. Polym. Test. 2013, 32, 583–593. [Google Scholar] [CrossRef]
- Pinpathomrat, B.; Mathurosemontri, S.; Thumsorn, S.; Hamada, H. Interfacial characteristics of insert-injection molding by using acoustic emission. Key Eng. Mater. 2017, 728, 258–263. [Google Scholar] [CrossRef]
- Heinisch, J.; Lockner, Y.; Hopmann, C. Comparison of design of experiment methods for modeling injection molding experiments using artificial neural networks. J. Manuf. Process. 2021, 61, 357–368. [Google Scholar] [CrossRef]
- Rufo, J.; Cai, F.; Friend, J.; Wiklund, M.; Huang, T.J. Acoustofluidics for biomedical applications. Nat. Rev. Methods Prim. 2022, 2, 30. [Google Scholar] [CrossRef]
- Plesek, J.; Kolman, R.; Landa, M. Using finite element method for the determination of elastic moduli by resonant ultrasound spectroscopy. J. Acoust. Soc. Am. 2004, 116, 282–287. [Google Scholar] [CrossRef]
- Wang, H.; Jiang, W.; Cao, W. Characterization of lead zirconate titanate piezoceramic using high frequency ultrasonic spectroscopy. J. Appl. Phys. 1999, 85, 8083–8091. [Google Scholar] [CrossRef][Green Version]
- Saeedabadi, K.; Tosello, G.; Calaon, M. Optimization of injection molded polymer lab-on-a-chip for acoustic blood plasma separation using virtual design of experiment. Procedia CIRP 2022, 107, 40–45. [Google Scholar] [CrossRef]
- Polak, R.; Zahalka, M. Influence of gate position during the injection moulding process. Ann. Daaam Proc. Int. Daaam Symp. 2018, 29, 0659–0664. [Google Scholar] [CrossRef]
- Jin, K.; Jeong, T.; Kim, T.; Kim, N.; Kim, B. Analysis and design for reducing residual stress and distortion after ejection of injection molded part with metal-insert. Int. J. Precis. Eng. Manuf. 2014, 15, 2533–2542. [Google Scholar] [CrossRef]
- Kim, B.; Min, J. Residual stress distributions and their influence on post-manufacturing deformation of injection-molded plastic parts. J. Mater. Process. Technol. 2017, 245, 215–226. [Google Scholar] [CrossRef]
- Xu, G.; Ni, Z.; Chen, X.; Tu, J.; Guo, X.; Bruus, H.; Zhang, D. Acoustic Characterization of Polydimethylsiloxane for Microscale Acoustofluidics. Phys. Rev. Appl. 2020, 13, 054069. [Google Scholar] [CrossRef]
- Ilg, J.; Rupitsch, S.J.; Sutor, A.; Lerch, R. Determination of Dynamic Material Properties of Silicone Rubber Using One-Point Measurements and Finite Element Simulations. IEEE T. Instrum. Meas. 2012, 61, 3031–3038. [Google Scholar] [CrossRef]
- Morokov, E.; Yabbarov, N.; Sedush, N.; Bogachenkov, A.; Malykhin, A.; Demina, V.; Azarkevich, P.; Nikolskaya, E.; Chirkina, M.; Sokol, M. Observation of discrepancy between the degradation of polymer scaffolds in vitro and in vivo according to high-resolution ultrasound technique. Eur. Polym. J. 2023, 195, 112248. [Google Scholar] [CrossRef]
- Eslami, S.; de Figueiredo, M.; Tavares, P.J.; Moreira, P. Parameter optimisation of friction stir welded dissimilar polymers joints. Int. J. Adv. Manuf. Technol. 2018, 94, 1759–1770. [Google Scholar] [CrossRef]










| Factors | Unit | Level 1/Level 2/Level 3 |
|---|---|---|
| Mold temperature | C | 65/−/− |
| Melt temperature | C | 220/−/− |
| Packing pressure | MPa | 90/105/120 |
| Injection velocity | mm/s | 16/20/40 |
| Property | PP-90/PP-105/PP-120 | Max RPD |
|---|---|---|
| Young’s modulus | 5.69/5.65/5.63 | 1% |
| Poisson’s ratio | 0.34/0.34/0.33 | 2.9% |
| Property | IV-16/IV-20/IV-40 | Max RPD |
|---|---|---|
| Young’s modulus | 5.60/5.56/5.60 | 0.7% |
| Poisson’s ratio | 0.34/0.34/0.33 | 2.9% |
Disclaimer/Publisher’s Note: The statements, opinions and data contained in all publications are solely those of the individual author(s) and contributor(s) and not of MDPI and/or the editor(s). MDPI and/or the editor(s) disclaim responsibility for any injury to people or property resulting from any ideas, methods, instructions or products referred to in the content. |
© 2023 by the authors. Licensee MDPI, Basel, Switzerland. This article is an open access article distributed under the terms and conditions of the Creative Commons Attribution (CC BY) license (https://creativecommons.org/licenses/by/4.0/).
Share and Cite
Saeedabadi, K.; Lickert, F.; Bruus, H.; Tosello, G.; Calaon, M. Impact of Injection Molding Parameters on Material Acoustic Parameters. J. Manuf. Mater. Process. 2023, 7, 222. https://doi.org/10.3390/jmmp7060222
Saeedabadi K, Lickert F, Bruus H, Tosello G, Calaon M. Impact of Injection Molding Parameters on Material Acoustic Parameters. Journal of Manufacturing and Materials Processing. 2023; 7(6):222. https://doi.org/10.3390/jmmp7060222
Chicago/Turabian StyleSaeedabadi, Komeil, Fabian Lickert, Henrik Bruus, Guido Tosello, and Matteo Calaon. 2023. "Impact of Injection Molding Parameters on Material Acoustic Parameters" Journal of Manufacturing and Materials Processing 7, no. 6: 222. https://doi.org/10.3390/jmmp7060222
APA StyleSaeedabadi, K., Lickert, F., Bruus, H., Tosello, G., & Calaon, M. (2023). Impact of Injection Molding Parameters on Material Acoustic Parameters. Journal of Manufacturing and Materials Processing, 7(6), 222. https://doi.org/10.3390/jmmp7060222

