Experimental Investigation of Surface Integrity Analysis Using Machine Learning for Nano-Powder Mixed Electrical Discharge Machining
Abstract
1. Introduction
2. Materials and Methods
2.1. Measurement of Output Responses
2.2. Machine Learning (ML) Techniques
- Training Data (80%): 25 samples used to train machine learning algorithms. The training dataset can be found in Table A1 of Appendix A.
- Testing Data (20%): 7 samples used for model validation and performance evaluation. The testing dataset can be found in Table A2 of Appendix A.
3. Results and Discussion
3.1. Impact of the Machining Parameters on Surface Roughness
3.2. Impact of the Machining Parameters on SCD
3.3. Impact of the Machining Parameters on Residual Stress
3.4. Predication of Surface Roughness Using Machine Learning Techniques
4. Conclusions
- Optimal Process Parameters: Within the investigated experimental domain, optimal surface integrity was achieved at gap current of 9 A, pulse-on time of 100 µs, pulse-off time of 10 µs, and gap voltage of 65 V with the TiO2-enhanced Jatropha dielectric. This parametric configuration simultaneously minimized surface roughness (3.22 µm), achieved zero surface crack density, and produced minimal residual stress across the measured 2θ range of 90° to 180°.
- Surface Roughness Enhancement Mechanism: The incorporation of TiO2 nanoparticles in the dielectric medium significantly improved surface finish quality, reducing surface roughness from 4.5 µm (without nanoparticles) to 3.22 µm—a 28.4% improvement. Parametric analysis revealed that pulse-on time (Ton) emerged as the most dominant parameter influencing both surface roughness and surface crack density responses, consistent with its direct control over discharge energy and thermal loading intensity.
- Machine Learning Predictive Framework: Supervised machine learning algorithms, specifically classification-based approaches (k-Nearest Neighbors, Support Vector Machine, and Gaussian Naïve Bayes), demonstrated robust predictive capabilities for surface roughness categorization. These algorithms achieved F1-scores of 0.88 and classification accuracies of 90%, validated through 10-fold stratified cross-validation. The ML framework provides an efficient computational tool for EDM process simulation and optimization, substantially reducing the experimental effort and cost associated with traditional trial-and-error parameter exploration while maintaining prediction reliability within the validated experimental domain.
- Crack-Free Surface Generation: Complete elimination of surface cracks (SCD = 0) was achieved at the optimal parameter combination (9 A current, 100 µs pulse-on, 10 µs pulse-off, and 65 V gap voltage). Parametric analysis confirmed that surface crack density exhibits direct proportionality to pulse-on duration (Ton), attributable to reduced thermal shock and lower peak temperatures at shorter pulse durations. Gap current (Ip) demonstrated a non-monotonic influence on SCD, initially increasing crack formation before declining at higher current levels, suggesting complex interactions between discharge energy and material removal mechanisms.
- Residual Stress Characterization: X-ray diffraction (XRD) analysis across the 2θ angular range of 90° to 180° revealed minimal residual stress magnitudes at the optimal parametric setting (9 A, 100 µs, 10 µs, and 65 V). Statistical analysis indicated that machining parameters exerted negligible influence on both maximum tensile and compressive residual stress components within the investigated parameter space, suggesting that the TiO2-enhanced dielectric effectively mitigates thermal gradients responsible for stress accumulation in conventional EDM processes.
Author Contributions
Funding
Data Availability Statement
Conflicts of Interest
Appendix A
| Run Orders | Input Process Parameters | Output Parameters | ||||
|---|---|---|---|---|---|---|
| Gap Current (A) | Pulse-ON Time | Pulse-OFF Time | Gap Voltage | Powder Concentration (%) | Surface Roughness (µm) | |
| (µs) | (µs) | (Volt) | ||||
| Notation | GC | PON | POFF | GV | PWC | Ra |
| 1 | 6 | 200 | 10 | 60 | 0.6 | 4.42 |
| 2 | 4.5 | 150 | 9 | 62.5 | 0.45 | 5.69 |
| 3 | 7.5 | 150 | 9 | 62.5 | 0.45 | 5.04 |
| 4 | 7.5 | 150 | 9 | 62.5 | 0.45 | 5.39 |
| 5 | 6 | 200 | 8 | 60 | 0.3 | 4.74 |
| 6 | 7.5 | 150 | 9 | 62.5 | 0.45 | 4.48 |
| 9 | 9 | 200 | 10 | 60 | 0.3 | 5.44 |
| 10 | 9 | 100 | 8 | 65 | 0.6 | 5.36 |
| 12 | 9 | 100 | 8 | 60 | 0.3 | 4.8 |
| 13 | 6 | 100 | 10 | 60 | 0.3 | 3.22 |
| 14 | 6 | 100 | 8 | 60 | 0.6 | 3.72 |
| 16 | 7.5 | 150 | 9 | 57.5 | 0.45 | 3.74 |
| 17 | 9 | 100 | 10 | 60 | 0.6 | 5.46 |
| 18 | 9 | 200 | 8 | 60 | 0.6 | 3.84 |
| 19 | 6 | 200 | 8 | 65 | 0.6 | 5.47 |
| 22 | 10.5 | 150 | 9 | 62.5 | 0.45 | 5.45 |
| 23 | 7.5 | 150 | 11 | 62.5 | 0.45 | 4.77 |
| 24 | 7.5 | 150 | 9 | 62.5 | 0.75 | 3.95 |
| 25 | 7.5 | 50 | 9 | 62.5 | 0.45 | 3.97 |
| 26 | 6 | 100 | 8 | 65 | 0.3 | 4.79 |
| 27 | 7.5 | 150 | 9 | 62.5 | 0.45 | 4.02 |
| 28 | 7.5 | 150 | 9 | 62.5 | 0.45 | 3.78 |
| 30 | 6 | 200 | 10 | 65 | 0.3 | 5.35 |
| 31 | 9 | 200 | 10 | 65 | 0.6 | 4.25 |
| 32 | 7.5 | 150 | 9 | 67.5 | 0.45 | 6.15 |
| Run Orders | Input Process Parameters | Output Parameters | ||||
|---|---|---|---|---|---|---|
| Gap Current (A) | Pulse-ON Time | Pulse-OFF Time | Gap Voltage | Powder Concentration (%) | Surface Roughness (µm) | |
| (µs) | (µs) | (Volt) | ||||
| Notation | GC | PON | POFF | GV | PWC | Ra |
| 7 | 7.5 | 150 | 9 | 62.5 | 0.45 | 3.49 |
| 8 | 7.5 | 150 | 9 | 62.5 | 0.15 | 3.76 |
| 11 | 9 | 100 | 10 | 65 | 0.3 | 3.85 |
| 15 | 7.5 | 250 | 9 | 62.5 | 0.45 | 5.1 |
| 20 | 7.5 | 150 | 7 | 62.5 | 0.45 | 5.39 |
| 21 | 9 | 200 | 8 | 65 | 0.3 | 5.58 |
| 29 | 6 | 100 | 10 | 65 | 0.6 | 4.64 |
References
- Chakraborty, T.; Acherjee, B.; Mandal, A. Emerging frontiers in electro-discharge machining: A comprehensive review of research trends, challenges, and innovative solutions. Forsch. Ingenieurwesen 2025, 89, 68. [Google Scholar] [CrossRef]
- Pant, P.; Bharti, P.S. Surface integrity assessment techniques in EDM process for enhancement of product’s performance: A review. Adv. Mater. Process. Technol. 2024, 10, 167–185. [Google Scholar] [CrossRef]
- Rakshaskar, R.; Kannan, C. Enhancing surface integrity and performance of EDM with sustainable dielectrics and electrode modifications. Eng. Res. Express 2024, 6, 025526. [Google Scholar] [CrossRef]
- Valaki, J.B.; Rathod, P.P. Environmental impact, personnel health and operational safety aspects of electric discharge machining: A review. Proc. Inst. Mech. Eng. Part B J. Eng. Manuf. 2015, 229, 1481–1491. [Google Scholar] [CrossRef]
- Kunal, K.; Singh, K.P.; Khan, M.Y. Dielectric fluids for the electrical discharge machining: A review. Appl. Mech. Mater. 2024, 922, 55–65. [Google Scholar] [CrossRef]
- Bhowmik, A.; Mazarbhuiya, R.M.; Rahang, M.; Saha, S.; Veeman, D. Advancing sustainability in EDM: A brief review of eco-friendly dielectric fluids. AIP Adv. 2025, 15, 040702. [Google Scholar] [CrossRef]
- Radu, M.-C.; Tampu, R.; Nedeff, V.; Patriciu, O.-I.; Schnakovszky, C.; Herghelegiu, E. Experimental investigation of stability of vegetable oils used as dielectric fluids for electrical discharge machining. Processes 2020, 8, 1187. [Google Scholar] [CrossRef]
- Khan, M.Y.; Rao, P.S.; Pabla, B.S. Investigations on the feasibility of Jatropha curcas oil based biodiesel for sustainable dielectric fluid in EDM process. Mater. Today Proc. 2020, 26, 335–340. [Google Scholar] [CrossRef]
- Singaravel, B.; Shekar, K.C.; Reddy, G.G.; Prasad, S.D. Experimental investigation of vegetable oil as dielectric fluid in electric discharge machining of Ti-6Al-4V. Ain Shams Eng. J. 2020, 11, 143–147. [Google Scholar] [CrossRef]
- Agrawal, J.P.; Somani, N.; Gupta, N.K. A systematic review on powder-mixed electrical discharge machining (PMEDM) technique for machining of difficult-to-machine materials. Innov. Emerg. Technol. 2024, 11, 2440002. [Google Scholar] [CrossRef]
- Matanda, B.K.; Petal, V.; Joshi, U.; Joshi, O. A review on powders used for PMEDM machining process. AIP Conf. Proc. 2024, 3107, 110003. [Google Scholar] [CrossRef]
- Marashi, H.; Sarhan, A.A.D.; Hamdi, M. Employing Ti nanopowder dielectric to enhance surface characteristics in electrical discharge machining of AISI D2 steel. Appl. Surf. Sci. 2015, 357, 892–907. [Google Scholar] [CrossRef]
- Alam, S.T.; Amin, A.N.; Hossain, I.; Huq, M.; Tamim, S.H. Performance evaluation of graphite and titanium oxide powder mixed dielectric for electric discharge machining of Ti–6Al–4V. SN Appl. Sci. 2021, 3, 435. [Google Scholar] [CrossRef]
- Singh, G.; Sidhu, S.S.; Bains, P.S.; Bhui, A.S. Surface evaluation of ED machined 316L stainless steel in TiO2 nano-powder mixed dielectric medium. Mater. Today Proc. 2019, 18, 1297–1303. [Google Scholar] [CrossRef]
- Grzesik, W.; Kruszynski, B.; Ruszaj, A. Surface Integrity of Machined Surfaces. In Surface Integrity in Machining; Davim, J., Ed.; Springer: London, UK, 2010; pp. 67–96. [Google Scholar]
- Lee, H.T.; Hsu, F.C.; Tai, T.Y. Study of surface integrity using the small area EDM process with a copper-tungsten electrode. J. Mater. Sci. Eng. 2004, 364, 346–356. [Google Scholar] [CrossRef]
- Sahu, D.R.; Mandal, A. Critical analysis of surface integrity parameters and dimensional accuracy in powder-mixed EDM. Mater. Manuf. Process. 2020, 35, 623–632. [Google Scholar] [CrossRef]
- Singh, K.; Singh, K.P.; Khan, M.Y. Investigation and optimization of process parameters in the electrical discharge machining process for Inconel660 using response surface methodology. Future Technol. 2025, 4, 22–29. [Google Scholar] [CrossRef]
- Straka, Ľ.; Piteľ, J.; Čorný, I. Assessment of Surface Integrity in Precision Electrical Discharge Machining of HSS EN HS6-5-2C. Micromachines 2024, 15, 1469. [Google Scholar] [CrossRef]
- Lodhi, B.K.; Agarwal, S. Experimental investigation to assess the surface integrity in WEDM of Al-based hybrid composite material. Proc. Inst. Mech. Eng. Part E J. Process Mech. Eng. 2024, 238, 1234–1245. [Google Scholar] [CrossRef]
- Kaigude, A.R.; Khedkar, N.K.; Jatti, V.S.; Salunkhe, S.; Cep, R.; Nasr, E.A. Surface roughness prediction of AISI D2 tool steel during powder mixed EDM using supervised machine learning. Sci. Rep. 2024, 14, 9683. [Google Scholar] [CrossRef]
- Wang, G.; Zhu, L.; Han, F. Influence of energy input process on the white layer and residual stress in electrical discharge machining. Int. J. Adv. Manuf. Technol. 2022, 119, 4925–4937. [Google Scholar] [CrossRef]
- Muttamara, A.; Nakwong, P. Effect of Electrical Discharge Machining on Surface Characteristics and Microstructure of Aluminum Alloy 2024. In Proceedings of the 4th International Conference on Management Science and Industrial Engineering (MSIE ‘22), Chiang Mai, Thailand, 28–30 April 2022; ACM: New York, NY, USA, 2022; pp. 45–51. [Google Scholar]
- Jamunkar, T.; Sundaram, M. Prediction of Surface Roughness on Electrical Discharge Machined Surfaces. In Proceedings of the 50th SME North American Manufacturing Research Conference (NAMRC 50), Ann Arbor, MI, USA, 27 June–1 July 2022. [Google Scholar]
- Sokołowski, A.; Łomozik, Ł.; Bąkowski, H. Metallographic Examination of Surface Layer after Electrical Discharge Machining. Int. J. Mod. Manuf. Technol. 2022, 14, 2067–3604. [Google Scholar] [CrossRef]
- Bhattacharyya, B.; Gangopadhyay, S.; Sarkar, B.R. Modelling and analysis of EDM ED job surface integrity. J. Mater. Process. Technol. 2007, 189, 169–177. [Google Scholar]
- Jatti, V.S.; Dhabale, R.B.; Mishra, A.; Khedkar, N.K.; Jatti, V.S.; Jatti, A.V. Machine Learning Based Predictive Modeling of Electrical Discharge Machining of Cryo-Treated NiTi, NiCu and BeCu Alloys. Appl. Syst. Innov. 2022, 5, 107. [Google Scholar]
- Sana, M.; Asad, M.; Farooq, M.U. Machine learning for multi-dimensional performance optimization and predictive modelling of nanopowder-mixed electric discharge machining (EDM). Int. J. Adv. Manuf. Technol. 2024, 130, 5641–5664. [Google Scholar]
- Paturi, U.M.R. Machine learning and statistical approach in modeling and optimization of surface roughness in wire electrical discharge machining. Mach. Learn. Appl. 2021, 6, 100123. [Google Scholar] [CrossRef]
- Singh, R. Machine learning algorithms based advanced optimization of EDM parameters: An experimental investigation into shape memory alloys. Sens. Int. 2022, 3, 100179. [Google Scholar] [CrossRef]
- Valaki, J.B.; Rathod, P.P.; Sankhavara, C.D. Investigations on technical feasibility of Jatropha curcas oil based bio dielectric fluid for sustainable electrical discharge machining (EDM). J. Manuf. Process. 2016, 22, 151–160. [Google Scholar] [CrossRef]
- Kumara, P.; Gupta, M.; Kumar, V. Experimental investigation of surface crack density and recast layer thickness of WEDMed Inconel 825. J. Comput. Appl. Res. Mech. Eng. 2016, 11, 205–216. [Google Scholar]
- Ekmekci, B. White layer composition; heat treatment, and crack formation in electric discharge machining process. Metall. Mater. Trans. B 2009, 40, 70–81. [Google Scholar]
- Kumar, D.; Mer, K.K.S.; Payal, H.S.; Kumar, K. Residual Stress Modeling and Analysis in AISI A2 Steel Processed by an Electrical Discharge Machine. Mater. Technol. 2022, 56, 65–72. [Google Scholar] [CrossRef]
- Kumar, S.; Das, S.; Joshi, S.N. Finite Element Modeling of Thermal Residual Stresses generated during EDM of AISI 1018 Steel. J. Inst. Eng. India Ser. 2021, 102, 123–134. [Google Scholar] [CrossRef]












| Ref. | Author | Input Parameter | Response Characteristics | Findings in the Study |
|---|---|---|---|---|
| [18] | Kunal Singh (2025) | Ip, Ton and Toff | SR, MRR and TWR | Toff primarily affects SR; I and Ton have a considerable impact on MRR and TWR. |
| [19] | Ľuboslav Straka (2025) | IP, Ton, Toff and V. | SCD | Higher value of I (19 A) for longer duration. Ton (32 μs) results in an increase in SCD |
| [20] | Brajesh Kumar Lodhi (2024) | TON, TOFF, IP and WF | Material removal rate (MRR) and SR | Ton, TOFF, IP, and quadratic terms of TOFF2 and IP2 are the most influential factors of the MRR. The TON, IP and interaction term (TON × IP), and IP2 were the most significant factors for Ra. |
| [21] | Amreeta R. Kaigude (2024) | Ip, Ton, Toff and V | SR | Ip and Ton were the most significant parameters affecting SR. As the values of Ip and Ton increase, the SR also increases. |
| [22] | Guisen Wang (2023) | Ip and Ton. | SR, residual stress, WLT and SCD. | Low Ip with long Ton leads to lower SR and residual stress but more surface cracks were observed for high Ip with short Ton mode. |
| [23] | Apiwat Muttamara (2022) | Discharge current | SCD | Cracks are frequently noted in machining processes characterized by high Ton duration and low average Ip. |
| [24] | Trilochan Jamunkar (2022) | IP, Ton, Toff and V. | SR | The dimensions of the crater demonstrate a linear correlation with both the V and IP and non-linear correlation between the dimensions of the crater and the Ton. |
| [25] | Andrzej Sokołowski (2022) | Wire feed rate (WF), Ton, Toff and V. | SR | Most favorable settings for achieving high surface quality involve a minimum Ton and a maximum value of V. |
| C | SI | Cr | Mo | V | Mn |
|---|---|---|---|---|---|
| 1.55% | 0.30% | 11.8% | 0.80% | 0.80% | 0.4% |
| Properties | Density (gm/mL) | Viscosity at (27 °C) (cSt) | Thermal Conductivity (W/m K) | Specific Heat (kJ/kgK) | Breakdown Voltage (kV) | Dielectric Constant at 27 °C | Flash Point (°C) | Oxygen Content (wt %) | Carbon Content (wt %) |
|---|---|---|---|---|---|---|---|---|---|
| Jatropha Oil | 0.87 | 6.5836 | 0.147 | 1.9 | 26 | 3.238 | 170 | 1.11 | 85.32 |
| Specification | Average Particle Size (nm) | Melting Point (°C) | Bulk Density (g/cm3) | Surface Area (m2/g) |
|---|---|---|---|---|
| TiO2 nanoparticles | 30 | 1843 | 0.35 | 150 m2/g |
| Level. | −2 | −1 | 0 | 1 | 2 |
|---|---|---|---|---|---|
| Gap Current (A) | 4.5 | 6 | 7.5 | 9 | 10.5 |
| PON (µs) | 50 | 100 | 150 | 200 | 250 |
| POFF (µs) | 7 | 8 | 9 | 10 | 11 |
| Gap Voltage (Volt) | 57.5 | 60 | 62.5 | 65 | 67.5 |
| Powder Concentration (%) | 0.15 | 0.3 | 0.45 | 0.6 | 0.75 |
| Aspects | k-Nearest Neighbor (kNN) | Support Vector Classification (SVM) | Logistic Regression | Gaussian Naïve Bayes (GNB) |
|---|---|---|---|---|
| Model Type | Instance-based, non-parametric | Kernel-based, discriminative | Linear/non-linear, Probabilistic | Probabilistic, generative |
| Working Principal | Classifies based on majority vote of k nearest neighbors in feature space | Creates optimal hyperplane to separate classes using support vectors | Uses logistic function to model probability of class membership | Applies Bayes’ theorem with assumption of feature independence |
| Mathematical Foundation | Distance metrics (Euclidean, Manhattan, Minkowski) | Optimization of margin maximization with kernel functions | Maximum likelihood estimation using sigmoid function | Bayes’ theorem with Gaussian distribution assumption |
| Advantages | • Captures local surface patterns • No assumptions about data distribution • Effective for irregular surface textures • Handles complex feature interactions | • Excellent generalization capability • Effective with high-dimensional machining parameters • Robust to outliers in surface measurements • Handles non-linear relationships well | • Fast prediction for real-time applications • Provides confidence intervals • Good baseline performance • Interpretable feature importance | • Fast training and prediction • Works well with limited surface roughness data • Probabilistic uncertainty quantification • Robust to irrelevant features |
| Limitations | • Computationally expensive for large datasets • Sensitive to feature scaling • Poor performance with high-dimensional data • Memory intensive | • Requires careful hyperparameter tuning • Sensitive to feature scaling • Complex model interpretation • Longer training time | • Assumes linear relationship (without feature engineering) • May struggle with complex surface interactions • Sensitive to outliers in machining data • Limited non-linear modeling capability | • Strong independence assumption rarely holds • Poor performance with correlated machining parameters • Limited handling of feature interactions |
| Std Order | Run Orders | Pt Type | Blocks | Input Process Parameters | Output Parameter | ||||
|---|---|---|---|---|---|---|---|---|---|
| Gap Current (A) | Pulse-ON Time | Pulse-OFF Time | Gap Voltage | Powder Concentration (%) | Surface Roughness (µm) | ||||
| (µs) | (µs) | (Volt) | |||||||
| 7 | 1 | 1 | 1 | 6 | 200 | 10 | 60 | 0.6 | 5.58 |
| 17 | 2 | −1 | 1 | 4.5 | 150 | 9 | 62.5 | 0.45 | 3.78 |
| 27 | 3 | 0 | 1 | 7.5 | 150 | 9 | 62.5 | 0.45 | 3.74 |
| 32 | 4 | 0 | 1 | 7.5 | 150 | 9 | 62.5 | 0.45 | 4.79 |
| 3 | 5 | 1 | 1 | 6 | 200 | 8 | 60 | 0.3 | 3.95 |
| 28 | 6 | 0 | 1 | 7.5 | 150 | 9 | 62.5 | 0.45 | 4.42 |
| 31 | 7 | 0 | 1 | 7.5 | 150 | 9 | 62.5 | 0.45 | 5.36 |
| 25 | 8 | −1 | 1 | 7.5 | 150 | 9 | 62.5 | 0.15 | 5.44 |
| 8 | 9 | 1 | 1 | 9 | 200 | 10 | 60 | 0.3 | 5.35 |
| 10 | 10 | 1 | 1 | 9 | 100 | 8 | 65 | 0.6 | 3.84 |
| 14 | 11 | 1 | 1 | 9 | 100 | 10 | 65 | 0.3 | 3.22 |
| 2 | 12 | 1 | 1 | 9 | 100 | 8 | 60 | 0.3 | 4.25 |
| 5 | 13 | 1 | 1 | 6 | 100 | 10 | 60 | 0.3 | 4.48 |
| 1 | 14 | 1 | 1 | 6 | 100 | 8 | 60 | 0.6 | 4.64 |
| 20 | 15 | −1 | 1 | 7.5 | 250 | 9 | 62.5 | 0.45 | 6.15 |
| 23 | 16 | −1 | 1 | 7.5 | 150 | 9 | 57.5 | 0.45 | 4.8 |
| 6 | 17 | 1 | 1 | 9 | 100 | 10 | 60 | 0.6 | 5.45 |
| 4 | 18 | 1 | 1 | 9 | 200 | 8 | 60 | 0.6 | 5.04 |
| 11 | 19 | 1 | 1 | 6 | 200 | 8 | 65 | 0.6 | 3.49 |
| 21 | 20 | −1 | 1 | 7.5 | 150 | 7 | 62.5 | 0.45 | 3.72 |
| 12 | 21 | 1 | 1 | 9 | 200 | 8 | 65 | 0.3 | 5.39 |
| 18 | 22 | −1 | 1 | 10.5 | 150 | 9 | 62.5 | 0.45 | 3.76 |
| 22 | 23 | −1 | 1 | 7.5 | 150 | 11 | 62.5 | 0.45 | 5.1 |
| 26 | 24 | −1 | 1 | 7.5 | 150 | 9 | 62.5 | 0.75 | 4.77 |
| 19 | 25 | −1 | 1 | 7.5 | 50 | 9 | 62.5 | 0.45 | 4.02 |
| 9 | 26 | 1 | 1 | 6 | 100 | 8 | 65 | 0.3 | 3.97 |
| 30 | 27 | 0 | 1 | 7.5 | 150 | 9 | 62.5 | 0.45 | 5.47 |
| 29 | 28 | 0 | 1 | 7.5 | 150 | 9 | 62.5 | 0.45 | 5.69 |
| 13 | 29 | 1 | 1 | 6 | 100 | 10 | 65 | 0.6 | 3.85 |
| 15 | 30 | 1 | 1 | 6 | 200 | 10 | 65 | 0.3 | 5.39 |
| 16 | 31 | 1 | 1 | 9 | 200 | 10 | 65 | 0.6 | 5.46 |
| 24 | 32 | −1 | 1 | 7.5 | 150 | 9 | 67.5 | 0.45 | 4.74 |
| Std Order | Run Order | Pt Type | Blocks | Gap Current (A) | Pulse-ON Time (µs) | Pulse-OFF Time (µs) | Gap Voltage (Volt) | SCD (µm/µm2) |
|---|---|---|---|---|---|---|---|---|
| 14 | 11 | 1 | 1 | 9 | 100 | 10 | 65 | 0.0 |
| 1 | 14 | 1 | 1 | 6 | 100 | 8 | 60 | 0.063 |
| 20 | 15 | −1 | 1 | 7.5 | 250 | 9 | 62.5 | 0.04 |
| 11 | 19 | 1 | 1 | 6 | 200 | 8 | 65 | 0.044 |
| 26 | 24 | −1 | 1 | 7.5 | 150 | 9 | 62.5 | 0.065 |
| 29 | 28 | 0 | 1 | 7.5 | 150 | 9 | 62.5 | 0.051 |
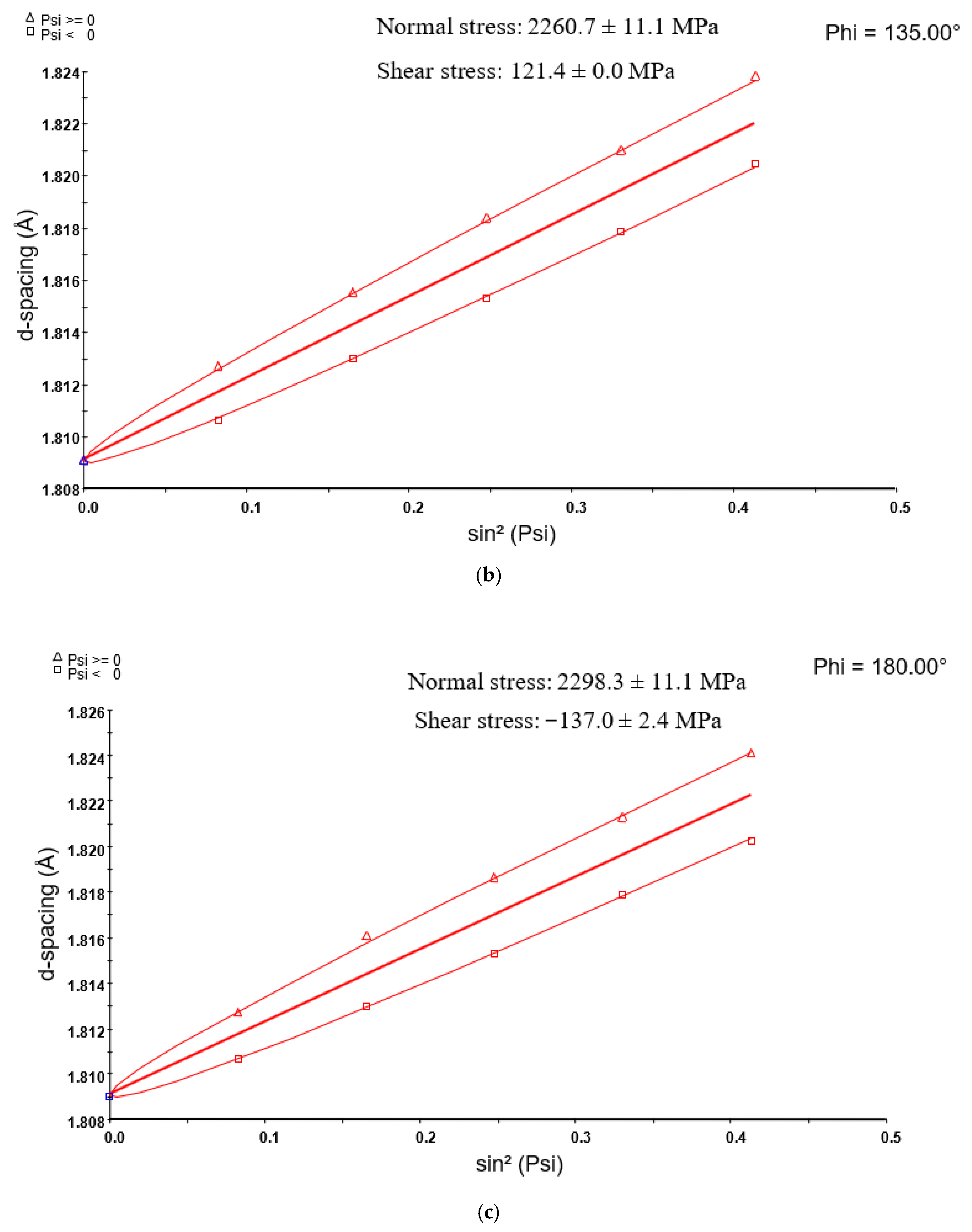
| Run Order | Gap Current (A) | Pulse-ON Time (µs) | Pulse-OFF Time (µs) | Gap Voltage (Volt) | Φ | σφ (Mpa) | SDσφ (Mpa) | τφ (Mpa) | SDτφ (Mpa) |
|---|---|---|---|---|---|---|---|---|---|
| 11 | 9 | 100 | 10 | 65 | 90 | 1548.2 | 7.6 | 168.7 | 1.6 |
| 135 | 1663 | 7.6 | 168.7 | 1.6 | |||||
| 180 | 1667.4 | 7.6 | −69.7 | 1.6 | |||||
| 14 | 6 | 100 | 8 | 60 | 90 | 2223 | 11.1 | −13.7 | 2.4 |
| 135 | 2260.7 | 11.1 | 121.4 | 0 | |||||
| 180 | 2298.3 | 11.1 | 121.4 | 2.4 | |||||
| 15 | 7.5 | 250 | 9 | 62.5 | 90 | 2278.5 | 15.1 | 194 | 3.2 |
| 135 | 1973 | 15.1 | 15.5 | 3.2 | |||||
| 180 | 1778 | 15.1 | −172 | 0 |
| Algorithms | Precision Value of ‘0’ | Precision Value of ‘1’ | Recall Value of ‘0’ | Recall Value of ‘1’ | Overall F1-Score |
|---|---|---|---|---|---|
| kNN | 0.87 | 1.00 | 1.00 | 0.71 | 0.88 |
| SVM | 0.87 | 1.00 | 1.00 | 0.71 | 0.88 |
| Logistic Regression Classifier | 0.86 | 1.00 | 1.00 | 0.71 | 0.83 |
| GBN | 0.87 | 1.00 | 1.00 | 0.71 | 0.88 |
| Algorithms | Accuracy |
|---|---|
| kNN | 90 |
| SVM | 90 |
| Logistic Regression Classifier | 85 |
| GNB | 90 |
| Algorithm | Error Rate (%) | Type I Error (%) | Type II Error (%) | FPR Class 0 (%) | FNR Class 1 (%) |
|---|---|---|---|---|---|
| kNN | 10 | 6.50 | 14.50 | 13 | 29 |
| SVM | 10 | 6.50 | 14.50 | 13 | 29 |
| Logistic Regression | 15 | 7.00 | 14.50 | 14 | 29 |
| GNB | 10 | 6.50 | 14.50 | 13 | 29 |
Disclaimer/Publisher’s Note: The statements, opinions and data contained in all publications are solely those of the individual author(s) and contributor(s) and not of MDPI and/or the editor(s). MDPI and/or the editor(s) disclaim responsibility for any injury to people or property resulting from any ideas, methods, instructions or products referred to in the content. |
© 2026 by the authors. Licensee MDPI, Basel, Switzerland. This article is an open access article distributed under the terms and conditions of the Creative Commons Attribution (CC BY) license.
Share and Cite
Kaigude, A.R.; Khedkar, N.K.; Jatti, V.S. Experimental Investigation of Surface Integrity Analysis Using Machine Learning for Nano-Powder Mixed Electrical Discharge Machining. J. Manuf. Mater. Process. 2026, 10, 115. https://doi.org/10.3390/jmmp10040115
Kaigude AR, Khedkar NK, Jatti VS. Experimental Investigation of Surface Integrity Analysis Using Machine Learning for Nano-Powder Mixed Electrical Discharge Machining. Journal of Manufacturing and Materials Processing. 2026; 10(4):115. https://doi.org/10.3390/jmmp10040115
Chicago/Turabian StyleKaigude, Amreeta R., Nitin K. Khedkar, and Vijaykumar S. Jatti. 2026. "Experimental Investigation of Surface Integrity Analysis Using Machine Learning for Nano-Powder Mixed Electrical Discharge Machining" Journal of Manufacturing and Materials Processing 10, no. 4: 115. https://doi.org/10.3390/jmmp10040115
APA StyleKaigude, A. R., Khedkar, N. K., & Jatti, V. S. (2026). Experimental Investigation of Surface Integrity Analysis Using Machine Learning for Nano-Powder Mixed Electrical Discharge Machining. Journal of Manufacturing and Materials Processing, 10(4), 115. https://doi.org/10.3390/jmmp10040115
