Next Article in Journal
Enhancement of Microstructure, Tensile and Fatigue Performance of EN AW-1050 by Wire-Based Friction Stir Additive Manufacturing
Previous Article in Journal
In Situ Extrusion Processing of Treated and Untreated Pineapple Leaf Fibre-Reinforced PLA Composites for Improved Impact Performance
 
 
Font Type:
Arial Georgia Verdana
Font Size:
Aa Aa Aa
Line Spacing:
Column Width:
Background:
Article

Foundations for Future Prosthetics: Combining Rheology, 3D Printing, and Sensors

by
Salman Pervaiz
1,
Krittika Goyal
2,
Jun Han Bae
2 and
Ahasan Habib
2,*
1
Department of Mechanical and Industrial Engineering Technology, Rochester Institute of Technology Dubai Campus, Dubai 341055, United Arab Emirates
2
Department of Mechanical and Mechatronics Engineering Technology, Rochester Institute of Technology, Rochester, NY 14623, USA
*
Author to whom correspondence should be addressed.
J. Manuf. Mater. Process. 2026, 10(1), 23; https://doi.org/10.3390/jmmp10010023
Submission received: 20 November 2025 / Revised: 30 December 2025 / Accepted: 5 January 2026 / Published: 8 January 2026

Abstract

The rising global demand for prosthetic limbs, driven by approximately 185,000 amputations annually in the United States, underscores the need for innovative and cost-efficient solutions. This study explores the integration of hybrid materials, advanced 3D printing techniques, and smart sensing technologies to enhance prosthetic finger production. A Taguchi-based design of experiments (DoE) approach using an L09 orthogonal array was employed to systematically evaluate the effects of infill density, infill pattern, and print speed on the tensile behavior of FDM-printed PLA components. Findings reveal that higher infill densities (90%) and hexagonal patterns significantly enhance yield strength, ultimate tensile strength, and stiffness. Additionally, the rheological properties of polydimethylsiloxane (PDMS) were optimized at various temperatures (30–70 °C), characterizing its viscosity, shear-thinning factors, and stress behaviors for 3D bioprinting of flexible sensors. Barium titanate (BaTiO3) was incorporated into PDMS to fabricate a flexible tactile sensor, achieving reliable open-circuit voltage readings under applied forces. Structural and functional components of the finger prosthesis were fabricated using FDM, stereolithography (SLA), and extrusion-based bioprinting (EBP) and assembled into a functional prototype. This research demonstrates the feasibility of integrating hybrid materials and advanced printing methodologies to create cost-effective, high-performance prosthetic components with enhanced mechanical properties and embedded sensing capabilities.

1. Introduction

Prostheses play a vital role in restoring mobility, independence, and quality of life for individuals who have experienced limb loss or deformities [1]. These artificial devices serve as functional replacements for missing body parts, enabling amputees and those born with congenital defects to perform daily activities and regain a sense of normalcy [2]. The impact of prostheses extends beyond physical functionality, as they also contribute to psychological well-being and social integration. The rising global demand for prosthetic limbs, driven by an increasing number of amputations, with approximately 185,000 procedures performed yearly in the United States alone, has highlighted the need for cost-effective and personalized solutions [3]. However, traditional manufacturing methods for prosthetics can be time-consuming, expensive, and often result in ill-fitting devices [4]. Due to its inherent capability, this is where 3D printing technology has emerged as a game-changer, offering a more efficient, cost-effective, and customizable approach to prosthetic production [5,6]. By integrating 3D scanning and computer-aided design (CAD) technologies, prostheses can be precisely tailored to an individual’s unique anatomy, ensuring a comfortable and functional fit. Various 3D printing techniques, such as Fused Deposition Modeling (FDM), stereolithography (SLA), selective laser sintering (SLS), and digital light processing (DLP), have been explored for prosthetic applications [7]. These techniques allow for the utilization of a wide range of materials, including thermoplastic polymers [8], ceramics [9], and metals [10], facilitating the fabrication of prosthetic components with desired mechanical properties and aesthetically pleasing designs.
This customizability and material versatility offered by 3D printing hold immense potential for improving the accessibility, comfort, and functionality of prosthetic devices for those in need. However, prior efforts have faced important challenges, including limited mechanical durability and fatigue resistance of printed components, surface roughness, and poor skin compatibility at the socket–limb interface, and variability in print quality and fit across devices. These limitations highlight the need for sustainable materials that are not only mechanically robust and biocompatible, but also derived from renewable or recyclable sources, reduce manufacturing waste, and lower long-term replacement and maintenance costs—factors that are particularly critical for users in low-resource settings and for growing pediatric patients who require frequent prosthesis replacement. Moreover, an in-house designed and manufactured sensor-based actuation integrated with 3D-printed prosthesis can improve the overall functionality of users [11]. Therefore, this research aims to advance the design and fabrication of a multi-material, sensor-integrated finger prosthesis by establishing a seamless workflow that connects material selection, characterization, and manufacturing processes. The study employs FDM and SLA 3D printing to fabricate structurally rigid components with high-dimensional accuracy, while extrusion-based bioprinting is used to integrate soft PDMS-based sensing elements. Comprehensive material characterization, including mechanical behavior, rheological properties, and electrical performance, is performed to determine suitability for prosthetic functionality. Furthermore, a “Taguchi based Design of Experiments (DoE)” approach is used to systematically evaluate the effects of key printing parameters on print quality, enabling identification of optimal conditions for reliable fabrication. This integrated approach provides a foundational framework for developing next-generation prosthetic devices with enhanced structural, functional, and sensory performance.
Although a full material selection study was beyond the scope of this work, the materials used in the prototype were chosen based on their suitability for prosthetic applications and alignment with prior studies. Polylactic acid (PLA) was used for the structural components because it provides high-dimensional accuracy, ease of printing, and adequate stiffness—properties that have made it a common choice in earlier 3D-printed finger and hand prostheses. Polydimethylsiloxane (PDMS) was selected for the fingertip regions due to its softness, biocompatibility, and elastic recovery, which make it well-suited for tactile sensing and compliant contact surfaces. Silicone-based elastomers, including PDMS, have also been widely used in prior prosthetic research for replicating soft-tissue mechanics. Together, PLA and PDMS offer a practical and well-supported material combination for demonstrating a hybrid, multi-material finger prosthesis.
PLA was selected for the structural components of the finger prosthesis due to its high-dimensional accuracy, ease of processing in FDM printers, and sufficient stiffness for lightweight prosthetic applications. Although PLA is biodegradable, its degradation occurs slowly under specific environmental conditions and does not present a concern for short- to medium-term laboratory prototyping or functional testing. The global polylactic acid market is projected to grow from about USD 2.0–2.3 billion in 2025 to roughly USD 4.5–11.7 billion by 2030–2035 based on various forecast models [12]. While PLA is not known for exceptional impact resistance, the prosthesis in this study was designed to minimize high-impact loading by incorporating geometries and infill patterns that enhance structural stability for typical finger-level motions rather than shock-bearing tasks [13,14,15]. Tensile and flexural testing of 3D-printed PLA with various infill patterns showed that the square infill provided the highest tensile strength and stiffness, while the hexagonal infill demonstrated superior flexural performance [16]. In another study, the hexagonal infill showed brittle fracture in some samples due to poor interlayer bonding governing fracture properties. Tensile data indicated the honeycomb infill’s suitability for lightweight applications, with increasing layer thickness improving mechanical strength [17].
Achieving high precision is crucial in 3D printing prostheses, as even minor inaccuracies can lead to discomfort or improper functioning [18]. A proper design and manufacturing setting can help achieve that [6,15]. The stereolithography (SLA) 3D printing technique stands out for its ability to produce intricate details with exceptional surface quality and high-dimensional accuracy [19]. Unlike other 3D printing methods that build parts layer-by-layer using extruded material, SLA utilizes a laser to selectively cure liquid resin, resulting in parts with fine resolution and minimal deviations from the intended design. Studies have demonstrated that factors such as build orientation, layer thickness, and support structure density significantly influence the dimensional accuracy of SLA-printed components. By optimizing these parameters, prosthetic components can be fabricated with high fidelity to the original computer-aided design (CAD) models [20,21]. Leveraging the superior accuracy of SLA 3D printing, we incorporated this technique into our workflow for fabricating finger prostheses to ensure precise fit and functionality.
PDMS is a silicone-based polymer renowned for its excellent elasticity, resilience, thermal insulation, and biocompatibility, making it a popular choice for various applications, including microfluidics, soft robotics, and biomedical devices [22,23]. Its flexibility and gas permeability further enhance its utility in diverse fields [24]. With advancements in 3D printing technology, extrusion-based bioprinting (EBP) has enabled the use of shear-thinning materials, where viscosity decreases with increasing shear rate [25,26,27]. Tuning the viscosity of soft hydrogel materials, like PDMS, is critical for achieving user-defined scaffold architectures. Proper control of processing temperatures for various PDMS compositions can result in optimized porosity in printed constructs [25]. Our previous work identified the optimal PDMS composition for 3D printability, and in this study, we analyzed how processing temperatures affect its flow behavior and shear-thinning factors (n and k) [28]. This analysis will guide the selection of application-specific processing temperatures to 3D bioprint sensor-infused constructs. PDMS composites also hold significant potential for creating flexible, low-cost tactile sensing devices [29]. For example, capacitive tactile sensors have been developed using carbon black/PDMS as the dielectric layer and carbon nanotubes/PDMS as electrodes [23], showcasing their adaptability and affordability. Piezoelectric-based tactile sensors have gained prominence due to their high sensitivity and wide dynamic range. Materials like Lead Zirconium Titanate (PZT) and barium titanate (BaTiO3) have been combined with PDMS to fabricate flexible sensors [30]. While PZT has a higher piezoelectric charge constant, its toxicity limits its use in biomedical applications [31,32]. In this work, barium titanate is combined with PDMS to create a flexible, low-cost tactile sensor. The fabricated sensor demonstrates tactile sensing capability by generating voltage proportional to the applied pressure, showcasing its suitability for various sensing applications.
In FDM method, a solid thermoplastic filament is fed into a heated liquefier, melted, and extruded through a nozzle that traces toolpaths to deposit material layer-by-layer, with successive layers fusing as they cool to form a 3D part [33]. In FDM, print quality and mechanical performance are strongly governed by process parameters such as nozzle and bed temperatures, extrusion rate, layer height, print speed, and cooling conditions, which together control melt flow, interlayer bonding, and warpage [34]. In SLA, on the other hand, build platform moves within a vat of liquid photopolymer resin while a UV light source (laser or projector) selectively cures regions of each layer; repeated exposure and recoating build the object via localized photopolymerization [35]. Finally, in EBP, a viscous bioink or polymer melt is pressurized (pneumatic, piston, or screw) and extruded through a nozzle along a predefined toolpath; shear thinning during extrusion enables flow, and rapid viscosity recovery after deposition maintains strand shape and scaffold architecture [36].
In summary, this article focuses on the design and fabrication of a multi-material finger prosthesis by combining FDM, SLA, and EBP techniques to produce structurally rigid components and embedded soft sensing regions. The work specifically investigates how material selection, mechanical behavior, and print parameters influence the performance of individual prosthetic elements and uses a Taguchi-based design of experiments (DoE) approach to optimize printing conditions for improved dimensional accuracy and print quality. A key novel aspect of this study is the integration of PDMS-based soft materials and barium titanate (BaTiO3)–PDMS piezoelectric composites into a 3D-printed finger structure to demonstrate a low-cost tactile sensing concept. Additionally, the multi-material assembly of SLA, FDM, and PDMS components into a functional finger prototype represents a unique manufacturing framework for creating compliant, sensor-enabled prosthetic elements. Figure 1 provides an overview of the workflow and contributions of this research. By integrating biomechanical considerations, advanced material science, and sensor design, this study bridges critical gaps between modeling and fabrication, laying the groundwork for future development of highly functional prosthetic fingers that more closely replicate the natural motion and sensory feedback of the human hand.

2. Materials

The prosthesis finger as shown in Figure 1 was fabricated using a multi-material approach, employing three distinct 3D printing technologies (Figure 2a): (i) an SLA-based Form 3 printer (Formlab, Somerville, MA, USA), (ii) an FDM-based Creality printer (Shenzhen Creality 3D Technology Co., Ltd., Smart-pro, Shenzhen, China), and (iii) an extrusion-based BioX bioprinter (Cellink, Gothenburg, Sweden). The SLA printer was utilized for producing finger connectors and plugs, while the FDM technique was employed to manufacture the bumper, middle body, and finger socket components. Commercial PLA filament (1.75 mm diameter, black; Noulei, 1 kg spool) was used for all FDM printing experiments. Clear Resin V4.1 (Formlabs, MA, USA) is a rigid SLA material used in this article. This prints to near optical transparency and is well-suited for creating see-through prototypes, internal features, and fluidic or housing components due to its improved color neutrality and translucency compared to earlier formulations. It is essential that the parts printed using FDM process should have the optimal printing parameters. Figure 2b shows the design of experiments (DoE) parameters selected to optimize stiffness, strength, and toughness across different printing conditions. Table 1 shows the fixed parameters used during the printing processes. Complementing this, a specialized bioprinter was employed to print the intricate fingertip surface, leveraging its capabilities in handling biomaterials and achieving the desired level of detail and precision required for this critical interface. The process parameters used for 3D bioprinting are as follows: nozzle diameter 0.58 mm, print bed temperature 60 °C, nozzle height 0.15 mm, print speed 2.5 mm/s, and pressure varies from 60 to 120 kPa, where we observed 90 kPa worked best. For extruding PDMS through bioprinter nozzle, a PDMS in 10:3 ratio was prepared. For curing, first the mixture was placed on a temperature bed for 15 min at 70 °C, followed by 15 min at 40 °C, followed by 2.5 h at room temperature. Then, the mixture was loaded in the bioprinter cartridge for printing.

3. Methods

3.1. Biomechanical Modeling of the Index Finger and Prosthetic Mechanism

3.1.1. Dynamic Modeling of the Index Finger Motion

Typically, finger movements are described through three joints: the metacarpophalangeal (MCP), proximal interphalangeal (PIP), and distal interphalangeal (DIP) joints, as shown in Figure 3a. The proximal interphalangeal (PIP) and distal interphalangeal (DIP) joints possess one degree of freedom (DOF) each, while the metacarpophalangeal (MCP) joint is commonly represented as a universal joint with two DOFs. Due to the interconnected nature of the musculoskeletal system between the PIP and DIP joints, the angle of the DIP joint can be approximated by measuring the angle of the PIP joint.

3.1.2. Prosthetic Index Finger Modeling

For the flexion and extension of the MCP, PIP, and DIP joints, cylindrical models were used, meaning the change in the circular arc was converted into an angle, as illustrated in Figure 3a. The length changes in the sensing unit at the MCP and PIP joints (∆L_MCP and ∆L_PIP, respectively) were translated into joint angles using a biomechanical model designed to calculate tendon excursions in the extensor muscles [34]. The flexion/extension angles of the MCP and PIP joints were determined by assuming each joint forms a circle with radii r_MCP and r_PIP, respectively. It should be noted that the DIP joint can be modeled similarly to the MCP and PIP joints as shown in Figure 3a, but the DIP joint angle was not directly measured. Instead, the DIP joint angle was estimated from the PIP joint angle due to the musculoskeletal linkage. Consequently, the linear displacements on the skin at the MCP and PIP joints were converted to θ_MCP and θ_PIP, and the DIP joint angle was derived from the PIP joint angle. Based on finger anatomy and modeling, a more advanced finger can be designed closer to an actual human finger.

3.1.3. Extensor Mechanism

Finger mechanics are inherently complex due to the coordinated action of the extensor mechanism, also known as the extensor apparatus, extensor expansion, or dorsal aponeurosis, which plays a central role in transmitting muscle forces to the finger joints [4]. As illustrated in Figure 3a, this mechanism governs motion at MCP, PIP, and DIP joints, and therefore must be carefully considered when modeling or designing a functional finger prosthesis. The extensor hood envelops the MCP joint and integrates tendinous contributions from the lumbrical and interossei muscles. Contraction of these intrinsic muscles applies tension to the extensor mechanism, enabling coordinated extension of the PIP and DIP joints.
The central tendon of the EDC, also referred to as the extensor slip, inserts into the intermediate phalanx and primarily contributes to PIP joint extension. In parallel, the lateral bands, comprising the radial and ulnar bands, travel along the dorsal surface of the finger and merge distally to form the terminal extensor slip, which attaches to the distal phalanx and facilitates DIP joint extension. This distributed tendon architecture allows extension forces to be transmitted across multiple joints, producing smooth and coordinated finger motion.
The lumbrical muscles, which originate from the FDP tendon and insert into the extensor mechanism, further modulate finger mechanics by increasing passive tension within the extensor apparatus while simultaneously reducing tension in the distal FDP. This biomechanical coupling enables fine control of finger posture and extension. Replicating these force transmission pathways is essential for prosthetic finger designs that aim to restore natural joint coordination, underscoring the importance of incorporating anatomical insights—such as those shown in Figure 3a—into prosthetic modeling and fabrication strategies.
This section on finger motion modeling and extensor mechanisms provides an essential biomechanical foundation for the integration of rheology (Section 3.2), Design of Experiment (Section 3.3), and Fabrication of the Piezoelectric Sensor (Section 3.4) within our study. Rheology plays a critical role in designing the materials for sensors embedded in prosthetic devices, as the material’s flow properties directly influence their flexibility, durability, and mechanical response to joint movements. Using the Taguchi Method, we optimized critical 3D printing parameters, such as infill density, infill patterns, and print speed, to fabricate prosthetic components with tailored mechanical properties that align with the biomechanical requirements outlined in the prosthetic finger model. These optimizations ensure that the printed components maintain the necessary structural integrity and flexibility to replicate realistic finger motion.
Furthermore, the sensors proposed in this study are designed to monitor dynamic joint movements in the future with further development, such as those at the MCP, PIP, and DIP joints, by capturing biomechanical displacements and converting them into electrical signals. The sensor’s functionality is enhanced by the optimized PDMS-BaTiO3 composite, which offers superior piezoelectric properties, ensuring accurate real-time feedback on joint angles and movements.

3.2. Rheological Analysis

To investigate the impact of temperature on PDMS, a 10:3 ratio mixture was subjected to four different temperatures: 30 °C, 40 °C, 60 °C, and 70 °C. The rheological properties were then analyzed using a rotational rheometer (MCR 102, Anton Paar, Graz, Austria) with a parallel plate configuration (25.0 mm flat plate) and a 1 mm plate gap. All measurements were conducted at the temperatures to ensure rapid gelation of the deposited filament. The primary objective was to understand the flow characteristics of the tested compositions. A steady rate sweep test was performed to determine viscosities for all compositions at shear rates ranging from 1 to 100 s−1. The viscosities of different compositions were evaluated using a steady rate sweep test with strain rates from 0.1 to 100 s−1. Each composition at each temperature was tested in triplicate to capture rheological properties. The power law equation (Equation (1)) was applied to the linear region of the shear rate vs. viscosity plot to determine the shear-thinning coefficients, n and K (at shear rate = 1 s−1), for all compositions:
η = K γ ˙ n 1
where η represents viscosity, γ ˙ denotes shear rate where K is the consistency index, and n is the power law index. Python script was used in Jupyter Notebook v7.2.3, a web-based integrated development environment (IDE) through Anaconda [35]. Data visualization such as preparing most of the graphs was performed using OriginPro 2023b (Originlab, Northampton, MA, USA), unless otherwise specified.
Rheological measurements of the PDMS (Sigma Aldrich, St. Louis, MO, USA) formulations were conducted within a controlled time window well below the onset of curing, and no time-dependent viscosity increase or torque buildup was observed, indicating that crosslinking did not occur during testing. The viscosity–shear rate curves exhibited smooth, continuous trends without abrupt drops or plateaus, suggesting the absence of wall slip under the applied parallel-plate rheometry conditions. While the PDMS systems used in this study showed limited shear-thinning behavior, this response is consistent with single-system PDMS formulations and aligns with prior reports on silicone-based bioinks [24], where careful control of testing conditions enables reliable flow characterization. Finally, the resulting data-informed predictive models explicitly developed to characterize the pre-cure viscosity of PDMS under relevant printing conditions; these models are not intended to describe curing kinetics or post-gelation behavior and are thus limited to the uncured regime.

3.3. Design of Experiment

To evaluate the mechanical performance of FDM-printed PLA components, tensile test specimens were fabricated under controlled printing conditions. To attain maximum stiffness, strength, and toughness, key FDM parameters were optimized using a Taguchi L09 design of experiments, a statistical orthogonal array–based experimental planning method, as summarized in Table 1. The variable parameters—infill density, infill pattern, and print speed—were selected because they strongly influence material usage, interlayer bonding, and internal stress distribution in FDM-printed PLA parts. The selected parameter ranges represent commonly used and practically achievable values in desktop FDM printing, enabling systematic assessment of low-to-high infill content, different internal load-bearing architectures, and extrusion speed–bonding tradeoffs. Tensile specimens conforming to ASTM D638, standard test method for Tensile Properties of Plastics (ASTM International: West Conshohocken, PA, USA, 2014) [37] Type VI were printed using an FDM-based Creality printer, as shown in Figure 4. For each printing condition, three replicate specimens were fabricated and tested, and the average values are reported. All other printing parameters were held constant to isolate the effects of the selected variables; these fixed parameters are listed in Table 2.
Uniaxial tensile testing was performed in accordance with ASTM D638, using a universal testing machine equipped with a suitable load cell for low-force polymer testing. The specimens were tested at a constant crosshead displacement rate specified by the ASTM standard for Type VI specimens, and load–displacement data were continuously recorded. From the resulting stress–strain curves, yield strength, ultimate tensile strength, elastic modulus, and toughness (area under the stress–strain curve) were directly extracted for each sample. In Section 4.2.1, a figure presents a representative stress–strain curve obtained from the tensile tests and has been relocated to this section to illustrate the typical mechanical response of the printed PLA specimens under uniaxial loading.

3.4. Fabrication of the Piezoelectric Sensor

A mixture of barium titanate (BaTiO3) and PDMS was derived in order to fabricate the sensor. It consisted of a 10:1 ratio of PDMS which was mixed for 5 min. During mixing, the viscosity of the PDMS gradually increased, allowing the BaTiO3 particles to become uniformly suspended within the polymer matrix, which is essential for stable dielectric behavior. Subsequently 2.4 g (40 wt%) of BaTiO3 (Sigma Aldrich, St. Louis, MO, USA, product number 208108, mean particle diameter < 3 µm) was added and mixed for an additional 10 min. Particular attention was given to minimizing particle agglomeration during the mixing step, as uneven clusters of BaTiO3 can significantly alter the composite’s electrical characteristics and reproducibility. A concentration of 40 wt% was chosen because it enhances the dielectric constant while maintaining workable viscosity for casting. The liquid mixture was then cured at 80 °C for 1 h, resulting in the composite depicted in Figure 5a. The PDMS-BaTiO3 was sandwiched between 2 layers of Kapton (polyimide) tape (DuPont, Wilmington, NC, USA), 1 mil thick), as shown in Figure 5b, which were coated with silver conductive ink (Voltera-Flex conductor, Voltera Inc., Waterloo, ON, Canada) to enhance conductive contact [28]. The silver-coated Kapton tape films were cured at 90 °C for 5 min and then 120 °C for 20 min before the composite was placed between them. The dual temperature curing of the silver ink was selected to optimize conductivity by allowing solvent evaporation at lower temperature and particle sintering at higher temperature. Care was taken to maintain consistent composite thickness during assembly, as thickness variations directly influence sensor impedance and sensitivity. The biocompatibility and non-carcinogenic nature of BaTiO3 silver ink was cured on two pieces of Kapton tape in order to increase conductivity and electrical insulate of the composite, respectively, before the composite was placed between the layers of Kapton tape. All mixing and curing procedures were performed under controlled laboratory conditions to avoid humidity or temperature fluctuations that might affect polymer curing or particle dispersion.
To confirm electrical continuity as well as an accurate piezoelectric response, an oscilloscope, force gauge [11], and an Arduino Uno (Arduino S.r.l., Turin, Italy) (Figure 5c) were used to measure the voltage response at given force intervals with respect to time. Scanning Electron Microscopy (SEM) was utilized to examine the distribution of BaTiO3 particles within the PDMS matrix, a key factor for ensuring consistent piezoelectric performance. The dispersion of barium titanate (BaTiO3) throughout the PDMS sample was analyzed using a Tescan Vega3 LEMU SEM system (TESCAN ORSAY HOLDING, a.s., Brno, Czech Republic). Backscattered electron (BSE) was chosen as the detection method to better image the particles under the surface of the sample.

4. Results and Discussion

4.1. Rheological Analysis

4.1.1. Shear-Thinning Behavior for 3D Bioprinting

Figure 6 clearly illustrates that both viscosity and shear stress of PDMS (polydimethylsiloxane) increase with rising temperature. The data also reveals PDMS’s shear-thinning behavior, characterized by decreasing viscosity or increasing shear stress as shear rate increases across all tested temperatures. The experimental flow curves were fitted using the power law equation (Equation (1)), yielding adjusted R-squared values between 63% and 81%, indicating a satisfactory fit. The curve fitting process resulted in (n, K) values of (0.98, 1.43), (0.98, 1.83), (0.97, 2.11), and (0.99, 5.0) at temperatures of 30 °C, 40 °C, 60 °C, and 80 °C, respectively. The n-values below 1.0 confirm PDMS’s shear-thinning properties. However, their proximity to 1 suggests that PDMS viscosity does not change significantly under applied shear forces, aligning with findings from previous research on this specific PDMS type. This phenomenon with the specific type of PDMS used in this paper matches with another reported work [25]. Based on our previous experience with Sylgard 184 PDMS in skin phantom fabrication, we have chosen a similar PDMS formulation for 3D printing in this study. Notably, in our recently published work [38], we demonstrated that modifying Sylgard 184 with SE 1700 significantly enhances shear-thinning behavior, supporting the feasibility of future optimization strategies. Future research will explore in-depth to enhance the rheological properties of Sylgard 184 PDMS by incorporating various percentages of SE 1700, an approach that has shown promise in earlier studies [25].

4.1.2. Predictive Modeling of Viscosity as a Function of Temperature and Shea Rate

Second- and third-order polynomial models were developed to predict the viscosity (η, mPa.s.) of PDMS as a function of shear rate (SR) and temperature (T). The models were based on experimental data collected at temperatures of 30 °C, 40 °C, 60 °C, and 70 °C, with shear rates ranging from 0.1 to 100 s−1. The resulting second-order predictive equation is
η = 8183.45 3.89 S R 337.28 T + 0.31 S R 2 0.015 S R × T + 4.1 T 2
η = 188660 10.31 S R + 1440 T + 0.17 S R 2 + 0.16 S R × T 33.14 T 2 0.001 S R 3 + 0.001 S R 2 × T 0.002 S R × T 2 + 0.25 T 3
where viscosity is measured in mPa.s., SR is the shear rate in s−1, and T is the temperature in °C.
These models are intended to characterize pre-cure flow behavior of PDMS under relevant 3D printing conditions. As a clarification, they are not designed to capture curing kinetics or gelation behavior and are limited to the uncured viscosity domain. This modeling approach aligns with prior literature on uncured PDMS rheology [24] which similarly focused on flow characterization under tightly controlled pre-curing conditions.
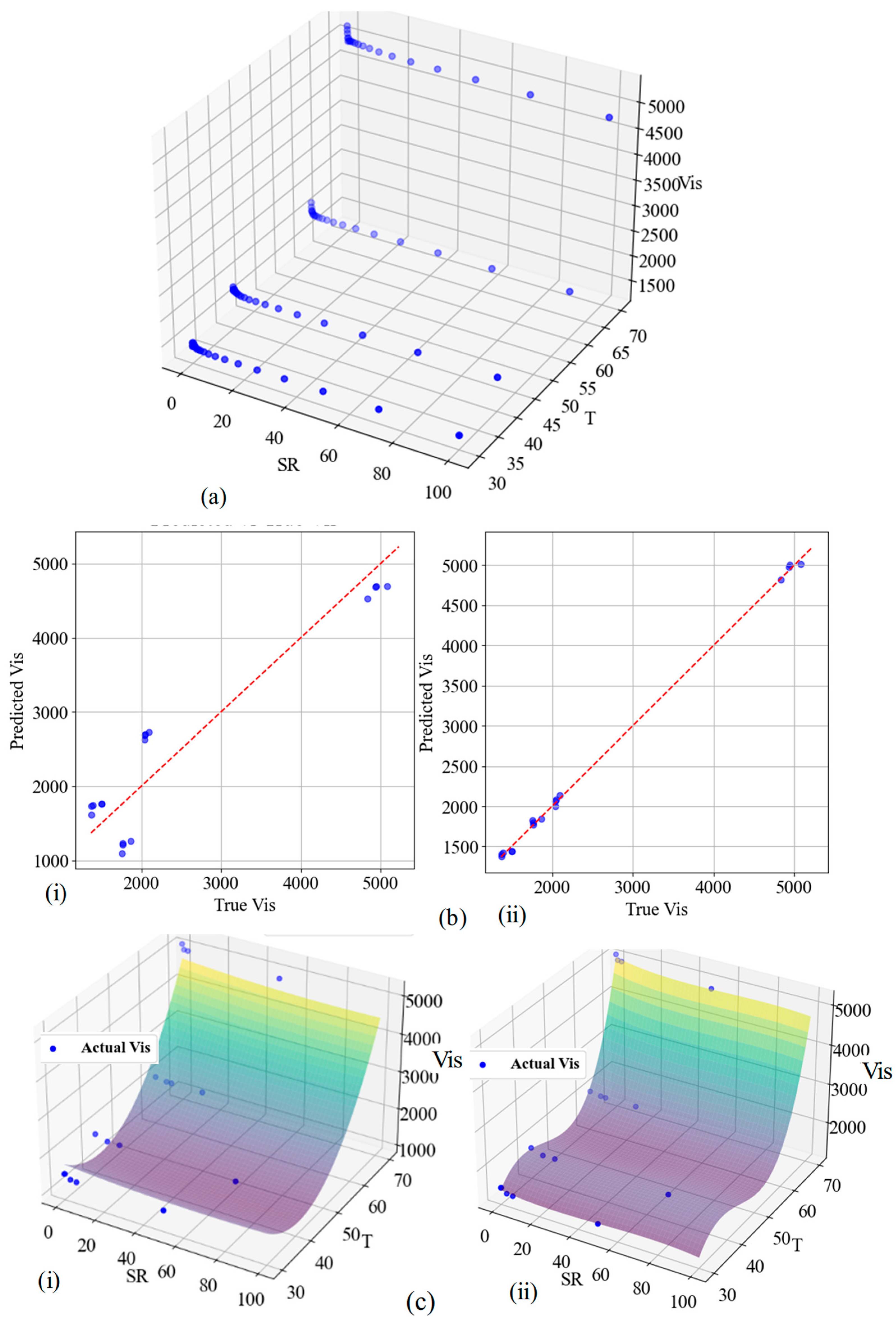
The second- and third-order models demonstrate good predictive capability, with a coefficient of determination (R2) of 0.88 and 0.99, indicating that it explains 88% and 99% of the variance in the viscosity data. The mean absolute errors (MAE) of the models are 445 mPa.s. and 38 mPa.s. which represent the average deviation between predicted and observed viscosity values. A total of 80–20% of the training and test data were used for this predictive model. The actual distribution of viscosity data with the changes in SR and T is shown in Figure 7a. The true versus actual viscosity plots resulting from second- and third-order predictive models are shown in Figure 7b. The negative coefficients for both SR (−3.89) and T (−337.28) of second-order predictive model suggest that viscosity generally decreases with increasing shear rate and temperature, which is consistent with the shear-thinning behavior typically observed in PDMS. The positive quadratic terms for both SR2 (0.31) and T2 (4.1) indicate a slight upward curvature in the viscosity response at higher shear rates and temperatures. The small negative interaction term (−0.015 SR × T) suggests a minor coupled effect between shear rate and temperature on viscosity. The predictive distributions of viscosity data resulted from second- and third-order predictive models with the changes in SR and T is shown in Figure 7c. Even though the third-order predictive model shows better fit, there is always a chance of over-fitting of the actual data of higher-order model. These models provide a useful tool for predicting PDMS viscosity within the studied ranges of shear rate and temperature, offering insights into the PDMS’s rheological behavior under various printing and temperature conditions.
Importantly, our earlier study [38] validated similar modeling approaches for blended PDMS formulations, where we included time-dependent viscosity analysis and explicitly ruled out wall slip and curing artifacts—thereby further supporting the methodological soundness of this work. In future work, thermoset-specific rheological predictive models that account for curing kinetics will be incorporated to enable simulation-consistent analysis of PDMS flow behavior during processing.

4.2. Characterization of Sustainable PLA

4.2.1. Tensile Behavior of PLA

To characterize the mechanical behavior of PLA material-based parts, tensile testing was conducted on the material using the ASTM 638 standard. The study incorporated Taguchi L09 design of experiments to investigate the best optimal printing parameters for maximizing stiffness, strength, and toughness as outputs. Key performance metrics such as stiffness, yield strength, ultimate tensile strength, strain at fracture, and toughness were computed for each sample condition. Figure 8a shows the samples printed and then tested under tensile testing. Universal testing machine (OTS Technik, 50 kN capacity, Dongguan, China) was utilized for experimentation.
The results obtained during the tensile test are shown in Figure 8b. Figure 9 shows the result of Sample 1 (replication 1) showing different output parameters considered for the multi-objective optimization.
The mean effect plot for the yield strength and ultimate tensile strength has been reported in Figure 9a,b and Table 3. It can be observed that infill density and infill pattern, respectively, ranked as the first and second most dominant parameters contributing towards the strength of the samples. It is quite logical that infill density has a controlling influence on the strength, as higher density reflects more material within the structure. Thus, it offers higher resistance towards deformation when subjected to the load. More infill density also means that the structure has less voids within the structure. Infill pattern was ranked second most dominant parameter towards strength. The linear pattern performed better than triangular and honeycomb patterns. Infill pattern deals with the distribution of stress within the structure when it is loaded. In the current study linear pattern performed better and it can be explained with better stress distribution within the structure. From Figure 9d,e and Table 3, infill fill pattern was also found dominant parameter towards strain at fracture and toughness. Certain patterns can enhance load-bearing capabilities by distributing stress more evenly and allowing for greater toughness against fracture. Figure 5c and Table 3 also shows that print speed contributed dominantly towards the stiffness that can be explained by the adhesion between printed layers. Optimal speed will provide the better layer adhesion between the printed layers and hence will provide better stiffness in the 3D-printed structure.

4.2.2. Grey Relational Analysis (GRA)

Grey relational analysis (GRA) is a multi-objective decision-making technique used to analyze complex systems with uncertain, incomplete, or limited information. GRA techniques have been widely adopted in manufacturing, engineering, economics, and social sciences domains for performance evaluation and optimization. The GRA is performed using the following steps as shown below.
Step 1—Collection of Data
Once all the output responses were compiled in Table 4, the data processing related first step has been executed. To process the data, minimum and maximum values of each output response have been considered. This step is important for normalizing the data. It also ensures that each response is scaled appropriately for further analysis.
Step 2—Normalization of Data
In this phase, the above output responses were normalized and organized in the order zero-to-one. For this study the ideal objective is that the specimen should have higher stiffness, higher strength, and at the same time higher energy absorption (toughness) capabilities; the larger the better criteria was applied, as shown in Equation (4). Table 5 shows the normalized values.
xij = y i j min y i j max ( y i j ) min ( y i j )
yij is the depiction of the data points. As per GRA normalization step, xij denotes the result.
Step 3—Calculation of Deviation Sequence
In the step of deviation sequence calculation of each output response was performed using Equation (5). This sequence represents the absolute differences between each normalized response and the reference ideal value, serving as a critical metric for the subsequent analysis. The calculated deviation sequences for all output responses are presented in Table 6 below, providing a clear view of how each alternative deviates from the ideal benchmark. This data is foundational for determining the grey relational coefficients in the following steps.
0 i k = | x 0 k x i k |
where 0 i k denotes deviation, x 0 k denotes reference, and x i k denotes comparability.
Step 4—stimation of Grey Relational Coefficient (GRC)
In this step calculations were performed to compute the grey relational coefficient as shown in Table 7. This computation was conducted by using the formula shown in Equation (6). In consultation with the literature distinguishing coefficient was designated to be 0.5.
ε i k = Δ m i n + ψ Δ m a x Δ i j + ψ Δ m a x
Step 5—Calculate the Grey Relational Grade (GRG)
In this final step of grey relational analysis (GRA), the composite grey relational grade (GRG) was computed by averaging the grey relational coefficients, as specified in Equation (7). The resulting values for the GRC, GRG, and corresponding ranks for each alternative are summarized in Table 8 below, providing a comprehensive comparison of the alternatives based on their overall performance. These rankings enable a clear assessment of which options most closely align with the ideal reference.
γ i = 1 n i = 1 n ε i ( k )
For each experiment, γ i signifies the GRG calculated. Wherever n denotes the count of process responses.

4.3. Characterization Response of the Piezoelectric Sensor

The open-circuit voltage output was measured at 2 V, 2.3 V, and 2.8 V for barium titanate concentrations of 20 wt%, 30 wt%, and 40 wt%, respectively (Figure 10a). When subjected to perpendicular compression forces, the composite generated an electrical voltage signal. The concentration of barium titanate had a significant impact on the composite’s performance, with higher concentrations resulting in increased open-circuit voltage. This observation aligns with findings in [30], which reported a consistent increase in output voltage with rising BaTiO3 content. Based on the enhanced open-circuit voltage and the higher viscosity achieved with 40 wt% barium titanate, this composition was used for the bioprinter cartridge resin for further characterization.
The SEM image of the PDMS and barium titanate composite with and without Backscattered electron (BSE) reveals a uniform distribution of barium titanate particles within the PDMS matrix (Figure 10b). Backscattered electron (BSE) was chosen as the detection method to better image the particles under the surface of the sample. The granular morphology of the particles confirms their successful integration into the polymer, which is crucial for improved dielectric and piezoelectric properties. Captured at 3.60 kx magnification with a 20 µm scale bar, the image highlights the nanoscale dispersion of barium titanate particles within the smooth PDMS surface. The resulting assembly consisting of an outer layer of Kapton tape, a layer of silver conductive ink, and the composite in the center (Figure 5b), allowed for the creation of an electrically insulated and conductive sensor with piezoelectric properties. The result is a fully fabricated piezoelectric sensor. The performance of the sensor was validated by applying a known force and measuring the resulting voltage response. Figure 11 depicts the voltage output of the sensor with respect to time at given force intervals. This is accomplished by using a perpendicular compressive force via the force gauge. Then reading the corresponding voltage from the oscilloscope after the signal is processed through the Arduino Uno. It can be observed that a linear relationship exists between the force input and voltage output. This is given by the equation, y = 1.392x.

4.4. Fabricating a Finger Prosthesis Prototype

In this study, we developed a prototype of finger prosthesis (Figure 12) utilizing advanced 3D printing technologies, specifically SLA, FDM, and EBP. Critical components requiring high-dimensional precision—including the printer-finger plug, base, and middle-to-fingertip connector—were accurately fabricated using SLA printing, consuming 5.16 milliliters of resin in 75 min. Complementary components like the printer-finger socket, middle, and bumper sections were constructed via FDM, utilizing 13 g of optimized PLA material over 132 min. The fingertips, printed using SLA, were strategically designed to enable PDMS material extrusion, providing enhanced tactile sensing capabilities. Notably, the optimized PDMS demonstrated excellent surface interaction even four hours post-printing, underscoring the prototype’s potential for advanced prosthetic applications. As a proof-of-concept, all components were successfully assembled into a functional finger prosthesis. Future research aims to refine component tolerances, explore extended PDMS-SLA surface interactions, and investigate potential chemical transformations, thereby advancing the frontier of multi-material 3D-printed biomedical devices.
These results serve as a proof-of-concept for an integrated finger prosthesis and point toward future work involving refinement of mechanical tolerances, extended characterization of PDMS–SLA bonding, and investigation of long-term chemical and mechanical stability in hybrid 3D-printed biomedical devices. Collectively, the subfigures demonstrate the successful integration of rigid and soft materials, the feasibility of embedding functional sensing regions, and the capability of the multi-material workflow to produce anatomically relevant prosthetic geometries. The figure also highlights the versatility of combining SLA, FDM, and EBP processes, underscoring the study’s achievement in establishing a scalable platform for next-generation prosthetic fabrication. Looking ahead, these results lay the groundwork for transforming the prototype into a fully functional, sensor-enabled prosthetic system suitable for clinical testing and personalized device design.
This study presents an innovative and practical approach to creating a functional prosthetic finger by blending advanced 3D printing technologies, hybrid materials, and smart sensing capabilities. The combination of PLA for structural strength and PDMS for flexibility and responsiveness provides both potential of durability and tactile sensitivity to the prosthesis. The detailed analysis of PDMS’s flow behavior at different shear rates and temperatures ensures smooth and precise extrusion during the bioprinting process. Regression-based predictive models for viscosity with higher coefficient of determination (e.g., R2 = 0.88 and 0.99 for second- and third-order models) indicate their capability to explain 88% and 99% of the variance in the viscosity data. The values of mean absolute errors (MAE) of the models (e.g., 445 mPa.s. and 38 mPa.s.) also represent the significance of the predictive model.
To ensure the mechanical integrity, the structural part of the prosthesis was 3D printed using optimized printing process parameters with PLA material. The optimization study of printing parameters leverages a systematic design of experiments (Taguchi DoE). The process parameters considered such as infill density, patterns, and speed leads to significant improvements in stiffness, strength, and toughness. Additionally, grey relational analysis simplifies the decision-making process, balancing key material properties to ensure the prosthetic meets functional and user-specific needs. As an effort to include the tactile sensing capability, adding barium titanate to PDMS further boosts its piezoelectric properties, making it ideal for developing flexible tactile sensors. As shown in Figure 8, the measured voltage (mV) response of the piezoelectric sensor over time (ms) under varying applied forces (N) where a linear relationship (e.g., y = 1.392x) was observed between the force input and voltage output. Peaks in the voltage correspond to specific force inputs, demonstrating the sensor’s sensitivity and linear response to different force levels. Combining computational models with hands-on validation ensures a smooth transition from raw materials to a fully functional prosthetic. This work highlights the value of a holistic approach to prosthetic design, focusing on performance, comfort, and adaptability. Being machine learning, a trending tool to reduce the number of experiments by a predictive framework to optimize bioink properties and printing settings, we plan to utilize this tool in the future. Moreover, we plan to refine the tactile sensor’s sensitivity and explore new material combinations to enhance functionality. The research offers a clear path toward developing affordable, customizable, and highly effective prosthetic solutions for those in need.

5. Conclusions

This study presents an integrated framework for the design and fabrication of a multi-material finger prosthesis by combining FDM, SLA, and extrusion-based bioprinting techniques to produce structurally rigid components with embedded soft sensing regions. A Taguchi-based design of experiments was employed to systematically evaluate the influence of key FDM process parameters on the mechanical behavior of PLA components, demonstrating how controlled variations in infill density, infill pattern, and print speed can be used to optimize stiffness, strength, and toughness within the proposed fabrication strategy. In parallel, rheological characterization of PDMS formulations was conducted to assess their suitability for extrusion-based integration, supporting the development of compliant fingertip regions and sensor interfaces. A key contribution of this work is the multi-material assembly of SLA-, FDM-, and PDMS-based components into a functional finger prototype, establishing a practical manufacturing workflow for sensor-enabled prosthetic elements. The integration of PDMS and BaTiO3–PDMS composites demonstrates the feasibility of incorporating low-cost tactile sensing concepts within additively manufactured prosthetic structures. While the present study focuses on proof-of-concept fabrication and parameter-driven optimization, future work will address extended biological evaluation, refined sensor sensitivity, and the incorporation of thermoset-specific rheological models to enable simulation-driven process design. Overall, this work provides a scalable and adaptable manufacturing framework that bridges material characterization, process optimization, and functional prototyping, contributing to ongoing efforts in additive manufacturing and prosthetic device development.

Author Contributions

S.P.: DoE and optimization-related data curation, methodology, results, and writing—original and review. K.G.: Sensor manufacturing and related data collection, analysis, and writing—original and review. J.H.B.: Finger design modification, mechanics, 3D model correction, and writing—original and review. A.H.: Supervision, conceptualization, methodology, and writing—original draft and review. All authors have read and agreed to the published version of the manuscript.

Funding

This research received no external funding.

Data Availability Statement

The original contributions presented in this study are included in the article Further inquiries can be directed to the corresponding author.

Acknowledgments

The College of Engineering Technology, Rochester Institute of Technology.

Conflicts of Interest

The authors declare no conflicts of interest.

References

  1. Stoll, C.; Alembik, Y.; Dott, B.; Roth, M.-P. Associated malformations in patients with limb reduction deficiencies. Eur. J. Med. Genet. 2010, 53, 286–290. [Google Scholar] [CrossRef]
  2. Kim, K.; Wang, Y.; Kirby, R.S.; Druschel, C.M. Prevalence and trends of selected congenital malformations in New York State, 1983 to 2007. Birth Defects Res. Part A Clin. Mol. Teratol. 2013, 97, 619–627. [Google Scholar] [CrossRef]
  3. Rivera, J.A.; Churovich, K.; Anderson, A.B.; Potter, B.K. Estimating recent US limb loss prevalence and updating future projections. Arch. Rehabil. Res. Clin. Transl. 2024, 6, 100376. [Google Scholar] [CrossRef]
  4. Abbady, H.E.; Klinkenberg, E.T.; de Moel, L.; Nicolai, N.; van der Stelt, M.; Verhulst, A.C.; Maal, T.J.; Brouwers, L. 3D-printed prostheses in developing countries: A systematic review. Prosthet. Orthot. Int. 2022, 46, 19–30. [Google Scholar] [CrossRef]
  5. Habib, M.A.; Khoda, B. Attribute driven process architecture for additive manufacturing. Robot. Comput.-Integr. Manuf. 2017, 44, 253–265. [Google Scholar] [CrossRef]
  6. Nicoloso, L.G.D.V.; Pelz, J.; Barrack, H.; Kuester, F. Towards 3D printing of a monocoque transtibial prosthesis using a bio-inspired design workflow. Rapid Prototyp. J. 2021, 27, 67–80. [Google Scholar] [CrossRef]
  7. Atallah, H.; Qufabz, T.; Naeem, R.; Bakhsh, H.R.; Ferriero, G.; Varga, D.; Derkács, E.; Molics, B. The Current State of 3D-Printed Prostheses Clinical Outcomes: A Systematic Review. J. Funct. Biomater. 2025, 16, 370. [Google Scholar] [CrossRef] [PubMed]
  8. Tümer, E.H.; Erbil, H.Y. Extrusion-based 3D printing applications of PLA composites: A review. Coatings 2021, 11, 390. [Google Scholar] [CrossRef]
  9. Zhang, F.; Li, Z.; Xu, M.; Wang, S.; Li, N.; Yang, J. A review of 3D printed porous ceramics. J. Eur. Ceram. Soc. 2022, 42, 3351–3373. [Google Scholar] [CrossRef]
  10. Buchanan, C.; Gardner, L. Metal 3D printing in construction: A review of methods, research, applications, opportunities and challenges. Eng. Struct. 2019, 180, 332–348. [Google Scholar] [CrossRef]
  11. Nguyen, D.-D.; Xie, W.-Q.; Su, S.-F.; Kuo, C.-H. Design, Fabrication and Validation of a Flexible Tactile Sensor for a Hand Prosthesis. IEEE Sens. J. 2024, 24, 7222–7233. [Google Scholar] [CrossRef]
  12. Marketsandmarkets. Available online: https://www.marketsandmarkets.com/Market-Reports/polylactic-acid-pla-market-29418964.html (accessed on 15 January 2025).
  13. Tao, Z.; Ahn, H.-J.; Lian, C.; Lee, K.-H.; Lee, C.-H. Design and optimization of prosthetic foot by using polylactic acid 3D printing. J. Mech. Sci. Technol. 2017, 31, 2393–2398. [Google Scholar] [CrossRef]
  14. Zuniga, J.M. 3D printed antibacterial prostheses. Appl. Sci. 2018, 8, 1651. [Google Scholar] [CrossRef]
  15. Crenn, M.-J.; Rohman, G.; Fromentin, O.; Benoit, A. Polylactic acid as a biocompatible polymer for three-dimensional printing of interim prosthesis: Mechanical characterization. Dent. Mater. J. 2022, 41, 110–116. [Google Scholar] [CrossRef]
  16. Lubombo, C.; Huneault, M.A. Effect of infill patterns on the mechanical performance of lightweight 3D-printed cellular PLA parts. Mater. Today Commun. 2018, 17, 214–228. [Google Scholar] [CrossRef]
  17. Moradi, M.; Meiabadi, S.; Kaplan, A. 3D printed parts with honeycomb internal pattern by fused deposition modelling; experimental characterization and production optimization. Met. Mater. Int. 2019, 25, 1312–1325. [Google Scholar] [CrossRef]
  18. Kim, J.; Lee, D.-H. Influence of the postcuring process on dimensional accuracy and seating of 3D-printed polymeric fixed prostheses. BioMed Res. Int. 2020, 2020, 2150182. [Google Scholar] [CrossRef]
  19. Hernandez, D.D. Factors affecting dimensional precision of consumer 3D printing. Int. J. Aviat. Aeronaut. Aerosp. 2015, 2, 2. [Google Scholar] [CrossRef]
  20. Mukhangaliyeva, A.; Dairabayeva, D.; Perveen, A.; Talamona, D. Optimization of Dimensional Accuracy and Surface Roughness of SLA Patterns and SLA-Based IC Components. Polymers 2023, 15, 4038. [Google Scholar] [CrossRef]
  21. Badanova, N.; Perveen, A.; Talamona, D. Study of SLA printing parameters affecting the dimensional accuracy of the pattern and casting in rapid investment casting. J. Manuf. Mater. Process. 2022, 6, 109. [Google Scholar] [CrossRef]
  22. Zhou, K.; Dey, M.; Ayan, B.; Zhang, Z.; Ozbolat, V.; Kim, M.H.; Khristov, V.; Ozbolat, I.T. Fabrication of PDMS microfluidic devices using nanoclay-reinforced Pluronic F-127 as a sacrificial ink. Biomed. Mater. 2021, 16, 045005. [Google Scholar] [CrossRef] [PubMed]
  23. Zhu, Y.; Chen, X.; Chu, K.; Wang, X.; Hu, Z.; Su, H. Carbon black/PDMS based flexible capacitive tactile sensor for multi-directional force sensing. Sensors 2022, 22, 628. [Google Scholar] [CrossRef]
  24. Wolf, M.P.; Salieb-Beugelaar, G.B.; Hunziker, P. PDMS with designer functionalities—Properties, modifications strategies, and applications. Prog. Polym. Sci. 2018, 83, 97–134. [Google Scholar] [CrossRef]
  25. Ozbolat, V.; Dey, M.; Ayan, B.; Povilianskas, A.; Demirel, M.C.; Ozbolat, I.T. 3D Printing of PDMS Improves its Mechanical and Cell Adhesion Properties. ACS Biomater. Sci. Eng. 2018, 4, 682–693. [Google Scholar] [CrossRef] [PubMed]
  26. Abdulmaged, A.I.; Soon, C.F.; Talip, B.A.; Zamhuri, S.A.A.; Mostafa, S.A.; Zhou, W. Characterization of alginate–gelatin–cholesteryl ester liquid crystals bioinks for extrusion bioprinting of tissue engineering Scaffolds. Polymers 2022, 14, 1021. [Google Scholar] [CrossRef] [PubMed]
  27. Chae, S.; Ha, D.-H.; Lee, H. 3D bioprinting strategy for engineering vascularized tissue models. Int. J. Bioprint. 2023, 9, 15–33. [Google Scholar] [CrossRef]
  28. Sarah, R.; Woods, P.; Bae, J.; Goyal, K.; Habib, A. An effort to Three dimensionally Fabricate Finger Prosthesis Using Hybrid Materials with Integrated Tactile Sensing. In Proceedings of the IISE Annual Conference, Montreal, QC, Canada, 18–21 May 2024; Institute of Industrial and Systems Engineers (IISE): Norcross, GA, USA, 2024. [Google Scholar]
  29. Sappati, K.K.; Bhadra, S. Flexible piezoelectric 0–3 PZT-PDMS thin film for tactile sensing. IEEE Sens. J. 2020, 20, 4610–4617. [Google Scholar] [CrossRef]
  30. Sappati, K.K.; Bhadra, S. (Eds.) 0-3 barium titanate-PDMS flexible film for tactile sensing. In Proceedings of the 2020 IEEE International Instrumentation and Measurement Technology Conference (I2MTC), Dubrovnik, Croatia, 25–28 May 2020; IEEE: Piscataway, NJ, USA, 2020. [Google Scholar]
  31. Zarei, M.; Lee, G.; Lee, S.G.; Cho, K. Advances in biodegradable electronic skin: Material progress and recent applications in sensing, robotics, and human–machine interfaces. Adv. Mater. 2023, 35, 2203193. [Google Scholar] [CrossRef]
  32. Wei, X.; Xu, K.; Wang, Y.; Zhang, Z.; Chen, Z. 3D Printing of Flexible BaTiO3/Polydimethylsiloxane Piezocomposite with Aligned Particles for Enhanced Energy Harvesting. ACS Appl. Mater. Interfaces 2024, 16, 11740–11748. [Google Scholar] [CrossRef]
  33. Rajan, K.; Samykano, M.; Kadirgama, K.; Harun, W.S.; Rahman, M.M. Fused deposition modeling: Process, materials, parameters, properties, and applications. Int. J. Adv. Manuf. Technol. 2022, 120, 1531–1570. [Google Scholar] [CrossRef]
  34. Acierno, D.; Patti, A. Fused deposition modelling (FDM) of thermoplastic-based filaments: Process and rheological properties—An overview. Materials 2023, 16, 7664. [Google Scholar] [CrossRef] [PubMed]
  35. Manapat, J.Z.; Chen, Q.; Ye, P.; Advincula, R.C. 3D printing of polymer nanocomposites via stereolithography. Macromol. Mater. Eng. 2017, 302, 1600553. [Google Scholar] [CrossRef]
  36. Habib, M.A.; Khoda, B. Rheological analysis of bio-ink for 3D bio-printing processes. J. Manuf. Process. 2022, 76, 708–718. [Google Scholar] [CrossRef] [PubMed]
  37. ASTM D. 638; Standard Test Method for Tensile Properties of Plastics. ASTM International: West Conshohocken, PA, USA, 2014.
  38. Daly, L.; Gusau, I.; Rohauer, R.; Woods, P.; Habib, M.A.; Lewis, C.; Goyal, K. Development and Characterization of a 3D-Printable PDMS Composite with BaTiO3 for Enhanced Force Sensing in Soft Robotics. In Proceedings of the International Manufacturing Science and Engineering Conference, Greenville, SC, USA, 23–25 June 2025; American Society of Mechanical Engineers: New York, NY, USA, 2025; Volume 89022, p. V002T09A003. [Google Scholar]
Figure 1. The integration of hybrid manufacturing and materials and smart sensing.
Figure 1. The integration of hybrid manufacturing and materials and smart sensing.
Jmmp 10 00023 g001
Figure 2. (a) Fabrication techniques with (b) process optimization highlights the use of design of experiments (DoE) and additive manufacturing methods, culminating in the development of a robust and responsive prosthetic finger.
Figure 2. (a) Fabrication techniques with (b) process optimization highlights the use of design of experiments (DoE) and additive manufacturing methods, culminating in the development of a robust and responsive prosthetic finger.
Jmmp 10 00023 g002
Figure 3. Comprehensive framework for developing a functional prosthetic finger: this figure presents the full narrative of the study, detailing (a) the anatomical analysis of the index finger [32,33] and (b) essential rheological, electrical, and mechanical properties for prosthetic functionality.
Figure 3. Comprehensive framework for developing a functional prosthetic finger: this figure presents the full narrative of the study, detailing (a) the anatomical analysis of the index finger [32,33] and (b) essential rheological, electrical, and mechanical properties for prosthetic functionality.
Jmmp 10 00023 g003
Figure 4. Components and print orientation in FDM 3D printing: The key components of an FDM 3D printer, including the filament, heated print head (200 °C), nozzle, and print bed (60 °C), along with a schematic of the print orientation and build direction for a structure.
Figure 4. Components and print orientation in FDM 3D printing: The key components of an FDM 3D printer, including the filament, heated print head (200 °C), nozzle, and print bed (60 °C), along with a schematic of the print orientation and build direction for a structure.
Jmmp 10 00023 g004
Figure 5. Fabrication and testing of sensor-integrated systems: (a) Sample fabricated with 10:1 PDMS-40% BaTiO3, (b) constructed assembly of Kapton tape, silver ink, and the 10:1 PDMS-40% BaTiO3 composite, and (c) testing setup for the sensor involving a force gauge, an oscilloscope, and an Arduino Uno. Scale = 1.0 mm.
Figure 5. Fabrication and testing of sensor-integrated systems: (a) Sample fabricated with 10:1 PDMS-40% BaTiO3, (b) constructed assembly of Kapton tape, silver ink, and the 10:1 PDMS-40% BaTiO3 composite, and (c) testing setup for the sensor involving a force gauge, an oscilloscope, and an Arduino Uno. Scale = 1.0 mm.
Jmmp 10 00023 g005
Figure 6. Flow behavior with respect to (a) viscosity, (b) shear stress of 10:3 PDMS composition at various temperatures (°C), e.g., 30 °C, 40 °C, 60 °C, 70 °C, and (c) viscosity distribution of PDMS with respect to shear rate and temperature.
Figure 6. Flow behavior with respect to (a) viscosity, (b) shear stress of 10:3 PDMS composition at various temperatures (°C), e.g., 30 °C, 40 °C, 60 °C, 70 °C, and (c) viscosity distribution of PDMS with respect to shear rate and temperature.
Jmmp 10 00023 g006
Figure 7. (a) The 3D distribution of actual viscosity with the change in shear rate and temperature, (b) true viscosity versus predicted viscosity obtained from the predictive model of viscosity as a function of shear rate and temperature for (i) second-order polynomial model and (ii) third-order polynomial model, and (c) predictive surface of viscosity with respect to shear rate and temperature for (i) second-order polynomial model and (ii) third-order polynomial model. R s e c o n d o r d e r 2 = 0.88 , M e a n   A b s o l u t e   E r r o r   ( M A E )   s e c o n d o r d e r = 445 and R t h i r d o r d e r 2 = 0.99 , M e a n   A b s o l u t e   E r r o r   ( M A E )   t h i r d o r d e r = 38 .
Figure 7. (a) The 3D distribution of actual viscosity with the change in shear rate and temperature, (b) true viscosity versus predicted viscosity obtained from the predictive model of viscosity as a function of shear rate and temperature for (i) second-order polynomial model and (ii) third-order polynomial model, and (c) predictive surface of viscosity with respect to shear rate and temperature for (i) second-order polynomial model and (ii) third-order polynomial model. R s e c o n d o r d e r 2 = 0.88 , M e a n   A b s o l u t e   E r r o r   ( M A E )   s e c o n d o r d e r = 445 and R t h i r d o r d e r 2 = 0.99 , M e a n   A b s o l u t e   E r r o r   ( M A E )   t h i r d o r d e r = 38 .
Jmmp 10 00023 g007
Figure 8. (a) Universal testing machine performing the tensile test on PLA sample: the prepared samples, their placement in UTM clamps, and the results post-tensile testing, emphasizing the evaluation of mechanical properties; (b) first replication of Sample 1 after testing stress strain diagram: This figure depicts a stress–strain curve highlighting key mechanical properties, including yield strength, ultimate tensile strength, stiffness, toughness, and strain at fracture.
Figure 8. (a) Universal testing machine performing the tensile test on PLA sample: the prepared samples, their placement in UTM clamps, and the results post-tensile testing, emphasizing the evaluation of mechanical properties; (b) first replication of Sample 1 after testing stress strain diagram: This figure depicts a stress–strain curve highlighting key mechanical properties, including yield strength, ultimate tensile strength, stiffness, toughness, and strain at fracture.
Jmmp 10 00023 g008
Figure 9. Influence of infill density, pattern, and print speed on 3D printing outcomes. The graphs illustrate the effects of varying infill density, infill pattern, and print speed on key 3D printing parameters, providing insights into optimizing print quality and structural properties through statistical analysis of mean performance metrics: Mean effect plots for (a) Yield strength (MPa), (b) Ultimate tensile strength (MPa), (c) Stiffness (MPa), (d) Strain at fracture (%), and (e) Toughness (MJ/m3).
Figure 9. Influence of infill density, pattern, and print speed on 3D printing outcomes. The graphs illustrate the effects of varying infill density, infill pattern, and print speed on key 3D printing parameters, providing insights into optimizing print quality and structural properties through statistical analysis of mean performance metrics: Mean effect plots for (a) Yield strength (MPa), (b) Ultimate tensile strength (MPa), (c) Stiffness (MPa), (d) Strain at fracture (%), and (e) Toughness (MJ/m3).
Jmmp 10 00023 g009
Figure 10. Characterization of pdms-batio3 composite and tactile sensing performance. This figure illustrates (a) fabricated PDMS-BaTiO3 composite samples with various percentages of PDMS and changes over time. (b) SEM images highlighting the uniform distribution of BaTiO3 particles within the PDMS matrix. The inset shows how Backscattered electron detection method shows the particles under the surface of the sample.
Figure 10. Characterization of pdms-batio3 composite and tactile sensing performance. This figure illustrates (a) fabricated PDMS-BaTiO3 composite samples with various percentages of PDMS and changes over time. (b) SEM images highlighting the uniform distribution of BaTiO3 particles within the PDMS matrix. The inset shows how Backscattered electron detection method shows the particles under the surface of the sample.
Jmmp 10 00023 g010
Figure 11. The measured voltage (mV) over time (ms) corresponding to different applied forces (N). The piezoelectric sensor demonstrates distinct voltage peaks at specified force intervals, showcasing its responsiveness to applied mechanical loads.
Figure 11. The measured voltage (mV) over time (ms) corresponding to different applied forces (N). The piezoelectric sensor demonstrates distinct voltage peaks at specified force intervals, showcasing its responsiveness to applied mechanical loads.
Jmmp 10 00023 g011
Figure 12. Prototype development of a multi-material 3D-printed finger prosthesis integrating SLA, FDM, and extrusion-based bioprinting (EBP) processes. (a) Overview of the assembled finger prosthesis and its individual components, highlighting the use of SLA for high-precision parts (finger plug, base, and middle-to-fingertip connector) and FDM for structural sections (socket, middle segment, and bumper). SLA fabrication consumed 5.16 mL of resin over 75 min, while FDM components were printed using 13 g of optimized PLA in 132 min. (b) Fabrication steps demonstrating material interfacing: optimized PDMS extrusion over SLA-printed fingertips and hybrid PDMS–hydrogel deposition, showcasing the feasibility of embedding soft sensing materials within rigid structures. The optimized PDMS retained strong surface interaction even four hours post-printing, confirming compatibility for tactile sensor integration.
Figure 12. Prototype development of a multi-material 3D-printed finger prosthesis integrating SLA, FDM, and extrusion-based bioprinting (EBP) processes. (a) Overview of the assembled finger prosthesis and its individual components, highlighting the use of SLA for high-precision parts (finger plug, base, and middle-to-fingertip connector) and FDM for structural sections (socket, middle segment, and bumper). SLA fabrication consumed 5.16 mL of resin over 75 min, while FDM components were printed using 13 g of optimized PLA in 132 min. (b) Fabrication steps demonstrating material interfacing: optimized PDMS extrusion over SLA-printed fingertips and hybrid PDMS–hydrogel deposition, showcasing the feasibility of embedding soft sensing materials within rigid structures. The optimized PDMS retained strong surface interaction even four hours post-printing, confirming compatibility for tactile sensor integration.
Jmmp 10 00023 g012
Table 1. Printing process parameters for FDM, EBP, and SLA techniques.
Table 1. Printing process parameters for FDM, EBP, and SLA techniques.
Printing Process ParametersFDMEBP
Nozzle Diameter (mm)0.40.58
Printing Temperature (°C)200Varies
Printer Bed Temperature (°C)60Varies
Print Orientations0° Flat0° Flat
Layer height (mm)0.2 0.25
SLA Printing
Default settings with 100% infill
Table 2. Optimization of 3D printing parameters for improved structural integrity and print efficiency. This study investigated the impact of varying infill density, infill patterns, and print speeds on the quality and efficiency of 3D-printed constructs. Nine test combinations were analyzed to identify optimal settings for strength, precision, and production speed.
Table 2. Optimization of 3D printing parameters for improved structural integrity and print efficiency. This study investigated the impact of varying infill density, infill patterns, and print speeds on the quality and efficiency of 3D-printed constructs. Nine test combinations were analyzed to identify optimal settings for strength, precision, and production speed.
Test No.Infill Density (%)Infill PatternPrint Speed (mm/s)
150Linear30
250Triangular40
350Hexagonal50
470Linear40
570Triangular50
670Hexagonal30
790Linear50
890Triangular30
990Hexagonal40
Table 3. Ranking the impact of printing parameters on mechanical properties of 3D-printed constructs. This table highlights the influence of infill density, infill pattern, and print speed on key mechanical properties—yield strength, ultimate tensile strength, stiffness, strain at fracture, and toughness. Rankings indicate infill density’s primary influence on strength, while infill pattern and print speed significantly affect stiffness and strain.
Table 3. Ranking the impact of printing parameters on mechanical properties of 3D-printed constructs. This table highlights the influence of infill density, infill pattern, and print speed on key mechanical properties—yield strength, ultimate tensile strength, stiffness, strain at fracture, and toughness. Rankings indicate infill density’s primary influence on strength, while infill pattern and print speed significantly affect stiffness and strain.
LevelInfill DensityInfill PatternPrint Speed
Yield Strength128.1733.0029.50
229.1729.8330.67
335.5030.0032.67
Delta7.333.173.17
Rank123
LevelInfill DensityInfill PatternPrint Speed
Ultimate Tensile Strength129.0334.6831.68
231.8831.6332.71
337.3531.9433.87
Delta8.323.052.19
Rank123
LevelInfill DensityInfill PatternPrint Speed
Stiffness1381.5421.0349.7
2421.5367.3438.8
3420.6435.2435.1
Delta40.067.989.1
Rank321
LevelInfill DensityInfill PatternPrint Speed
Strain
at Fracture
119.2634.3218.83
216.9111.2017.26
321.1611.8121.25
Delta4.2523.123.99
Rank213
LevelInfill DensityInfill PatternPrint Speed
Toughness14.1639.6374.073
23.9802.0933.973
35.8832.2975.980
Delta1.9037.5432.007
Rank312
Table 4. Influence of parameter variations on mechanical properties of 3D-printed constructs. This table examines how different combinations of parameters (A, B, C) affect key mechanical properties such as toughness, Young’s modulus, yield strength, ultimate tensile strength, and strain at fracture. The results highlight significant variability, with certain combinations achieving superior performance in toughness and tensile strength.
Table 4. Influence of parameter variations on mechanical properties of 3D-printed constructs. This table examines how different combinations of parameters (A, B, C) affect key mechanical properties such as toughness, Young’s modulus, yield strength, ultimate tensile strength, and strain at fracture. The results highlight significant variability, with certain combinations achieving superior performance in toughness and tensile strength.
RunsABCToughness (MJ/m3)Young’s Modulus (MPa)Yield Strength (MPa)Ultimate Tensile Strength (MPa)% Strain Fracture
11117.95352.627.528.73934.07
21222.19401.632929.17511.59
31332.35390.262829.17512.12
42127.5419.83033.6128.3
52232.13424.2728.530.7211.02
62312.31420.42931.311.41
731313.46490.741.541.740.6
83211.96276323511
93322.234953335.3511.89
Table 5. Normalized mechanical properties of 3D-printed constructs. This table presents the normalized outputs for key mechanical properties, including toughness, Young’s modulus, yield strength, ultimate tensile strength (UTS), and strain at fracture. The normalized values highlight relative performance across samples, identifying the most optimized parameter combinations.
Table 5. Normalized mechanical properties of 3D-printed constructs. This table presents the normalized outputs for key mechanical properties, including toughness, Young’s modulus, yield strength, ultimate tensile strength (UTS), and strain at fracture. The normalized values highlight relative performance across samples, identifying the most optimized parameter combinations.
ToughnessYoung’s ModulusYield StrengthUTSStrain Fracture
10.520.350.000.000.78
20.020.570.110.030.02
30.030.520.0360.030.04
40.480.660.180.380.58
50.010.680.070.150.00
60.030.660.110.200.019
71.000.981.001.001.00
80.000.000.320.480.00
90.021.000.400.510.03
Table 6. Deviation sequence of mechanical responses for 3D-printed constructs. This table outlines the deviation sequence of mechanical properties such as toughness, Young’s modulus, yield strength, ultimate tensile strength, and strain at fracture. The data highlights variations in performance across different runs, helping to identify patterns and deviations in the mechanical responses of the samples.
Table 6. Deviation sequence of mechanical responses for 3D-printed constructs. This table outlines the deviation sequence of mechanical properties such as toughness, Young’s modulus, yield strength, ultimate tensile strength, and strain at fracture. The data highlights variations in performance across different runs, helping to identify patterns and deviations in the mechanical responses of the samples.
RunsToughnessYoung’s ModulusYield StrengthUTSStrain@ Fracture
10.470.651.001.000.22
20.980.430.900.970.98
30.970.480.960.970.96
40.520.340.820.620.42
50.990.320.930.851.00
60.970.340.900.800.99
70.000.020.000.000.00
81.001.000.680.521.00
90.980.000.610.490.97
Table 7. Estimation of grey relational coefficient (GRC) for mechanical properties. This table presents the grey relational coefficients (GRC) for mechanical properties including toughness, Young’s modulus, yield strength, ultimate tensile strength, and strain at fracture. The GRC values provide insights into the relative performance and importance of these responses across various test conditions.
Table 7. Estimation of grey relational coefficient (GRC) for mechanical properties. This table presents the grey relational coefficients (GRC) for mechanical properties including toughness, Young’s modulus, yield strength, ultimate tensile strength, and strain at fracture. The GRC values provide insights into the relative performance and importance of these responses across various test conditions.
ToughnessYoung’s ModulusYield StrengthUTSStrain@ Fracture
10.510.430.330.330.69
20.340.540.360.340.34
30.340.510.340.340.34
40.490.590.380.440.55
50.340.610.350.370.33
60.340.590.360.380.34
710.96111
80.330.330.420.490.33
90.3410.450.510.34
Table 8. Final ranking of samples based on grey relational grade. This table ranks the samples based on their grey relational grades (GRG) calculated for mechanical properties. Sample 7 achieves the highest performance with a GRG of 0.99, followed by Sample 9 and Sample 4.
Table 8. Final ranking of samples based on grey relational grade. This table ranks the samples based on their grey relational grades (GRG) calculated for mechanical properties. Sample 7 achieves the highest performance with a GRG of 0.99, followed by Sample 9 and Sample 4.
ToughnessYoung’s ModulusYield StrengthUTSStrain@ FractureGradeRank
10.510.430.330.330.690.464
20.340.540.360.340.340.388
30.340.510.340.340.340.379
40.490.590.380.440.550.493
50.340.610.350.370.330.406
60.340.590.360.380.340.405
710.961110.991
80.330.330.420.490.330.387
90.3410.450.510.340.532
Disclaimer/Publisher’s Note: The statements, opinions and data contained in all publications are solely those of the individual author(s) and contributor(s) and not of MDPI and/or the editor(s). MDPI and/or the editor(s) disclaim responsibility for any injury to people or property resulting from any ideas, methods, instructions or products referred to in the content.

Share and Cite

MDPI and ACS Style

Pervaiz, S.; Goyal, K.; Bae, J.H.; Habib, A. Foundations for Future Prosthetics: Combining Rheology, 3D Printing, and Sensors. J. Manuf. Mater. Process. 2026, 10, 23. https://doi.org/10.3390/jmmp10010023

AMA Style

Pervaiz S, Goyal K, Bae JH, Habib A. Foundations for Future Prosthetics: Combining Rheology, 3D Printing, and Sensors. Journal of Manufacturing and Materials Processing. 2026; 10(1):23. https://doi.org/10.3390/jmmp10010023

Chicago/Turabian Style

Pervaiz, Salman, Krittika Goyal, Jun Han Bae, and Ahasan Habib. 2026. "Foundations for Future Prosthetics: Combining Rheology, 3D Printing, and Sensors" Journal of Manufacturing and Materials Processing 10, no. 1: 23. https://doi.org/10.3390/jmmp10010023

APA Style

Pervaiz, S., Goyal, K., Bae, J. H., & Habib, A. (2026). Foundations for Future Prosthetics: Combining Rheology, 3D Printing, and Sensors. Journal of Manufacturing and Materials Processing, 10(1), 23. https://doi.org/10.3390/jmmp10010023

Article Metrics

Back to TopTop