Experimental Investigation into the Influence of Infill Density, Print Pattern, and Built-Up Direction on the Flexural Strength of FFF-Manufactured PLA Components
Abstract
1. Introduction
2. Materials and Methods
2.1. Experimental Setup
2.2. Material, Sample Geometry, and Printing Orientation
2.3. Printing and Slicing Settings
| Printer | Prusa Mini (Firmware 6.4.0-RC2+11973) |
| Slicer | Prusa Slicer Ver. 2.9.4 |
| Filament Manufacturer | Polymaker (Changshu, China) |
| Filament Material | PLA (PolyTerra) |
| Filament Diameter | 1.75 mm |
| Filament Color | Charcoal Black |
| Bed Temperature | 60 °C |
| Nozzle Temperature | 215 °C (230 °C for first layer) |
| Nozzle Diameter | 0.4 mm |
| Layer Heigth | 0.2 mm |
| Extrusion Multiplier | 1 |
| Printing Speed (Infill) | 115 mm/s |
| Printing Speed (Perimeter) | 45 mm/s |
| Perimeters | 2 |
3. Results
3.1. Flexural Strength
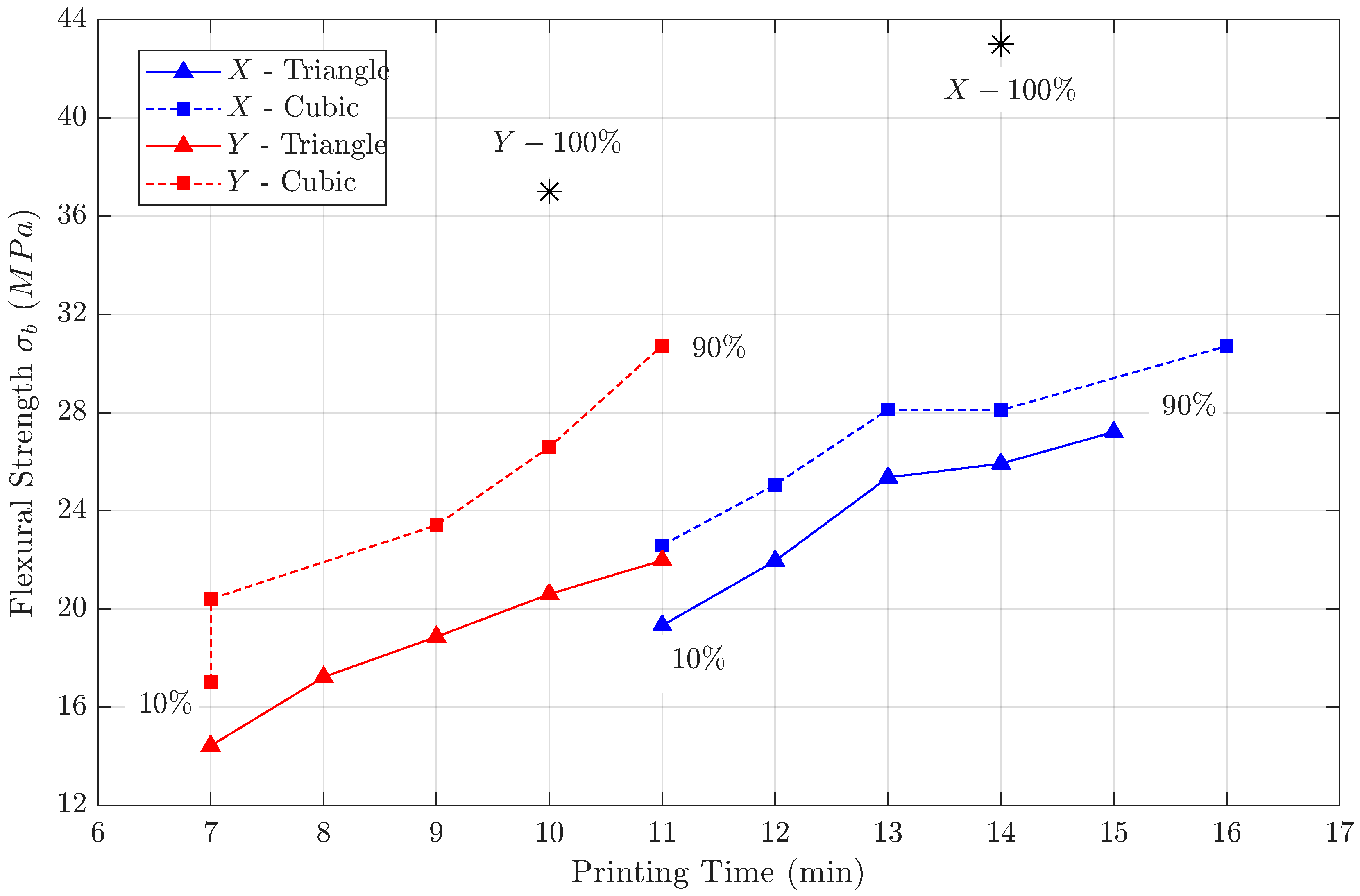
3.2. Printing Time
3.3. Failure Methods
3.3.1. Deformation Exceeded


3.3.2. Delamination of Outer Wall
3.3.3. Failure of Layer Adhesion
4. Discussion
4.1. Influence of Built-Up Direction
4.2. Infill Density and the Transition from Infill- to Skin-Dominated Behavior
4.3. Effect of Infill Pattern and Orientation Dependence
4.4. Strength-to-Print-Time Efficiency and Fatigue Considerations
4.5. Generalization Across Materials and Structural Reinforcement
5. Conclusions
- Printing in the Y-direction with a cubic pattern and infill densities above 60% provides an optimal compromise between flexural strength and production efficiency. With an infill level of 90%, the highest flexural strength value of just under 31 MPa was achieved for comparatively short printing times.
- Both X-printed patterns also displayed high performance at low infill densities. Up to an infill density of approx. 60%, the strength values for both infill patterns are even higher than those for the Y-C configuration. However, comparatively long printing times are a negative factor here.
- In general, it was possible to demonstrate the well-known fact that strength values increase with increasing infill density. Interestingly, this does not entirely apply to samples printed in the Z-direction in the present study. Here, the flexural strength at an infill density of 90% is at the same level (cubic) or even below (triangular) 70%.
- For samples printed in X- and Y-directions, the cubic pattern leads to increased flexural strength compared to the triangular pattern within the built-up direction, whereas for the Z-direction, the triangular pattern yielded higher values across all infill densities considered.
- Flexural strength for X- and Z-directions increase equally for both filling patterns as the infill density increases, whereas for samples in the Y-direction, flexural strength for the cubic pattern increases more strongly than for the triangular pattern.
Author Contributions
Funding
Data Availability Statement
Acknowledgments
Conflicts of Interest
Abbreviations
| AM | Additive Manufacturing |
| ABS | Acrylnitril-Butadien-Styrol |
| DIC | Digital Image Correlation |
| FFF | Fused Filament Fabrication |
| MEX | Material extrusion |
| PETG | Poly Ethylene Terephthalate Glycol |
| PLA | Poly Lactic Acid |
References
- Cuan-Urquizo, E.; Barocio, E.; Tejada-Ortigoza, T.; Pipes, R.B.; Rodriguez, C.A.; Roman-Flores, A. Characterization of the Mechanical Properties of FFF Structures and Materials: A Review on the Experimental, Computational and Theoretical Approaches. Materials 2019, 12, 895. [Google Scholar] [CrossRef]
- Harris, M.; Potgieter, J.; Archer, R.; Arif, K.M. Effect of material and process specific factors on the strength of printed parts in fused filament fabrication: A review of recent developments. Materials 2019, 12, 1664. [Google Scholar] [CrossRef] [PubMed]
- Ahn, S.H.; Montero, M.; Odell, D.; Roundy, S.; Wright, P.K. Anisotropic material properties of fused deposition modeling ABS. Rapid Prototyp. J. 2002, 8, 248–257. [Google Scholar] [CrossRef]
- Song, Y.; Li, Y.; Song, W.; Yee, K.; Lee, K.Y.; Tagarielli, V.L. Measurements of the mechanical response of unidirectional 3D-printed PLA. Mater. Des. 2017, 123, 154–164. [Google Scholar] [CrossRef]
- Smith, W.C.; Dean, R.W. Structural characteristics of fused deposition modeling polycarbonate material. Polym. Test. 2013, 32, 1306–1312. [Google Scholar] [CrossRef]
- Somireddy, M.; Czekanski, A. Anisotropic material behavior of 3D printed composite structures—Material extrusion additive manufacturing. Mater. Des. 2020, 195, 108953. [Google Scholar] [CrossRef]
- Torrado, A.R.; Shemelya, C.M.; English, J.D.; Lin, Y.; Wicker, R.B.; Roberson, D.A. Characterizing the effect of additives to ABS on the mechanical property anisotropy of specimens fabricated by material extrusion 3D printing. Addit. Manuf. 2015, 6, 16–29. [Google Scholar] [CrossRef]
- Abbott, A.C.; Tandon, G.P.; Bradford, R.L.; Koerner, H.; Baur, J.W. Process-structureproperty effects on ABS bond strength in fused filament fabrication. Addit. Manuf. 2018, 19, 29–38. [Google Scholar]
- Böhm, M.; Buss, C. Experimental Investigation into the Influence of Filament Layer Arrangement on the Tensile Strength of FFF-Manufactured Components. J. Manuf. Mater. Process. 2024, 8, 295. [Google Scholar] [CrossRef]
- Wickramasinghe, S.; Do, T.; Tran, P. FDM-based 3D printing of polymer and associated composite: A review on mechanical properties, defects and treatments. Polymers 2020, 12, 1529. [Google Scholar] [CrossRef]
- Frunzaverde, D.; Cojocaru, V.; Bacescu, N.; Ciubotariu, C.-R.; Miclosina, C.-O.; Turiac, R.R.; Marginean, G. The influence of the layer height and the filament color on the dimensional accuracy and the tensile strength of FDM-printed PLA specimens. Polymers 2023, 15, 2377. [Google Scholar] [CrossRef]
- Pellegrini, A.; Guerra, M.G.; Lavecchia, F.; Galantucci, L.M. Effect of layer and raster orientation on bending properties of 17-4 PH printed via material extrusion additive manufacturing technology. Mater. Res. Proc. 2023, 35, 135–142. [Google Scholar] [CrossRef]
- Dawood, L.L.; AlAmeen, E.S. Mechanical Properties of CF-PLA with Different Infill Patterns. AIMS Mater. Sci. 2024, 11, 833–857. [Google Scholar] [CrossRef]
- Kadhum, A.H.; Al-Zubaidi, S.; Abdulkareem, S.S. Effect of the Infill Patterns on the Mechanical and Surface Characteristics of 3D Printing of PLA, PLA+ and PETG Materials. ChemEngineering 2023, 7, 46. [Google Scholar] [CrossRef]
- Česnik, M.; Slavič, J. Frequency-Dependent Fatigue Properties of Additively Manufactured Polylactic Acid (PLA). Polymers 2024, 16, 2147. [Google Scholar] [CrossRef]
- Gonabadi, H.; Yadav, A.; Bull, S.J. The effect of processing parameters on the mechanical characteristics of PLA produced by a 3D FFF printer. Int. J. Adv. Manuf. Technol. 2020, 111, 695–709. [Google Scholar] [CrossRef]
- Butt, J.; Bhaskar, R.; Mohaghegh, V. Analysing the effects of layer heights and line widths on FFF-printed thermoplastics. Int. J. Adv. Manuf. Technol. 2022, 121, 7383–7411. [Google Scholar] [CrossRef]
- Dey, D.; Nguyen-Van, V.; Nguyen, H.X.; Srinivas, D.; Panda, B.; Tran, J. Flexural performance of 3D printed concrete structure with lattice infills. Dev. Built Environ. 2023, 16, 100297. [Google Scholar] [CrossRef]
- Rajkumar, S. Effect of infill pattern and build orientation on mechanical properties of FDM printed parts: An experimental modal analysis approach. arXiv 2023, arXiv:2202.05692. [Google Scholar]
- Qayyum, H.; Hussain, G.; Sulaiman, M.; Hassan, M.; Ali, A.; Muhammad, R.; Wei, H.; Shehbaz, T.; Aamir, M.; Altaf, K. Effect of Raster Angle and Infill Pattern on the In-Plane and Edgewise Flexural Properties of Fused Filament Fabricated Acrylonitrile–Butadiene–Styrene. Appl. Sci. 2022, 12, 12690. [Google Scholar] [CrossRef]
- Akhoundi, B.; Behravesh, A.H. Effect of Filling Pattern on the Tensile and Flexural Mechanical Properties of FDM 3D Printed Products. Exp. Mech. 2019, 59, 883–897. [Google Scholar] [CrossRef]
- Khan, S.F.; Zakaria, H.; Chong, Y.L.; Saad, M.A.M.; Basaruddin, K. Effect of infill on tensile and flexural strength of 3D printed PLA parts. IOP Conf. Ser. Mater. Sci. Eng. 2018, 429, 012101. [Google Scholar] [CrossRef]
- Baich, L.; Manogharan, G.; Marie, H. Study of infill print design on production cost-time of 3D printed ABS parts. Int. J. Rapid Manuf. 2015, 5, 308–319. [Google Scholar] [CrossRef]
- Go, J.; Schiffres, S.N.; Stevens, A.G.; Hart, A.J. Rate limits of additive manufacturing by fused filament fabrication and guidelines for high-throughput system design. Addit. Manuf. 2017, 16, 1–11. [Google Scholar] [CrossRef]
- Ferreira, R.T.L.; Amatte, I.C.; Dutra, T.A.; Bürger, D. Experimental characterization and micrography of 3D printed PLA and PLA reinforced with short carbon fibers. Compos. Part B Eng. 2017, 124, 88–100. [Google Scholar] [CrossRef]
- Leal, R.; Barreiros, F.M.; Alves, L.; Romeiro, F.; Vasco, J.C.; Santos, M.; Marto, C. Additive manufacturing tooling for the automotive industry. Int. J. Adv. Manuf. Technol. 2017, 92, 1671–1676. [Google Scholar] [CrossRef]
- Mohanavel, V.; Ashraff Ali, K.S.; Ranganathan, K.; Allen Jeffrey, J.; Ravikumar, M.M.; Rajkumar, S. The roles and applications of additive manufacturing in the aerospace and automobile sector. Mater. Today 2021, 47, 405–409. [Google Scholar] [CrossRef]
- Frohn-Sörensen, P.; Geueke, M.; Engel, B.; Löffler, B.; Bickendorf, P.; Asimi, A.; Bergweiler, G.; Schuh, G. Design for 3D Printed Tools: Mechanical Material Properties for Direct Polymer Additive Tooling. Polymers 2022, 14, 1694. [Google Scholar] [CrossRef]
- Szalai, S.; Szívós, B.F.; Nemes, V.; Szabó, G.; Kurhan, D.; Sysyn, M.; Fischer, S. Investigation of FDM-Based 3D Printing for Optimized Tooling in Automotive and Electronics Sheet Metal Cutting. Appl. Sci. 2025, 15, 442. [Google Scholar] [CrossRef]
- Huanbutta, K.; Burapapadh, K.; Sriamornsak, P.; Sangnim, T. Practical Application of 3D Printing for Pharmaceuticals in Hospitals and Pharmacies. Pharmaceutics 2023, 15, 1877. [Google Scholar] [CrossRef]
- ÖNORM EN ISO 178; Kunststoffe—Bstimmung der Biegeeigenschaften. Austrian Standards International: Wien, Austria; ISO International Standards Office: Geneva, Switzerland, 2019.
- Prakash, K.S.; Nancharaih, T.; Rao, V.V.S. Additive manufacturing techniques in manufacturing—An overview. Mater. Today 2018, 5, 3873–3882. [Google Scholar] [CrossRef]
- Bonada, J.; Pastor, M.M.; Buj-Corral, I. Influence of the infill pattern on the elastic mechanical properties of FFF parts. Materials 2021, 14, 5459. [Google Scholar] [CrossRef] [PubMed]
- Pandzic, A.; Hodzic, D.; Milanovic, A. Effect of Infill Type and Density on Tensile Properties of PLA Material for FDM Process. In Proceedings of the 30th DAAAM International Symposium, Zadar, Croatia, 20–27 October 2019; Katalinic, B., Ed.; DAAAM International: Viena, Austria, 2019; pp. 0545–0554. ISBN 978-3-902734-22-8. ISSN 1726-9679. [Google Scholar]
- Zhang, H.; Wang, P.; Li, J. Influence of infill patterns and densities on the fatigue performance and fracture behavior of 3D-printed carbon fiber-reinforced PLA composites. AIMS Mater. Sci. 2024, 11, 203–219. [Google Scholar]
- Turaka, A.; Patel, M.; Khan, R. Mechanical characterization of FFF-printed ABS and PETG under varying infill densities and orientations. J. Manuf. Proc. 2024, 93, 101–113. [Google Scholar]
- Alagheband, P.; Ranjbar, H.; Khosravi, M. Optimization of variable-density infill structures for improved flexural strength in FFF components. Addit. Manuf. 2024, 87, 103629. [Google Scholar]







| Length l | Width b | Height h |
|---|---|---|
| Flexural Strength (MPa) | |||||
|---|---|---|---|---|---|
| Infill Density | 10% | 30% | 50% | 70% | 90% |
| X-Triangle | 19.33 ± 0.27 | 21.96 ± 0.74 | 25.36 ± 0.45 | 25.92 ± 0.77 | 27.21 ± 0.39 |
| X-Cubic | 22.60 ± 1.49 | 25.06 ± 1.33 | 28.12 ± 0.62 | 28.10 ± 1.10 | 30.71 ± 1.14 |
| Y-Triangle | 14.43 ± 0.74 | 17.23 ± 0.39 | 18.87 ± 0.56 | 20.61 ± 0.21 | 21.98 ± 0.46 |
| Y-Cubic | 17.02 ± 0.53 | 20.41 ± 0.27 | 23.41 ± 0.31 | 26.59 ± 0.26 | 30.73 ± 0.13 |
| Z-Triangle | 12.41 ± 1.42 | 12.17 ± 1.95 | 14.34 ± 1.60 | 16.66 ± 2.23 | 15.52 ± 1.47 |
| Z-Cubic | 10.01 ± 1.37 | 10.83 ± 0.21 | 11.12 ± 2.23 | 13.20 ± 1.30 | 12.87 ± 1.37 |
| Infill Density | 100% | ||||
| X-Rectilinear | 43.46 ± 2.98 | ||||
| Y-Rectilinear | 37.15 ± 0.83 | ||||
| Z-Rectilinear | 22.57 ± 2.47 | ||||
Disclaimer/Publisher’s Note: The statements, opinions and data contained in all publications are solely those of the individual author(s) and contributor(s) and not of MDPI and/or the editor(s). MDPI and/or the editor(s) disclaim responsibility for any injury to people or property resulting from any ideas, methods, instructions or products referred to in the content. |
© 2026 by the authors. Licensee MDPI, Basel, Switzerland. This article is an open access article distributed under the terms and conditions of the Creative Commons Attribution (CC BY) license.
Share and Cite
Buss, C.; Reci, F.; Hribernig, T.; Steininger, S. Experimental Investigation into the Influence of Infill Density, Print Pattern, and Built-Up Direction on the Flexural Strength of FFF-Manufactured PLA Components. J. Manuf. Mater. Process. 2026, 10, 21. https://doi.org/10.3390/jmmp10010021
Buss C, Reci F, Hribernig T, Steininger S. Experimental Investigation into the Influence of Infill Density, Print Pattern, and Built-Up Direction on the Flexural Strength of FFF-Manufactured PLA Components. Journal of Manufacturing and Materials Processing. 2026; 10(1):21. https://doi.org/10.3390/jmmp10010021
Chicago/Turabian StyleBuss, Christoph, Fabio Reci, Thomas Hribernig, and Stefan Steininger. 2026. "Experimental Investigation into the Influence of Infill Density, Print Pattern, and Built-Up Direction on the Flexural Strength of FFF-Manufactured PLA Components" Journal of Manufacturing and Materials Processing 10, no. 1: 21. https://doi.org/10.3390/jmmp10010021
APA StyleBuss, C., Reci, F., Hribernig, T., & Steininger, S. (2026). Experimental Investigation into the Influence of Infill Density, Print Pattern, and Built-Up Direction on the Flexural Strength of FFF-Manufactured PLA Components. Journal of Manufacturing and Materials Processing, 10(1), 21. https://doi.org/10.3390/jmmp10010021

