Real-Time Wind Estimation for Fixed-Wing UAVs
Abstract
1. Introduction
2. Real-Time Wind Estimation
2.1. Fixed-Wing UAV Kinematic Equations
2.2. 2-D Horizontal Wind Field Parametric Equations
2.3. Nonlinear State Estimation
3. Flight Test System
3.1. Fixed-Wing UAV Platform
3.2. Wind Measurement System
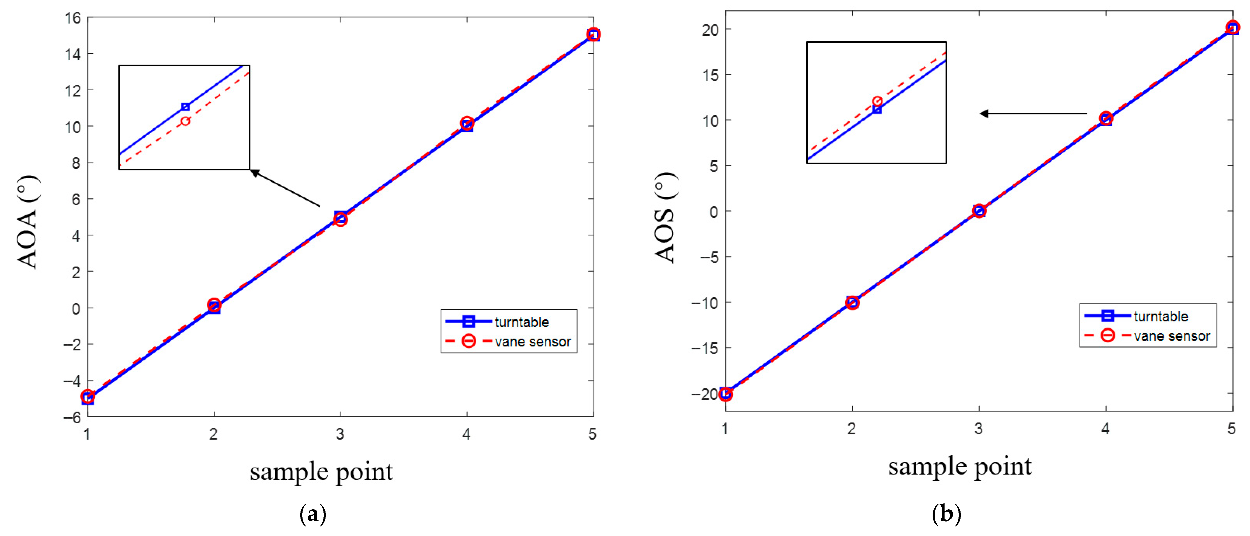
3.3. Wind Tunnel Testing
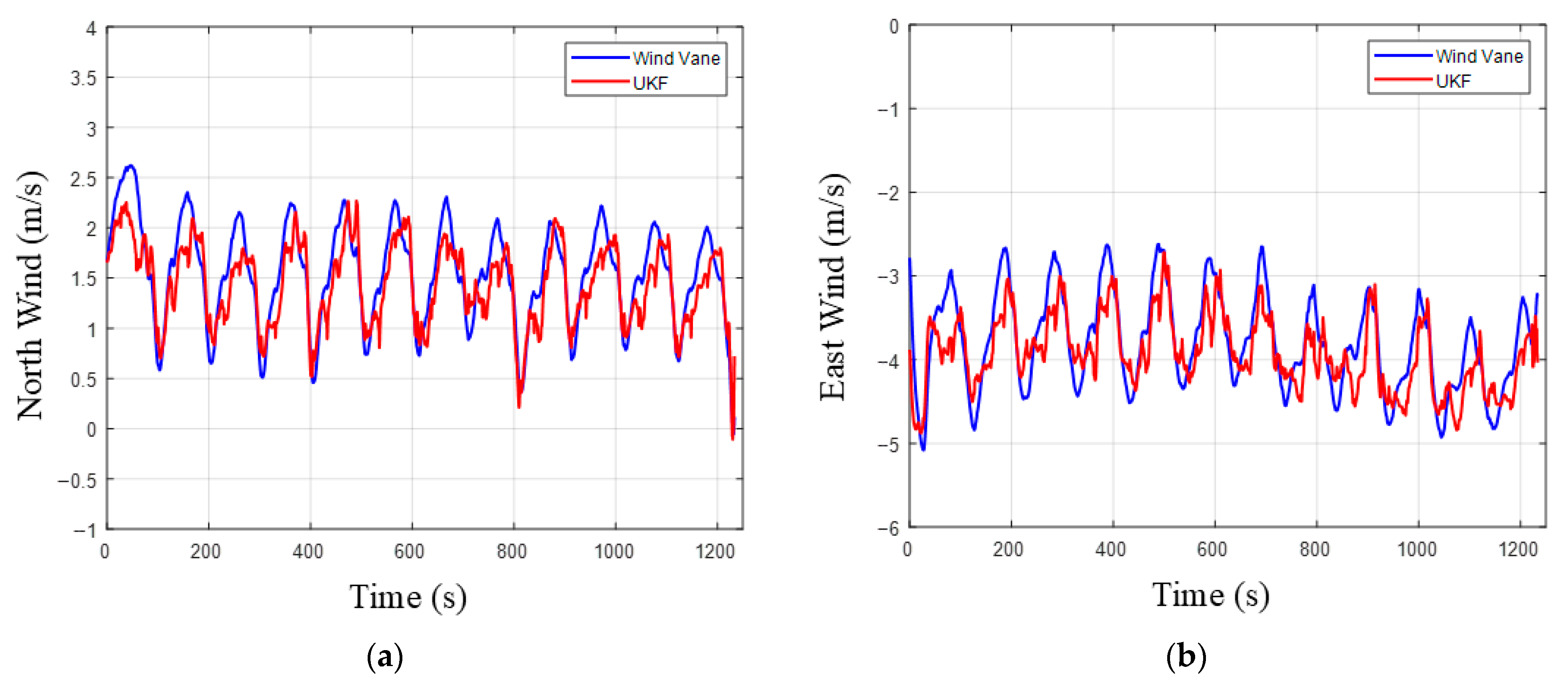
4. Results and Discussion
5. Conclusions
Author Contributions
Funding
Data Availability Statement
Conflicts of Interest
References
- Sziroczak, D.; Rohacs, D.; Rohacs, J. Review of using small UAV based meteorological measurements for road weather management. Prog. Aerosp. Sci. 2022, 134, 100859. [Google Scholar] [CrossRef]
- Adkins, K.A.; Becker, W.; Ayyalasomayajula, S.; Lavenstein, S.; Vlachou, K.; Miller, D.; Compere, M.; Krishnan, A.M.; Macchiarella, N. Hyper-local weather predictions with the enhanced general urban area microclimate predictions tool. Drones 2023, 7, 428. [Google Scholar] [CrossRef]
- Van den Kroonenberg, A.C.; Martin, S.; Beyrich, F.; Bange, J. Spatially-averaged temperature structure parameter over a heterogeneous surface measured by an unmanned aerial vehicle. Bound.-Layer Meteorol. 2012, 142, 55–77. [Google Scholar] [CrossRef]
- Mullen, J.; Bailey, S.C.C.; Hoagg, J.B. Filtered dynamic inversion for altitude control of fixed-wing unmanned air vehicles. Aerosp. Sci. Technol. 2016, 54, 241–252. [Google Scholar] [CrossRef]
- Dolfi-Bouteyre, A.; Canat, G.; Valla, M.; Augere, B.; Besson, C.; Goular, D.; Lombard, L.; Cariou, J.-P.; Durecu, A.; Fleury, D.; et al. Pulsed 1.5 μm LIDAR for Axial Aircraft Wake Vortex Detection Based on High-Brightness Large-Core Fiber Amplifier. IEEE J. Sel. Top. Quantum Electron. 2009, 15, 441–450. [Google Scholar] [CrossRef]
- Daud, S.M.S.M.; Yusof, M.Y.P.M.; Heo, C.C.; Khoo, L.S.; Singh, M.K.C.; Mahmood, M.S.; Nawawi, H. Applications of drone in disaster management: A scoping review. Sci. Justice 2022, 62, 30–42. [Google Scholar] [CrossRef]
- Tang, L.; Shao, G. Drone remote sensing for forestry research and practices. J. For. Res. 2015, 26, 791–797. [Google Scholar] [CrossRef]
- Day, B.M.; Rappenglück, B.; Clements, C.B.; Tucker, S.C.; Brewer, W.A. Nocturnal boundary layer characteristics and land breeze development in Houston, Texas during TexAQS II. Atmos. Environ. 2010, 44, 4014–4023. [Google Scholar] [CrossRef]
- Lehner, M.; Whiteman, C.D.; Hoch, S.W.; Jensen, D.; Pardyjak, E.R.; Leo, L.S.; Di Sabatino, S.; Fernando, H.J.S. A case study of the nocturnal boundary layer evolution on a slope at the foot of a desert mountain. J. Appl. Meteorol. Climatol. 2015, 54, 732–751. [Google Scholar] [CrossRef]
- Kalverla, P.C.; Duine, G.J.; Steeneveld, G.J.; Hedde, T. Evaluation of the Weather Research and Forecasting Model in the Durance valley complex terrain during the KASCADE Field Campaign. J. Appl. Meteorol. Climatol. 2016, 55, 861–882. [Google Scholar] [CrossRef]
- Anderson, K.; Gaston, K.J. Lightweight unmanned aerial vehicles will revolutionize spatial ecology. Front. Ecol. Environ. 2013, 11, 138–146. [Google Scholar] [CrossRef]
- Reuder, J.; Brisset, P.; Jonassen, M.; Mayer, S. The Small Unmanned Meteorological Observer SUMO: A new tool for atmospheric boundary layer research. Meteorol. Z. 2009, 18, 141. [Google Scholar] [CrossRef]
- Elston, J.; Argrow, B.; Stachura, M.; Weibel, D.; Lawrence, D.; Pope, D. Overview of small fixed-wing unmanned aircraft for meteorological sampling. J. Atmos. Ocean. Technol. 2015, 32, 97–115. [Google Scholar] [CrossRef]
- Marino, M.; Fisher, A.; Clothier, R.; Watkins, S.; Prudden, S.; Leung, C.S. An evaluation of multi-rotor unmanned aircraft as flying wind sensors. Int. J. Micro Air Veh. 2015, 7, 285–299. [Google Scholar] [CrossRef]
- Watkins, S.; Thompson, M.; Loxton, B.; Abdulrahim, M. On low altitude flight through the atmospheric boundary layer. Int. J. Micro Air Veh. 2010, 2, 55–68. [Google Scholar] [CrossRef]
- Van den Kroonenberg, A.; Martin, T.; Buschmann, M.; Bange, J.; Vörsmann, P. Measuring the wind vector using the autonomous mini aerial vehicle M 2 AV. J. Atmos. Ocean. Technol. 2008, 25, 1969–1982. [Google Scholar] [CrossRef]
- Chen, J.; Shi, Z.; Zhou, M.; Li, K.; Fan, M.; Zhang, K.; Dong, H. Modeling and simulation of UAV static soaring based on multi-hole probe. AIP Adv. 2021, 11, 075309. [Google Scholar] [CrossRef]
- Martin, S.; Bange, J.; Beyrich, F. Meteorological profiling of the lower troposphere using the research UAV“M2AV Carolo”. Atmos. Meas. Tech. 2011, 4, 705–716. [Google Scholar] [CrossRef]
- Prudden, S.; Fisher, A.; Mohamed, A.; Watkins, S. An anemometer for UAS-based atmospheric wind measurements. In Proceedings of the 17th Australian International Aerospace Congress: AIAC, Melbourne, Australia, 26–28 February 2017; Engineers Australia, Royal Aeronautical Society: Melbourne, Australia, 2017; pp. 303–308. [Google Scholar]
- Mohamed, A.; Watkins, S.; Fisher, A.; Marino, M.; Massey, K.; Clothier, R. Bioinspired wing-surface pressure sensing for attitude control of micro air vehicles. J. Aircr. 2015, 52, 827–838. [Google Scholar] [CrossRef]
- Nikola, G.; Bronz, M.; Moschetta, J.M.; Benard, E.; Pastor, P. Bio-inspired Wind Field Estimation-Part 1: AoA Measurements Through Surface Pressure Distribution. In Proceedings of the IMAV 2017, 9th International Micro Air Vehicle Conference and Competition, Toulouse, France, 18–21 September 2017; p. 1609301. [Google Scholar]
- De Boisblanc, I.; Dodbele, N.; Kussmann, L.; Mukherji, R.; Chestnut, D.; Phelps, S.; Lewin, G.C.; De Wekker, S. Designing a hexacopter for the collection of atmospheric flow data. In Proceedings of the 2014 Systems and Information Engineering Design Symposium (SIEDS), Charlottesville, VA, USA, 25 April 2014; IEEE: New York, NY, USA, 2014. [Google Scholar]
- Shimura, T.; Inoue, M.; Tsujimoto, H.; Sasaki, K.; Iguchi, M. Estimation of Wind Vector Profile Using a Hexarotor Unmanned Aerial Vehicle and Its Application to Meteorological Observation up to 1000 m above Surface. J. Atmos. Ocean. Technol. 2018, 35, 1621–1631. [Google Scholar] [CrossRef]
- Neumann, P.P.; Bartholmai, M. Real-time wind estimation on a micro unmanned aerial vehicle using its inertial measurement unit. Sens. Actuators A Phys. 2015, 235, 300–310. [Google Scholar] [CrossRef]
- Palomaki, R.T.; Rose, N.T.; van den Bossche, M.; Sherman, T.J.; De Wekker, S.F. Wind Estimation in the Lower Atmosphere Using Multirotor Aircraft. J. Atmos. Ocean. Technol. 2017, 34, 1183–1191. [Google Scholar] [CrossRef]
- Adkins, K.; Swinford, C.; Wambolt, P.; Bease, G. Development of a sensor suite for atmospheric boundary layer measurement with a small multirotor unmanned aerial system. Int. J. Aviat. Aeronaut. Aerosp. 2020, 7, 4. [Google Scholar] [CrossRef]
- Shuqing, M.; Hongbin, C.; Gai, W.; Yi, P.; Qiang, L. A miniature robotic plane meteorological sounding system. Adv. Atmos. Sci. 2004, 21, 890–896. [Google Scholar] [CrossRef]
- Reuder, J.; Brisset, P.; Jonassen, M.; Müller, M.; Mayer, S. Sumo: A small unmanned meteorological observer for atmospheric boundary layer research. In IOP Conference Series: Earth and Environmental Science; IOP Publishing: Bristol, UK, 2008; Volume 1, p. 012014. [Google Scholar]
- Mayer, S.; Hattenberger, G.; Brisset, P.; Jonassen, M.O.; Reuder, J. A ‘no-flow-sensor’wind estimation algorithm for unmanned aerial systems. Int. J. Micro Air Veh. 2012, 4, 15–29. [Google Scholar] [CrossRef]
- Compere, M.D.; Adkins, K.A.; Muthu Krishnan, A. Go with the Flow: Estimating Wind Using Uncrewed Aircraft. Drones 2023, 7, 564. [Google Scholar] [CrossRef]
- Cho, A.; Kim, J.; Lee, S.; Kee, C. Wind estimation and airspeed calibration using a UAV with a single-antenna GPS receiver and pitot tube. IEEE Trans. Aerosp. Electron. Syst. 2011, 47, 109–117. [Google Scholar] [CrossRef]
- Rhudy, M.B.; Gu, Y.; Gross, J.N.; Chao, H. Onboard wind velocity estimation comparison for unmanned aircraft systems. IEEE Trans. Aerosp. Electron. Syst. 2017, 53, 55–66. [Google Scholar] [CrossRef]
- Ilyas, M.; Noack, B.R.; Hu, G.; Xiong, H.; Gao, N.; Khan, A.; Yang, Y. Drone anemometry of atmospheric winds—A review. Phys. Fluids 2025, 37, 061302. [Google Scholar] [CrossRef]
- Zhu, S.; Zhao, T.; Zhang, H.; Chen, Y.; Yang, D.; Liu, Y.; Cao, J. UAVs’ Flight Dynamics Is All You Need for Wind Speed and Direction Measurement in Air. Drones 2025, 9, 466. [Google Scholar] [CrossRef]
- Soltaninezhad, M.; Monsorno, R.; Tondini, S. A Review of Methods and Challenges for Wind Measurement by Small Unmanned Aerial Vehicles. Meteorol. Appl. 2025, 32, e70065. [Google Scholar] [CrossRef]
- Baraka, A. Machine Learning Based Approaches to Dynamic Wind Estimation for Unmanned Aerial Vehicles. Master’s Thesis, New Mexico State University, Las Cruces, NM, USA, 2023. [Google Scholar]
- Meier, K.; Hann, R.; Skaloud, J.; Garreau, A. Wind estimation with multirotor UAVs. Atmosphere 2022, 13, 551. [Google Scholar] [CrossRef]
- Mayer, S.; Sandvik, A.; Jonassen, M.O.; Reuder, J. Atmospheric profiling with the UAS SUMO: A new perspective for the evaluation of fine-scale atmospheric models. Meteorol. Atmos. Phys. 2012, 116, 15–26. [Google Scholar] [CrossRef]
- Yu, H.; Liang, X.; Lyu, X. DOB-based Wind Estimation of A UAV Using Its Onboard Sensor. In Proceedings of the2024 IEEE/RSJ International Conference on Intelligent Robots and Systems (IROS), Abu Dhabi, United Arab Emirates, 14–18 October 2024; IEEE: New York, NY, USA, 2024; pp. 8126–8133. [Google Scholar]
- Bramati, M.; Schön, M.; Schulz, D.; Savvakis, V.; Wang, Y.; Bange, J.; Platis, A. A versatile calibration method for rotary-wing UAS as wind measurement systems. J. Atmos. Ocean. Technol. 2024, 41, 25–43. [Google Scholar] [CrossRef]














| Parameters | Value |
|---|---|
| Alpha | |
| Beta | 2 |
| Kappa | 0 |
| Process noise covariances (Q) | 0.01 |
| Measurement noise covariances (R) | 32 |
| sampling rates | 5 Hz |
| Parameters | Value |
|---|---|
| Wing span | 2 m |
| Mean chord length | 0.180 m |
| Length | 1.300 m |
| Weight | 3.2 kg |
| Parameters | Value | |
|---|---|---|
| Processor | STM32F765/STM32F100 | |
| IMU | ICM-20689 | Accelerometer: ±20 mg Gyroscope: ±18,000 deg/h |
| IMU | BMI055 | Accelerometer: ±70 mg Gyroscope: ±3600 deg/h |
| Magnetometer | IST8310 | |
| Barometer | MS5611 ×2 | |
| Airspeed meter | MS5525 | 0.25% |
| GNSS | NEO3-GNSS | 2 m |
| Data link | FM30 | |
| Electric machine | Tmotor2321/KV950 |
| Parameters | Value |
|---|---|
| Acquisition frequency | 10 Hz |
| Range (AOA) | ±28° (0.4887 rad) |
| Range (AOS) | ±32° (0.5585 rad) |
| Weight | 0.09 kg |
| AOA | AOS |
|---|---|
| −5° (−0.0873 rad) | −20° (−0.3490 rad) |
| 0° (0 rad) | −10° (−0.1745 rad) |
| 5° (0.0873 rad) | 0° (0 rad) |
| 10° (0.1745 rad) | 10° (0.1745 rad) |
| 15° (0.2618 rad) | 20° (0.3490 rad) |
| Flight 2 | Flight 3 | |||||
|---|---|---|---|---|---|---|
| ME | RMSE | 95% CI | ME | RMSE | 95% CI | |
| (m/s) | 0.2028 | 0.3820 | [0.1974, 0.2081] | 0.2823 | 0.4021 | [0.2773, 0.2874] |
| (m/s) | 0.0969 | 0.4030 | [0.0904, 0.1034] | 0.1376 | 0.3606 | [0.1317, 0.1435] |
| (m/s) | −0.0052 | 0.3688 | [−0.0113, 0.0009] | −0.0030 | 0.3332 | [−0.0089, 0.0029] |
| (deg) | 3.8400 | 6.9795 | [3.7436, 3.9365] | 4.3255 | 5.5686 | [4.2636, 4.3874] |
Disclaimer/Publisher’s Note: The statements, opinions and data contained in all publications are solely those of the individual author(s) and contributor(s) and not of MDPI and/or the editor(s). MDPI and/or the editor(s) disclaim responsibility for any injury to people or property resulting from any ideas, methods, instructions or products referred to in the content. |
© 2025 by the authors. Licensee MDPI, Basel, Switzerland. This article is an open access article distributed under the terms and conditions of the Creative Commons Attribution (CC BY) license (https://creativecommons.org/licenses/by/4.0/).
Share and Cite
Fu, Y.; An, W.; Su, X.; Song, B. Real-Time Wind Estimation for Fixed-Wing UAVs. Drones 2025, 9, 563. https://doi.org/10.3390/drones9080563
Fu Y, An W, Su X, Song B. Real-Time Wind Estimation for Fixed-Wing UAVs. Drones. 2025; 9(8):563. https://doi.org/10.3390/drones9080563
Chicago/Turabian StyleFu, Yifan, Weigang An, Xingtao Su, and Bifeng Song. 2025. "Real-Time Wind Estimation for Fixed-Wing UAVs" Drones 9, no. 8: 563. https://doi.org/10.3390/drones9080563
APA StyleFu, Y., An, W., Su, X., & Song, B. (2025). Real-Time Wind Estimation for Fixed-Wing UAVs. Drones, 9(8), 563. https://doi.org/10.3390/drones9080563

