Optimization of RIS-Assisted 6G NTN Architectures for High-Mobility UAV Communication Scenarios
Abstract
1. Introduction
- Joint optimization of RIS phase shifts: We develop an algorithm to optimize RIS phase shifts in real time, considering the dynamic nature of NTNs/UAVs and user mobility.
- Performance metrics: We evaluate system performance using multiple metrics, including SINR, throughput, energy efficiency, outage probability, and latency.
- Scenario-based analysis: We analyze the system performance under various real-world scenarios, serving dense ground, indoor, or aerial user populations in dynamic 3D environments.
2. Related Work
Distinct Contributions and Novelty of This Work
- (1)
- A predictive RIS reconfiguration algorithm leveraging user trajectory forecasting and Doppler shift compensation;
- (2)
- Joint multi-objective optimization of SINR, throughput, outage probability, energy efficiency (EE), and latency within a unified formulation;
- (3)
- Comprehensive scenario-driven validation across urban, rural, emergency, highway, and indoor environments.
3. System Model and Problem Formulation
3.1. System Architecture for UAV-Enabled 6G NTNs
3.2. Received Signal
3.3. Channel Modeling for UAV-Assisted Non-Terrestrial Networks
3.3.1. Direct Path
3.3.2. Reflected Path
3.3.3. Interference and Noise
- Direct feedback channels;
- Integrated sensor fusion;
- Cooperative localization protocols.
4. Joint Optimization Framework for RIS Configuration and UAV Mobility
- Real-time RIS phase-shift optimization.
- Predictive coordination between UAVs and RIS.
- Performance evaluation and trade-off analysis.
4.1. Real-Time RIS Phase-Shift Optimization
4.1.1. Objective Function
4.1.2. Optimization Problem
4.1.3. Solution
Step 1: Simplify the Objective Function
Step 2: Optimal Phase-Shift Design
4.2. Predictive Coordination Between NTN and RIS
4.2.1. Channel Prediction with Mobility Awareness
4.2.2. Doppler Effect Modeling
4.2.3. Doppler-Aware RIS Phase Alignment
4.3. Performance Evaluation and Trade-Off Analysis
4.3.1. Throughput
4.3.2. Energy Efficiency
4.3.3. Outage Probability
4.3.4. Latency
| Algorithm 1: Doppler-Aware RIS-Assisted NTN Optimization |
|
5. Simulation Results and Discussion
- RIS element count:investigates performance–complexity trade-offs, with representing the current practical limit for real-time reconfiguration in existing RIS hardware.
- Carrier frequency:= 2.4 GHz operates in sub-6 GHz UAV bands, optimizing Doppler resilience and propagation characteristics relative to millimeter-wave alternatives.
- Power parameters:Transmit power W and per-element RIS consumption W reflect energy-constrained NTN design principles established in the contemporary literature.
- Noise characterization:Variance W; models thermal noise for a 10 MHz bandwidth at 300 K.
- Mobility modeling:User velocities m/s follow scenario-specific UAV speed distributions representative of operational aerial platforms.
- Interference profile:Log-normal distribution with environment-dependent standard deviations ( dB, dB) that capture realistic NTN channel conditions.
- Processing latency:Per-element delay μs; benchmarks state-of-the-art RIS controller architectures.
- Doppler compensation:The frequency shift allows for the predictive alignment of the phase, where denotes the angle of motion relative to the propagation of the signal.
5.1. Analysis of Plotted Results Across Different Scenarios
5.1.1. Signal-to-Interference-Plus-Noise Ratio (SINR) [dB]
5.1.2. Throughput [Mbps]
5.1.3. Energy Efficiency [Mbps/W]
5.1.4. Outage Probability [%]
5.1.5. Latency [ms]
5.2. Performance Trade-Offs and Design Implications
- (i)
- RIS element count (M);
- (ii)
- Physical placement geometry;
- (iii)
- Phase-shift update algorithms.
6. Conclusions and Future Directions
Author Contributions
Funding
Data Availability Statement
Conflicts of Interest
References
- Niu, H.; Lin, Z.; An, K.; Liang, X.; Hu, Y.; Li, D.; Zheng, G. Active RIS-Assisted Secure Transmission for Cognitive Satellite Terrestrial Networks. IEEE Trans. Veh. Technol. 2023, 72, 2609–2614. [Google Scholar] [CrossRef]
- Aung, P.; Park, Y.; Tun, Y.; Han, Z.; Hong, C. Energy-Efficient Communication Networks via Multiple Aerial Reconfigurable Intelligent Surfaces: DRL and Optimization Approach. IEEE Trans. Veh. Technol. 2022, 73, 4277–4292. [Google Scholar] [CrossRef]
- Cao, X.; Yang, B.; Huang, C.; Alexandropoulos, G.C.; Yuen, C.; Han, Z.; Poor, H.; Hanzo, L. Massive Access of Static and Mobile Users via Reconfigurable Intelligent Surfaces: Protocol Design and Performance Analysis. IEEE J. Sel. Areas Commun. 2022, 40, 1253–1269. [Google Scholar] [CrossRef]
- Mao, S.; Liu, L.; Zhang, N.; Dong, M.; Zhao, J.; Wu, J.; Leung, V.C.M. Reconfigurable Intelligent Surface-Assisted Secure Mobile Edge Computing Networks. IEEE Trans. Veh. Technol. 2022, 71, 6647–6660. [Google Scholar] [CrossRef]
- Qian, L.; Zhang, H.; Wang, Q.; Wu, Y.; Lin, B. Joint Multi-Domain Resource Allocation and Trajectory Optimization in UAV-Assisted Maritime IoT Networks. IEEE Internet Things J. 2023, 10, 539–552. [Google Scholar] [CrossRef]
- Worka, C.E.; Khan, F.A.; Ahmed, Q.Z.; Sureephong, P.; Alade, T. Reconfigurable Intelligent Surface (RIS)-Assisted Non-Terrestrial Network (NTN)-Based 6G Communications: A Contemporary Survey. Sensors 2024, 24, 6958. [Google Scholar] [CrossRef]
- Gholami, M.; Khajavi, S.; Neshat, M.; Tewes, S.; Sezgin, A. Realization of Reconfigurable Intelligent Surfaces with Space-Time Coded Metasurfaces. arXiv 2024, arXiv:2410.20503. [Google Scholar] [CrossRef]
- Alam, H.; De Domenico, A.; López-Pérez, D.; Kaltenberger, F. Optimizing Integrated Terrestrial and Non-Terrestrial Networks Performance with Traffic-Aware Resource Management. arXiv 2024, arXiv:2410.06700. [Google Scholar] [CrossRef]
- Ayub, M.S.; Adasme, P.; Shongwe, T.; Rodríguez, D.Z.; Rosa, R.L.; Iqbal, M.; Pan, J.-Y. Fusing Reconfigurable Intelligent Surfaces with 6G Non-Terrestrial Networks. In Proceedings of the SOFTCOM 2024, Split, Croatia, 26–28 September 2024; pp. 1–6. [Google Scholar] [CrossRef]
- Tanash, I.M.; Dwivedi, A.K.; Maleki, F.R.; Riihonen, T. Enhancing HAP Networks with Reconfigurable Intelligent Surfaces. arXiv 2024, arXiv:2409.10040. [Google Scholar] [CrossRef]
- Xu, M.; Zhang, S.; Ma, J.; Dobre, O.A. Deep learning-based time-varying channel estimation for RIS-assisted communication. IEEE Commun. Lett. 2021, 26, 94–98. [Google Scholar] [CrossRef]
- Huang, Z.; Zheng, B.; Zhang, R. Transforming fading channel from fast to slow: Intelligent refracting surface aided high-mobility communication. IEEE Trans. Wirel. Commun. 2022, 21, 4989–5003. [Google Scholar] [CrossRef]
- Xu, C.; An, J.; Bai, T.; Sugiura, S.; Maunder, R.G.; Wang, Z.; Yang, L.-L.; Hanzo, L. Channel estimation for reconfigurable intelligent surface assisted high-mobility wireless systems. IEEE Trans. Veh. Technol. 2022, 71, 12608–12622. [Google Scholar] [CrossRef]
- You, L.; Xiong, J.; Huang, Y.; Ng, D.W.K.; Pan, C.; Wang, W.; Gao, X. Reconfigurable intelligent surfaces-assisted multiuser MIMO uplink transmission with partial CSI. IEEE Trans. Wirel. Commun. 2021, 20, 5613–5627. [Google Scholar] [CrossRef]
- Xu, C.; An, J.; Bai, T.; Xiang, L.; Sugiura, S.; Maunder, R.G.; Yang, L.-L.; Hanzo, L. Reconfigurable intelligent surface assisted multi-carrier wireless systems for doubly selective high-mobility Ricean channels. IEEE Trans. Veh. Technol. 2022, 71, 4023–4041. [Google Scholar] [CrossRef]
- Zhang, S.; Li, M.; Jian, M.; Zhao, Y.; Gao, F. AIRIS: Artificial Intelligence Enhanced Signal Processing in Reconfigurable Intelligent Surface Communications. China Commun. 2021, 18, 158–171. [Google Scholar] [CrossRef]
- Alexandropoulos, G.C.; Stylianopoulos, K.; Huang, C.; Yuen, C.; Bennis, M.; Debbah, M. Pervasive Machine Learning for Smart Radio Environments Enabled by Reconfigurable Intelligent Surfaces. Proc. IEEE 2022, 110, 1494–1525. [Google Scholar] [CrossRef]
- Triwidyastuti, Y.; Do, T.N.; Perdana, R.H.Y.; Shim, K.; An, B. Transfer Learning-Empowered Physical Layer Security in Aerial Reconfigurable Intelligent Surfaces-Based Mobile Networks. IEEE Access 2025, 13, 5471–5490. [Google Scholar] [CrossRef]
- Khan, W.U.; Sheemar, C.K.; Lagunas, E.; Chatzinotas, S. Beyond Diagonal RIS: A New Frontier for 6G Internet of Things Networks. arXiv 2025, arXiv:2502.03637. [Google Scholar] [CrossRef]
- Saleh, S.; Zheng, P.; Liu, X.; Chen, H.; Keskin, M.F.; Priyanto, B.; Beale, M.; Ettefagh, Y.; Seco-Granados, G.; Al-Naffouri, T.Y.; et al. Integrated 6G TN and NTN Localization: Challenges, Opportunities, and Advancements. IEEE Commun. Stand. Mag. 2025, 9, 63–71. [Google Scholar] [CrossRef]
- Tong, X.; Xie, Z.; Gu, Y. A Review of Non-Terrestrial Network Standard Development in 3GPP RAN and Future Directions for 6G. In Proceedings of the AIAA SCITECH 2025 Forum, Orlando, FL, USA, 6–10 January 2015; p. 2717. [Google Scholar] [CrossRef]
- Korikawa, T.; Takasaki, C.; Hattori, K. A path selection method based on rule prediction in non-terrestrial networks. Comput. Netw. 2025, 257, 110958. [Google Scholar] [CrossRef]
- Haq, B.; Jamshed, M.A.; Nauman, A. Integrated Terrestrial and Non-Terrestrial Network: An Overview. In Integrated Terrestrial and Non-Terrestrial Networks; Springer: Cham, Switzerland, 2025. [Google Scholar] [CrossRef]
- Haq, A.U.; Sefati, S.S.; Nawaz, S.J.; Mihovska, A.; Beliatis, M.J. Need of UAVs and Physical Layer Security in Next-Generation Non-Terrestrial Wireless Networks: Potential Challenges and Open Issues. IEEE Open J. Veh. Technol. 2025, 6, 554–595. [Google Scholar] [CrossRef]
- Junejo, Y.S.; Shaikh, F.K.; Chowdhry, B.S.; Ejaz, W. Adaptive Handover Management in High-Mobility Networks for Smart Cities. Computers 2025, 14, 23. [Google Scholar] [CrossRef]
- Eydian, S.; Hosseini, M.; Kurt, G.K. Handover Strategy for LEO Satellite Networks Using Bipartite Graph and Hysteresis Margin. IEEE Open J. Commun. Soc. 2025, 6, 1470–1484. [Google Scholar] [CrossRef]
- Jamshed, M.A.; Haq, B.; Mohsin, M.A.; Nauman, A.; Yanikomeroglu, H. Artificial Intelligence, Ambient Backscatter Communication and Non-Terrestrial Networks: A 6G Commixture. arXiv 2025, arXiv:2501.09405. [Google Scholar] [CrossRef]
- Hossain, E.; Vera-Rivera, A. Next-Generation Wireless: Tracking the Evolutionary Path of 6G Mobile Communication. arXiv 2025, arXiv:2501.14552. [Google Scholar] [CrossRef]
- Shang, B.; Wang, Z.; Li, X.; Yang, C.; Ren, C.; Zhang, H. Spectrum Sharing in Satellite-Terrestrial Integrated Networks: Frameworks, Approaches, and Opportunities. arXiv 2025, arXiv:2501.02750. [Google Scholar] [CrossRef]
- Ekpe, U.M.; Imoize, A.L.; Montlouis, W. Massive MIMO for Non-terrestrial Wireless Communication Systems. In Massive MIMO for Future Wireless Communication Systems: Technology and Applications; Wiley: Hoboken, NJ, USA, 2025; pp. 371–402. [Google Scholar] [CrossRef]
- Jiang, W.; Zhan, Y.; Fang, X. Satellite Edge Computing for Mobile Multimedia Communications: A Multi-agent Federated Reinforcement Learning Approach. ACM Trans. Auton. Adapt. Syst. 2025. [Google Scholar] [CrossRef]
- Li, C.-M.; Wu, L.-C.; Wang, P.-J. Integrated environment sensing and green communication for non-terrestrial network. IEICE Trans. Commun. 2025, E108-B, 851–858. [Google Scholar] [CrossRef]
- 3GPP TR 38.821: Solutions for NR to Support Non-Terrestrial Networks (NTN); 3rd Generation Partnership Project (3GPP). Available online: https://www.3gpp.org/ftp/Specs/archive/38_series/38.821/ (accessed on 22 May 2025).
- Alkhateeb, A.; Jiang, S.; Charan, G. Real-Time Digital Twins: Vision and Research Directions for 6G and Beyond. IEEE Commun. Mag. 2023, 61, 128–134. [Google Scholar] [CrossRef]
- Huang, Z.; Bai, L.; Sun, M.; Cheng, X. A LiDAR-Aided Channel Model for Vehicular Intelligent Sensing-Communication Integration. IEEE Trans. Intell. Transp. Syst. 2024, 25, 20105–20119. [Google Scholar] [CrossRef]



| Category | Citations | Key Contributions | Limitations/Challenges | How Our Work Differs |
|---|---|---|---|---|
| Intelligent Signal Processing | Zhang et al. [16] Alexandropoulos et al. [17] Khan et al. [19] | AI-based adaptive phase-shift configuration. ML techniques for RIS reconfiguration. | Focus primarily on terrestrial or quasi-static channels. Limited exploration of dynamic NTN scenarios. | Proposes a joint optimization framework for RIS phase shifts in high-mobility NTN environments. Incorporates real-time reconfiguration tailored for 6G networks. |
| Integration of NTNs in 6G Architectures | Saleh et al. [20] Tong et al. [21] Haq et al. [23] Shang et al. [29] Ekpe et al. [30] | System-level integration of terrestrial and non-terrestrial networks. Spectrum sharing frameworks and massive MIMO techniques. | Limited emphasis on the interaction between RIS deployment and NTN performance under high-mobility conditions. | Provides a comprehensive simulation-based performance analysis across multiple scenarios (urban, rural, highway, indoor, emergency). Focuses on 6G-enabled drone and high-mobility communications. |
| Mobility Management | Korikawa et al. [22] Junejo et al. [25] Eydian et al. [26] | Advanced handover algorithms. Path selection techniques for NTN and LEO satellite networks. | Handover strategies are generally developed independently of RIS reconfiguration. Limited integration of physical-layer optimization. | Integrates real-time RIS reconfiguration with mobility management. Enhances handover performance while maintaining optimal signal quality in rapidly changing environments. |
| Security | Triwidyastuti et al. [18] Haq et al. [24] Jamshed et al. [27] Jiang et al. [31] Li et al. [32] | Physical-layer security enhancements. Use of transfer learning and edge computing for secure communications. | Typically focus on security and energy efficiency in isolation. Do not jointly optimize core performance metrics (e.g., SINR, throughput). | Simultaneously optimizes multiple performance metrics (SINR, throughput, energy efficiency, outage probability, latency). Addresses critical trade-offs for secure and efficient NTN operation in high-mobility scenarios. |
| Parameter | Value/Description |
|---|---|
| M_values | Number of RIS elements (10 to 50) |
| num_trials | 1000 trials for statistical significance |
| Carrier Frequency () | 2.4 GHz |
| Speed of Light (c) | m/s |
| Transmit Power (P) | 1 W |
| Noise Variance () | W |
| Bandwidth (B) | 10 MHz |
| Power per RIS Element () | 0.1 W |
| NTN Power () | 10 W |
| Processing Time per Element () | 1 μs |
| Transmission Delay () | 1 ms |
| Scenarios | Urban, rural, highway, indoor, emergency |
| Scenario Variations | Different interference scales and shadowing standard deviations |
| Category | SINR vs. Energy Efficiency | Throughput vs. Latency | Outage Probability vs. Complexity |
|---|---|---|---|
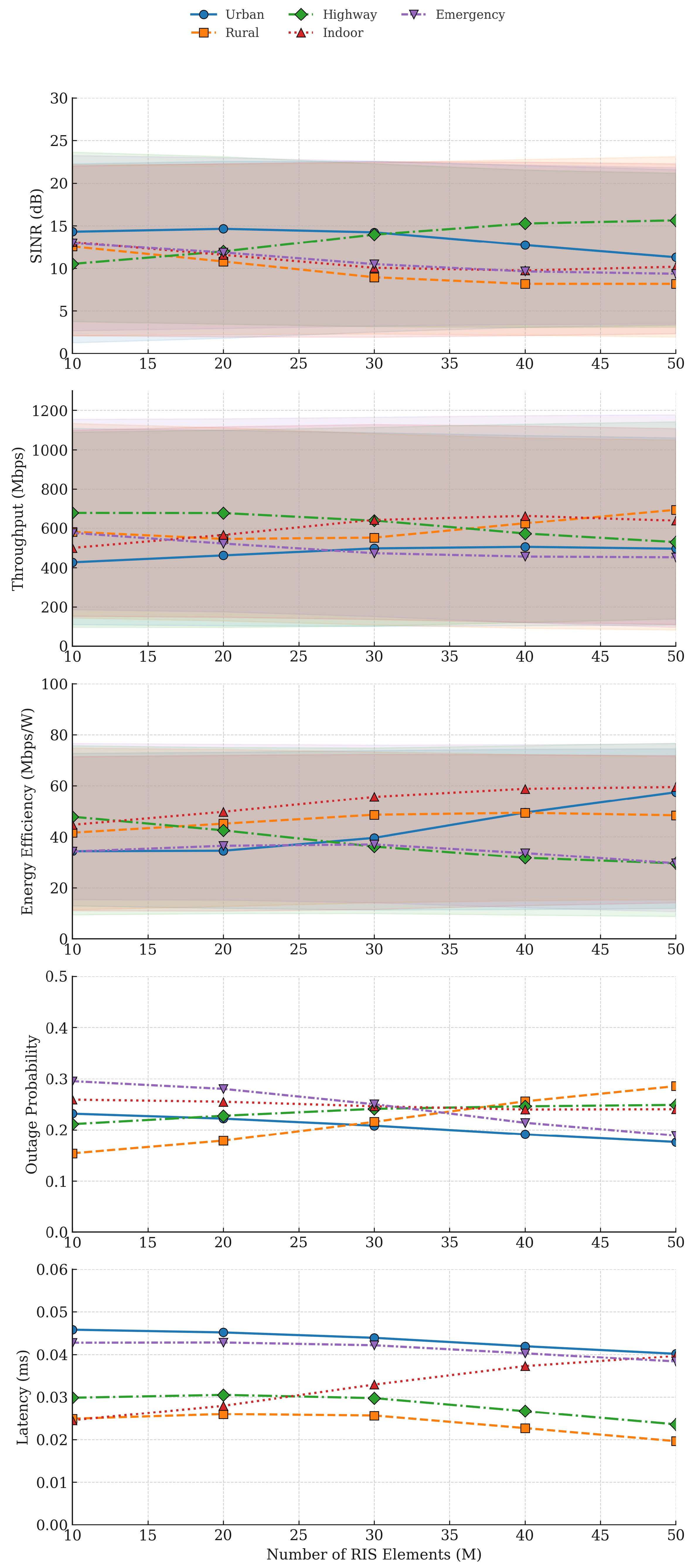
| Observation | SINR (dB): Urban scenarios exhibit a stable yet slightly declining SINR beyond . Highway scenarios show steady improvement in SINR with increasing M, while rural and emergency scenarios face SINR degradation due to interference. Indoor scenarios maintain a stable SINR irrespective of M. Energy Efficiency (Mbps/W): Urban and indoor scenarios show consistent increases in energy efficiency with M, while rural and highway scenarios stabilize beyond . Emergency scenarios decline in energy efficiency at higher M due to increased power consumption. | Throughput (Mbps): Throughput improves across most scenarios with M, peaking in rural and indoor scenarios at higher M. Highway scenarios show diminishing returns after an initial rise, and emergency scenarios decline slightly with larger M. Urban throughput grows steadily but modestly. Latency (ms): Latency decreases in urban and emergency scenarios with increasing M. Rural latency remains low and stable, while indoor and highway latency slightly increases due to processing overhead. | Outage Probability: Urban scenarios see steady improvement in outage probability as M increases. Emergency scenarios start with high outage probability but gradually improve. Rural scenarios, however, face increasing outage probability at larger M, potentially due to interference. Indoor scenarios remain unaffected. Complexity: Higher M increases computational complexity, especially in highway and emergency scenarios where real-time adjustments are critical. |
| Trade-Off | Higher M improves the SINR and energy efficiency but leads to rising power consumption in emergency scenarios. Optimal M: Around balances the SINR and energy efficiency in most scenarios, except rural and highway. | Throughput grows in rural and urban scenarios but comes with processing overhead for highway and indoor scenarios. Low Latency: Emergency and urban scenarios require for responsiveness, while higher M (e.g., ) benefits throughput at the cost of latency. | Reducing outage probability in rural and emergency scenarios requires higher M (e.g., ) but increases complexity. Optimal Trade-Off: Low-complexity networks can limit M to , while mission-critical systems balance complexity and performance at . |
| Design Implications | Scenario-Specific Tuning: Urban and emergency scenarios favor for balance, while rural systems maximize for improved SINR and throughput. Power Optimization: Emergency networks should optimize RIS configuration for energy efficiency. | Real-Time Applications: Urban and emergency networks prioritize for latency-sensitive use cases. Bandwidth-Intensive Applications: Highway and rural scenarios can utilize to maximize throughput despite increased latency. | Mission-Critical Systems: Emergency scenarios require for reliability but need advanced algorithms to manage complexity. Algorithm Choice: Small M suits simple systems, while larger M necessitates machine learning-based optimization for dynamic configurations. |
| Trade-Off | Key Observation | Optimal Design Choice |
|---|---|---|
| SINR vs. Energy Efficiency | SINR saturates at ; energy efficiency peaks at . | (peak efficiency). |
| Throughput vs. Latency | Throughput grows logarithmically; latency increases linearly. | (balance for real-time systems). |
| Outage vs. Complexity | Outage drops exponentially; complexity increases quadratically. | for reliability, for low complexity. |
Disclaimer/Publisher’s Note: The statements, opinions and data contained in all publications are solely those of the individual author(s) and contributor(s) and not of MDPI and/or the editor(s). MDPI and/or the editor(s) disclaim responsibility for any injury to people or property resulting from any ideas, methods, instructions or products referred to in the content. |
© 2025 by the authors. Licensee MDPI, Basel, Switzerland. This article is an open access article distributed under the terms and conditions of the Creative Commons Attribution (CC BY) license (https://creativecommons.org/licenses/by/4.0/).
Share and Cite
Ayub, M.S.; Saadi, M.; Koo, I. Optimization of RIS-Assisted 6G NTN Architectures for High-Mobility UAV Communication Scenarios. Drones 2025, 9, 486. https://doi.org/10.3390/drones9070486
Ayub MS, Saadi M, Koo I. Optimization of RIS-Assisted 6G NTN Architectures for High-Mobility UAV Communication Scenarios. Drones. 2025; 9(7):486. https://doi.org/10.3390/drones9070486
Chicago/Turabian StyleAyub, Muhammad Shoaib, Muhammad Saadi, and Insoo Koo. 2025. "Optimization of RIS-Assisted 6G NTN Architectures for High-Mobility UAV Communication Scenarios" Drones 9, no. 7: 486. https://doi.org/10.3390/drones9070486
APA StyleAyub, M. S., Saadi, M., & Koo, I. (2025). Optimization of RIS-Assisted 6G NTN Architectures for High-Mobility UAV Communication Scenarios. Drones, 9(7), 486. https://doi.org/10.3390/drones9070486

