Next Article in Journal
Control Allocation Strategy Based on Min–Max Optimization and Simple Neural Network
Next Article in Special Issue
Mechanisms and Control Strategies for Morphing Structures in Quadrotors: A Review and Future Prospects
Previous Article in Journal
Long-Duration UAV Localization Across Day and Night by Fusing Dual-Vision Geo-Registration with Inertial Measurements
Previous Article in Special Issue
Design and Control Strategies of Multirotors with Horizontal Thrust-Vectored Propellers
 
 
Font Type:
Arial Georgia Verdana
Font Size:
Aa Aa Aa
Line Spacing:
Column Width:
Background:
Article

Experimental Investigation of Aerodynamic Interaction in Non-Parallel Tandem Dual-Rotor Systems for Tiltrotor UAV

1
National Key Laboratory of Helicopter Aeromechanics, Nanjing University of Aeronautics and Astronautics, Nanjing 210016, China
2
Key Laboratory of Fundamental Science for National Defense-Advanced Design Technology of Flight Vehicle, Nanjing University of Aeronautics and Astronautics, Nanjing 210016, China
3
College of Aerospace Engineering, Nanjing University of Aeronautics and Astronautics, Nanjing 210016, China
*
Author to whom correspondence should be addressed.
Drones 2025, 9(5), 374; https://doi.org/10.3390/drones9050374
Submission received: 6 April 2025 / Revised: 11 May 2025 / Accepted: 12 May 2025 / Published: 15 May 2025
(This article belongs to the Special Issue Dynamics Modeling and Conceptual Design of UAVs)

Abstract

The distributed electric tilt-rotor Unmanned Aerial Vehicle (UAV) combines the vertical take-off and landing (VTOL) capability of helicopters with the high-speed cruise performance of fixed-wing aircraft, offering a transformative solution for Urban Air Mobility (UAM). However, aerodynamic interference between rotors is a new challenge to improving their flight efficiency, especially the dynamic interactions during the transition phase of non-parallel tandem dual-rotor systems, which require in-depth investigation. This study focuses on the aerodynamic performance evolution of the tilt-rotor system during asynchronous transition processes, with an emphasis on quantifying the influence of rotor tilt angles. A customized experimental platform was developed to investigate a counter-rotating dual-rotor model with fixed axial separation. Key performance metrics, including thrust, torque, and power, were systematically measured at various tilt angles (0–90°) and rotational speeds (1500–3500 RPM). The aerodynamic coupling mechanisms between the front and rear rotor disks were analyzed. The experimental results indicate that the relative tilt angle of the dual rotors significantly affects aerodynamic interference between the rotors. In the forward tilt mode, the thrust of the aft rotor recovers when the tilt angle reaches 45°, while in the aft tilt mode, it requires a tilt angle of 75°. By optimizing the tilt configuration, the aerodynamic performance loss of the aft rotor due to rotor-to-rotor aerodynamic interference can be effectively mitigated. This study provides important insights for the aerodynamic performance optimization and transition control strategies of the distributed electric tilt-rotor UAV.

1. Introduction

Urban Air Mobility (UAM) not only alleviates ground traffic congestion but also offers a more efficient and environmentally friendly mode of transportation for high-density urban areas, demonstrating tremendous market potential [1,2]. With the growing demand for Urban Air Mobility [3], particularly in areas such as emergency response, cargo transportation, and passenger travel, the need for efficient, flexible, and sustainable transportation solutions is becoming increasingly urgent [4]. This trend has accelerated the rapid development of vertical take-off and landing (VTOL) aircraft technologies; particularly, the distributed electric tilt-rotor UAV enables flexible vertical take-off and landing as well as efficient cruising without reliance on large-scale infrastructure [5]. Joby Aviation has achieved substantial technological advancements in this field; its developed electric vertical take-off and landing (eVTOL) aircraft has undergone multiple flight tests and demonstrated promising performance [6]. Figure 1 shows a pre-production prototype of the Joby electric tilt-rotor VTOL aircraft. In addition, the application of the Distributed Electric Propulsion (DEP) concept is expected to reduce operating costs and noise pollution, positioning the distributed electric tilt-rotor UAV as one of the key technologies for UAM and future aviation systems [7].
The multi-rotor system features multiple power sources, and by adding more rotors, the lift can be evenly distributed across the propulsion units, reducing the load on each individual rotor and enhancing the overall thrust performance of the system [8]. In tilt-rotor systems, a tandem configuration refers to the arrangement in which multiple rotors or tilt-wings are positioned at a defined axial spacing—specifically, the longitudinal distance along the fuselage between the centers of the fore and aft rotor disks. In such configurations, the fore and aft rotors (or tilt-wings) operate independently, each contributing to the generation of lift, thrust, and control moments. The tandem configuration allows for greater lift and thrust within a more compact airframe. However, this configuration introduces complex aerodynamic interactions between the rotors [9], as well as significant aerodynamic interference caused by the relative positioning of the rotors and wings [10]. These issues can adversely affect the aircraft’s control capabilities, especially when the rotor spacing is close and the transition between vertical and horizontal flight modes is not synchronized. These interactions can significantly affect the aerodynamic performance and operational efficiency of the aircraft, particularly in typical low-speed, high-lift operating environments such as urban settings [11]. They also impose greater demands on the structural design and flight control system design of tilt-rotor aircraft [12]. Therefore, optimizing the aerodynamic performance of the tilt tandem rotor propulsion system to improve overall flight efficiency and stability has become a new challenge in the performance optimization design of distributed electric tilt-rotor aircraft.
With the rapid development of computer technology, computational fluid dynamics (CFD) methods have gained significant attention and are widely used in the aerodynamic performance analysis of multi-rotor systems, tilt-rotor systems, and eVTOL aircraft due to their ability to accurately capture flow field characteristics. CFD technology provides a low-cost and flexible tool for analyzing the aerodynamic characteristics of tilt-rotor UAVs. Ye [13] developed a rotor CFD solver capable of effectively simulating the flow field and aerodynamic characteristics of tilt-rotor aircraft in hover conditions. Sheng [14] employed a CFD solver to predict and analyze the unsteady flow field and aerodynamic performance of a wind tunnel test model of the Bell Boeing quad tilt-rotor aircraft. The results indicated that aerodynamic interference and periodic time-varying loads occur among the fore and aft rotors and the wing system under different flight conditions. Although CFD plays a vital role in the aerodynamic performance analysis of UAVs, the computational accuracy and stability of existing CFD models still need further improvement under certain flight conditions and configurations. In addition, to ensure the reliability of CFD predictions, validation with experimental data remains necessary [15].
In terms of experimental research, as early as 1954, Dingeldein [16] conducted a series of wind tunnel experiments on both tandem and coaxial configurations, yielding valuable experimental data. When overlap exists between tandem rotors and the axial spacing is limited, it becomes particularly important to measure the performance characteristics of the fore and aft rotors. Zanotti et al. [17] conducted a series of wind tunnel experiments to investigate the impact of varying overlap between two tandem propellers on rotor performance and the aerodynamic interactions within the flow field. The results showed that as the overlap between the rotor disks increased, the aft rotor experienced a significant loss in thrust. Ramasamy [18] was the first to estimate the aerodynamic interference loss factor by comparing thrust and hover efficiency among tandem configurations (with torque balance), tiltrotor systems, and single-rotor systems, all having the same solidity (i.e., the same rotor blade area fraction). The estimation is applicable over a wide range of lateral spacing. Yang [19] investigated the aerodynamic performance of small-scale rotors in tilted transition states through wind tunnel testing and found that the thrust coefficient increases with the Reynolds number but decreases with advancing ratios. Shukla [20] measured a set of side-by-side rotors in hover over a range of rotor separations and explored rotor wake behavior under different axial spacings and two distinct Reynolds numbers using high-speed stereo particle image velocimetry (SPIV), assessing the impact of rotor spacing on performance. While the above experimental and simulation studies have explored the effects of rotor spacing, advance ratio, and Reynolds number on aerodynamic performance, they primarily focus on helicopter mode and have not accounted for aerodynamic interactions during asynchronous transitions between fore and aft rotors, where asynchronous transition refers to the condition in which the fore and aft rotors tilt at different times rather than simultaneously. There is a lack of aerodynamic performance evaluation for tilt multi-rotor systems under dynamic transitional flight conditions. Therefore, investigating the influence of parameters such as rotor tilt angle and rotational speed on flight performance is of great significance for optimizing the design of tilt-rotor UAVs.
In recent years, researchers around the world have conducted extensive studies on tandem rotor systems. Zanotti [21] investigated the effects of parameters such as tilt angle and lateral spacing on the performance of dual-rotor systems. Ramasamy [22] conducted tests on the hover performance of tandem rotors. Celik [23] explored the aerodynamic noise of tandem rotors. Asynchronous tilt-rotor configurations for the distributed electric tilt-rotor UAVs are also a promising option. However, most of the current research focuses on synchronized tilt tandem dual-rotor configurations, with limited studies on the aerodynamic performance of tandem rotor systems in asynchronous tilt states. Therefore, this paper primarily investigates the changes in aerodynamic performance of the tandem dual-rotor system in the asynchronous transition process of the tilt-rotor UAV. Using a custom-designed aerodynamic performance testing platform for tilt dual-rotor systems, the study measured performance indicators such as thrust, torque, and power variations with changes in rotor tilt angle and rotational speed for a reverse rotating rotor model with fixed axial distance. Additionally, the impact of aerodynamic interactions between the fore and aft rotor disks on the multi-rotor system’s performance was analyzed. It should be noted that due to the varying incoming flow velocities for rotors at different tilt angles in the forward flight state, conducting an experimental design is challenging. However, the influence of tilt angle on the aerodynamic forces of the tandem rotor system without incoming flow remains of significant reference value. Therefore, the entire experimental process was conducted under no incoming flow conditions.
First, this paper introduces the experimental setup and its measurement principles, outlining the fundamental design considerations of the experiment. Subsequently, after validating the accuracy of the testing platform, relevant experiments were conducted, and the results were analyzed and discussed. Finally, conclusions are presented based on the above research and analysis.

2. Experiments

2.1. Experimental Setup

To investigate the aerodynamic performance variation of tandem dual rotors in the asynchronous tilt state of the tilt-rotor UAV, a rotor performance test rig capable of continuously adjusting the tilt angle from 0° to 90° was developed. The tandem rotor system consists of commercially available T-MOTOR 1855 integrated carbon fiber rotors, with the fore rotor rotating counterclockwise and the aft rotor rotating clockwise. Rotor parameters are listed in Table 1. The rotors, along with the measurement devices, are mounted on an aluminum alloy frame with sufficient stiffness. The bottom end of the frame is connected to a hinge mounted on an adjustable-angle support bracket. As shown in Figure 2, the test rig employs MN5212 motors rated at 340 KV (RPM/V) (T-MOTOR, Nanchang, China). Thrust, torque, and power are independently measured using three sensors integrated into the test bench. The thrust sensor is the HUAZHUN 628 A (sensitivity: 2.0 ± 10% mV/V) (HUAZHUN, Hangzhou, China), and the torque sensor is the HUAZHUN 651 G (sensitivity: 1.5 ± 10% mV/V) (HUAZHUN, Hangzhou, China). The electronic speed controller (ESC) used is the Platinum 80 A V4 (HOBBYWING, Huizhou, China), and rotor speed is measured using an optical sensor, model ER2-501H (BOJKE, Shenzhen, China).

2.2. Experimental Design

For the tandem, counter-rotating, asynchronous tilt dual-rotor system, two sets of experiments were conducted in which either the fore or aft rotor transitioned from forward flight mode to hover mode while the other remained fixed (as illustrated in Figure 3). The test parameters used in this study are listed in Table 2. Due to the geometric constraints of the test bench, the axial distance L from the rotor center to the tilt axis was set as the nacelle length, 0.18 m. In the forward flight state, the axial spacing between the fore and aft rotors was set to H = 3 R, effectively avoiding any potential geometric interference between the rotors. To cover the full tilt range, the rotor tilt angle α was defined as an arithmetic sequence ranging from 0° to 90° with a step size of 10°. The rotor speed was set between 1500 and 3500 RPM, corresponding to a blade-tip Reynolds number ranging from 0.68 × 105 to 1.58 × 105. Within this range, the rotors of this type generate relatively high thrust, and aerodynamic interference effects between rotors are more pronounced [24]. Additionally, to analyze performance variations induced by aerodynamic interference, independent rotor tests were also performed over the same RPM range (1500–3500) to serve as a reference.

3. Results and Discussion

First, the performance of the fore and aft rotors without mutual interference was analyzed to verify whether the measured thrust values aligned with theoretical predictions. Next, for the two asynchronous tilt conditions—namely, the forward rotor tilting with the aft rotor fixed, and the aft rotor tilting with the forward rotor fixed—the effects of tilt angle and rotor speed on aerodynamic performance metrics such as thrust, power, and torque were evaluated. Finally, based on the independently measured rotor performance data, a comparative analysis was conducted across different configurations at commonly used rotational speeds to identify the tilt scheme that offers superior aerodynamic performance in tandem rotor systems.
To more clearly illustrate the aerodynamic performance losses caused by rotor-to-rotor interference, two performance variation indicators are defined and introduced for the analysis of the experimental results: thrust variation rate AT and power variation rate AP. These are defined as follows:
A T = T T s T s 100 %
A P = P P s P s 100 %
Here, T and P represent the rotor thrust and power under the corresponding test conditions, while TS and PS denote the thrust and power measured under non-interference (independent rotor) conditions.

3.1. Isolated Rotor Performance

Before conducting the formal performance tests of the tandem tilt counter-rotating rotor system, independent performance tests were carried out on both the fore and aft rotors under non-interference conditions. The measured thrust results were validated against theoretical predictions to ensure that the errors introduced by the test rigs for the fore and aft rotors remained within an acceptable range. The independently measured thrust results for the fore and aft rotors are shown in Figure 4. The theoretical formula for rotor thrust [25] is given as follows:
T = 1 2 ρ ( Ω R ) 2 C T π R 2
Here, ρ is the air density, Ω is the rotor angular velocity, R is the rotor radius, and CT is the thrust coefficient. According to the equation, rotor thrust increases monotonically in a parabolic manner with respect to rotor speed.
As shown in the thrust versus rotational speed curve in Figure 4a, the independently measured thrust data for both the fore and aft rotors are generally consistent and follow the trend predicted by the theoretical model, aligning with data reported in previous studies [24]. Although the aft rotor exhibits slightly higher thrust than the fore rotor, the measurement error for both rotors is less than 4.8%, which has minimal impact on the final performance evaluation. Additionally, Figure 4b and Figure 4c illustrate the variations of fore and aft rotor power, respectively, with respect to rotational speed and thrust. Although the power difference between the fore and aft rotors increases with increasing speed and thrust, the measurement error remains within 7%, indicating that the experimental data are considered reliable.

3.2. Effect of Tilt Angle

Figure 5 illustrates the variation in thrust with respect to rotor tilt angle for the fore and aft tandem rotors at rotor speeds of 2500 RPM, 3000 RPM, and 3500 RPM. In Figure 5a, across the entire range of tilt angles for the fore rotor, the thrust remains largely unchanged, while the thrust of the aft rotor experiences significant losses at small tilt angles. This is due to the fore rotor’s wake, at smaller tilt angles, directly impacting the aft rotor’s blade plane. The aft rotor then ingests this wake as its incoming flow, resulting in a substantial increase in induced velocity, which in turn reduces the effective angle of attack of the aft rotor blades [26].
The thrust variation of the aft rotor caused by tilt in Figure 5b follows a similar trend to what is observed under the forward tilt condition. However, under aft tilt, the thrust of the aft rotor is more significantly affected by aerodynamic interference, and it does not recover to the same level as the fore rotor’s thrust until the tilt angle reaches 75°. In contrast, for forward tilt, the thrust of the aft rotor recovers to match that of the fore rotor at a tilt angle of 40°. This difference is primarily due to the fact that during aft tilt, the aft rotor’s wake remains within the fore rotor’s wake, leading to complex rotor wake interference. Moreover, because of the experimental setup’s constraints, the tilt nacelle length is smaller than the rotor radius, causing the aft rotor’s blade plane to be impacted by the fore rotor’s wake at most tilt angles. The aft rotor then ingests this disturbed flow, increasing the induced velocity at the blade plane. Conversely, under forward tilt, after reaching a tilt angle of 45°, the aft rotor is essentially unaffected by the fore rotor’s wake.
As shown in Figure 6a,c, the thrust of the fore rotor remains largely unaffected by the tilt angle, with no significant losses observed. This is attributed to the absence of additional flow disturbances in the test environment other than the rotor-induced airflow, as well as the relatively large spacing between the fore and aft rotors, which minimizes the impact of tilt angle on the fore rotor. These findings are consistent with the experimental results reported by Zanotti [21].
Figure 6b indicates that the aft rotor experiences the greatest thrust loss at α = 0°, with a reduction of 39.3% compared to the isolated rotor case. This loss is closely related to the degree of overlap between the thrust-generating planes of the fore and aft rotors [17]; greater overlap leads to more severe wake interference. As the tilt angle increases, the wake interference between the fore and aft rotors weakens, allowing the thrust to gradually recover and remain relatively stable beyond α = 45°. From Figure 6d, it can be observed that, unlike the forward tilt condition, the aft tilt condition results in more pronounced wake interference on the aft rotor from the fore rotor. As the tilt angle increases, the slope of the thrust variation rate curve during aft tilt is smaller than that observed during forward tilt, confirming that the aerodynamic interference from the fore rotor more strongly suppresses thrust recovery in the aft rotor during the tilt process. The aft rotor thrust does not begin to recover until the tilt angle reaches approximately 75°.
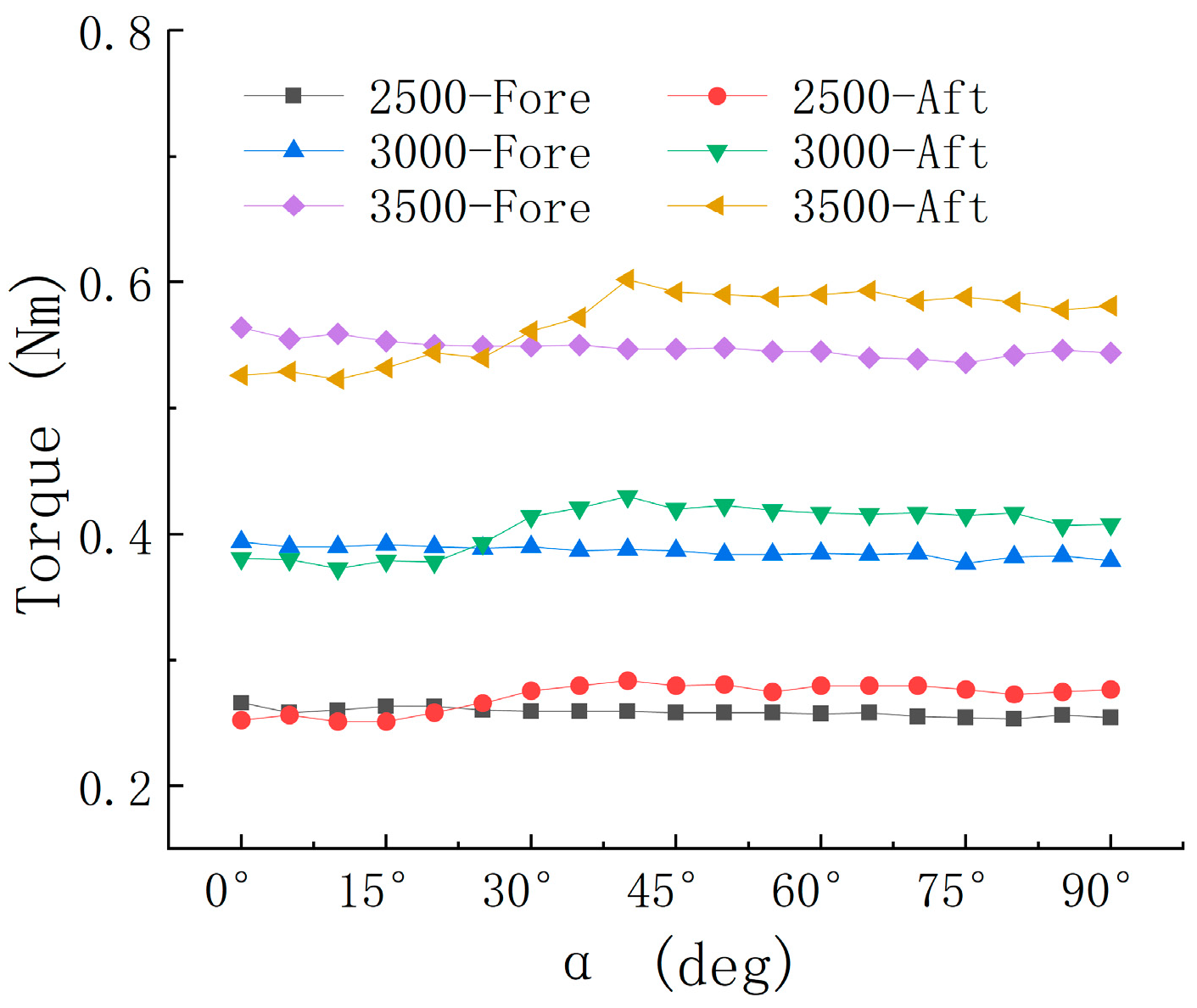
Figure 7 and Figure 8 illustrate the variation of rotor power and torque with tilt angle under the forward tilt test condition. According to Equation (4), rotor power and torque exhibit a linear relationship and reflect the same aerodynamic performance characteristics. Therefore, to avoid confusion in the subsequent analysis, this study focuses solely on rotor power in the discussions that follow.
P = M × Ω
Here, P represents the rotor power, M is the rotor torque, and Ω is the rotor angular velocity. As shown in Figure 7, the power of the fore rotor remains nearly constant across the entire tilt angle range at various rotational speeds. In contrast, the aft rotor power increases with the fore rotor’s tilt angle and gradually stabilizes, exhibiting this trend consistently across different rotational speeds.
Figure 9a shows the variation in the power change rate of the fore rotor with tilt angle. The overall data remain within ±3% compared to the isolated rotor case, further confirming that under forward tilt conditions, the fore rotor is essentially unaffected by aerodynamic interference from the aft rotor. A slight increase in fore rotor power at small tilt angles is observed, likely due to a higher degree of overlap between the thrust-generating planes of the rotors. In this configuration, the aft rotor more noticeably ingests the wake from the fore rotor, increasing the fore rotor’s induced power.
In contrast, the aft rotor experiences more significant power variation under forward tilt conditions, indicating a stronger aerodynamic interference effect from the fore rotor. As shown in Figure 9b, the aft rotor power initially decreases slightly with increasing tilt angle and then begins to rise and stabilize. This trend may be attributed to increased thrust asymmetry across the aft rotor’s blade plane at higher tilt angles. Greater power is required to counteract the resulting rotor instability, leading to a substantial increase in power consumption. Notably, when α < 40°, larger tilt angles result in more severe thrust asymmetry. At 3000 RPM and α = 40°, the aft rotor power reaches its peak, exceeding that of the isolated rotor by 3.12%. When α > 40°, the rate of change in aft rotor power gradually decreases with increasing tilt angle, and the power consumption progressively approaches that of the no-interference condition.
The overlapping region of the thrust-generating planes of the fore and aft rotors, as well as the predicted wake development, are illustrated in Figure 10. The intersecting area between the green and blue shaded regions represents the overlap of the thrust-generating rotor disks. As the tilt angle increases, this overlapping area decreases, thereby reducing the degree of aerodynamic interference between the fore and aft rotors.
Figure 11 illustrates the power variation under aft tilt conditions. As shown in Figure 11a, the power change rate of the fore rotor with increasing tilt angle is similar to that observed under forward tilt conditions, with no significant change compared to the isolated rotor case. This is expected because the fore rotor is minimally affected by rotor-to-rotor interference in this test configuration, which can be neglected. However, the aft rotor power variation rate shown in Figure 11b differs significantly from the forward tilt condition. During aft tilt, the power variation rate of the aft rotor remains consistently negative. Although it begins to increase after the tilt angle reaches 60°, it still only reaches −1.8% at 90° under a rotor speed of 3500 RPM. This is because, during aft tilt, the wake from the fore rotor continuously affects the wake of the aft rotor as the tilt angle increases. This causes an increase in radial velocity and a decrease in axial induced velocity. According to blade element theory, this reduces the local effective angle of attack of the aft rotor blades, leading to a smaller power consumption under aft tilt than under forward tilt.
Figure 11c shows that at various rotational speeds, the power of the aft rotor is generally lower than that of the fore rotor, which differs slightly from the measurements under forward tilt. This further confirms that rotor-to-rotor interference is more pronounced under aft tilt conditions.

3.3. Effect of Rotor Speed

Rotor speed is a critical parameter for achieving attitude and position control in the tilt-rotor UAV. Depending on the specific flight mission, an appropriate rotor speed must be selected to optimize flight performance and aerodynamic efficiency. Figure 12 presents the variation in thrust for the fore and aft rotors at different tilt angles as rotor speed increases during forward and aft tilt. It can be observed that at all tilt angles, rotor thrust increases with increasing rotor speed. This trend is consistent with the principles of momentum theory: as rotor speed increases, the suction effect on the inflow becomes stronger, resulting in a higher induced velocity and consequently greater rotor thrust.
Figure 12a and Figure 12c show the variation of fore rotor thrust with rotor speed at different tilt angles during forward and aft tilt, respectively. The thrust trends of the fore rotor remain consistent across all speeds, which aligns with the earlier analysis. However, in Figure 12b,d, the aft rotor generates noticeably different thrust values at various tilt angles for the same rotor speed, and this difference becomes more pronounced as rotor speed increases. This phenomenon is attributed to the relatively low-Reynolds-number conditions in the present experiments. For small-scale rotors operating under low Reynolds numbers, viscous effects dominate, leading to flow separation on the blade surface and reduced aerodynamic efficiency. As rotor speed increases, viscous effects diminish while inertial effects become more significant, thereby improving the rotor’s aerodynamic performance [22].
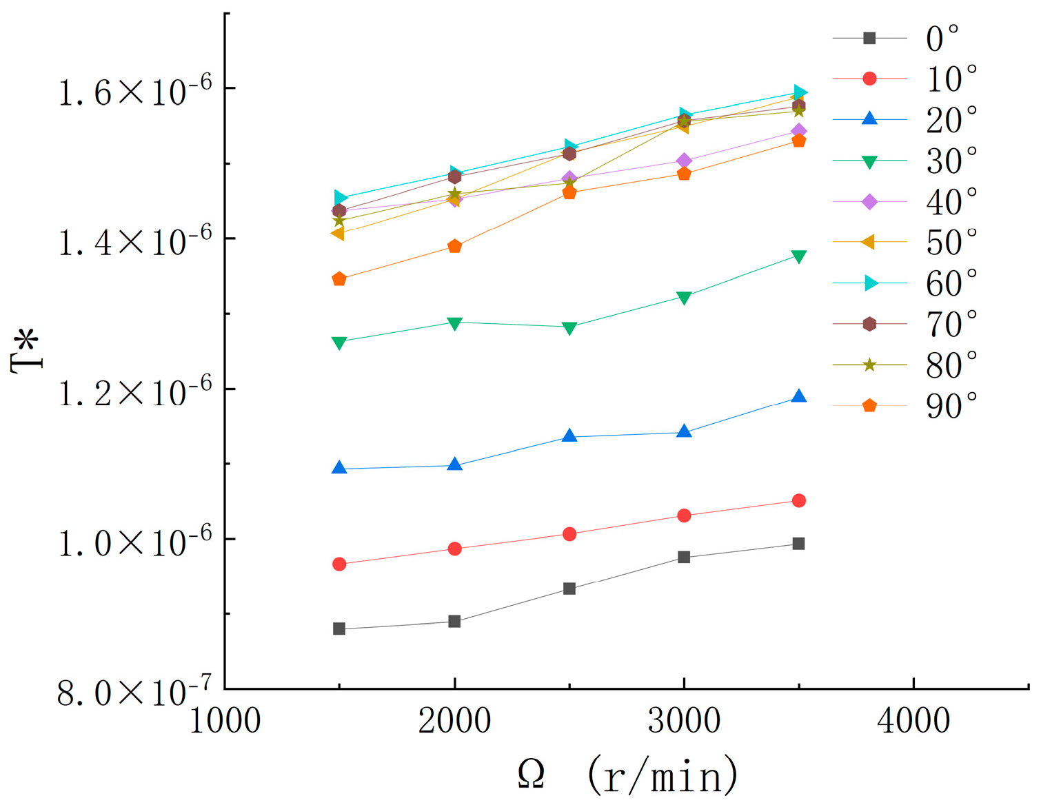
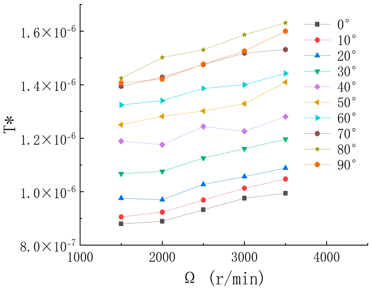
To further investigate the influence of rotor speed on interference-induced thrust, the aft rotor thrust under both forward and aft tilt conditions is normalized by the square of the rotor speed. The results are as follows:
T * = T Ω 2
Figure 13 and Figure 14 show the variation of the normalized thrust of the aft rotor with rotor speed. As the speed increases, the normalized thrust T* gradually increases; however, the difference between different tilt angles remains nearly constant across the speed range. This further confirms that rotor speed has a limited effect on aerodynamic interference between rotors under the given conditions.
As shown in Figure 15a,b, under forward tilt conditions, the thrust variation rates of both the fore and aft rotors remain largely consistent across the entire tested rotor speed range at each specific tilt angle. For example, the aft rotor’s thrust variation rate at α = 90° remains between −36.9% and −40% throughout the full range of rotor speeds. This indicates that rotor speed has a relatively minor effect on the aerodynamic interference between the fore and aft rotors under forward tilt conditions. The primary reason is that aerodynamic interference between rotors is mainly governed by vortex interactions [20,27,28]. While increased rotor speed can alter vortex strength, the propagation characteristics of these vortices are primarily determined by the relative positioning of the rotors, which remains constant under fixed test configurations.
In contrast, Figure 15c shows a slightly different trend under aft tilt conditions. At low rotor speeds (e.g., 1500 RPM), there is a notable thrust loss, which then recovers to levels comparable to those of the non-interfered rotor as speed increases, eventually stabilizing. This behavior is attributed to the low Reynolds number at low speeds, where viscous effects dominate. As rotor speed increases, the influence of viscosity diminishes, and the performance recovers. Figure 15d presents the aft rotor thrust variation under aft tilt conditions, showing a trend similar to that observed in the forward tilt case. This further confirms that rotor speed has only a limited impact on rotor-to-rotor aerodynamic interference under these testing conditions.
Figure 16 shows the variation of power with rotor speed for the fore and aft rotors at different tilt angles. Under various forward tilt conditions, the power of both rotors exhibits a consistent trend with increasing rotor speed—namely, power increases as speed increases. According to momentum theory, this is primarily because increasing rotor speed not only enhances the thrust generated by the blades but also increases the induced drag. As a result, greater power is required to maintain lift and overcome the increased drag, leading to a rise in power demand with rotor speed.
As shown in Figure 17, the variation in rotor power change rate for both the fore and aft rotors across different conditions remains within a 3–5% range as rotor speed changes. This is consistent with the results observed in the thrust variation rate, further confirming that rotor speed has a relatively minor effect on the rotor-to-rotor aerodynamic interference under the test conditions of this study.

4. Discussion

As a promising solution to the challenges of UAM, the distributed electric tilt-rotor UAV requires a thorough understanding of the complex aerodynamic interactions between rotors and the effects of different tilt configurations. Therefore, it is of great significance to further examine the performance of the tandem counter-rotating, asynchronously tilting dual-rotor system under varying parameters.
The previous analysis demonstrated that the fore rotor is minimally affected by aerodynamic interference in both tilt configurations. Its performance parameters, including thrust and power, remain stable throughout the entire range of tilt angles. In contrast, the aft rotor is subject to more severe aerodynamic interference across all tested tilt angles. As a result, the discussion in this section focuses exclusively on the aft rotor. Comparative analysis between forward and aft tilt configurations reveals that, across all tested rotational speeds, the performance of the aft rotor changes consistently with increasing tilt angle. However, for any given tilt angle, the aerodynamic performance of the aft rotor varies significantly with rotor speed. As the tilt angle increases, the performance degradation of the aft rotor gradually recovers and stabilizes. This indicates that, under the tested conditions, tilt angle exerts a more dominant influence on rotor-to-rotor aerodynamic interference than rotor speed, making it the primary factor contributing to performance losses.
Moreover, aerodynamic interference is found to be more pronounced under aft tilt. Although aft tilt generally results in lower power consumption for the tandem rotor system, it also leads to reduced thrust generation by the aft rotor—an undesirable trade-off. Overall, the aerodynamic performance of the rotor system is superior under forward tilt conditions. When the tilt angle reaches 45°, the aft rotor’s thrust nearly recovers to the level of an isolated rotor at the same speed, whereas aft tilt requires a tilt angle of 75° to achieve a similar level of recovery. Additionally, the maximum power in the forward tilt case exceeds that of the aft tilt configuration by only 5.1%, which is a relatively small margin.
These findings indirectly confirm that when accounting for aerodynamic interactions between rotors, a configuration where the fore rotor is tilted to primarily generate lift while the aft rotor provides forward thrust exhibits superior aerodynamic performance compared to the reverse arrangement (fore rotor providing forward thrust and aft rotor tilted for primary lift contribution).

5. Conclusions

In this study, an aerodynamic performance test rig was developed specifically for a tandem, counter-rotating, asynchronously tilting dual-rotor system. Using an orthogonal experimental design, a series of tests were systematically conducted under both forward and aft tilt conditions to examine variations in key aerodynamic performance parameters—such as rotor thrust and power—as functions of tilt angle and rotor speed. Based on the experimental data, aerodynamic interference between the rotors was also analyzed. The results reveal that the tandem counter-rotating asynchronous tilt-rotor system exhibits distinct aerodynamic performance characteristics under different tilt modes. The main findings and conclusions are as follows:
  • Tilt angle is the dominant factor influencing aerodynamic interference between asynchronously tilting rotors in a tandem configuration. As the tilt angle increases, the aerodynamic interference effect between rotors weakens, primarily due to the significant impact of tilt angle on the overlap between the lift-generating surfaces of the fore and aft rotors.
  • Rotor speed, as the primary factor in thrust generation, significantly affects the aerodynamic performance of individual rotors. However, when compared to isolated rotor conditions, rotor speed has a relatively minor influence on rotor-to-rotor aerodynamic interference within the system.
  • The fore rotor experiences minimal aerodynamic interference across the entire test range, regardless of whether it is in a forward or aft tilt condition. Its aerodynamic performance remains largely consistent with that of the non-interfered rotor.
  • The aft rotor is subject to significant aerodynamic interference during testing. In the coaxial-like condition, it exhibits a maximum thrust loss of up to 39.3%.
  • The aft tilt mode results in more pronounced aerodynamic interference between the rotors compared to the forward tilt mode. In the aft tilt configuration, the aft rotor thrust only recovers when the tilt angle reaches 75°, whereas in the forward tilt configuration, recovery is achieved at 45°.
  • For the distributed electric tilt-rotor UAV, a “lift-forward, push-aft” rotor configuration (fore rotor for lift, aft rotor for propulsion) is aerodynamically superior to the “push-forward, lift-aft” configuration.
These conclusions provide reliable insights into the aerodynamic performance and rotor-to-rotor interference characteristics of tandem counter-rotating asynchronous tilt-rotor systems. They also offer valuable guidance for the design of tilt modes and rotor configurations in the distributed electric tilt-rotor UAV, contributing to the achievement of superior flight performance and efficiency.

Author Contributions

Conceptualization, H.Z. and H.N.; Methodology, H.N.; Software, X.G.; Validation, H.Z., Y.D., Z.X. and X.G.; Formal analysis, H.Z. and Z.X.; Investigation, H.Z.; Writing—original draft, H.Z. and Z.X.; Writing—review & editing, Y.D.; Visualization, Y.D.; Supervision, H.N.; Funding acquisition, H.Z. and H.N. All authors have read and agreed to the published version of the manuscript.

Funding

This research was funded by the National Natural Science Foundation of China (He Zhu, No. 52202443; Hong Nie, No. 52275114), China Postdoctoral Science Foundation (He Zhu, 2023M731656), Natural Science Foundation of Jiangsu Province (He Zhu, No. BK20220898), China National Key Laboratory of Helicopter Aeromechanics Foundation (He Zhu, 2023-HA-LB-067-05e), Aeronautical science foundation of China (He Zhu, No. 20232010052002).

Data Availability Statement

The data presented in this study are available on request from the first author. The data are not publicly available due to privacy restrictions.

Conflicts of Interest

The authors declare no conflicts of interest.

References

  1. Arafat, M.Y.; Pan, S. Urban Air Mobility Communications and Networking: Recent Advances, Techniques, and Challenges. Drones 2024, 8, 702. [Google Scholar] [CrossRef]
  2. Liu, Y.; Lyu, C.; Bai, F.; Parishwad, O.; Li, Y. The role of intelligent technology in the development of urban air mobility systems: A technical perspective. Fundam. Res. 2024, 4, 1017–1024. [Google Scholar] [CrossRef] [PubMed]
  3. Kiesewetter, L.; Shakib, K.H.; Singh, P.; Rahman, M.; Khandelwal, B.; Kumar, S.; Shah, K. A holistic review of the current state of research on aircraft design concepts and consideration for advanced air mobility applications. Prog. Aerosp. Sci. 2023, 142, 100949. [Google Scholar] [CrossRef]
  4. Yang, J.; Wang, Y.; Hang, X.; Delahaye, D. A Review on Airspace Design and Risk Assessment for Urban Air Mobility. IEEE Access 2024, 12, 157599–157611. [Google Scholar] [CrossRef]
  5. Liu, Z.; He, Y.; Yang, L.; Han, J. Control techniques of tilt rotor unmanned aerial vehicle systems: A review. Chin. J. Aeronaut. 2017, 30, 135–148. [Google Scholar] [CrossRef]
  6. Stoll, A.; Bevirt, J. Development of eVTOL Aircraft for Urban Air Mobility at Joby Aviation. In Proceedings of the Vertical Flight Society 78th Annual Forum & Technology Display, Fort Worth, TX, USA, 10–12 May 2022; pp. 1–11. [Google Scholar]
  7. Shinozuka, A.; Taniguchi, S.; Yasue, K.; Fukuchi, R.; Oyama, A. Aerodynamic Analysis of Tandem Tilt-Wing eVTOL Aircraft in Cruise and Transition Flight. In Proceedings of the AIAA SCITECH 2024 Forum, Orlando, FL, USA, 8–12 January 2024. [Google Scholar]
  8. Guo, R.; Bai, Y. Review of aerodynamic interference of multi-rotor aircraft. Flight Dyn. 2019, 37, 7–11. [Google Scholar]
  9. Wu, Z.; Li, C.; Cao, Y. Numerical Simulation of Rotor–Wing Transient Interaction for a Tiltrotor in the Transition Mode. Mathematics 2019, 7, 116. [Google Scholar] [CrossRef]
  10. Felker, F.F.; Light, J.S. Aerodynamic Interactions Between a Rotor and Wing in Hover. J. Am. Helicopter Soc. 1986, 33, 53–61. [Google Scholar] [CrossRef]
  11. Yeo, H.; Johnson, W. Performance and Design Investigation of Heavy Lift Tilt-Rotor with Aerodynamic Interference Effects. J. Aircr. 2007, 46, 1231–1239. [Google Scholar] [CrossRef]
  12. Yang, R.; Du, C.; Zheng, Y.; Gao, H.; Wu, Y.; Fang, T. PPO-Based Attitude Controller Design for a Tilt Rotor UAV in Transition Process. Drones 2023, 7, 499. [Google Scholar] [CrossRef]
  13. Ye, L.; Zhang, Y.; Yang, S.; Zhu, X.; Dong, J. Numerical simulation of aerodynamic interaction for a tilt rotor aircraft in helicopter mode. Chin. J. Aeronaut. 2016, 29, 843–854. [Google Scholar] [CrossRef]
  14. Sheng, C.; Narramore, J.C. Computational Simulation and Analysis of Bell Boeing Quad Tiltrotor Aero Interaction. J. Am. Helicopter Soc. 2009, 54, 042002. [Google Scholar] [CrossRef]
  15. Panjwani, B.; Quinsard, C.; Przemysław, D.G.; Furseth, J. Virtual Modelling and Testing of the Single and Contra-Rotating Co-Axial Propeller. Drones 2020, 4, 42. [Google Scholar] [CrossRef]
  16. Dingeldein, R.C. Wind-Tunnel Studies of the Performance of Multirotor Configurations; National Advisory Committee for Aeronautics: Hampton, VA, USA, 1954.
  17. Zanotti, A.; Algarotti, D. Aerodynamic interaction between tandem overlapping propellers in eVTOL airplane mode flight condition. Aerosp. Sci. Technol. 2022, 124, 107518. [Google Scholar] [CrossRef]
  18. Ramasamy, M. Measurements Comparing Hover Performance of Single, Coaxial, Tandem, and Tilt-Rotor Configurations. In Proceedings of the AHS 69th Annual Forum, Phoenix, AZ, USA, 21–23 May 2013. [Google Scholar]
  19. Yang, H.; Xia, W.; Wang, K.; Hu, S. Aerodynamic performance of a small-scale tilt rotor: Numerical simulation and experiment in steady state. Proc. Inst. Mech. Eng. Part C J. Mech. Eng. Sci. 2020, 237, 4141–4150. [Google Scholar] [CrossRef]
  20. Shukla, D.; Komerath, N. Multirotor Drone Aerodynamic Interaction Investigation. Drones 2018, 2, 43. [Google Scholar] [CrossRef]
  21. Zanotti, A.; Velo, A.; Pepe, C.; Savino, A.; Grassi, D.; Riccobene, L. Aerodynamic interaction between tandem propellers in eVTOL transition flight configurations. Aerosp. Sci. Technol. 2024, 147, 109017. [Google Scholar] [CrossRef]
  22. Ramasamy, M. Hover Performance Measurements Toward Understanding Aerodynamic Interference in Coaxial, Tandem, and Tilt Rotors. J. Am. Helicopter Soc. 2015, 60, 1–17. [Google Scholar] [CrossRef]
  23. Celik, A.; Jamaluddin, N.S.; Baskaran, K.; Rezgui, D.; Azarpeyvand, M. Aeroacoustic Performance of Rotors in Tandem Configuration. In Proceedings of the 2021 AIAA Aviation Forum, Virtual Event, Reston, VA, USA, 2–6 August 2021. [Google Scholar]
  24. Zhu, H.; Deng, S.; Wei, S.; Nie, H.; Wei, X. Experimental Investigation on Thrust Performance of a Small-Scale Staggered Rotor System in Hover. Drones 2023, 7, 677. [Google Scholar] [CrossRef]
  25. Leishmann, J.G. Principles of Helicopter Aerodynamics; Cambridge University Press: Cambridge, UK, 2006. [Google Scholar]
  26. Deng, Y.; Hu, J. Wind tunnel experimental study of aerodynamic interactions between a rotor and a body of a co-axial helicopter. J. Beijing Univ. Aeronaut. Astronaut. 2004, 30, 1–4. [Google Scholar]
  27. Yoon, S.; Chan, W.M.; Pulliam, T.H. Computations of Torque-Balanced Coaxial Rotor Flows. In Proceedings of the 55th AIAA Aerospace Sciences Meeting, Grapevine, TX, USA, 9–13 January 2017. [Google Scholar]
  28. Ramasamy, M.; Lee, T.E.; Leishman, J.G. Flowfield of a Rotating-Wing Micro Air Vehicle. J. Aircr. 2007, 44, 1236–1244. [Google Scholar] [CrossRef]
Figure 1. A pre-production prototype of the Joby electric tilt-rotor VTOL aircraft.
Figure 1. A pre-production prototype of the Joby electric tilt-rotor VTOL aircraft.
Drones 09 00374 g001
Figure 2. Test apparatus. (a) Geometric configuration of fore and aft rotors; (b) data acquisition.
Figure 2. Test apparatus. (a) Geometric configuration of fore and aft rotors; (b) data acquisition.
Drones 09 00374 g002
Figure 3. Tilt modes. (a) Forward rotor tilting with aft rotor fixed; (b) aft rotor tilting with forward rotor fixed.
Figure 3. Tilt modes. (a) Forward rotor tilting with aft rotor fixed; (b) aft rotor tilting with forward rotor fixed.
Drones 09 00374 g003
Figure 4. Isolated rotor performance testing. (a) Thrust comparison situation [24]; (b) power comparison situation; (c) power variation with thrust.
Figure 4. Isolated rotor performance testing. (a) Thrust comparison situation [24]; (b) power comparison situation; (c) power variation with thrust.
Drones 09 00374 g004
Figure 5. Thrust variation with α. (a) Forward tilt; (b) aft tilt.
Figure 5. Thrust variation with α. (a) Forward tilt; (b) aft tilt.
Drones 09 00374 g005
Figure 6. Thrust variation with α. (a) Forward tilt-fore rotor; (b) forward tilt-aft rotor; (c) aft tilt-fore rotor; (d) aft tilt-aft rotor.
Figure 6. Thrust variation with α. (a) Forward tilt-fore rotor; (b) forward tilt-aft rotor; (c) aft tilt-fore rotor; (d) aft tilt-aft rotor.
Drones 09 00374 g006aDrones 09 00374 g006b
Figure 7. Power variation with α under forward tilt.
Figure 7. Power variation with α under forward tilt.
Drones 09 00374 g007
Figure 8. Torque variation with α under forward tilt.
Figure 8. Torque variation with α under forward tilt.
Drones 09 00374 g008
Figure 9. Power change rate with α under forward tilt. (a) Fore rotor; (b) aft rotor.
Figure 9. Power change rate with α under forward tilt. (a) Fore rotor; (b) aft rotor.
Drones 09 00374 g009
Figure 10. Schematic of fore–aft rotor interference.
Figure 10. Schematic of fore–aft rotor interference.
Drones 09 00374 g010
Figure 11. Aft tilt. (a) Power change rate of fore rotor; (b) power change rate of aft rotor; (c) power variation of fore and aft rotors.
Figure 11. Aft tilt. (a) Power change rate of fore rotor; (b) power change rate of aft rotor; (c) power variation of fore and aft rotors.
Drones 09 00374 g011
Figure 12. Thrust variation with rotor speed. (a) Forward tilt–fore rotor; (b) forward tilt–aft rotor; (c) aft tilt–fore rotor; (d) aft tilt–aft rotor.
Figure 12. Thrust variation with rotor speed. (a) Forward tilt–fore rotor; (b) forward tilt–aft rotor; (c) aft tilt–fore rotor; (d) aft tilt–aft rotor.
Drones 09 00374 g012
Figure 13. T* variation with rotor speed during forward tilt.
Figure 13. T* variation with rotor speed during forward tilt.
Drones 09 00374 g013
Figure 14. T* variation with rotor speed during aft tilt.
Figure 14. T* variation with rotor speed during aft tilt.
Drones 09 00374 g014
Figure 15. Thrust variation rate with rotor speed. (a) Forward tilt–fore rotor; (b) forward tilt–aft rotor; (c) aft tilt–fore rotor; (d) aft tilt–aft rotor.
Figure 15. Thrust variation rate with rotor speed. (a) Forward tilt–fore rotor; (b) forward tilt–aft rotor; (c) aft tilt–fore rotor; (d) aft tilt–aft rotor.
Drones 09 00374 g015aDrones 09 00374 g015b
Figure 16. Power variation with rotor speed. (a) Forward tilt–fore rotor; (b) forward tilt–aft rotor; (c) aft tilt–fore rotor; (d) aft tilt–aft rotor.
Figure 16. Power variation with rotor speed. (a) Forward tilt–fore rotor; (b) forward tilt–aft rotor; (c) aft tilt–fore rotor; (d) aft tilt–aft rotor.
Drones 09 00374 g016
Figure 17. Rotor power change rate with Ω under forward tilt. (a) Forward tilt–fore rotor; (b) forward tilt–aft rotor; (c) aft tilt–fore rotor; (d) aft tilt–aft rotor.
Figure 17. Rotor power change rate with Ω under forward tilt. (a) Forward tilt–fore rotor; (b) forward tilt–aft rotor; (c) aft tilt–fore rotor; (d) aft tilt–aft rotor.
Drones 09 00374 g017
Table 1. Parameters of a single rotor.
Table 1. Parameters of a single rotor.
ParameterValue
Rotor radius (R)9 in (0.2286 m)
Number of blades (Nb)2
Rotor pitch angle5.55°
MaterialCarbon fiber
Weight37 g
Table 2. Design of experiments.
Table 2. Design of experiments.
VariablesValues
L0.18 m
H3 R
α0°, 10°, 20°, 30°, 40°, 50°, 60°, 70°, 80°, 90°
RPM1500, 2000, 2500, 3000, 3500
Disclaimer/Publisher’s Note: The statements, opinions and data contained in all publications are solely those of the individual author(s) and contributor(s) and not of MDPI and/or the editor(s). MDPI and/or the editor(s) disclaim responsibility for any injury to people or property resulting from any ideas, methods, instructions or products referred to in the content.

Share and Cite

MDPI and ACS Style

Zhu, H.; Du, Y.; Nie, H.; Xin, Z.; Geng, X. Experimental Investigation of Aerodynamic Interaction in Non-Parallel Tandem Dual-Rotor Systems for Tiltrotor UAV. Drones 2025, 9, 374. https://doi.org/10.3390/drones9050374

AMA Style

Zhu H, Du Y, Nie H, Xin Z, Geng X. Experimental Investigation of Aerodynamic Interaction in Non-Parallel Tandem Dual-Rotor Systems for Tiltrotor UAV. Drones. 2025; 9(5):374. https://doi.org/10.3390/drones9050374

Chicago/Turabian Style

Zhu, He, Yuhao Du, Hong Nie, Zhiyang Xin, and Xi Geng. 2025. "Experimental Investigation of Aerodynamic Interaction in Non-Parallel Tandem Dual-Rotor Systems for Tiltrotor UAV" Drones 9, no. 5: 374. https://doi.org/10.3390/drones9050374

APA Style

Zhu, H., Du, Y., Nie, H., Xin, Z., & Geng, X. (2025). Experimental Investigation of Aerodynamic Interaction in Non-Parallel Tandem Dual-Rotor Systems for Tiltrotor UAV. Drones, 9(5), 374. https://doi.org/10.3390/drones9050374

Article Metrics

Back to TopTop