Highlights
What are the main findings?
- By jointly optimizing communication, computation, and mobility, a comprehensive solution for energy-efficient unmanned aerial vehicle (UAV) operations in next-generation wireless networks is proposed. A novel integration of a reconfigurable pinching antenna (PA) system, non-orthogonal multiple acces (NOMA)-based uplink transmission, and multi-access edge computing (MEC)-enabled task offloading tailored to the dynamic and energy-constrained nature of UAV networks is proposed, which ensures robust communication and efficient computation.
- A mixed-integer non-linear program is formulated to minimize total energy consumption, jointly optimizing UAV trajectories, offloading ratios, transmit powers, and PA positions while ensuring minimum data rates, collision avoidance, and coverage of all ground target points.
What are the implications of the main findings?
- The proposed approach is promising with respect to reliable data rates, collision avoidance, and complete coverage of ground target points, and it is suitable for real-time UAV network applications.
- The results demonstrate that the proposed framework can achieve 20–45% energy savings compared to baseline methods while maintaining data rates above the required minimum and near-perfect coverage satisfaction. These gains stem from the adaptive reconfiguration of the PA system, which enhances channel gains in dynamic aerial environments, and the synergistic integration of NOMA and MEC, which enables efficient spectrum utilization and computation offloading.
Abstract
Unmanned aerial vehicle (UAV)-enabled multi-access edge computing (MEC) is a transformative paradigm that delivers ubiquitous communication and computing services for next-generation wireless networks. By incorporating a reconfigurable pinching antenna (PA) system, this paper proposes a novel framework to enhance energy efficiency in UAV-aided uplink communication, effectively addressing mobility-related challenges such as line-of-sight (LoS) propagation, Doppler effects, and stringent energy constraints. The framework jointly optimizes UAV trajectories, task offloading ratios, transmit powers, and PA positions to minimize total energy consumption while ensuring reliable data rates, collision avoidance, and comprehensive coverage of ground target points. A mixed-integer non-linear program is formulated, which is efficiently solved using a block coordinate descent (BCD) algorithm combined with successive convex approximation (SCA) and one-dimensional grid search. The simulation results demonstrate that the proposed approach reduces energy consumption by 20–45% compared to baseline methods while maintaining robust communication performance and near-perfect coverage across diverse system configurations.
1. Introduction
The presence of unmanned aerial vehicles (UAVs) has revolutionarily changed wireless communication systems by enabling dynamic, flexible, and scalable network architectures for applications such as real-time surveillance, data collection, environmental monitoring, and disaster response [1]. Leveraging their high mobility and three-dimensional positioning capabilities, UAVs can act as aerial users, relays, or base stations, providing enhanced coverage and connectivity in areas where terrestrial infrastructure is limited, damaged, or impractical [2]. However, the integration of UAVs into wireless networks introduces significant challenges, including energy efficiency, reliable communication under high mobility, and the fulfillment of mission-critical tasks such as ground target coverage. Energy efficiency is a primary challenge in UAV networks, as UAVs depend on limited battery capacity that is further drained by concurrent flight, communication, and computing tasks [3]. Communication reliability remains problematic due to dynamic UAV mobility, which causes time-varying wireless channels and inter-user interference issues that worsen in dense deployment scenarios [4]. For task execution, integrating UAVs with MEC creates tensions between minimizing offloading latency and efficiently allocating limited edge computing resources [5]. These challenges are often intertwined—for example, enhancing communication reliability may increase energy consumption—demanding coordinated optimization to balance conflicting performance metrics. Since UAVs transmit data to a base station (BS) while managing computational tasks and propulsion energy constraints in dynamic aerial environments, the above challenges are of significant concern in uplink scenarios [6].
To address the aforementioned challenges, performance optimization plays an important role in improving overall energy efficiency and communication reliability in UAV communication systems. It is expected that optimization strategies should adopt a holistic perspective that integrates three-dimensional trajectory design and resource allocation, in addtion to considering physical layer transmission strategies. UAV trajectory optimization is rapidly evolving from addressing basic mobility to enabling intelligent, context-aware flight paths. Current research focuses heavily on methods for solving complex non-convex problems in real time, allowing UAVs to adaptively optimize their paths in dynamic environments with uncertainties [7]. Furthermore, a critical focus on this issue is joint optimization paradigms, where the flight trajectory is co-designed with communication resources (e.g., NOMA user scheduling), computation offloading decisions in MEC, and mission-specific tasks like target coverage, thereby holistically maximizing system efficiency and mission success [8]. In recent years, non-orthogonal multiple access (NOMA) has attracted significant attention due to its superior spectral efficiency and potentials in massive connectivity scenarios. Integrating NOMA into UAV communication networks allows multiple ground devices or UAVs to perform uplink transmission over the same time–frequency resource block via power-domain multiplexing (SIC), which can significantly alleviate spectrum scarcity in IoT scenarios where UAVs densely collect data from sensors [9,10,11,12]. Moreover, multi-access edge computing (MEC) offers a new paradigm for UAVs to handle computation-intensive tasks. By offloading part or all of the computational tasks to terrestrial or satellite edge servers, MEC can effectively mitigate the dual constraints of limited onboard computing capacity and battery energy in UAVs [13,14]. Consequently, the co-design of UAV trajectory optimization, NOMA, and MEC is highly promising in the evolution of future UAV networks.
Beyond the above technologies, the pinching antenna (PA) system has recently drawn substantial attention for its flexibility in spatial multiplexing. The PA unit contains a dielectric waveguide with reconfigurable antenna placements, which enables adaptive signal reception tailored to the time-varying positions of UAVs [15,16,17,18]. The superiority of pinching antennas lies in their ability to provide dynamic spatial degrees of freedom. This enables real-time beamforming to actively enhance the desired signal strength and suppress interfering signals, which directly translates to higher link reliability and data rates. Furthermore, this spatial flexibility is crucial for proactively shaping the wireless environment, a key enabler for optimizing advanced transmission and computing schemes like NOMA and MEC [15]. Thus, robust communication can be achieved in aerial environments characterized by dominant line-of-sight (LoS) propagation and Doppler effects [16,19]. By incorporating non-orthogonal multiple access (NOMA), the framework allows multiple UAVs to share time–frequency resources efficiently, with successive interference cancellation (SIC) at the BS ensuring effective signal decoding [17,20]. Consequently, the synergy of the PA system, NOMA, and multi-access edge computing (MEC) optimizes both communication and computation, enabling UAVs to offload computationally intensive tasks, such as real-time image processing for aerial sensing, to the MEC server while maintaining energy-efficient operations.
This paper considers UAVs operating within a defined cubic airspace, tasked with covering a set of ground target points (e.g., sensors or user locations) while transmitting data to a BS equipped with the PA system. Unlike traditional fixed-antenna systems, the PA system allows reconfigurable antenna placements to mitigate the impact of UAV mobility and environmental variations, which can enhance channel gains and transmission rates. The UAVs balance between local computation and task offloading to the MEC server, accounting for energy consumption due to propulsion, communication, and computation. The resulting optimization problem involves determining optimal UAV trajectories, offloading ratios, transmit powers, and PA positions to minimize total energy consumption while ensuring reliable communication (via minimum data rate constraints) and the complete coverage of target points.
2. Related Works
Recent research in UAV-assisted wireless networks focuses on algorithms to improve energy efficiency, communication reliability, and task execution. These metrics often involve joint optimizations of communication, computation, and trajectory control, primarily through two methodological paradigms. The work provided in [8,9,12,14], employs traditional optimization techniques like block coordinate descent (BCD) and successive convex approximation (SCA) to solve complex non-convex problems involving resource allocation, 3D UAV placement, and NOMA parameters. In parallel, a newer trend leverages advanced machine learning for enhanced adaptability and efficiency. It can be noticed that deep reinforcement learning (DRL) was employed in [7] for dynamic trajectory planning, while a DenseNet-BiLSTM model was applied in [11] for intelligent power allocation. Furthermore, the authors in [9,12] complement these optimization problems with rigorous theoretical performance analyses, where closed-form expressions for outage probabilities and block-error rates under imperfect conditions were derived. As for trajectory optimization, Zhao et al. [21] proposed a trajectory optimization framework for UAVs in cellular networks, emphasizing energy-efficient path planning but without considering reconfigurable antenna systems. Lu et al. [22] explored NOMA-based UAV communications, demonstrating improved spectral efficiency through power allocation and SIC, yet their work assumes static BS antennas, which leads to limited adaptability to UAV mobility. Tun et al. [23] developed a MEC-enabled UAV framework for real-time data processing, optimizing offloading ratios but neglecting coverage constraints for ground targets. Gao et al. [24] investigated joint trajectory and offloading optimization, incorporating propulsion energy but assuming fixed BS configurations, which constrains performance in highly dynamic aerial environments. Zhong et al. [25] proposed a NOMA-MEC framework for UAV networks, where significant energy savings through optimized power allocation were achieved; however, their model does not account for reconfigurable antenna systems or coverage tasks.
Reconfigurable antenna systems are appealing for enhancing wireless network performance, among which the pinching antenna (PA) system has recently drawn considerable attention. Zhou et al. [26] introduced a reconfigurable antenna system for terrestrial networks, and they demonstrated its ability to dynamically optimize channel gains by adjusting antenna positions along a dielectric waveguide. However, their work did not address UAV-specific challenges, such as mobility-induced Doppler effects or the need for ground target coverage. Xu et al. [27] explored a PA system, leveraging its adaptability to improve signal strength under dynamic conditions, but their model does not account for the unique characteristics of aerial channels, such as LoS dominance and three-dimensional mobility. Zhang et al. [28] focused on a beamforming optimization for reconfigurable antenna systems, but they assumed fixed user locations and did not integrate MEC or coverage constraints. Li et al. [29] investigated reconfigurable intelligent surfaces (RIS) for UAV communications, achieving enhanced channel performance, but RIS systems differ from PA systems in their passive nature and lack of physical antenna repositioning, which limit their adaptability to rapid UAV movements.
The design of energy-efficient UAV networks encourages the interplay of reliable communication, computational efficiency, and mission-critical task fulfillment in dynamic aerial environments. Traditional fixed-antenna systems struggle to adapt to the rapid mobility of UAVs, resulting in degraded channel quality and increased energy consumption for transmission. Moreover, computationally intensive tasks, such as real-time image processing for surveillance or data collection, strain UAV battery life, requiring efficient task offloading strategies to MEC servers. The integration of NOMA further complicates the system, as power allocation and SIC decoding must account for dynamic channel conditions influenced by UAV positions and Doppler effects. Additionally, the requirement to cover a set of ground target points introduces stringent constraints on UAV trajectories, which needs a balance between propulsion energy and task fulfillment. Existing works often address these challenges in isolation, focusing on either communication, computation, or trajectory optimization without providing a unified framework that incorporates reconfigurable antenna systems and coverage tasks.
In our proposed framework, the above challenges are addressed through the integration of a reconfigurable PA system, NOMA-based uplink transmission, and MEC-enabled task offloading. The dielectric waveguide in PA systems allows dynamic antenna repositioning along a linear axis, which enhances the channel gains by aligning antenna placements with UAV positions. In this way, the impact of mobility-induced channel variations and Doppler effects can be mitigated. NOMA enables efficient spectrum utilization by allowing multiple UAVs to share time–frequency resources, with SIC decoding at the BS ensuring robust signal separation. The MEC server facilitates offloading of computational tasks, which reduces onboard energy consumption while maintaining low latencies for real-time applications. The optimization problem minimizes total energy consumption across propulsion, communication, and computation, subject to constraints on minimum data rates, UAV collision avoidance, and the complete coverage of ground target points. To ensure tractability, the time horizon is discretized into slots, and the big-M method is employed to relax binary coverage constraints, which enables efficient numerical solutions for real-time deployment. Our work integrates a reconfigurable PA system with NOMA and MEC, addressing the unique challenges of UAV mobility, LoS-dominated channels, Doppler effects, and ground target coverage, which has not been considered in state-of-art works. By jointly optimizing communication, computation, and mobility, our framework provides a comprehensive solution for energy-efficient UAV operations in next-generation wireless networks. The main contributions of this work are as follows:
- A novel integration of a reconfigurable PA system, NOMA-based uplink transmission, and MEC-enabled task offloading tailored to the dynamic and energy-constrained nature of UAV networks is proposed, which ensures robust communication and efficient computation.
- A mixed-integer non-linear program is formulated to minimize total energy consumption, jointly optimizing UAV trajectories, offloading ratios, transmit powers, and PA positions while ensuring minimum data rates, collision avoidance, and the coverage of all ground target points.
- A block coordinate descent (BCD) algorithm combined with successive convex approximation (SCA) and one-dimensional grid search is proposed, which provides a computationally efficient solution that converges to a locally optimal point. The proposed algorithm is suitable for real-time UAV network applications.
The remainder of this paper is structured as follows: Section 3 details the system model, including the network architecture, channel characteristics, and energy consumption models for communication, computation, and propulsion. Section 4 presents the optimization problem formulation and the proposed BCD-based algorithm with SCA and grid search for efficient solution derivation. Section 5 provides numerical results, performance evaluations, and comparisons with baseline approaches, demonstrating the effectiveness of the proposed framework. Finally, Section 6 concludes this paper and outlines directions for future research.
3. System Model
3.1. Access Network Model
Consider an uplink network that comprises K single-antenna UAVs acting as users and a BS equipped with a PA system connected to a MEC server, as illustrated in Figure 1. The PA system utilizes a dielectric waveguide of length L meters, enabling reconfigurable antenna placements to adapt to the dynamic positions of UAVs. Each UAV, indexed by , employs NOMA to transmit data to the BS while performing aerial tasks, such as surveillance or data collection. ( For large numbers of UAVs (e.g., ), the computational complexity of NOMA’s successive interference cancellation (SIC) may become significant. To address this, the system can integrate NOMA with multi-carrier techniques, such as orthogonal frequency-division multiple access (OFDMA), or multi-resource block allocation, where UAVs are grouped into subchannels to reduce SIC complexity while maintaining high spectral efficiency.) These tasks require UAVs to cover a set of M ground target points (e.g., sensors or user locations) denoted by , where represents the 3D coordinates of target point m on the ground plane.
Figure 1.
Illustration of a UAV-enabled MEC framework with pinching antennas.
The UAVs operate within a cubic airspace with a side length of L meters and height of H meters above the ground. The 3D position of UAV k at time t is denoted by , where . The waveguide is aligned parallel to the x-axis at a height of d meters, with its feed point located at . The N PAs are positioned along the waveguide at locations for , with their x-coordinates represented by the vector . To mitigate coupling effects, a minimum separation of meters is maintained between consecutive PAs. Thus, the feasible set of PA locations is defined as
To account for UAV-specific characteristics, such as mobility, line-of-sight (LoS) dominant propagation, and potential Doppler shifts in aerial environments, the channel vector between the k-th UAV and the N PAs incorporates a probabilistic LoS model and a Doppler compensation factor. The channel is expressed as
where is a constant, with c representing the speed of light and representing the carrier frequency, while is the wavelength. ( To ensure practical channel modeling and avoid singularities in the channel gain, a minimum separation distance (e.g., 0.1 m) is enforced between the UAV position and each PA position such that .) The path loss factor is modeled as , where is the LoS path loss exponent (typically close to 2), and is the non-LoS (NLoS) path loss exponent (higher than LoS). The time-varying LoS probability depends on the UAV’s altitude and environmental factors (e.g., urban or rural settings). To simplify the model while retaining practicality, we adopt an altitude-dependent LoS probability inspired by the 3GPP urban microcell model [30], given by
where a and b are environment-specific parameters (e.g., , for urban settings; and for rural settings), and is a reference height (e.g., m for urban environments, reflecting the average building height, and m for rural environments due to fewer obstructions). This model captures the increased LoS likelihood at higher altitudes, with rural environments exhibiting higher LoS probabilities due to reduced obstructions. The path loss factor is modeled as , where is the time-varying LoS probability depending on UAV altitude and environmental factors (e.g., urban density), is the LoS path loss exponent (typically close to 2), and is the non-LoS (NLoS) path loss exponent (higher than LoS). The Doppler frequency shift is given by , where is the velocity vector of UAV k, representing the time derivative of its position , and is the unit vector from UAV k to PA n, with being the position of PA n. The Euclidean distance between UAV k and PA n is
For simplicity, we define , allowing the distance to be rewritten as .
The PA system’s dielectric waveguide enables phase-coherent signal combinations from the PAs to the feed point [31], enhancing the signal strength for distant or high-altitude UAVs. The in-waveguide channel vector from the feed point to the PAs is modeled as
where is the guided wavelength within the waveguide, is the free-space wavelength, and is the effective refractive index of the waveguide.
In this uplink scenario with mobile UAVs, the signals transmitted by the K UAVs are received at the BS after processing through the PAs and the waveguide. The composite received signal at the BS is given by
where is the time-varying transmit power of UAV k (constrained by battery life), is the transmitted symbol satisfying , and represents additive white Gaussian noise with variance . The term accounts for the normalization of the received signal power across the N PAs, leveraging the PA system’s ability to focus energy toward UAV clusters.
NOMA enables multiple UAVs to share identical time–frequency resources through distinct power allocations, where the BS employs successive interference cancellation (SIC) for signal decoding. In UAV-based uplink NOMA- and PA-integrated systems, UAVs with higher effective channel gains (influenced by their altitudes, positions, and PA reconfigurations) are assigned larger transmit powers to maximize SIC effectiveness. The BS decodes UAV signals in descending order of their effective channel gains, i.e., , where the effective channel gain for UAV k is
The signal-to-interference-plus-noise ratio (SINR) for UAV k is
The effective channel gain is explicitly given by
Let B denote the system’s bandwidth in Hz. The achievable data rate for UAV k is
The total achievable data rate across all UAVs is
Leveraging the uplink transmission scheme, UAVs offload computational tasks (e.g., real-time image processing from aerial sensing) to the MEC server while ensuring coverage of the target points in . Each UAV selectively offloads a portion of its task to balance local and remote processing, considering mobility-induced channel variations, battery constraints, propulsion energy, and the need to visit target points for data collection or surveillance. The downloading time of results from the MEC server to the UAVs is assumed to be negligible [32], as the focus is on uplink offloading, energy management, and coverage fulfillment, with the PA system aiding in maintaining reliable links despite UAV dynamics. In the data collection process, UAVs primarily receive data from ground targets (e.g., sensors uploading environmental or surveillance data), requiring minimal transmission from the UAVs to the targets, such as acknowledgments or control signals. Due to the small data volume of these transmissions, the associated energy consumption is negligible compared to uplink transmission, local computation, and propulsion energy.
3.2. Task Offloading Energy Consumption
The energy consumption for offloading computational tasks from UAV k to the MEC server is
where is the time-varying offloading fraction, is the task size in bits, is the data rate defined in (10), and is the time-varying transmit power of UAV k.
3.3. Local Computation Energy Consumption
The energy consumption for local computation by UAV k, denoted as , accounts for the energy expended when processing a portion of the computational task onboard the UAV. This is particularly relevant when the offloading fraction is less than 1, indicating that a portion of the task is processed locally rather than offloaded to the MEC server. The energy consumption model is derived based on the dynamic power consumption of CMOS-based processors, which is widely adopted in mobile computing devices [33]. The energy consumed for local computation is proportional to the number of CPU cycles required and the square of the CPU frequency, which reflects the quadratic relationship between frequency and dynamic power dissipation. The energy consumption for local computation is
where is the number of CPU cycles required per bit for UAV k, is the CPU frequency of UAV k in cycles per second, is the time-varying offloading fraction, is the task size for UAV k, and is the effective capacitance coefficient for UAV k.
3.4. Propulsion Energy Consumption
The UAV propulsion energy for trajectory maintenance, crucial for sustaining aerial operations while interfacing with the ground-based PA system [34], is modeled as
where , with , and as UAV-specific parameters capturing blade profile power, induced power, parasitic power, and climbing power, respectively; g is the gravitational acceleration; is the velocity vector of UAV k; is the acceleration vector, defined as the time derivative of the velocity or the second derivative of the position. This model accounts for hovering, forward flight, and maneuvers, ensuring compatibility with PA signal reception during motion.
3.5. Optimization Problem
To optimize the system, we minimize the total energy consumption across all UAVs over a time horizon T, while ensuring coverage of the target points in . The optimization variables include UAV trajectories , offloading ratios , transmit powers , and PA positions . To make the problem tractable, we discretize the time horizon into time slots of duration , indexed by . Within each slot, the UAV position, velocity, acceleration, offloading ratio, transmit power, and data rate are approximated as piecewise constant: , , , , , and .
To model coverage, we introduce a binary variable , indicating whether UAV k covers target point in time slot i. Coverage is satisfied if where is the coverage distance threshold. Each target point must be covered by each UAV at least once: To ensure tractability, we relax the coverage condition using the big-M method: where M is a large constant (e.g., ). The discretized optimization problem is
where , , and The constants , , , , , , and represent the maximum transmit power, energy budget, minimum data rate, minimum safe separation, maximum speed, maximum acceleration, and coverage distance threshold, respectively. The constraints ensure efficient operations: the offloading fraction (16b) balances local and MEC computation; transmit power (16c) respects battery limits; PA positions (16d) with minimum separation (16e) preventing coupling; the total energy per UAV is capped at (16f); data rate (16g) ensures reliable communication; UAV separation (16h) prevents collisions; altitude , speed , and acceleration (16i) ensure feasible trajectories; coverage constraints (16j) and (16k) with binary variables (16l) guarantee that each UAV covers each target point at least once, facilitating tasks such as data collection or surveillance.
4. Optimization Algorithm Design
To address the energy minimization problem in (16), we propose a block coordinate descent (BCD)-based algorithm that decomposes the problem into tractable subproblems. The algorithm optimizes the offloading ratios , transmit powers , PA positions , UAV trajectories , and coverage variables iteratively. The problem’s non-convexity stems from the nonlinear data rate expressions in (10), which incorporate LoS probability and Doppler effects, the binary coverage constraints in (16l), and the coupling among variables. To tackle these challenges, we relax the binary variable to continuous variables , apply successive convex approximation (SCA) to manage non-convex constraints, and employ an element-wise one-dimensional grid search for [35]. This approach ensures convergence to a locally optimal solution while maintaining computational efficiency for real-time deployment in dynamic aerial networks.
4.1. BCD Framework
The BCD algorithm with the SCA and 1D grid search is chosen for its ability to handle non-convexity and variable coupling, its computational efficiency for real-time deployment, its theoretical convergence guarantees, and its alignment with the system’s physical constraints and objectives. This approach ensures energy-efficient operation, reliable communication with data rates above , and comprehensive coverage, making it well-suited for dynamic aerial networks. The BCD algorithm partitions the optimization variables into four blocks: (1) offloading ratio , (2) transmit power , (3) PA position , and (4) UAV trajectory and coverage variable . Each iteration optimizes one block while fixing the others at their previous values. The subproblems are solved sequentially until convergence, defined as the relative change in the objective function falling below a threshold . The algorithm is outlined in Algorithm 1.
| Algorithm 1 Block coordinate Descent for Energy Minimization. |
|
4.2. Subproblem for Offloading Ratios
With transmit power , PA position , UAV trajectory , and coverage variable fixed, the subproblem for optimizing the offloading ratios is formulated as
where is the achievable data rate for UAV k in time slot i, computed using (10) with fixed variables , , and . Since , , and are fixed, the effective channel gain , which incorporates the LoS probability and Doppler shift , is constant. Consequently, is constant, rendering the objective function and the energy constraint linear in . The rate constraint is ensured by the feasibility of the fixed variables, which is verified in the transmit power subproblem. Thus, (17) is a linear program (LP), which can be efficiently solved using standard convex optimization techniques, such as interior-point methods or simplex algorithms.
4.3. Subproblem for Transmit Powers
With the offloading ratio , PA position , UAV trajectory , and coverage variable fixed, the subproblem for optimizing the transmit power is formulated as
where is the achievable data rate for UAV k in time slot i, defined in (10), and depends on the SINR
with the effective channel gain given by
where , and accounts for the Doppler shift. The SINR expression in (19) is derived based on the principles of NOMA in an uplink scenario, where multiple UAVs share the same time–frequency resources, and the BS employs SIC to decode signals. The objective function is non-convex due to the fractional term , as depends non-linearly on and for through the SINR, reflecting the NOMA decoding order.
To address this non-convexity, we employ successive convex approximation. Let denote the transmit powers from the previous iteration. We linearize around using a first-order Taylor expansion:
where the partial derivatives are
and for , we have
with and for brevity. The fractional term is approximated using a convex upper bound:
Substituting the linearized into the objective and the rate constraint transforms (18) into a convex optimization problem. This problem can be efficiently solved using standard convex optimization techniques, such as CVX or interior-point methods.
4.4. Subproblem for PA Positions
With the offloading ratio , transmit power , UAV trajectory , and coverage variable fixed, the subproblem for optimizing the PA positions is formulated as
where is the achievable data rate for UAV k in time slot i, defined in (10), and it depends on the effective channel gain. The objective function is non-convex due to the complex phase terms in , which arise from the distances between UAVs and PAs, the waveguide’s phase shift, and the Doppler effect, making direct optimization challenging.
To address this non-convexity, we employ an element-wise one-dimensional (1D) grid search to optimize each PA position . The feasible set is discretized into a grid with step size , such that . The grid search process initializes from the previous iteration. For each PA index , the feasible range is computed, where and , ensuring that the minimum separation constraint is satisfied. Within this range, the objective function is evaluated for each candidate position , with the distance from the PA to the waveguide’s feed point given by . The position is updated to the value that minimizes the objective. This process is repeated for all n until the objective function converges, typically within a small number of iterations due to the finite grid size. This method leverages the linear structure of the dielectric waveguide, which can reduce the search space to one dimension per PA. It also ensures compliance with the minimum separation constraint, thereby the coupling effects between PAs can be mitigated.
4.5. Subproblem for UAV Trajectories and Coverage Variables
With the offloading ratio , transmit power , and PA position fixed, the subproblem for optimizing the UAV trajectories and coverage variables is investigated. In this subproblem, the objective function minimizes the local computation energy and propulsion energy , as , , and are fixed from prior subproblems. The communication energy is intentionally excluded from the objective to avoid introducing non-linear dependencies on via , which includes complex logarithmic and fractional SINR terms due to NOMA, LoS probabilities, and Doppler effects. Including would significantly increase the subproblem’s non-convexity and computational complexity. Instead, is enforced through the energy budget constraint, which ensures that the total energy consumption, including communication energy, aligns with the overall objective in (16). This design leverages the BCD framework’s iterative structure, where is optimized in subproblems (17) and (18), ensuring computational efficiency and consistency with the total energy minimization goal. The subproblem is formulated as
where the propulsion energy is
and is defined in (10) depending on through the effective channel gain . The objective function is non-convex due to the cubic term and the square-root term in , as well as the non-convex collision avoidance constraint . Additionally, the data rate constraint introduces non-linearity via the channel gain.
To address these challenges, we apply the SCA algorithm. For the cubic term, we use the convex upper bound:
For the square-root term, we approximate the following:
The collision avoidance constraint is linearized around the previous iteration’s trajectories. Define and , with . The constraint becomes
The binary constraint is relaxed to , and the resulting values are rounded to post-optimization to satisfy (16j). Since is fixed, the data rate depends on , but the SCA ensures that the energy and rate constraints are convexified by fixing the channel gain at the previous iteration’s values. These approximations transform (26) into a convex optimization problem, which can be solved efficiently using interior-point methods. This subproblem optimizes UAV trajectories to minimize propulsion energy while ensuring collision avoidance and coverage of ground targets, enhancing the system’s efficiency in dynamic aerial networks.
4.6. Convergence and Complexity Analysis
The optimization problem in (16) is a mixed-integer non-linear programming (MINLP) problem due to the binary coverage variable , continuous variable (offloading ratio , transmit power , PA position , and UAV trajectory ), and non-linear constraints. The binary variables introduce a combinatorial complexity of . The data rate in (16g) involves logarithmic and fractional SINR terms, depending non-linearly on and via the effective channel gain , which includes LoS probability, Doppler shifts, and phase terms. The propulsion energy in (14) includes a cubic term and a square-root term . The collision avoidance constraint (16h) is non-convex due to the Euclidean norm. The interdependence among , , , , and requires joint optimization, increasing complexity. Directly solving the MINLP using branch-and-bound or cutting-plane methods incurs exponential complexity, often exceeding , rendering it impractical for real-time applications.
The proposed BCD algorithm guarantees convergence to a stationary point of the non-convex energy minimization problem (16). This is ensured by the monotonic decrease in the objective function, as each subproblem is solved optimally (or near-optimally for the grid search in Section 4.4) while keeping other variables fixed. Specifically, the linear program for optimizing the offloading ratios in Section 4.2 has variables and constraints, solvable in time using interior-point methods or simplex algorithms. The transmit power subproblem for in Section 4.3, after applying SCA, also involves variables and constraints, with a complexity of . The PA position subproblem for in Section 4.4 uses a one-dimensional (1D) grid search, evaluating points per PA across N PAs, resulting in a complexity of per iteration. The UAV trajectory and coverage variable subproblem for and in Section 4.5, after SCA, involves variables (for 3D positions and coverage variables) and constraints, with a complexity of .
The overall complexity of the BCD algorithm is dominated by the trajectory subproblem, requiring per iteration. With a typical convergence in 10–20 iterations for a threshold of , the total complexity remains polynomial, making the algorithm suitable for real-time applications in dynamic aerial networks. The choice of balances convergence accuracy and computational efficiency, as smaller values increase iterations without significant objective improvement. The SCA ensures that each subproblem is convex, guaranteeing feasible updates, while the grid search for leverages the waveguide’s linear structure to maintain low complexity. The convergence to a stationary point is supported by the BCD framework’s theoretical guarantees for non-convex problems, ensuring that the algorithm produces a locally optimal solution that balances computation, transmission, and propulsion energy.
The proposed BCD algorithm, integrated with the SCA and 1D grid search, effectively addresses the non-convexity and variable coupling in (16), optimizing the offloading ratio , transmit power , PA position , UAV trajectory , and coverage variable . By linearizing non-convex terms such as the data rate (via SCA in Section 4.3 and Section 4.5) and exploiting the waveguide’s linear structure (via grid search in Section 4.4), the algorithm ensures computational tractability. The optimization of balances local computation and offloading energy, while enhances SIC in the NOMA system. The PA position maximizes the effective channel gain , accounting for LoS probability and Doppler shifts, and the UAV trajectory minimizes propulsion energy while ensuring collision avoidance and coverage of ground targets. This integrated approach achieves energy-efficient operation, reliable communication with data rates above , and comprehensive coverage, making it well-suited for real-time applications such as data collection, surveillance, and low-latency communication in dynamic aerial networks. The algorithm’s polynomial complexity and guaranteed convergence to a stationary point position it as a robust solution for next-generation UAV-assisted communication systems.
5. Simulation Results
To evaluate the performance of the proposed optimization algorithm for the uplink NOMA with multi-access edge computing and a pinching antenna system, we conducted extensive numerical simulations under diverse system configurations. The simulation setup and results are designed to evaluate the algorithm’s effectiveness in minimizing total energy consumption while ensuring coverage of ground target points and maintaining reliable communication links for UAVs.
5.1. Simulation Setup
The system is deployed in a cubic airspace with a square ground plane of side length and a maximum altitude of . The BS is equipped with a dielectric waveguide of length L, positioned at a height of , with its feed point located at . The waveguide hosts PAs, with a minimum separation of to mitigate coupling effects, where is the wavelength, is the speed of light, and is the carrier frequency. The effective refractive index of the waveguide is , yielding a guided wavelength . We consider K single-antenna UAVs, with K varying from 2 to 8, randomly initialized within the airspace. The UAVs perform tasks such as surveillance or data collection, requiring the coverage of ground target points, denoted by , with coordinates uniformly distributed on the ground plane. The coverage distance threshold is set to . The time horizon is discretized into time slots, each of duration .
The channel model for UAV-to-PA communication employs a free-space path loss model combined with a probabilistic LoS/NLoS model based on the 3GPP urban microcell model [30]. The path loss is modeled as , where d is the 3D distance between the UAV and the PA, with path loss exponents for LoS and for NLoS conditions, weighted by the LoS probability . The channel gain includes Rician fading for LoS channels with a K-factor of 10 , reflecting strong LoS conditions typical for mmWave communications at , and Rayleigh fading for NLoS channels. The system bandwidth is , and the noise power spectral density is , resulting in a noise variance of for the given bandwidth. The LoS probability is modeled based on the 3GPP urban microcell model, with and . Each UAV has a task size of and requires CPU cycles per bit for local computation. The local CPU frequency is cycles per second, and the capacitance coefficient is for all UAVs. The maximum transmit power is , and the maximum energy budget per UAV is . The minimum data rate requirement is . UAV mobility constraints include a maximum speed of , maximum acceleration of , and minimum separation of to prevent collisions. The propulsion energy model uses parameters (blade profile power), (induced power coefficient), (parasitic power coefficient), and (climbing power coefficient), with gravitational acceleration . The BCD algorithm is initialized with a uniform offloading ratio , transmit power , PA positions equally spaced along the waveguide (satisfying ), and random feasible UAV trajectories. The convergence threshold is , the grid search step size for PA positions is , and the maximum number of iterations is .
To benchmark the proposed BCD algorithm, we compare it against two baseline methods:
- Fixed PA and Uniform Offloading (FPA-UO): PA positions are fixed equally spaced along the waveguide, and offloading ratios are set to . Only UAV trajectories and transmit powers are optimized.
- Local Computation Only (LCO): UAVs perform all computations locally (), optimizing only trajectories and transmit powers, with PA positions equally spaced.
5.2. Simulation Results and Analysis
The proposed BCD algorithm is evaluated based on three key performance metrics: total energy consumption, average data rate, and coverage satisfaction rate. All results are averaged over 100 independent Monte Carlo trials to ensure statistical reliability.
Figure 2 illustrates the total energy consumption across all UAVs as a function of the number of UAVs (K) for the proposed BCD algorithm, deep reinforcement learning-based UAV Optimization (DRL-UO), fixed PA with uniform offloading (FPA-UO), genetic algorithm-based trajectory optimization (GA-TO), and local computation only (LCO). For , BCD achieves the lowest energy consumption at , outperforming DRL-UO by 15–20% ( ), FPA-UO by 20–25% ( ), GA-TO by 20–25% ( ), and LCO by 25–30% ( ). The superior performance of BCD is attributed to its joint optimization of offloading ratios, transmit powers, PA positions, and UAV trajectories, which effectively balances computation, communication, and propulsion energy. DRL-UO performs better than FPA-UO and GA-TO due to its adaptive trajectory and offloading optimization via Q-learning, but its fixed PA positions limit channel gain improvements. GA-TO’s uniform power allocation and fixed PAs result in slightly higher energy than FPA-UO, while LCO’s reliance on local computation leads to the highest energy consumption due to the high computational energy governed by and . As K increases, energy consumption grows due to increased NOMA interference and stricter coverage constraints (16j), but BCD consistently maintains the lowest energy through adaptive PA reconfiguration and power allocation.
Figure 2.
Total energy consumption versus the number of UAVs (K) for the proposed BCD algorithm, DRL-UO, FPA-UO, GA-TO, and LCO.
Figure 3 shows the average data rate per UAV versus K. The BCD algorithm maintains data rates above the minimum requirement () across all scenarios, outperforming FPA-UO by 10–15% and LCO by 20–25% for . The superior performance is due to the optimization of PA positions, which enhances the effective channel gain by aligning PAs with UAV clusters, and the adaptive power allocation in NOMA, which maximizes SINR through successive interference cancellation.
Figure 3.
Average data rate per UAV versus the number of UAVs (K) for the proposed BCD algorithm, FPA-UO, and LCO.
Table 1 presents the coverage satisfaction rate, defined as the percentage of target points covered by each UAV at least once over the time horizon. The BCD algorithm achieves near-perfect coverage (99.5–100%) across all values of K, satisfying the constraint in (16j). In contrast, FPA-UO and LCO exhibit lower coverage rates, particularly as K increases, due to their limited flexibility in PA positioning and offloading strategies, which restricts trajectory optimization.
Table 1.
Coverage satisfaction rate (%) for different numbers of UAVs (K).
To further compare the convergence behavior, Figure 4 illustrates the total energy consumption versus iteration index for the proposed BCD algorithm, FPA-UO, and LCO with . The BCD algorithm converges to by iteration 5, significantly faster than FPA-UO, which converges to (approximately 30% higher) by iteration 35, and LCO, which converges to (approximately 44% higher) by iteration 40. The slower convergence of FPA-UO is due to its fixed PA positions and uniform offloading ratios (), which limit the optimization of channel gains and task allocation. LCO’s even slower convergence results from performing all computations locally (), increasing computational energy and restricting optimization flexibility.
Figure 4.
Convergence of total energy consumption versus iteration index for the proposed BCD algorithm, FPA-UO, and LCO with .
To visually demonstrate the coverage performance of the proposed BCD algorithm, Figure 5 presents the 3D trajectory of a single UAV () over the time horizon . The plot includes ground target points (marked as red stars), coverage regions (spheres of radius ), and PA positions (blue diamonds) along the waveguide at height . The trajectory is optimized to ensure that the UAV visits each target point, satisfying the coverage constraint (16j), within the airspace (, ). The PA positions are spaced to maintain the minimum separation , enhancing channel gains . Since only one UAV is considered, the collision avoidance constraint (16h) is not applicable.
Figure 5.
Three-dimensional trajectory of a single UAV () optimized by the proposed BCD algorithm, with ground target points (red stars), coverage regions (spheres of radius ), and PA positions (blue diamonds) along the waveguide.
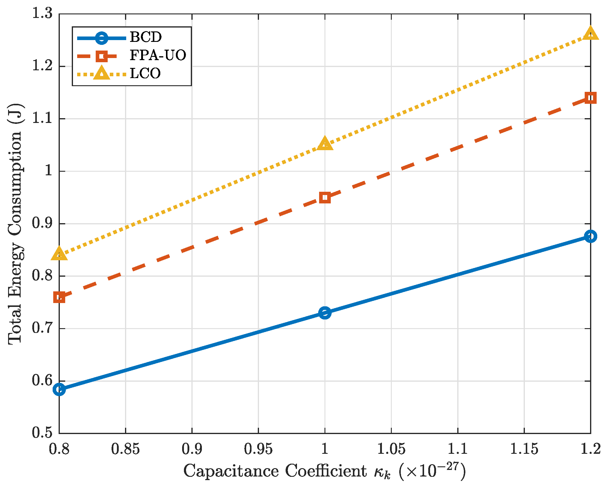
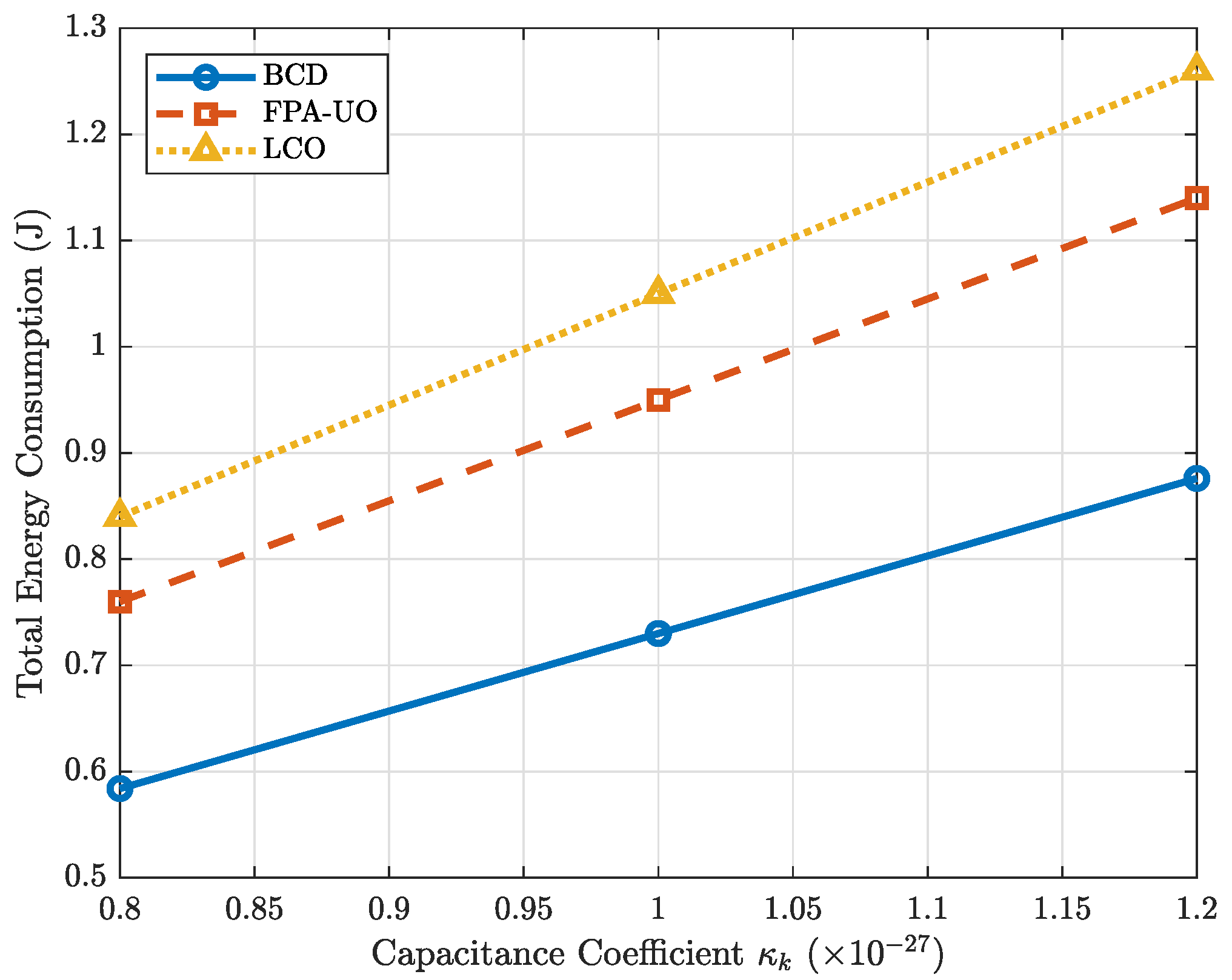
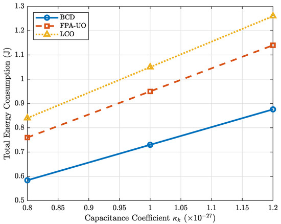
To assess the robustness of the proposed BCD algorithm to varying hardware configurations, we conducted a sensitivity analysis on the capacitance coefficient , which governs the computational energy of UAVs as . Figure 6 shows the total energy consumption versus (, , ) for . For , energy consumption increases by approximately 20% compared to the baseline () due to higher computational energy requirements. Conversely, for , energy decreases by about 20%, reflecting improved CPU efficiency. The BCD algorithm maintains 20–30% lower energy consumption than FPA-UO and 35–45% lower than LCO across all values, as its joint optimization of offloading ratios, transmit powers, PA positions, and UAV trajectories mitigates the impact of increased computational energy. LCO is most affected by higher due to its reliance on local computation (), while BCD and FPA-UO benefit from offloading to reduce computational load.
Figure 6.
Total energy consumption versus capacitance coefficient for with the proposed BCD algorithm, FPA-UO, and LCO.
To evaluate the algorithm’s scalability in larger-scale scenarios representative of modern UAV applications, additional simulations were conducted in a 1 km × 1 km × 100 m airspace, with the altitude increased to 100 m to align with typical UAV operating heights, improve LoS probability, and support higher velocities () to emphasize Doppler effects (up to 1.87 kHz at 28 GHz). The setup uses ground target points, , rural LoS parameters (, , ), and a coarser grid step size to maintain computational efficiency. Figure 7 compares total energy consumption for to 8 UAVs, showing an increase in the large-scale airspace due to higher propulsion and transmission energy. The BCD algorithm achieves 20–25% lower energy consumption than FPA-UO and 31–35% lower than LCO for . Table 2 shows that for , the BCD algorithm achieves 100% coverage, an average data rate of (30% above ), and converges in 15–20 iterations, with Doppler shifts effectively mitigated by phase compensation. For airspace measuring 10 km or 100 km, scalability can be achieved by deploying multiple base stations or incorporating relay UAVs to extend coverage and manage increased path loss, with optimal PA placement and trajectory planning adapted to larger search spaces. These strategies will be explored in future work to ensure robust performance across ultra-wide-area scenarios.
Figure 7.
Total energy consumption versus number of UAVs (K) for small-scale (15 m × 15 m × 10 m) and large-scale (1 km × 1 km × 100 m) airspace, comparing BCD, FPA-UO, and LCO.
Table 2.
Performance comparison for UAVs.
To clarify the adaptation of PA positions for multiple UAVs with varying altitudes, distances, and speeds, we provide an example calculation and space model for UAVs. For , consider UAVs at positions , , m with speeds m/s. The BCD algorithm optimizes PA positions to m using a 1D grid search (step size ) to maximize the sum channel gain , subject to the minimum separation . For , UAVs have random altitudes (), distances (), and speeds (), with PAs distributed across the waveguide to balance channel gains. For , PAs are used to manage increased NOMA interference, with the system integrating NOMA with OFDMA to reduce SIC complexity, as noted in system model footnote 1. The Doppler shift ( at , ) has minimal impact on SINR within the 1 bandwidth, but the adaptive PA optimization ensures robust performance by aligning PAs with UAV clusters, enhancing channel gains and maintaining coverage.
To evaluate the impact of system parameters on performance, we varied the coverage distance threshold from 1 to 3 and the minimum data rate from to for . As shown in Figure 8, a smaller (e.g., 1 ) increases the total energy consumption by approximately 15% compared to the baseline () due to stricter trajectory constraints that elevate propulsion energy. Conversely, a larger (e.g., 3 ) relaxes these constraints, reducing energy consumption by about 10%, but this results in a coverage satisfaction rate of 98.5%. Similarly, increasing from to raises energy consumption by 10–12%, as higher transmit powers are required to meet the elevated rate requirements. The proposed BCD algorithm consistently outperforms FPA-UO and LCO, maintaining lower energy consumption across all parameter settings due to its joint optimization of offloading ratios, transmit powers, PA positions, and UAV trajectories.
Figure 8.
Total energy consumption versus coverage distance threshold () and minimum data rate () for with the proposed BCD algorithm, FPA-UO, and LCO.
To investigate the impact of system parameters on energy efficiency, we varied the maximum transmit power from 5 m to 15 m and the task size from 1 to for . As depicted in Figure 9, increasing from 5 m to 15 m reduces the total energy consumption by approximately 8–10%, as higher transmit powers enable faster data offloading, reducing offloading time and associated energy. However, a larger (e.g., ) increases energy consumption by about 12–15% compared to the baseline () due to the increased computational and communication demands. The proposed BCD algorithm consistently achieves the lowest energy consumption, outperforming FPA-UO by 20–30% and LCO by 35–45% across all settings, leveraging its joint optimization of offloading ratios, transmit powers, PA positions, and UAV trajectories to adapt to varying power and task requirements.
Figure 9.
Total energy consumption versus maximum transmit power () and task size () for with the proposed BCD algorithm, FPA-UO, and LCO.
6. Conclusions
In this paper, we presented a comprehensive framework for energy-efficient uplink communication in UAV networks, which integrates a reconfigurable pinching antenna system, non-orthogonal multiple access, and multi-access edge computing. By addressing the challenges of UAV mobility, such as line-of-sight dominant propagation, Doppler effects, and energy constraints, our approach jointly optimizes UAV trajectories, task offloading ratios, transmit powers, and PA positions to minimize total energy consumption. The proposed approach is promising with respect to reliable data rates, collision avoidance, and complete coverage of ground target points. The formulated mixed-integer non-linear program is efficiently solved using a block coordinate descent algorithm combined with successive convex approximation and one-dimensional grid search, which can achieve convergence to a locally optimal solution with polynomial computational complexity. The simulation results demonstrate the superior performance of the proposed framework, with energy savings of 20–45% compared to baseline methods while maintaining data rates above the required minimum and near-perfect coverage satisfaction. These gains stem from the adaptive reconfiguration of the PA system, which enhances channel gains in dynamic aerial environments, and the synergistic integration of NOMA and MEC, which enables efficient spectrum utilization and computation offloading.
Author Contributions
Conceptualization, Y.A.; methodology, Y.A.; software, Y.A.; validation, Y.A. and C.L.; formal analysis, Y.A.; investigation, Y.A. and C.L.; resources, Y.A.; data curation, Y.A.; writing—original draft preparation, Y.A.; writing—review and editing, C.L. and M.L.; visualization, Y.A.; supervision, C.L. and M.L.; project administration, M.L.; funding acquisition, Y.A. and C.L. All authors have read and agreed to the published version of the manuscript.
Funding
This research was funded in part by the Beijing Natural Science Foundation under Grant 4244065, the Beijing Postdoctoral Research Foundation, the National Natural Science Foundation of China (NSFC) under Grant 62371012, and the Beijing Natural Science Foundation under Grant 4252001.
Data Availability Statement
The raw data supporting the conclusions of this article will be made available by the authors on request.
Conflicts of Interest
The authors declare no conflicts of interest. The funders had no role in the design of the study; in the collection, analyses, or interpretation of data; in the writing of this manuscript; or in the decision to publish the results.
References
- Wang, J.; Jiang, C.; Han, Z.; Ren, Y.; Maunder, R.G.; Hanzo, L. Taking Drones to the Next Level: Cooperative Distributed Unmanned-Aerial-Vehicular Networks for Small and Mini Drones. IEEE Veh. Technol. Mag. 2017, 12, 73–82. [Google Scholar] [CrossRef]
- Zhang, Y.; Wang, J.; Du, G.; Chen, J.; Wang, J.; Li, Q. ISAC-Aided UAV Swarms: From Networked Perception to Capability Evolution. IEEE Commun. Mag. 2024, 62, 60–66. [Google Scholar] [CrossRef]
- Zhan, C.; Zeng, Y. Energy-efficient data uploading for cellular-connected UAV systems. IEEE Trans. Commun. 2020, 19, 7279–7292. [Google Scholar] [CrossRef]
- Shen, C.; Chang, T.H.; Gong, J.; Zeng, Y.; Zhang, R. Multi-UAV interference coordination via joint trajectory and power control. IEEE Trans. Signal Process. 2020, 68, 843–858. [Google Scholar] [CrossRef]
- Zhang, H.; Huang, Y.; Zhang, Z.; Lu, X. Energy consumption minimization for NOMA-based secure UAV-MEC network. China Commun. 2025, 22, 202–216. [Google Scholar] [CrossRef]
- Li, Q.; Wang, J.; Si, P.; Zhang, Y.; Chen, J.; Jiang, C. Energy-Efficient Communication and Computing Scheduling in UAV-Aided Industrial IoT. IEEE Internet Things J. 2024, 11, 30430–30441. [Google Scholar] [CrossRef]
- Wu, X.; Liang, L.; Wen, W.; Huang, Z.; Liu, X.; Jia, Y. DRL-based trajectory optimization and computation-aware resource allocation for UAV-assisted edge computing networks. IEEE Internet Things J. 2025, 12, 540–558. [Google Scholar] [CrossRef]
- Yu, X.; Zhang, X.; Rui, Y.; Dang, X.; Jia, G.; Guizani, M. Joint resource allocation and 3D-position optimization for UAV-assisted MEC network with noma. IEEE Trans. Netw. Sci. Eng. 2025, 12, 1440–1456. [Google Scholar] [CrossRef]
- Singh, S.K.; Agrawal, K.; Singh, K.; Li, C.-P.; Ding, Z. NOMA enhanced hybrid RIS-UAV-assisted full-duplex communication system with imperfect SIC and CSI. IEEE Trans. Commun. 2022, 70, 7609–7627. [Google Scholar] [CrossRef]
- Li, X.; Zhang, M.; Chen, H.; Han, C.; Li, L.; Do, D.-T.; Mumtaz, S.; Nallanathan, A. UAV-enabled multi-pair massive MIMO-NOMA relay systems with low-resolution ADCS/DACS. IEEE Trans. Veh. Technol. 2024, 73, 2171–2186. [Google Scholar] [CrossRef]
- Fu, Y.; Chen, B.; Liu, C.; Lin, K. Intelligent power allocation optimization algorithm for enhanced CR-NOMA network via densenet-BILSTM. IEEE Trans. Cogn. Commun. Netw. 2025, 11, 2543–2553. [Google Scholar] [CrossRef]
- Vu, T.H.; Nguyen, T.-V.; Pham, Q.-V.; da Costa, D.B.; Kim, S. Short-packet communications for uav-based noma systems under imperfect CSI and SIC. IEEE Trans. Cogn. Commun. Netw. 2023, 9, 463–478. [Google Scholar] [CrossRef]
- Mao, Y.; You, C.; Zhang, J.; Huang, K.; Letaief, K.B. A survey on mobile edge computing: The communication perspective. IEEE Commun. Surveys Tuts. 2017, 19, 2322–2358. [Google Scholar] [CrossRef]
- Wu, Q.; Zeng, Y.; Zhang, R. Joint trajectory and communication design for multi-uav enabled wireless networks. IEEE Trans. Wireless Commun. 2018, 17, 2109–2121. [Google Scholar] [CrossRef]
- Ding, Z.; Schober, R.; Poor, H.V. Flexible-Antenna Systems: A Pinching-Antenna Perspective. IEEE Trans. Commun. 2025, 73, 9236–9253. [Google Scholar] [CrossRef]
- Liu, Y.; Wang, Z.; Mu, X.; Ouyang, C.; Xu, X.; Ding, Z. Pinching-antenna systems: Architecture designs, opportunities, and outlook. IEEE Commun. Mag. [CrossRef]
- Zhuo, B.; Gu, J.; Duan, W.; Wen, M.; Peng, L.; Ho, P.H. P-NOMA for pinching-antenna systems (PASS). IEEE Wireless Commun. Lett. 2025; early access. [Google Scholar] [CrossRef]
- Ai, Y.; Mu, X.; Si, P.; Liu, Y. Delay Minimization in Pinching-Antenna-enabled NOMA-MEC Networks. arXiv 2025, arXiv:2510.16296. [Google Scholar]
- Tyrovolas, D.; Tegos, S.A.; Diamantoulakis, P.D.; Ioannidis, S.; Liaskos, C.K.; Karagiannidis, G.K. Performance Analysis of Pinching-Antenna Systems. IEEE Trans. Cogn. Commun. Netw. 2025; early access. [Google Scholar] [CrossRef]
- Ai, Y.; Liu, C.; Peng, M. Joint user association and resource allocation for cost-efficient NOMA-enabled F-RANs. Digital Commun. Netw. 2024, 10, 1686–1697. [Google Scholar] [CrossRef]
- Zhao, H.; Hao, Q.; Huang, H.; Gui, G.; Ohtsuki, T.; Sari, H.; Adachi, F. Online Trajectory Optimization for Energy-Efficient Cellular-Connected UAVs With Map Reconstruction. IEEE Trans. Veh. Technol. 2024, 73, 3445–3456. [Google Scholar] [CrossRef]
- Lu, W.; Ding, Y.; Gao, Y.; Chen, Y.; Zhao, N.; Ding, Z.; Nallanathan, A. Secure NOMA-Based UAV-MEC Network Towards a Flying Eavesdropper. IEEE Trans. Commun. 2022, 70, 3364–3376. [Google Scholar] [CrossRef]
- Tun, Y.K.; Dán, G.; Park, Y.M.; Hong, C.S. Joint UAV Deployment and Resource Allocation in THz-Assisted MEC-Enabled Integrated Space-Air-Ground Networks. IEEE Trans. Mob. Comput. 2025, 24, 3794–3808. [Google Scholar] [CrossRef]
- Gao, Z.; Yang, L.; Dai, Y. MO-AVC: Deep-Reinforcement-Learning-Based Trajectory Control and Task Offloading in Multi-UAV-Enabled MEC Systems. IEEE Internet Things J. 2024, 11, 11395–11414. [Google Scholar] [CrossRef]
- Zhong, R.; Liu, X.; Liu, Y.; Chen, Y. Multi-Agent Reinforcement Learning in NOMA-Aided UAV Networks for Cellular Offloading. IEEE Trans. Wirel. Commun. 2022, 21, 1498–1512. [Google Scholar] [CrossRef]
- Zhou, Z.; Yang, Z.; Chen, G.; Ding, Z. Sum-Rate Maximization for NOMA-Assisted Pinching-Antenna Systems. IEEE Wireless Commun. Lett. 2025, 14, 2728–2732. [Google Scholar] [CrossRef]
- Xu, Y.; Ding, Z.; Cai, D.; Wong, V.W.S. QoS-Aware NOMA Design for Downlink Pinching-Antenna Systems. IEEE Trans. Commun. 2025; early access. [Google Scholar] [CrossRef]
- Zhang, L.; Mu, X.; Liu, A.; Liu, Y. Two-Timescale Joint Transmit and Pinching Beamforming for Pinching-Antenna Systems. IEEE Wireless Commun. Lett. 2025, 14, 2897–2901. [Google Scholar] [CrossRef]
- Li, S.; Duo, B.; Renzo, M.D.; Tao, M.; Yuan, X. Robust Secure UAV Communications With the Aid of Reconfigurable Intelligent Surfaces. IEEE Trans. Wireless Commun. 2021, 20, 6402–6417. [Google Scholar] [CrossRef]
- 3GPP. Further Enhancements to LTE Time Division Duplex (TDD) for Downlink-Uplink Interference Management and Traffic Adaptation; 3rd Generation Partnership Project, Technical Report, 3GPP TR 36.828; 3GPP: Sophia Antipolis, France, 2012. [Google Scholar]
- Tegos, S.A.; Diamantoulakis, P.D.; Ding, Z.; Karagiannidis, G.K. Minimum Data Rate Maximization for Uplink Pinching-Antenna Systems. IEEE Wireless Commun. Lett. 2025, 14, 1516–1520. [Google Scholar] [CrossRef]
- Fang, F.; Xu, Y.; Ding, Z.; Shen, C.; Peng, M.; Karagiannidis, G.K. Optimal Resource Allocation for Delay Minimization in NOMA-MEC Networks. IEEE Trans. Commun. 2020, 68, 7867–7881. [Google Scholar] [CrossRef]
- Mao, Y.; Zhang, J.; Song, S.H.; Letaief, K.B. Stochastic joint radio and computational resource management for multi-user mobile-edge computing systems. IEEE Trans. Wireless Commun. 2017, 16, 5994–6009. [Google Scholar] [CrossRef]
- Dai, X.; Duo, B.; Yuan, X.; Tang, W. Energy-Efficient UAV Communications: A Generalized Propulsion Energy Consumption Model. IEEE Wireless Commun. Lett. 2022, 11, 2150–2154. [Google Scholar] [CrossRef]
- Boyd, S.P.; Vandenberghe, L. Convex Optimization; Cambridge University Press: Cambridge, UK, 2004. [Google Scholar] [CrossRef]
Disclaimer/Publisher’s Note: The statements, opinions and data contained in all publications are solely those of the individual author(s) and contributor(s) and not of MDPI and/or the editor(s). MDPI and/or the editor(s) disclaim responsibility for any injury to people or property resulting from any ideas, methods, instructions or products referred to in the content. |
© 2025 by the authors. Licensee MDPI, Basel, Switzerland. This article is an open access article distributed under the terms and conditions of the Creative Commons Attribution (CC BY) license (https://creativecommons.org/licenses/by/4.0/).








