Structural Design of an Unmanned Aerial Underwater Vehicle with Coaxial Twin Propellers and the Numerical Simulation of the Cross-Domain Characteristics
Highlights
- A new structural form of a hybrid aerial underwater vehicle with coaxial dual-propeller propulsion has been proposed.
- The hydrodynamic characteristics and navigation stability of the new structure UAUV during the process of entering and exiting water under various conditions were discussed.
- The coaxial twin propeller structure has advantages over the commonly used fixed-wing, multi-rotor, and biomimetic types, such as lower water loading and higher stability.
Abstract
1. Introduction
2. Research Model
2.1. Structural Design
- (1)
- Propulsion system
- (2)
- Vector steering system
- (3)
- Flight control and energy system
- (4)
- Center of mass adjustment and buoyancy regulation system
- (5)
- Landing system
2.2. Working Conditions
2.3. Analysis Framework
3. Mathematical Formulation
3.1. Governing Equations
3.2. Turbulence Model
3.3. Volume-of-Fluid Multiphase Model
- A value of αw = 1 indicates a cell completely filled with water;
- αw = 0 signifies a cell containing exclusively air;
- Any intermediate value (0 < αw < 1) corresponds to a cell containing a gas–liquid interface.
3.4. 6-DOF Motion Solver
4. Numerical Settings and Verification
4.1. Computational Domain and Grid Division
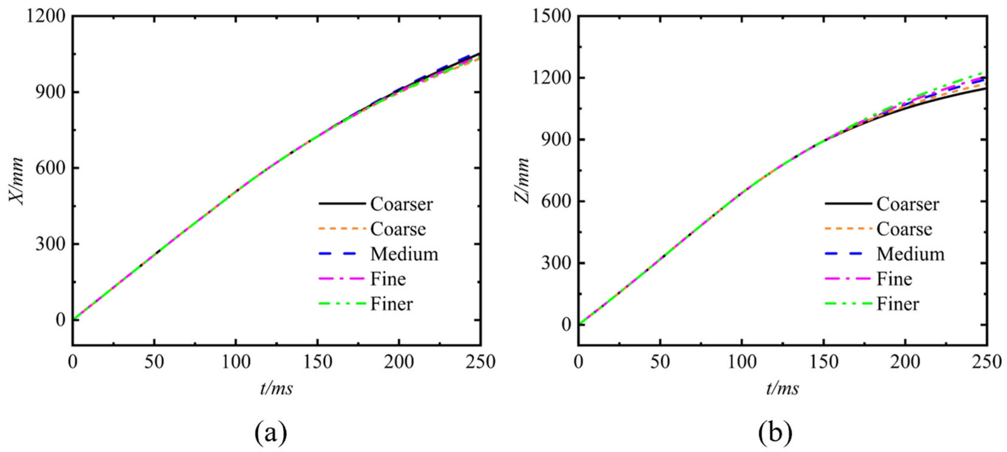
4.2. Verification of Grid Independence
4.3. Validation of the Numerical Model
5. Analysis of the Process of the UAUV Entering Water from the Air
5.1. The Influence of the Entry Angle on the UAUV’s Water-Entry Process
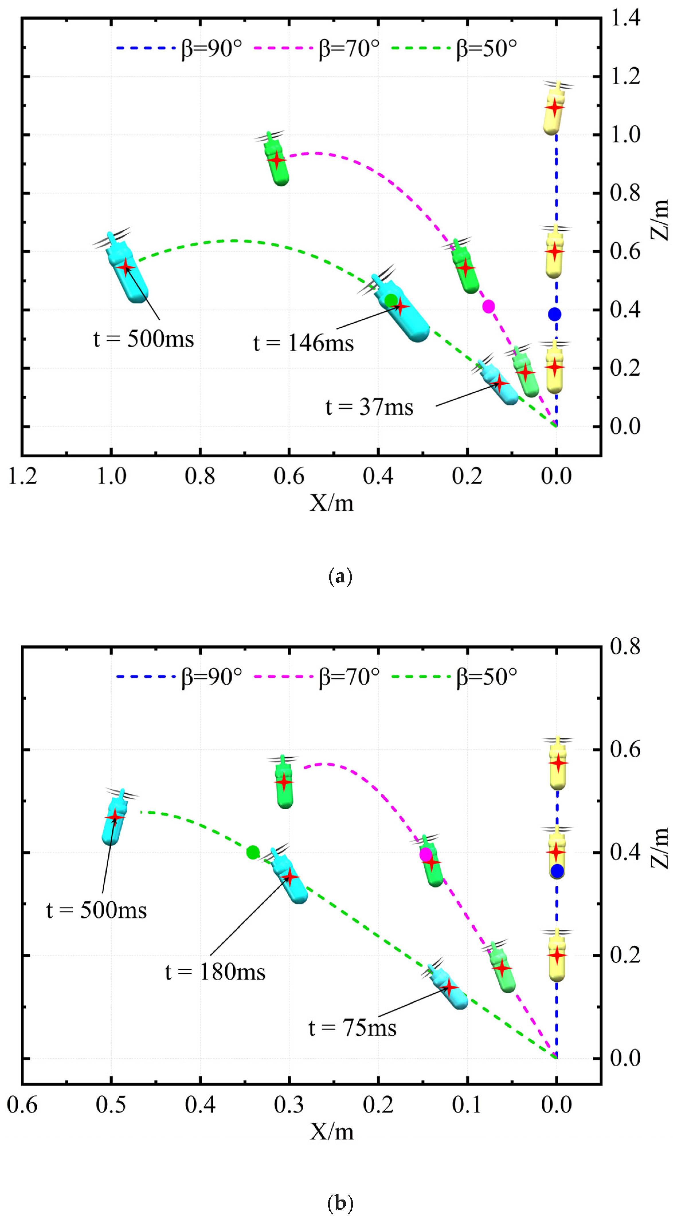
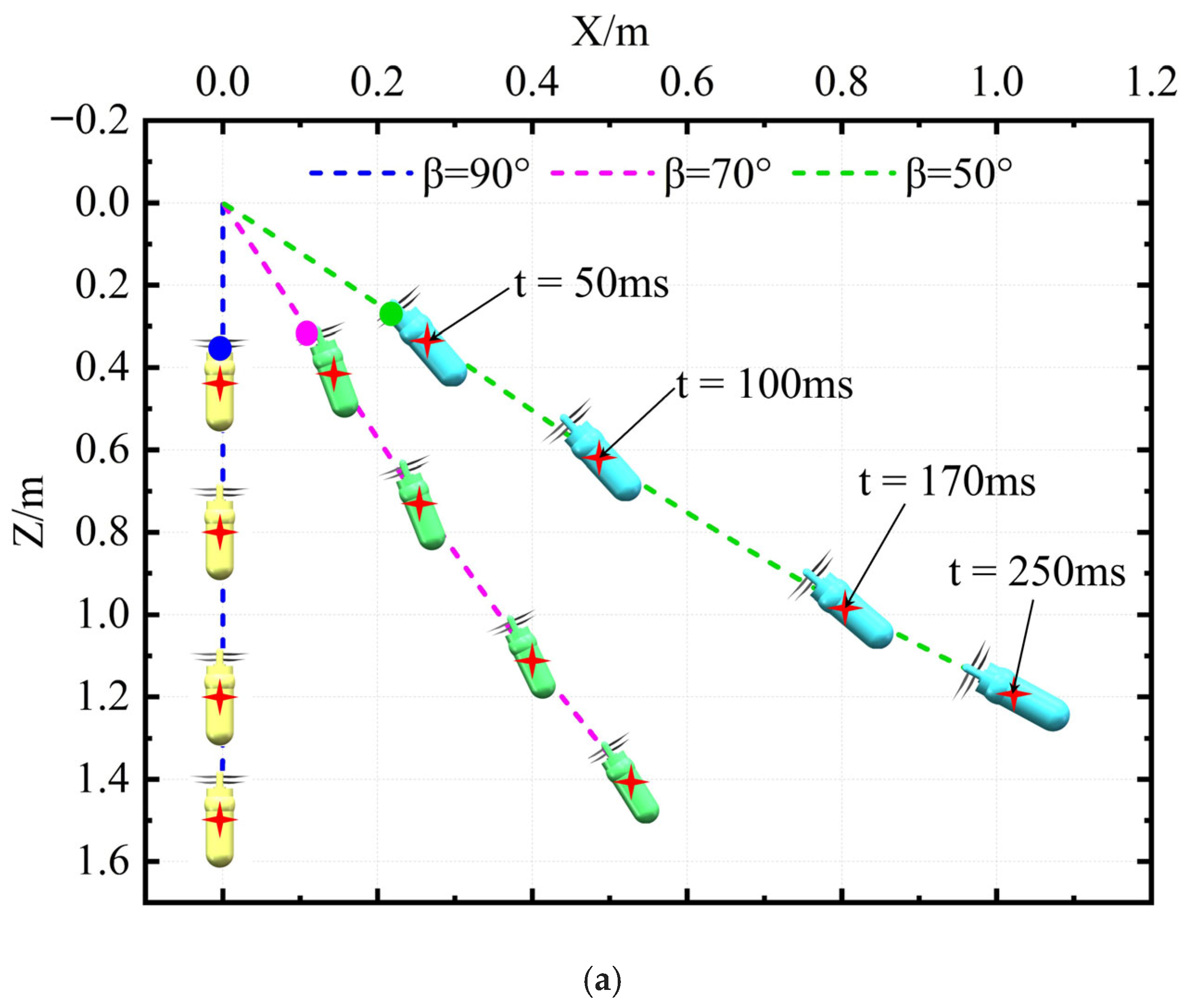
5.1.1. Motion Trajectory
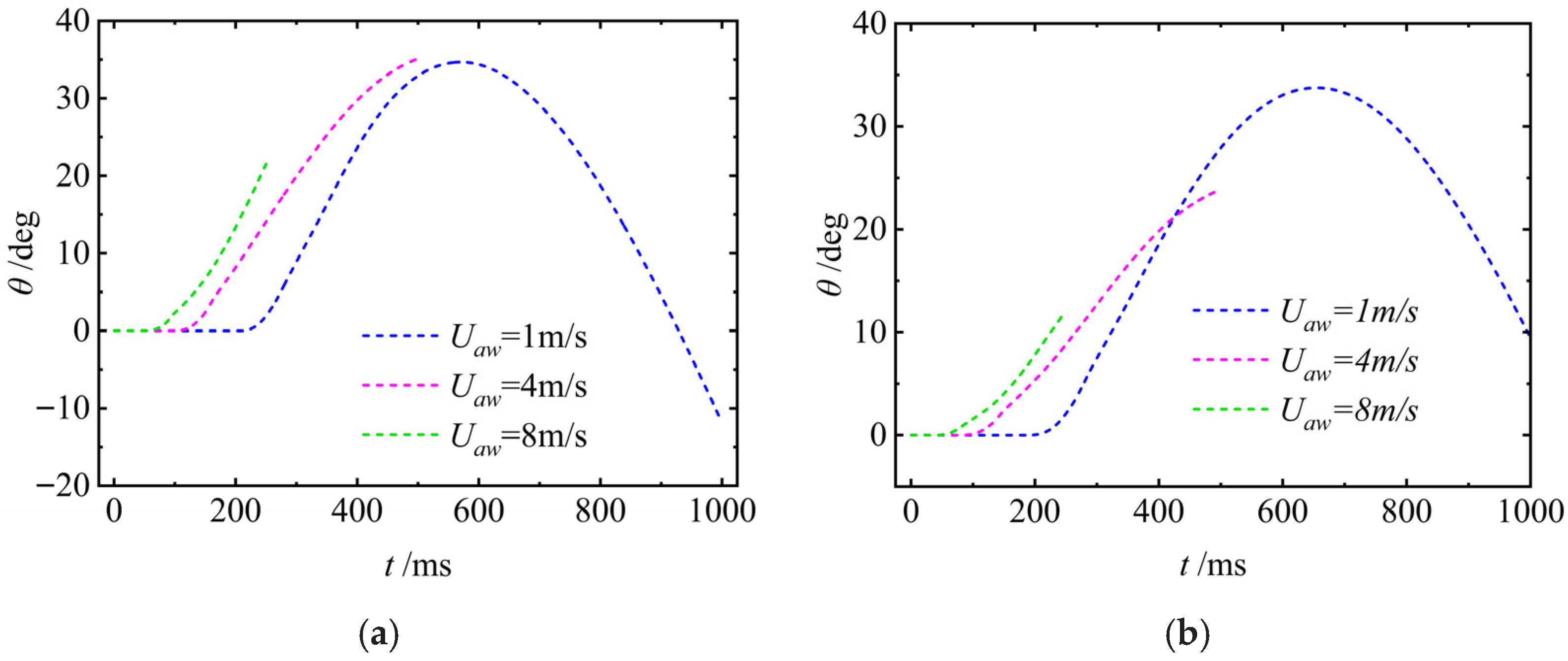
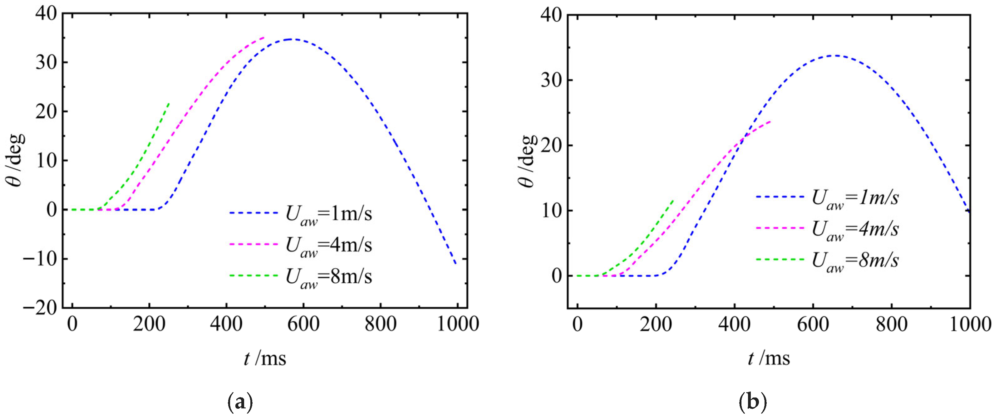
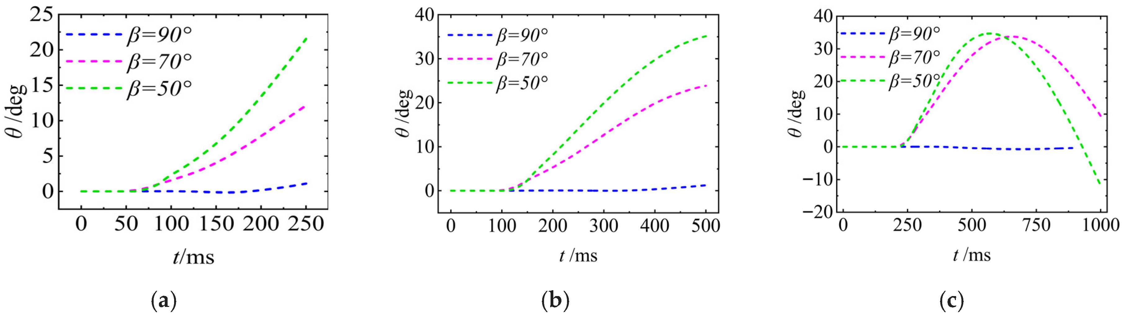
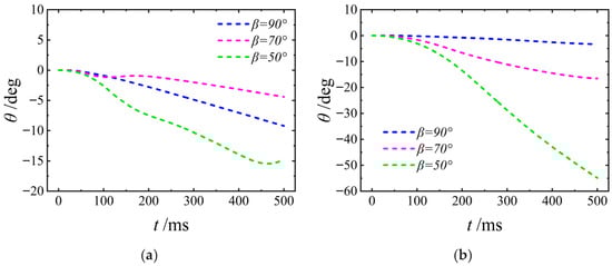
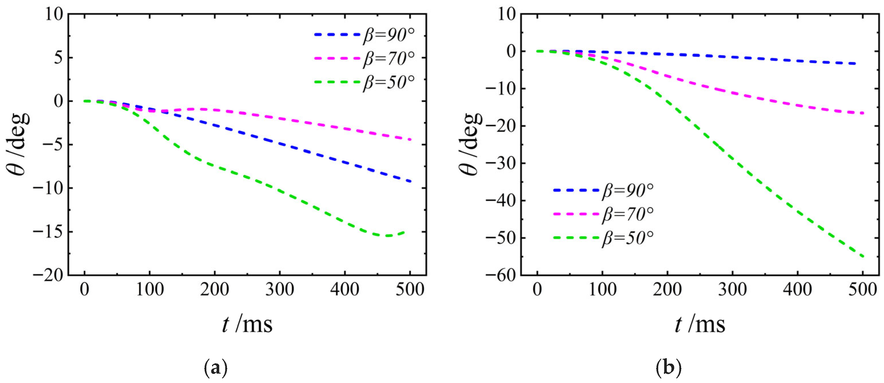
5.1.2. Attack Angle
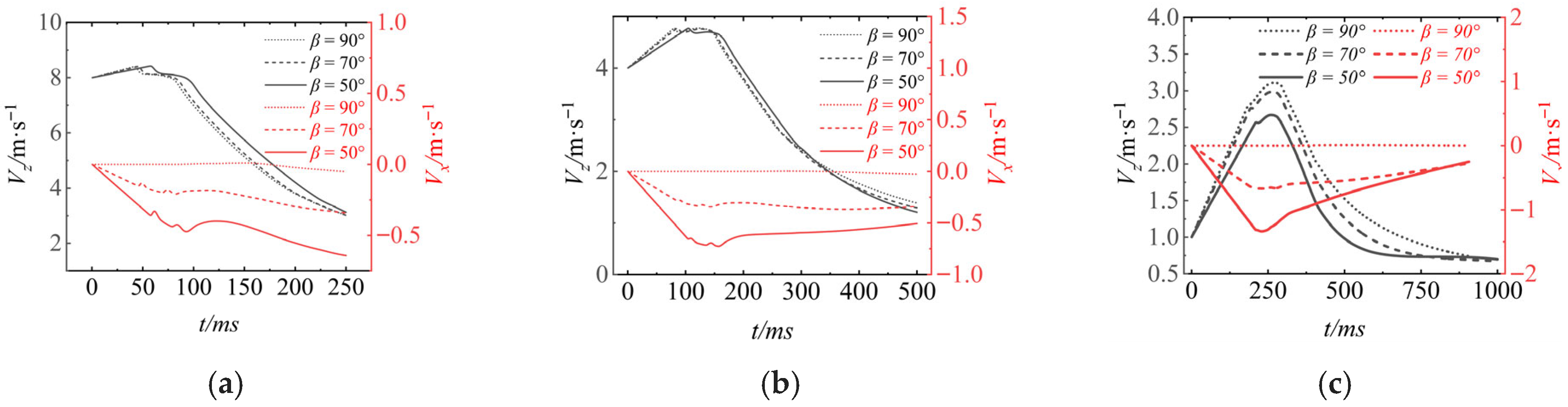
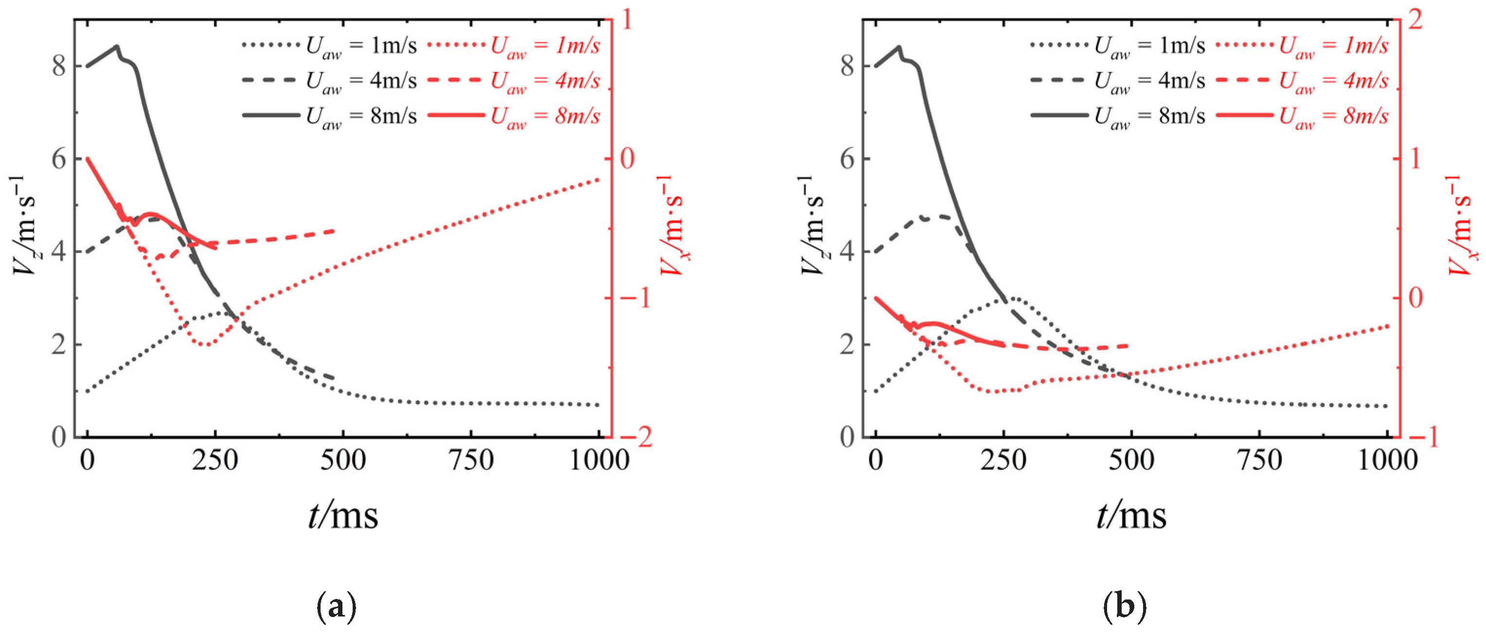
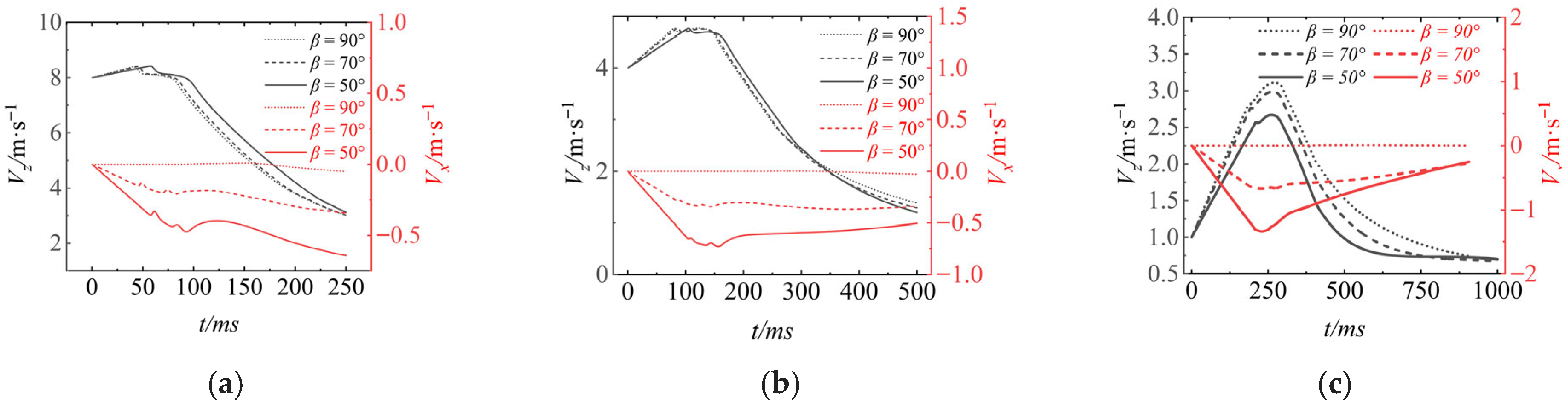
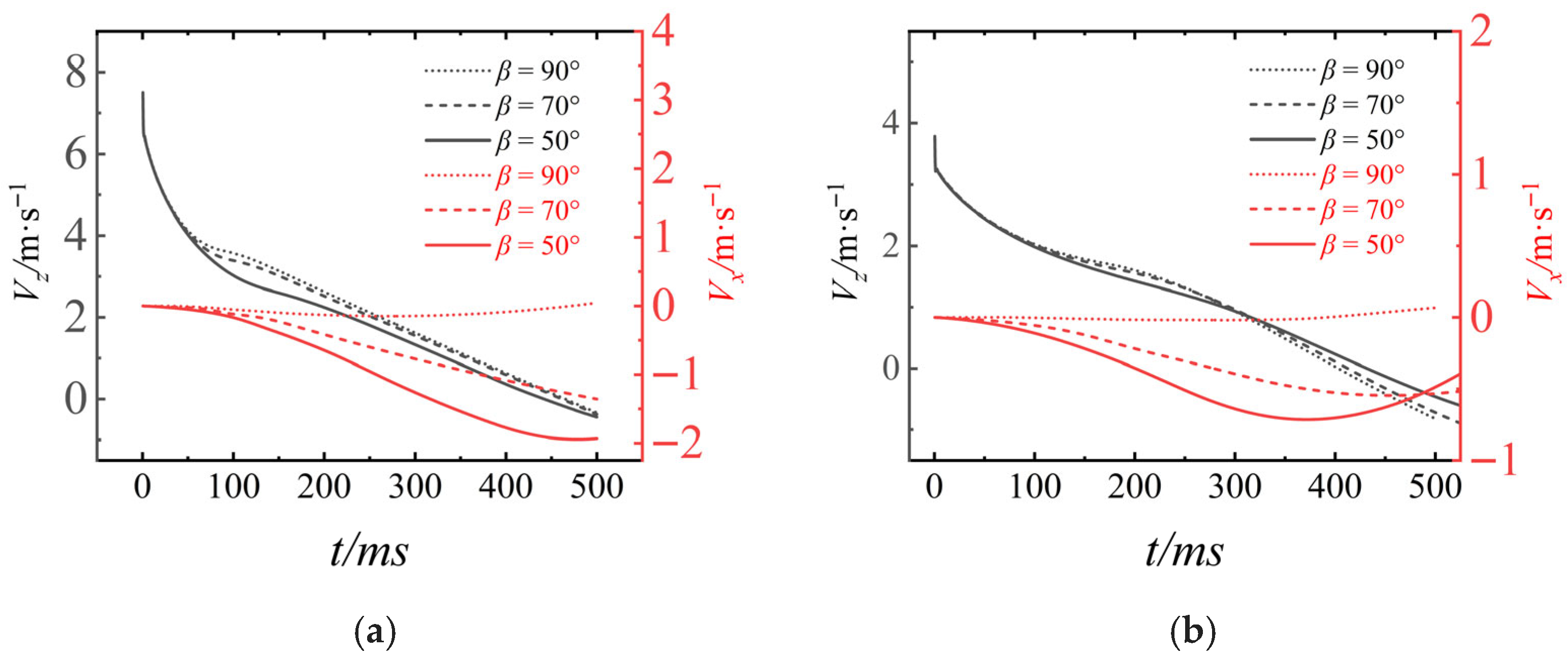
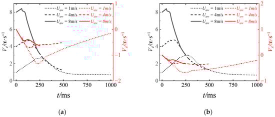
5.1.3. Motion Velocity
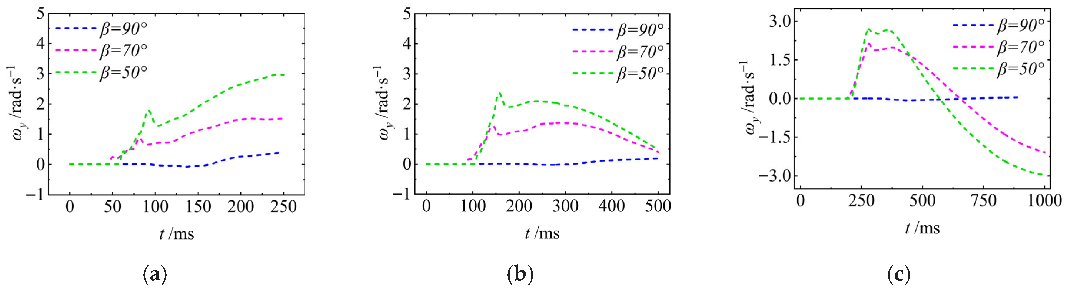
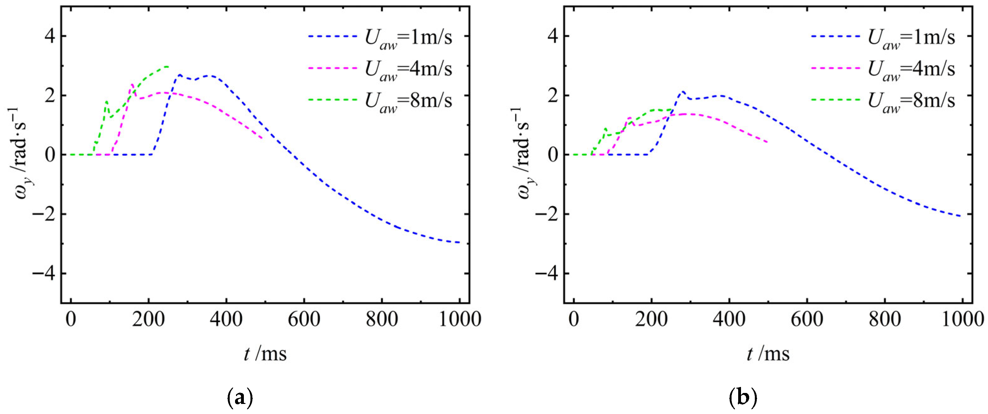
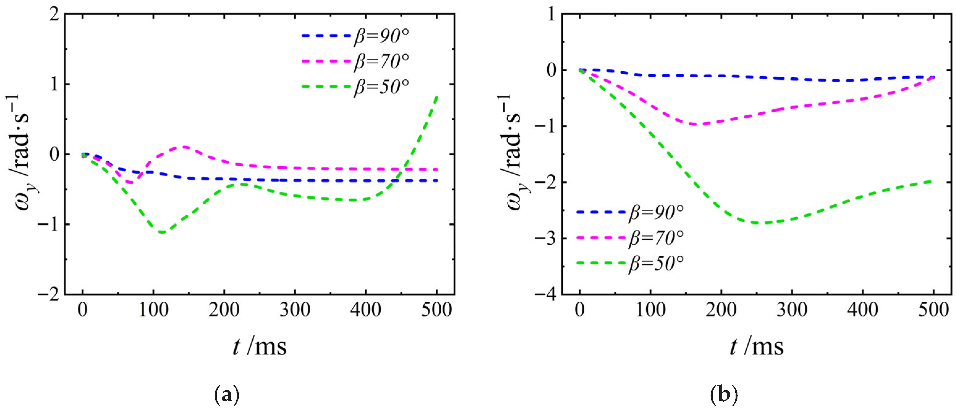
5.1.4. Angular Velocity
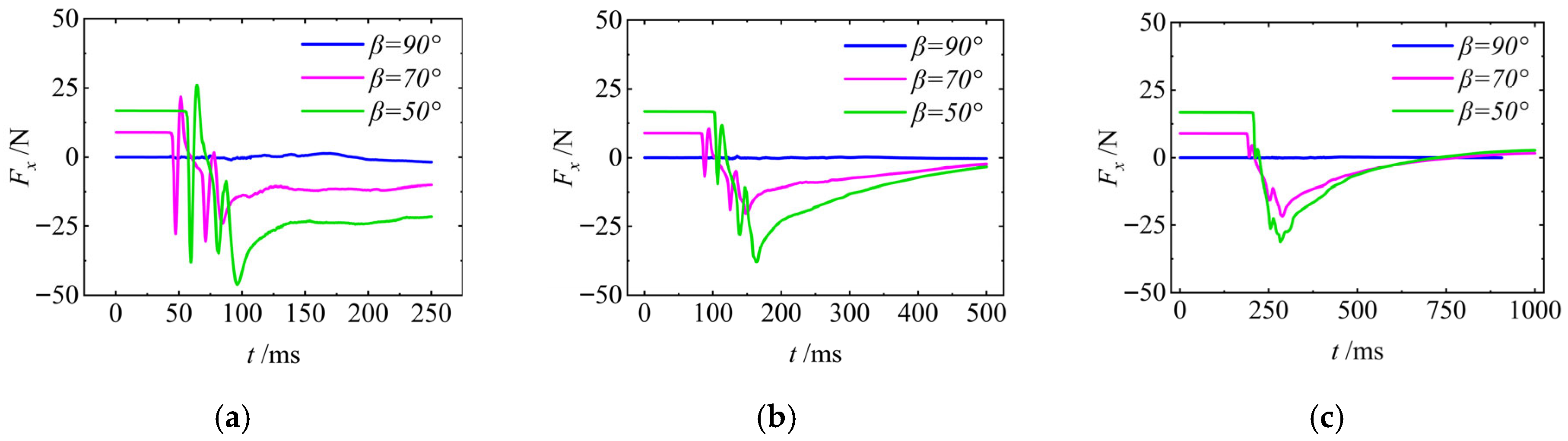
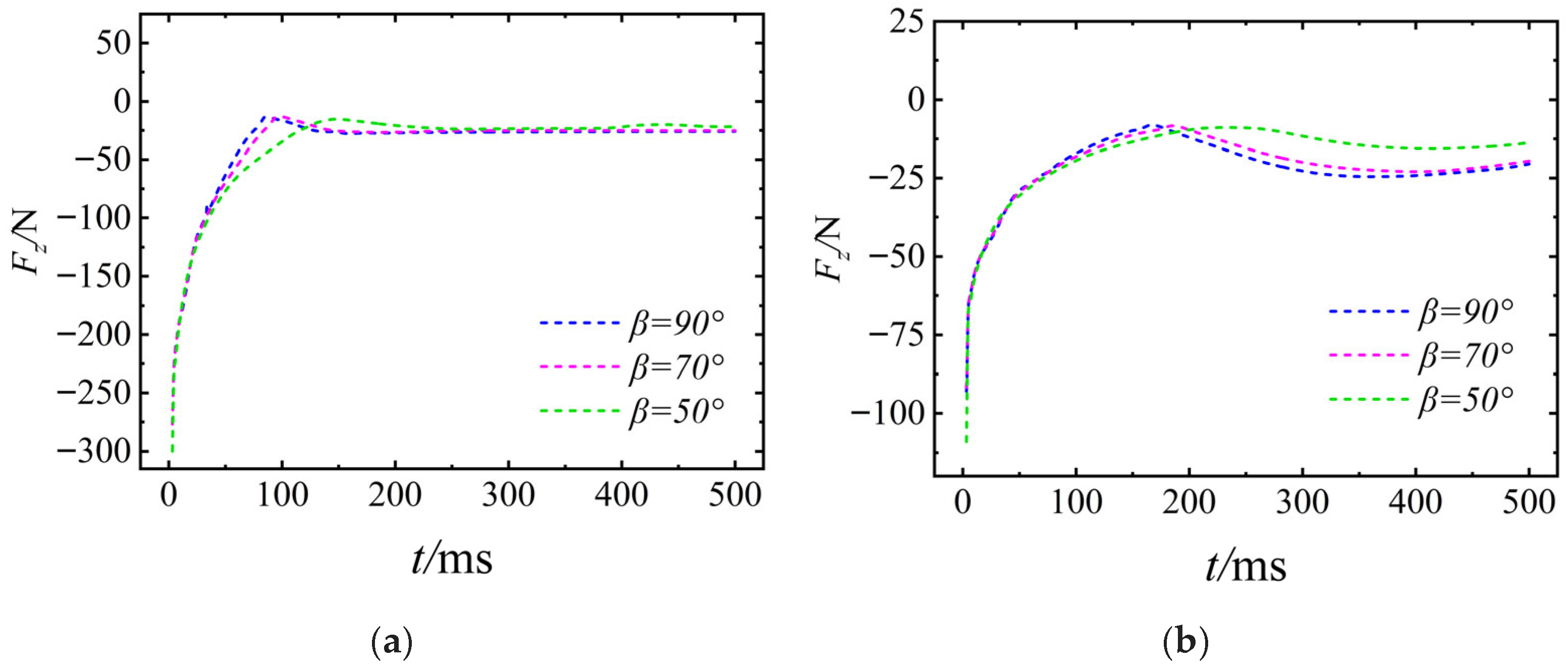
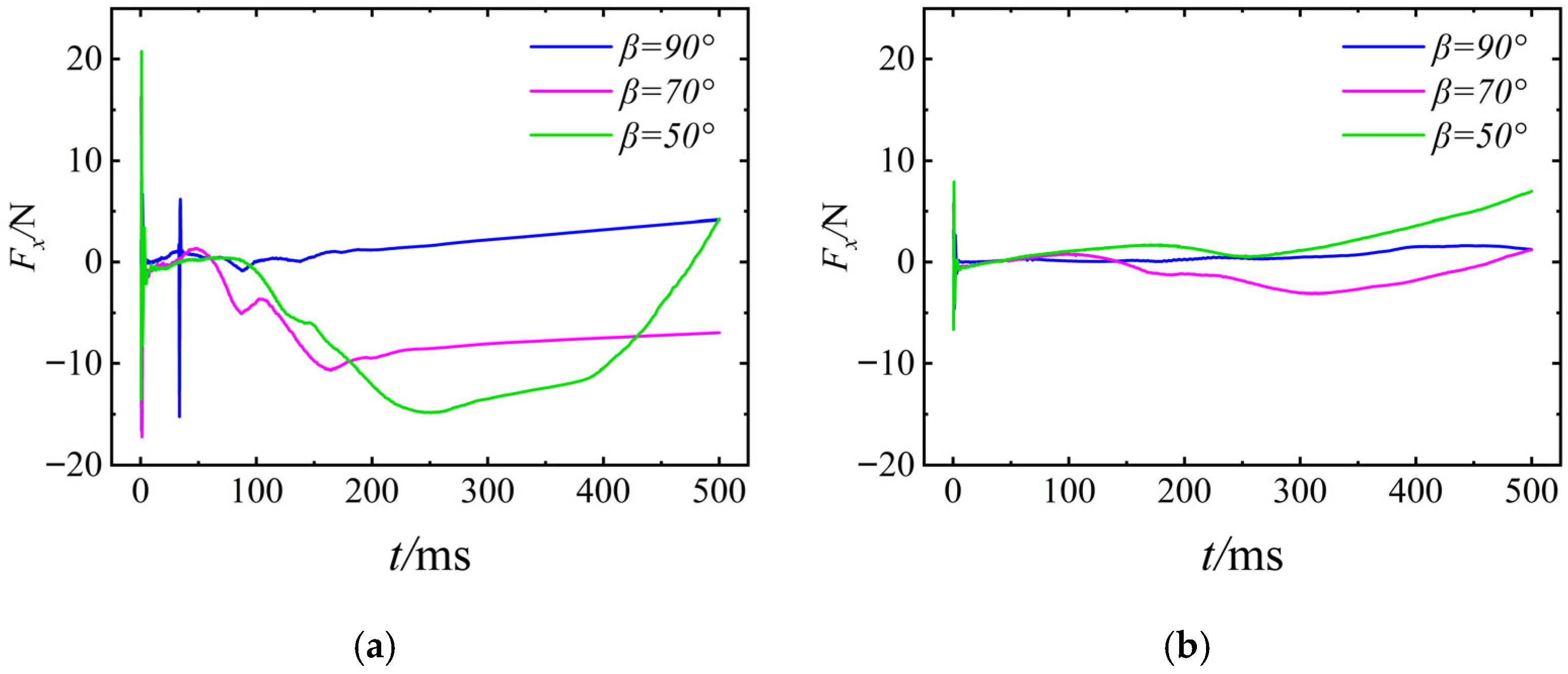
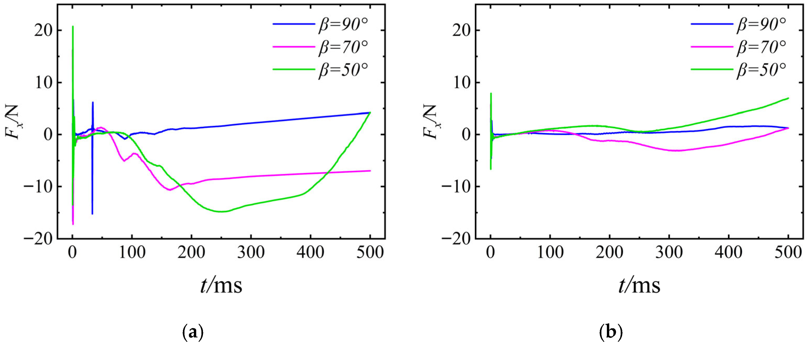
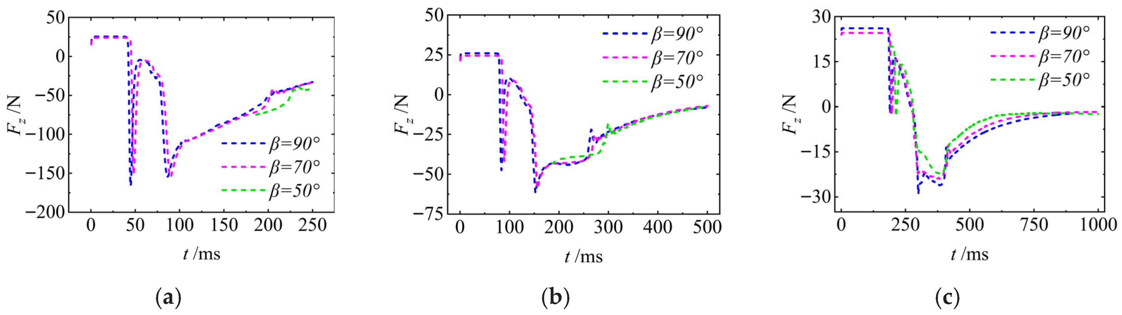
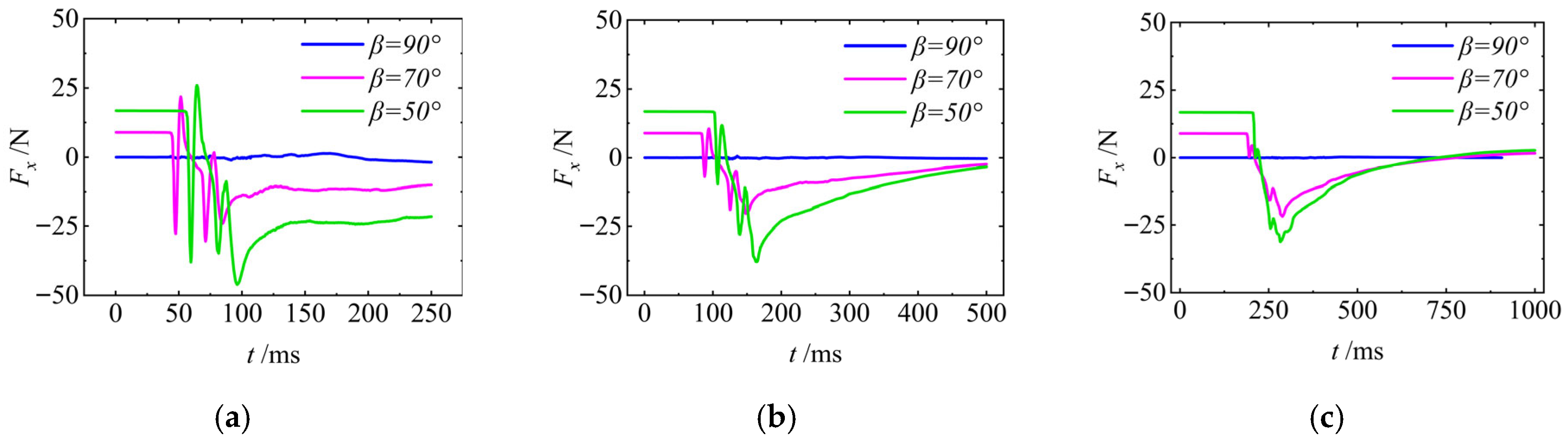
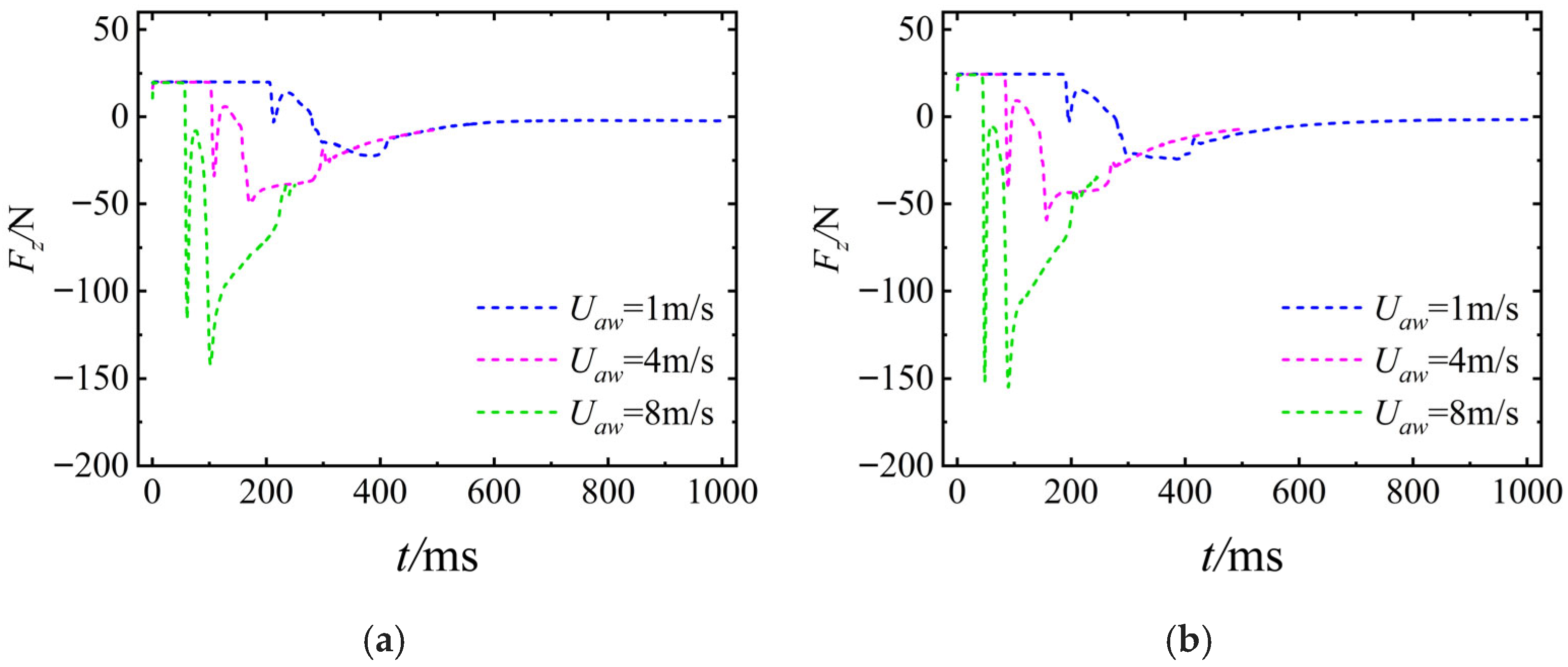
5.1.5. Hydrodynamic Force
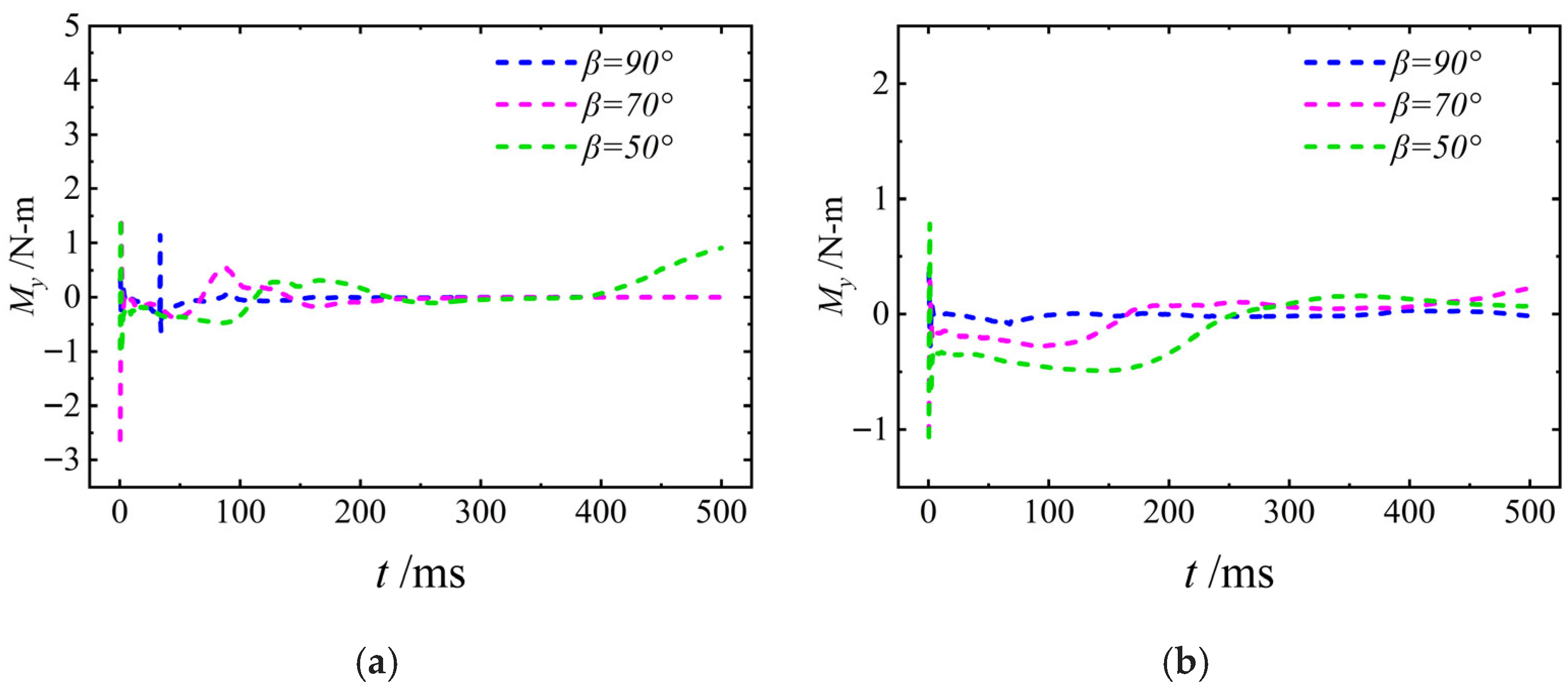
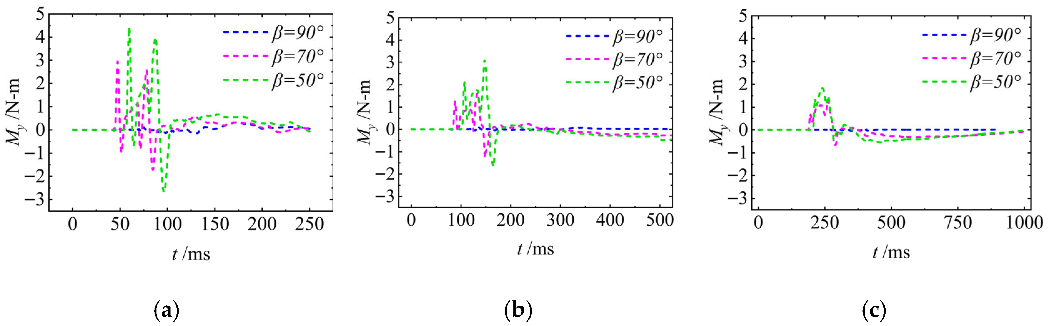
5.1.6. Hydrodynamic Moment
5.2. The Influence of the Entry Speed on the UAUV’s Water-Entry Process
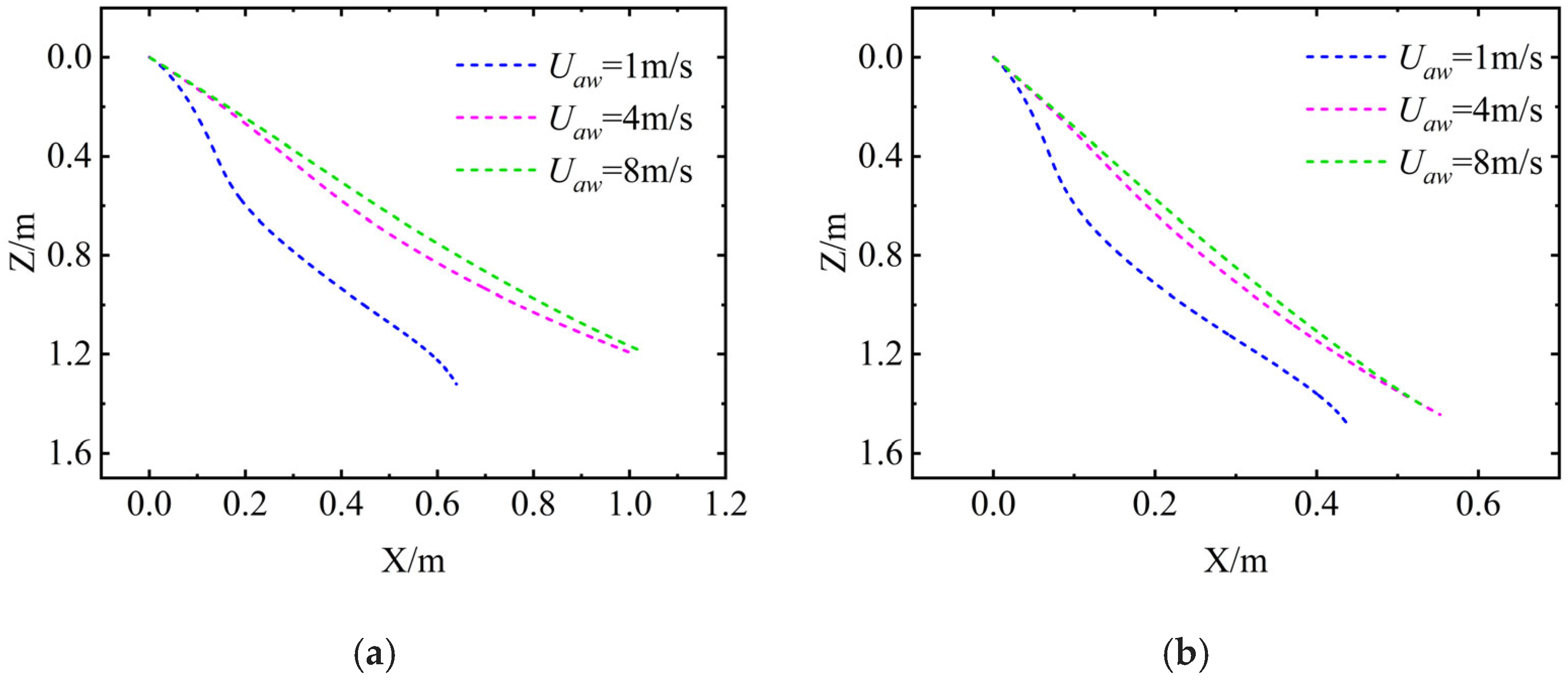
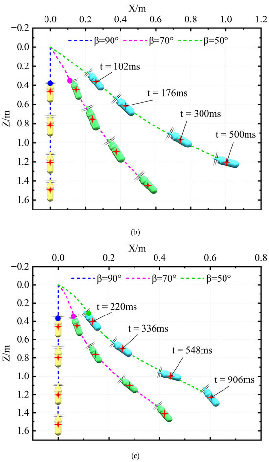
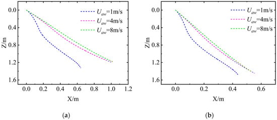
5.2.1. Motion Trajectory
5.2.2. Attack Angle
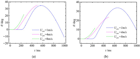
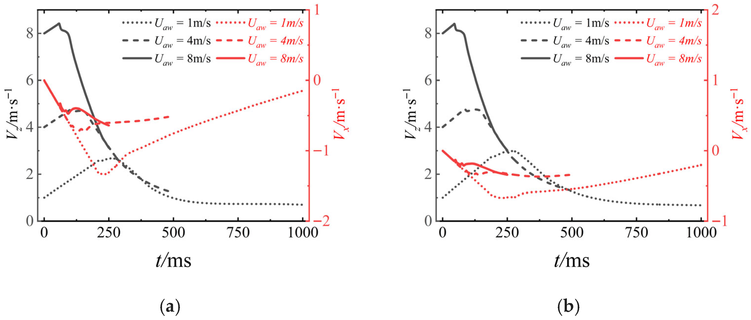
5.2.3. Motion Velocity
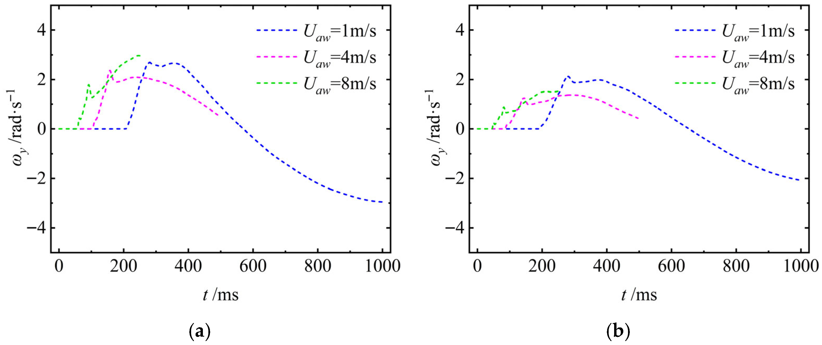
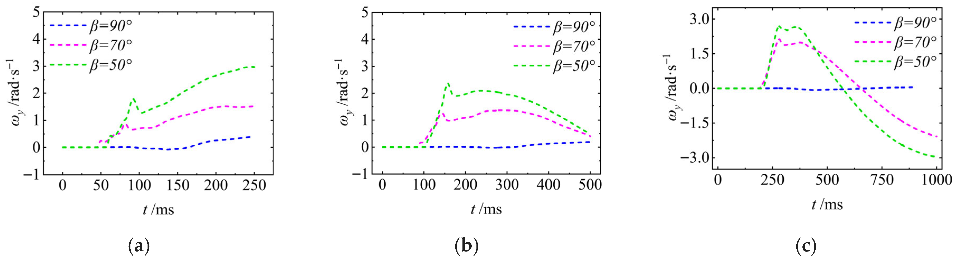
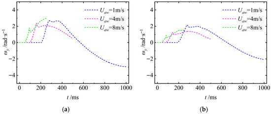
5.2.4. Angular Velocity
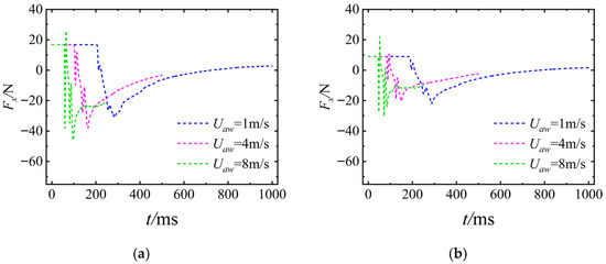
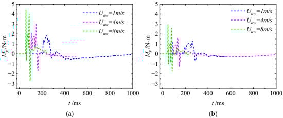
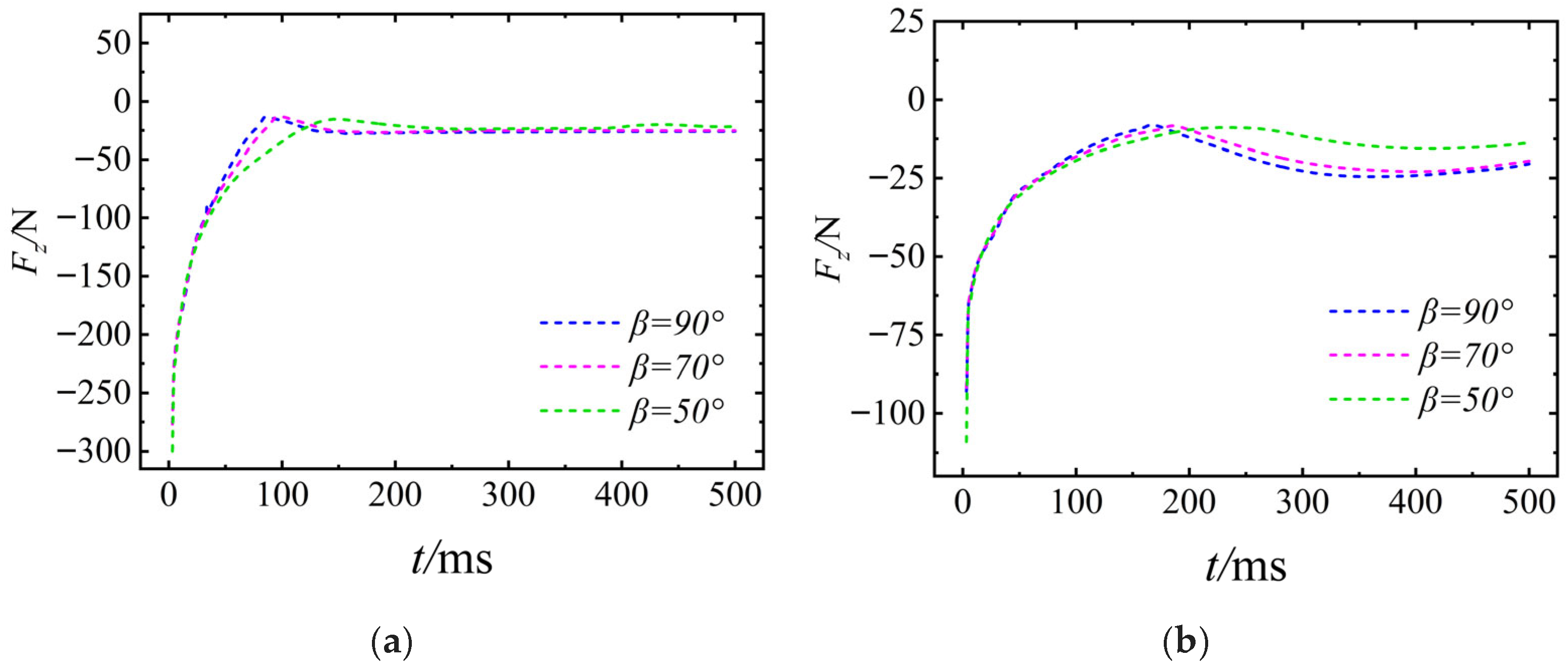
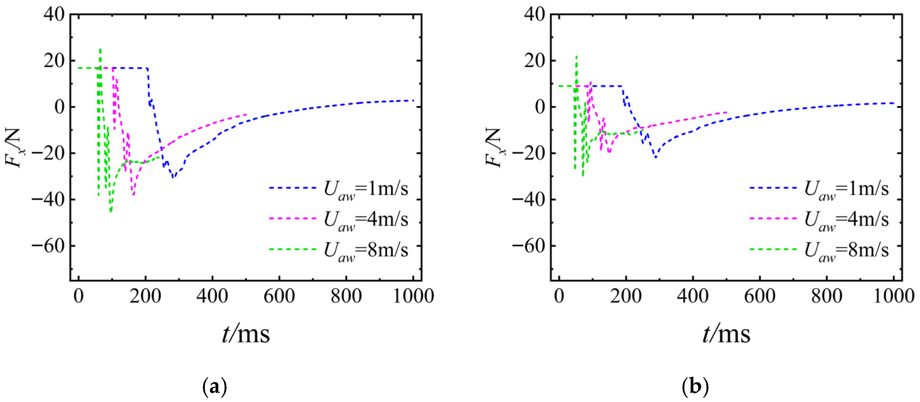
5.2.5. Hydrodynamic Force
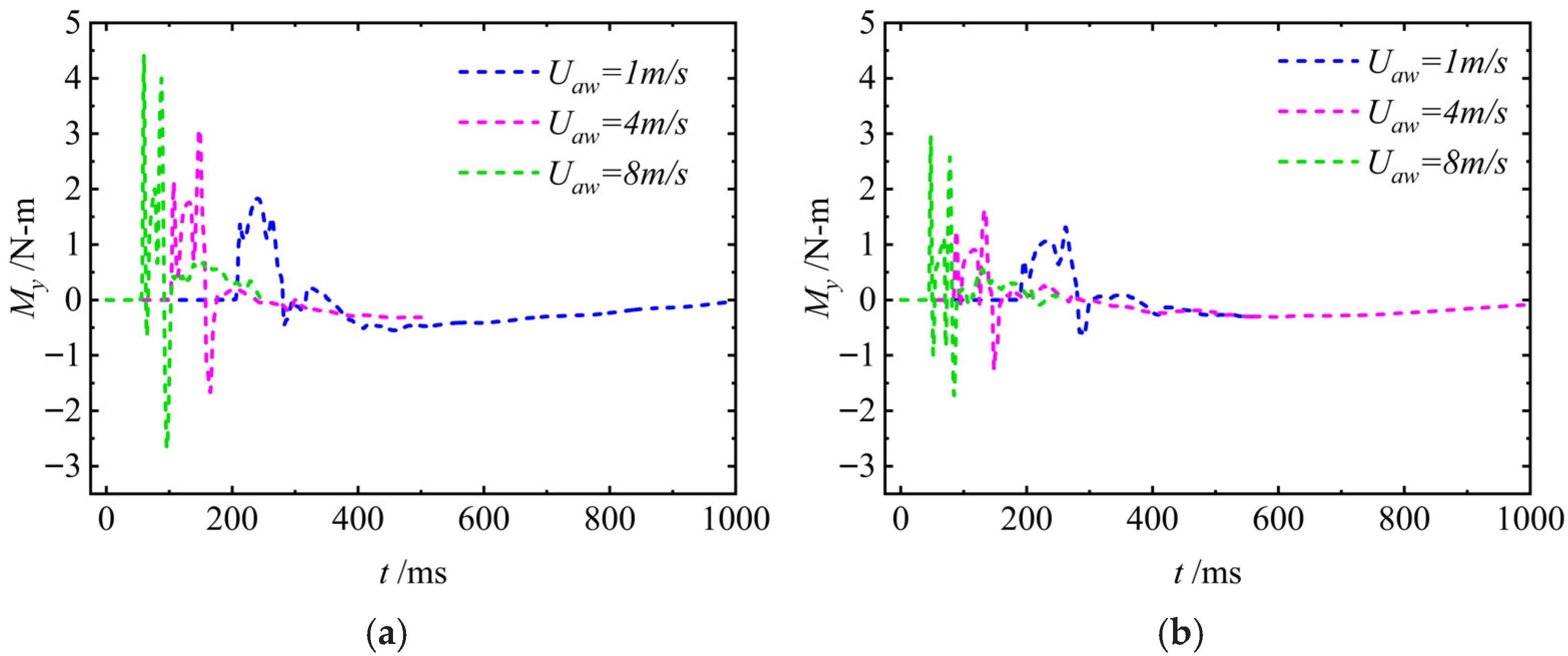
5.2.6. Hydrodynamic Moment
5.3. Cavity Evolution and Jet Formation
5.4. Pressure Contours
6. Analysis of the Process of the UAUV Entering the Air from the Water
6.1. The Influence of the Entry Angle on the UAUV’s Water-Exit Process
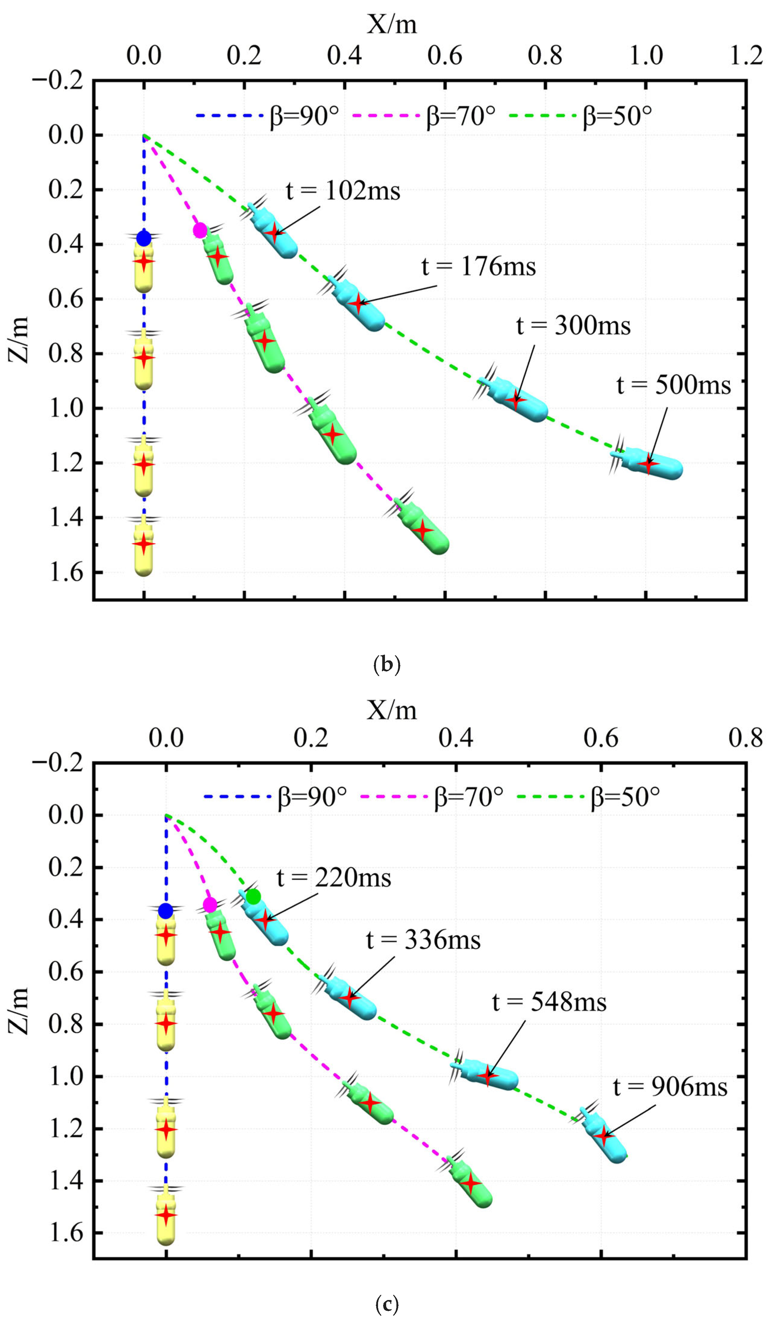
6.1.1. Motion Trajectory
6.1.2. Attack Angle
6.1.3. Motion Velocity
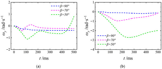
6.1.4. Angular Velocity
6.1.5. Hydrodynamic Force
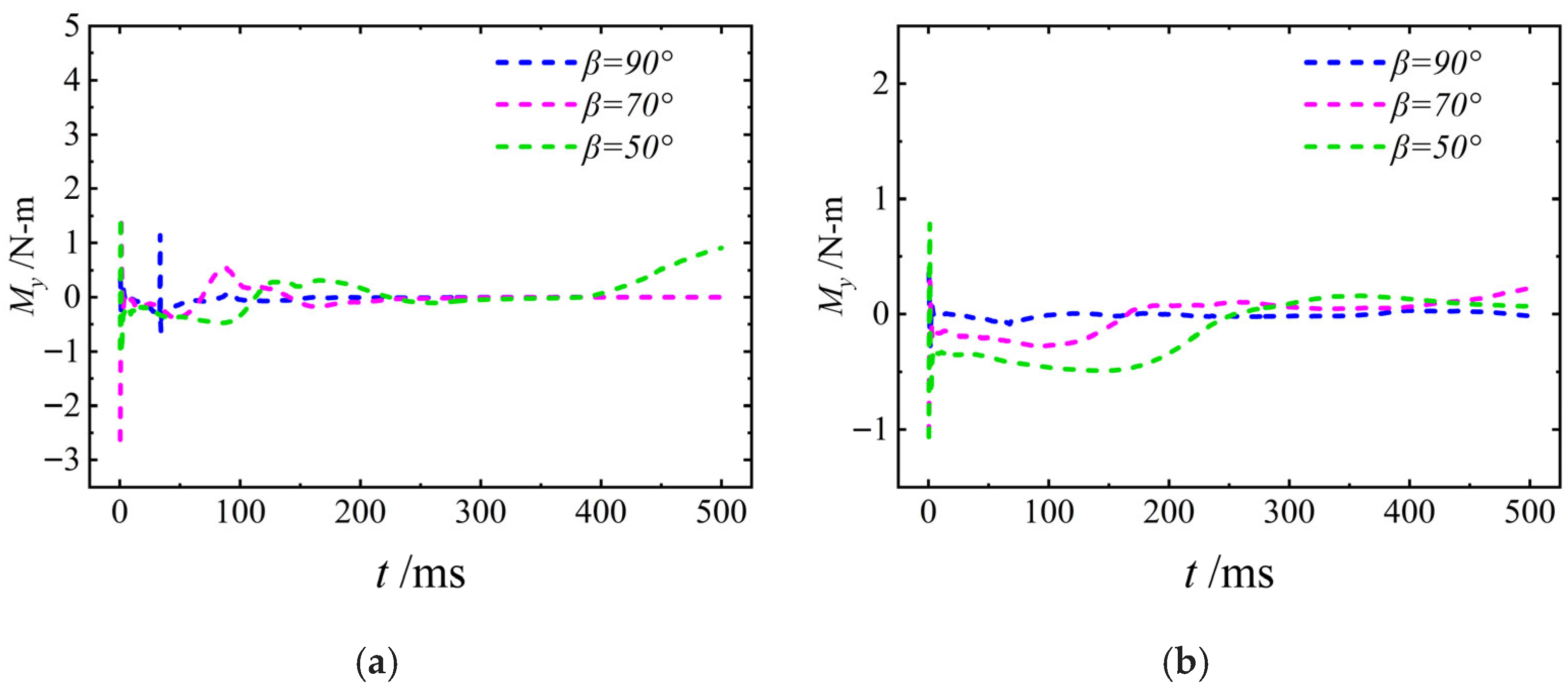
6.1.6. Hydrodynamic Moment
6.2. Cavity Evolution and Jet Formation
6.3. Pressure Contours
7. Conclusions
Author Contributions
Funding
Data Availability Statement
Conflicts of Interest
References
- Huang, T.; Lei, Q.; Guo, S.; Li, C.; Ma, G.; Sun, H.; Peng, S. YingLong-I: A Hybrid Aerial Underwater Vehicle Using Integrated Coaxial Counter-Rotating Propulsion. IEEE Robot. Autom. Lett. 2025, 10, 9352–9359. [Google Scholar] [CrossRef]
- Li, C.; Guo, S. Characteristic evaluation via multi-sensor information fusion strategy for spherical underwater robots. Inf. Fusion 2023, 95, 199–214. [Google Scholar] [CrossRef]
- Li, A.; Guo, S.; Li, C. An Improved Motion Strategy with Uncertainty Perception for the Underwater Robot Based on Thrust Allocation Model. IEEE Robot. Autom. Lett. 2025, 10, 64–71. [Google Scholar] [CrossRef]
- Lu, D.; Xiong, C.; Zhou, H.; Lyu, C.; Hu, R.; Yu, C.; Zeng, Z.; Lian, L. Design, fabrication, and characterization of a multimodal hybrid aerial underwater vehicle. Ocean Eng. 2020, 219, 108324. [Google Scholar] [CrossRef]
- Wagter, C.; Ruijsink, R.; Smeur, E.; Hecke, K.; Tienen, F.; Horst, E.; Remes, B. Design, control, and visual navigation of the DelftaCopter VTOL tail-sitter UAV. J. Field Robot. 2018, 35, 937–960. [Google Scholar] [CrossRef]
- Kimball, P.; Clark, B.; Scully, M.; Richmond, K.; Flesher, C.; Lindzey, L.; Harman, J.; Huffstutler, K.; Lawrence, J.; Lelievre, S.; et al. The ARTEMIS under-ice AUV docking system. J. Field Robot. 2018, 35, 299–308. [Google Scholar] [CrossRef]
- Lyu, C.; Lu, D.; Xiong, C.; Hu, R.; Jin, Y.; Wang, J.; Zeng, Z.; Lian, L. Toward a gliding hybrid aerial underwater vehicle: Design, fabrication, and experiments. J. Field Robot. 2022, 39, 543–556. [Google Scholar] [CrossRef]
- William, S.; Warren, W.; Mark, A.; Matthew, B.; Kara, P. Dynamic Modeling of Passively Draining Structures for Aerial–Aquatic Unmanned Vehicles. IEEE J. Ocean. Eng. 2020, 45, 840–850. [Google Scholar]
- Kollmorgen. Sea Sentry Organic Submarine Launched UAV; Kollmorgen Corporation: Radford, VA, USA, 2009. [Google Scholar]
- Weisshaar, T. Morphing UAUV systems: Historical perspectives and future challenges. J. UAUV 2013, 50, 337–353. [Google Scholar]
- Eubank, R.; Atkins, E. Autonomous Guidance and Control of the Flying Fish Ocean Surveillance Platform; American Institute of Aeronautics and Astronautics: Reston, VA, USA, 2009. [Google Scholar]
- Liang, J.; Yao, G.; Wang, T.; Yang, X.; Zhao, W.; Song, G.; Zhang, Y. Wing load investigation of the plunge-diving locomotion of a gannet Morus inspired submersible UAUV. Sci. China (Technol. Sci.) 2014, 57, 156–168. [Google Scholar]
- Wang, T.; Yang, X.; Liang, J.; Yao, G.; Zhao, W. CFD based investigation on the impact acceleration when a gannet impacts with water during plunge diving. Bioinspir. Biomim. 2013, 8, 036006. [Google Scholar] [CrossRef]
- Stewart, W.; Weisler, W.; MacLeod, M.; Powers, T.; Defreitas, A.; Gritter, R.; Anderson, M.; Peters, K.; Gopalarathnam, A.; Bryant, M. Design and demonstration of a seabird-inspired fixed-wing hybrid UAV-UUV system. Bioinspir. Biomim. 2018, 13, 056013. [Google Scholar] [CrossRef]
- Sun, Y.; Liu, X.; Cao, K.; Shen, H.; Li, Q.; Chen, G.; Xi, J.; Ji, A. Design and Theoretical Research on Aerial-Aquatic Vehicles: A Review. J. Bionic Eng. 2023, 6, 2512–2541. [Google Scholar] [CrossRef]
- Kova, M.; Siddall, R. Launching the AquaMAV: Bioinspired design for aerial–aquatic robotic platforms. Bioinspir. Biomim. 2014, 9, 031001. [Google Scholar]
- Beber, I.; Hazard, S.; Puerto, D.; Ernesto, H. Spatial ecology and philopatric tendencies of whitespotted eagle ray, Aetobatus narinari, in Cozumel, Mexico. Environ. Biol. Fishes 2025, 108, 591–609. [Google Scholar] [CrossRef]
- Li, Z.; Zhang, W.; Huang, X.; Ye, X.; Chen, Y.; Jiang, Q. Water-exit dynamics and system identification for a hybrid aerial underwater vehicle. Eng. Appl. Comput. Fluid Mech. 2025, 19, 1994–2060. [Google Scholar] [CrossRef]
- Muhammed, C.; Adib, A.; Kabita, A.; Damian, G. A hybrid method based on logic predictive controller for flexible hybrid microgrid with plug-and-play capabilities. Appl. Energy 2024, 359, 122752. [Google Scholar]
- Zhou, H.; Wei, Z.; Hu, W. Hydrodynamic performance and maneuverability design for a compound eVTOL configuration based unmanned aerial underwater vehicle. Ocean Eng. 2025, 319, 120210. [Google Scholar] [CrossRef]
- Da, R.; Evald, P.; Drews, P.; Neto, A.; Horn, A.; Azzolin, R.; Botelho, S. A Comparative Study on Sigma-Point Kalman Filters for Trajectory Estimation of Hybrid Aerial-Aquatic Vehicles. In Proceedings of the IEEE International Conference on Intelligent Robots and Systems, Madrid, Spain, 1–5 October 2018; pp. 7460–7465. [Google Scholar]
- Lu, D.; Xiong, C.; Lyu, B.Z.; Zeng, Z.; Lian, L. Multi-mode hybrid aerial underwater vehicle with extended endurance. In Proceedings of the 2018 Oceans—MTS/IEEE Kobe Techno-Oceans, OTO, Kobe, Japan, 28–31 May 2018; pp. 1–7. [Google Scholar]
- Liu, X.; Dou, M.; Yan, R.; Huang, D.; Gao, S.; Wang, B.; Cui, J.; Ren, Q.; Dou, L.; Gao, Z.; et al. TJ-FlyingFish: An Unmanned Morphable Aerial-Aquatic Vehicle System. Unmanned Syst. 2024, 12, 409–428. [Google Scholar] [CrossRef]
- Yao, G.; Li, Y.; Zhang, H.; Jiang, Y.; Wang, T.; Sun, F.; Yang, X. Review of hybrid aquatic-aerial vehicle (HAAV): Classifications, current status, applications, challenges and technology perspectives. Prog. Aerosp. Sci. 2023, 139, 100902. [Google Scholar] [CrossRef]
- Jin, Y.; Zeng, Z.; Lian, L. Nezha-SeaDart: A tail-sitting fixed-wing vertical takeoff and landing hybrid aerial underwater vehicle. J. Field Robot. 2025, 42, 137–152. [Google Scholar] [CrossRef]
- Yu, H.; Ben, M. Survey on the Development of Aerial–Aquatic Hybrid Vehicles. Unmanned Syst. 2021, 9, 263–282. [Google Scholar]
- Lock, R.; Burgess, S.; Vaidyanathan, R. Multi-modal locomotion: From animal to application. Bioinspir. Biomim. 2014, 9, 011001. [Google Scholar] [CrossRef]
- Xu, T.; Luo, Y.; Hou, Z.; Huang, Q.; Pan, G. Hydrodynamics of jet-flapping combinatorial propulsion in a squid-like swimmer: A study on different coordination modes. Phys. Fluids 2025, 37, 061909. [Google Scholar] [CrossRef]
- Eubank, R.; Bradley, J.; Atkins, E. Energy-aware multiflight planning for an unattended seaplane: Flying fish. J. Aerosp. Inf. Syst. 2017, 14, 73–91. [Google Scholar] [CrossRef]
- Dario, F.; Robert, J. Science, technology and the future of small autonomous drones. Nature 2015, 521, 460–466. [Google Scholar] [CrossRef]
- Yang, X.; Chen, Y.; Chang, L.; Ariel, A.; Nestor, O. Bee+: A 95-mg Four-Winged Insect-Scale Flying Robot Driven by Twinned Unimorph Actuators. IEEE Robot. Autom. Lett. 2019, 4, 4270–4277. [Google Scholar] [CrossRef]
- Dimitris, P.; George, K.; Spyros, V.; Katerina, M.; Pantelis, V.; Diego, G. A Novel Drone Design Based on a Reconfigurable Unmanned Aerial Vehicle for Wildfire Management. Drones 2024, 8, 203. [Google Scholar] [CrossRef]
- Wei, J.; Sha, Y.; Hu, X.; Yao, J.; Chen, Y. Aerodynamic Numerical Simulation Analysis of Water–Air Two-Phase Flow in Trans-Medium UAUV. Drones 2022, 6, 236. [Google Scholar] [CrossRef]
- Wang, S.; Guedes, S. Numerical study on the water impact of 3D bodies by an explicit finite element method. Ocean Eng. 2014, 78, 73–88. [Google Scholar] [CrossRef]
- Jiang, C.; Shuai, Z.; Zhang, X.; Li, W.; Li, F. Numerical study on the transient behavior of water-entry supercavitating flow around a cylindrical projectile influenced by turbulent drag-reducing additives. Appl. Therm. Eng. 2016, 104, 450–460. [Google Scholar] [CrossRef]
- Ma, Z.; Qian, L.; Marti’nez-Ferrer, P.; Causon, D.; Mingham, C.; Bai, W. An overset mesh based multiphase flow solver for water entry problems. Comput. Fluids 2018, 172, 689–705. [Google Scholar] [CrossRef]
- Derakhshanian, M.; Haghdel, M.; Alishahi, M.; Haghdel, A. Experimental and numerical investigation for a reliable simulation tool for oblique water entry problems. Ocean Eng. 2018, 160, 231–243. [Google Scholar] [CrossRef]
- Peng, W.; Wei, Q. Improved prediction of 3-D water entry with a CIP method and parallel computing. Ocean Eng. 2018, 164, 426–442. [Google Scholar] [CrossRef]
- Sun, P.; Zhang, A.; Salvatore, M.; Furen, M. An accurate and efficient SPH modeling of the water entry of circular cylinders. Appl. Ocean Res. 2018, 72, 60–75. [Google Scholar] [CrossRef]
- Namkoong, K.; Choi, H.; Yoo, J. Numerical Analysis of Two-Dimensional Motion of a Freely Falling Circular Cylinder in an Infinite Fluid. Trans. Korean Soc. Mech. Eng. B 2004, 28, 713–725. [Google Scholar] [CrossRef]
- Madjid, A.; Navid, N.; Pouya, M.; Araz, T. Numerical simulation of vortex-induced vibration of a smooth circular cylinder at the subcritical regime. Proc. Inst. Mech. Eng. Part M J. Eng. Marit. Environ. 2022, 236, 916–937. [Google Scholar]
- Xiang, G.; Wang, S.; Soares, C. Study on the motion of a freely falling horizontal cylinder into water using OpenFOAM. Ocean Eng. 2020, 196, 106811. [Google Scholar] [CrossRef]
- Menter, F.R. A comparison of some recent eddy-viscosity turbulence models. J. Fluids Eng. Trans. ASME 1996, 118, 514–519. [Google Scholar] [CrossRef]
- Zhang, G.; Wang, J.; Feng, Y.; Jin, H.; Ge, Q.; Xu, X.; Li, J. Experimental and numerical investigation on the hydrodynamic performance of an amphibious vehicle under the interaction of traveling mechanism mudguard and waterjet propulsor duct. Ocean Eng. 2025, 340, 122426. [Google Scholar] [CrossRef]
- Feng, Y.; Zhang, G.; Wang, J.; Zhang, Z.; Xu, X. Numerical investigation of the hydrodynamic characteristics of a light high-speed amphibious vehicle in still water under oblique inflow conditions. Phys. Fluids 2025, 37, 047150. [Google Scholar] [CrossRef]
- Lyu, X.; Wei, Z.; Tang, H.; New, T.; Li, H. On the motion of a falling circular cylinder in flows after water entry. In Proceedings of the International conference on experimental mechanics, Hong Kong, China, 7–9 January 2015; p. 9302. [Google Scholar]









































| Main Parameters | Symbol | Value |
|---|---|---|
| Length | L | 0.376 m |
| Diameter | D | 0.118 m |
| Micro-diameter | d | 0.107 m |
| Diameter of propeller | DP | 0.228 m |
| Displacement | ▽ | 0.003 m3 |
| Grid Type | Far-Field Domain (×106) | Overset Domain (×106) | Grid Quantity (×106) |
|---|---|---|---|
| Finer | 10.463 | 1.123 | 11.586 |
| Fine | 6.056 | 0.649 | 6.705 |
| Medium | 3.509 | 0.376 | 3.885 |
| Coarse | 2.03 | 0.218 | 2.248 |
| Coarser | 1.175 × 106 | 0.126 × 106 | 1.301 × 106 |
Disclaimer/Publisher’s Note: The statements, opinions and data contained in all publications are solely those of the individual author(s) and contributor(s) and not of MDPI and/or the editor(s). MDPI and/or the editor(s) disclaim responsibility for any injury to people or property resulting from any ideas, methods, instructions or products referred to in the content. |
© 2025 by the authors. Licensee MDPI, Basel, Switzerland. This article is an open access article distributed under the terms and conditions of the Creative Commons Attribution (CC BY) license (https://creativecommons.org/licenses/by/4.0/).
Share and Cite
Wang, J.; Feng, Y.; Zhang, G.; Ge, Q.; Jin, H.; Zhang, Z. Structural Design of an Unmanned Aerial Underwater Vehicle with Coaxial Twin Propellers and the Numerical Simulation of the Cross-Domain Characteristics. Drones 2025, 9, 766. https://doi.org/10.3390/drones9110766
Wang J, Feng Y, Zhang G, Ge Q, Jin H, Zhang Z. Structural Design of an Unmanned Aerial Underwater Vehicle with Coaxial Twin Propellers and the Numerical Simulation of the Cross-Domain Characteristics. Drones. 2025; 9(11):766. https://doi.org/10.3390/drones9110766
Chicago/Turabian StyleWang, Jiancheng, Yikun Feng, Guoqing Zhang, Qiqian Ge, Haobin Jin, and Zhewei Zhang. 2025. "Structural Design of an Unmanned Aerial Underwater Vehicle with Coaxial Twin Propellers and the Numerical Simulation of the Cross-Domain Characteristics" Drones 9, no. 11: 766. https://doi.org/10.3390/drones9110766
APA StyleWang, J., Feng, Y., Zhang, G., Ge, Q., Jin, H., & Zhang, Z. (2025). Structural Design of an Unmanned Aerial Underwater Vehicle with Coaxial Twin Propellers and the Numerical Simulation of the Cross-Domain Characteristics. Drones, 9(11), 766. https://doi.org/10.3390/drones9110766
