Next Article in Journal
How to Enhance Safety of Small Unmanned Aircraft Systems Operations in National Airspace Systems
Previous Article in Journal
Parametric Analysis of Landing Capacity for UAV Fleet Operations with Specific Airspace Structures and Rule-Based Constraints
 
 
Font Type:
Arial Georgia Verdana
Font Size:
Aa Aa Aa
Line Spacing:
Column Width:
Background:
Article

Misalignment Tolerance Improvement of a Wireless Power Supply System for Drones Based on Transmitter Design with Multiple Annular-Sector-Shaped Coils

1
School of Electrical and Power Engineering, Hohai University, Nanjing 210024, China
2
Extra-High Voltage Branch, State Grid Jiangsu Electric Power Co., Ltd., Nanjing 211102, China
*
Author to whom correspondence should be addressed.
Drones 2024, 8(12), 773; https://doi.org/10.3390/drones8120773
Submission received: 20 November 2024 / Revised: 17 December 2024 / Accepted: 18 December 2024 / Published: 19 December 2024

Abstract

The application of wireless power transfer (WPT) technology in power replenishment for drones can help to solve problems such as the frequent manual plugging and unplugging of cables. A wireless power replenishment system for drones based on the transmitter design with multiple annular-sector-shaped coils is proposed in this paper, which improves the misalignment tolerance of couplers, enlarges the drone landing area, and reduces the control requirements of drone landing accuracy further. The general analysis model of the proposed transmitter and the numerical calculation method for mutual inductance between energy transceivers are established. Then, the effect of multiple parameters of the proposed transmitter on the variation in mutual inductance is studied. The misalignment tolerance improvement strategy based on the optimization of multiple parameters of the transmitter is investigated. Finally, an experimental prototype of a wireless power replenishment system for drones based on LCC-S compensation topology is designed to validate the theoretical research. Under the same maximum outer radius of 0.20 m and the same mutual inductance fluctuation rate of 5%, compared to single circular transmitter mode, the maximum offset distance of all directions (360 degrees) in the x-y plane is increased from 0.08 m to 0.12 m. As the receiving side position changes, the maximum receiving power and efficiency are 141.07 W and 93.79%, respectively. At the maximum offset position of 0.12 m, the received power and efficiency are still 132.13 W and 91.25%, respectively.

1. Introduction

In recent years, drones have shown broad application prospects in fields such as aerial photography, agriculture, express transportation, rescue, inspection, and construction [1,2,3]. Considering sustainable development and environmental protection, currently, most drones use batteries as their energy source. Due to the limitation of battery energy density, the electric energy carried by drones is limited. They need to frequently replenish their electrical energy to meet operational requirements [4,5,6]. At present, contact charging methods such as manually plugging and unplugging cables or replacing batteries are commonly used to achieve power replenishment for drones. These methods heavily rely on the participation of operators and make achieving complete unmanned operation more complex. Although there are a few methods of using automated machinery to complete drone charging docking operations, such solutions require high docking accuracy and high costs. In addition, exposed contacts are prone to corrosion and difficult to adapt to the all-weather outdoor operations of drones.
Unlike the aforementioned contact power replenishment methods, wireless power transfer (WPT) technology does not rely on cable connections to achieve energy transmission through the air [7]. This technology has the advantages of no contact exposure and wear, high safety, no need for frequent manual insertion and removal, and a high level of unmanned automation [8,9,10]. Currently, it has great application value in fields such as electric vehicles, smart grids, consumer electronics, underwater equipment, and rotating mechanisms [11,12,13]. This technology provides a new approach for the power replenishment of drones. It is worth noting that the further integrated design of wireless power replenishment systems for drones and wireless communications networks [14] can promote the compact integration design of energy supply and information transmission for drones. In the future, it will be helpful to realize the reuse of some onboard components of drones, reduce the weight of drones, and improve their payload capacity and endurance.
Based on existing research on wireless power replenishment for drones, the most widely used WPT technology is based on magnetic field coupling, which achieves non-contact power transfer through high-frequency magnetic field coupling between transceivers [15,16]. It is worth noting that the performance of magnetic coupling WPT systems is often affected by the misalignment of couplers. In practical applications, due to the uncertainty of the receiving position of movable loads (such as drones, robots, etc.), misalignment between the transmitting and receiving coils often occurs. The coupling between energy couplers changes, which further affects the stability of load voltage, receiving power, and system efficiency [17,18]. Establishing how to solve the problem of system performance fluctuations caused by receiver offsets or displacement is one of the research hotspots in the field of WPT [19].
In response to the above issues, existing research has explored various aspects such as the control of power electronic devices at the transmitting and/or receiving sides, topology design and parameter optimization of compensation circuits, system topology reconstruction, and the optimization design of magnetic couplers. A WPT system with two transmitters, two receivers, and two repeaters using eight coils is designed to enhance the misalignment tolerance in [20]. A multicoil design method on the receiving side is proposed to enhance the adaptability to coupling fluctuations of a WPT system in [21]. In [22], a dynamic wireless charging system based on an LCC compensation circuit is introduced, which achieves good lateral misalignment tolerance. A circuit control strategy of dual sides is adopted to achieve system stability for large-scale coupling factor changes in [23]. The cascaded topology and control method for two-phase receivers are proposed to solve the output fluctuation problem caused by receiver movement in a dynamic WPT system in [24].
For wireless power replenishment systems for drones, magnetic coupler optimization is an intuitive method to improve misalignment tolerance performance. Common WPT systems often use circular or square disk structures at the transmitter and receiver [25,26]. For systems with circular coils on both sides, the maximum mutual inductance occurs at the aligned position. As the positional misalignment increases, the mutual inductance decays rapidly. Some studies applied new magnetic couplers with structures such as DD, DDQ, and TP, which have shown good performance in improving misalignment tolerance in the axial directions [27,28,29].
Circular planar spiral coils, due to their simple and relatively lightweight design, are suitable for drones to achieve lightweight energy pickup. At the same time, if the transmitter adopts a single planar spiral structure, the change in the position of the receiving side will cause strong coupling variation between the receiving and transmitting sides. Under this circumstance, to achieve stable wireless power replenishment, extra-frequent circuit regulation on the transmitting side or on the receiving side is needed. Existing research mostly focuses on optimizing the structure of the receiver side or both transceiver sides. However, the complex coil design at the receiving end will lead to an increase in weight and volume of the energy pickup device, which is a problem that needs to be considered for mobile devices such as drones and robots.
Compared to the limited space conditions of the drone side, the transmitter is located on the ground, making the optimized design more operable [30]. It is of great significance to study the method of improving coupling stability based on the optimization design of the transmitting coil structure under the premise of adopting a simple circular disk coil design on the receiving side. By designing the transmitter to achieve a wider range of misalignment stability, on the one hand, it can enlarge the drone landing area and reduce the operational requirements for drone landing accuracy. On the other hand, it can reduce the difficulty of regulating the front-end or back-end power electronic devices.
The main contributions of this paper are summarized as follows:
(1)
A wireless power replenishment system for drones based on a transmitter design with multiple annular-sector-shaped coils is proposed. The general analysis model of the proposed transmitter and the numerical calculation method for mutual inductance between transceivers under 360-degree all-direction position variation in the x-y plane are established.
(2)
Detailed analysis is conducted on the impact of multiple parameters of the proposed transmitter on the mutual inductance between transceivers of the wireless power replenishment system for drones. The misalignment tolerance improvement strategy based on the optimization of multiple parameters of the transmitter is proposed to enlarge the drone landing area and reduce the operational requirements for drone landing accuracy.
(3)
To validate the theoretical research, an experimental prototype of the wireless power replenishment system for drones based on LCC-S compensation topology is established. Compared to single circular transmitter mode, the maximum offset distance in all directions (360 degrees) in the x-y plane is increased by 50% (from 0.08 m to 0.12 m), while the maximum outer radius is 0.20 m and the mutual inductance fluctuation rate is 5%. The maximum receiving power and efficiency are 141.07 W and 93.79%, respectively. The enhancement of misalignment tolerance enlarges the drone landing area of stable wireless power replenishment for drones.
The remainder of this paper is organized as follows. Section 2 presents the new wireless power replenishment system for drones, the transmitter design with multiple annular-sector-shaped coils, the general analysis model, and the numerical calculation method for the mutual inductance of energy transceivers. In Section 3, the effect of multiple parameters on mutual inductance fluctuations is studied. The misalignment tolerance improvement strategy based on multiple parameters optimization is proposed to enlarge the stable receiving area of the drone landing and reduce the operational requirements for drone landing accuracy. The experimental results are shown in Section 4. The conclusions of this study are summarized in Section 5.

2. Wireless Power Replenishment System for Drones and Magnetic Couplers

2.1. Introduction of Wireless Power Replenishment System for Drones

The schematic diagram of the wireless power replenishment system for drones is shown in Figure 1. The energy source of the transmitting end is a DC power supply (obtained through rectification by the AC power grid or outdoor renewable energy generation combined with energy storage). The high-frequency inverter converts direct current into high-frequency alternating current. After going through the transmitter with a compensation circuit, a high-frequency magnetic field is generated. Energy is transferred through the magnetic field coupling between the transmitter and the receiver. The energy wirelessly received by the receiving coil is rectified and regulated to supplement the energy storage device of the drone. The controller on the drone measures the battery power status in real time and analyzes various factors through a comprehensive algorithm to determine whether power replenishment is needed. When it is deemed necessary to perform charging, the drone can land above the receiving coil of the wireless power replenishment system proposed in this paper and replenish its electrical energy.

2.2. Common Circular Energy Couplers and Mutual Inductance Analysis

The common circular magnetic energy couplers in wireless power replenishment systems for drones are shown in Figure 2. The outermost turn radii of the transmitting coil and the receiving coil are R0 and R3, respectively. In order to ensure that the system has a certain anti offset ability, they are usually designed so that R 0 > R 3 . The number of turns in the transceivers are N0 and N3. The interturn distances are d1 and d2. The vertical height is h.
The current passing through the ith turn loop lti of the transmitting coil is represented as Ip. According to Biot Savart’s law, the magnetic induction intensity generated by this loop at the microelement of the jth turn loop lrj of the receiving coil is represented as
B i j = μ 0 4 π l t i I p d l t i × D t i r j D t i r j 3
where μ 0 is the vacuum magnetic permeability. D t i r j is the spatial vector distance between the transmitting circuit element d l t i and the receiving circuit element d l r j .
The magnetic vector potential A i j and magnetic induction intensity B i j meet as
B i j = × A i j
The magnetic vector potential generated at d l r j by the ith turn loop lti of the transmitting coil can be expressed as
A i j = μ 0 I p 4 π l t i d l t i D t i r j
The mutual inductance magnetic flux between the current Ip generated in the ith turn loop lti of the transmitting coil and the jth turn loop lrj of the receiving coil can be expressed as
Ψ i j = l r j A i j · d l r j = μ 0 I p 4 π l r j l t i d l t i · d l r j D t i r j
The mutual inductance between the ith turn loop lti of the transmitting coil and the jth turn loop lrj of the receiving coil is
M i j = Ψ i j I p = μ 0 4 π l r j l t i d l t i · d l r j D t i r j
The mutual inductance between the transmitting coil with turns N0 and the receiving coil with turns N3 is expressed as
M 0 = i = 1 N 0 j = 1 N 3 M i j
Based on the aforementioned derivation, the variation characteristics of the mutual inductance of the wireless power replenishment system for drones with the position variation of the receiving coil are shown in Figure 3. As the receiving coil on the drone side moves radially, the mutual inductance of the transmitting and receiving coils shows a significant decrease trend with increasing radial misalignment. Different turn ratios of the transmitting and receiving coils also exhibit similar offset characteristics, as shown in Figure 4. The comparison of the mutual inductance characteristics of the transmitting and receiving coils under different radii is shown in Figure 5. Using a single circular disk coil as the transmitter and the receiver, as the position of the receiving coil changes (such as with the displacement of the drone landing point), the magnetic field coupling between the transmitting and receiving coils will produce significant fluctuations, which will have a significant impact on the transmission power and efficiency of the system.
During the variation in the radial displacement of the receiving coil center on the drone side within the range of [0, MTx], the maximum and minimum mutual inductance values are represented as Mmax and Mmin, respectively. In order to quantitatively analyze the fluctuation degree of mutual inductance with the variation in the receiving position, δ is adopted to represent the fluctuation rate of mutual inductance during the radial offset of the receiver on the drone side within the range of [0, MTx].
δ = M max M min M max + M min
In order to ensure the output stability of the wireless power replenishment system for drones when the position of the receiving coil deviates, a smaller δ is more conducive to reducing the difficulty of stabilization control in the system on the transmitting or receiving sides. When δ is constant, a larger MTx means better misalignment tolerance of the couplers. For example, when δ is set to 5%, the maximum allowed misalignment MTx is 0.08 m corresponding to the mutual inductance variation characteristics shown in Figure 3.
For the wireless power replenishment system for drones, the receiving coil is limited by installation space and its own weight on the drone side. Therefore, this research, from the perspective of transmitter design, seeks to enhance the misalignment tolerance and enlarge the stable wireless power replenishment for drones. As shown in Figure 5, as the radius of the transmitting coil increases, the flat area in the middle of the mutual inductance curve gradually increases. Although increasing the size of the transmitting coil can increase the stable area of mutual inductance, blindly increasing the size of the transmitting coil not only causes the system to occupy a large amount of space but is also uneconomical. Therefore, it is of great significance to study the optimization design of the transmitter to improve the misalignment tolerance under limited size.

2.3. Proposed Energy Transmitter with Multiple Annular-Sector-Shaped Coils

In order to improve the misalignment tolerance of the wireless power replenishment system for drones and reduce the operational requirements for the accuracy of the drone landing, a new transmitter combined with multiple annular-sector-shaped coils and a circular coil is proposed in this paper, as shown in Figure 6. The multiple annular-sector-shaped coils and the planar circular coil are connected in series at the ground side. The overall outer edge is circular. The number of multiple annular-sector-shaped coils is m. The annular-sector-shaped coil unit adopts a planar spiral structure, with an outermost turn size and arc radius of R11 and R12, respectively. The number of turns is N1. For the circular coil at the transmitting side, the outermost radius is R2 and the number of turns is N2. The distance between turns of the transmitting coil is d1. The corresponding vertex angle of the annular-sector-shaped coil unit is φ, and the corresponding angle of the annular-sector-shaped coil spacing is α. The receiver on the drone side adopts a commonly used circular coil structure. It has the characteristics of a simple design, the maximum enclosed area with the same amount of wire, and a light weight. The receiving coil is a planar spiral coil with an outer radius of R3, a number of turns of N3, and an interturn distance of d2. The vertical height between the transmitting coil (ground side) and the receiving coil (drone side) is h.

3. Characteristic Analysis and Misalignment Tolerance Improvement for the Drone Landing Position

3.1. Mutual Inductance Between the Proposed Transmitter and Receiver on the Drone Side

Figure 7 presents a schematic diagram of the actual winding of the annular-sector-shaped coil unit of the proposed transmitter for the wireless power replenishment system for drones. In order to analyze the mutual inductance variation characteristics between the proposed transmitter and receiver on the drone side, the actual winding of the coil unit can be approximately simplified as a closed annular sector combination. Through reasonable approximation equivalence, the complexity of subsequent mutual inductance calculations can be reduced. The schematic diagram of mutual inductance calculation between the proposed transmitter and the planar spiral receiver is shown in Figure 8.
As shown in Figure 8, similarly, the mutual inductance between the ith turn loop ltki of the kth annular-sector-shaped coil unit and the jth turn loop lrj of the receiving coil is
M k i j = Ψ k i j I p = μ 0 4 π l r j l t k i d l t k i · d l r j D t k i r j
The ith turn of the annular-sector-shaped coil can be decomposed into arc segments A i B i , C i D i and straight segments B i C i , D i A i .
According to Figure 8, the radius of the outer arc segment A i B i of the ith turn is
R 11 i = O A i = O B i = R 11 i 1 d 1
The radius of the inner arc segment A i B i of the ith turn is
R 12 i = O C i = O D i = R 12 + i 1 d 1
The y-direction coordinate of point A i is represented as
A y i = i 1 d 1
The angle between O A i and the x-axis is represented as
δ A i = arcsin A y i O A i = arcsin i 1 d 1 R 11 i 1 d 1
The x-direction coordinate of point A i is represented as
A x i = O A i cos δ A i
Calculate the expression for the angle between X i O and the x-axis as shown in Figure 8 using the same method.
δ X i X i O x = arcsin i 1 d 1 R 11 i 1 d 1 ,   X i = A i φ arcsin i 1 d 1 R 11 i 1 d 1 ,   X i = B i φ arcsin i 1 d 1 R 12 i 1 d 1 ,   X i = C i arcsin i 1 d 1 R 12 i 1 d 1 ,   X i = D i
Further obtain the coordinates of each key point
X x i = O X i cos δ X i X y i = O X i sin δ X i , X i = A i , B i , C i , D i
The receiver on the drone side adopts a planar spiral coil structure, which can be approximately equivalent to a closed circular coil cluster with decreasing radius, as shown in Figure 8. The central coordinates of the receiver on the drone side are represented as O r x , O r y , h . The radius of the jth loop of receiver on the drone side
R 3 j = R 3 + d 2 j 1
The mutual inductance between the arc segment A i B i and the jth loop of the drone receiver is represented as
M A i B i j = μ 0 4 π 0 2 π δ A i δ B i R 11 i R 3 j cos β γ Δ X 2 + Δ Y 2 + h 2 d β d γ Δ X = R 11 i cos β R 3 j cos γ O r x Δ Y = R 11 i sin β R 3 j sin γ O r y
The mutual inductance between the straight segment B i C i and the jth loop of the drone receiver is represented as
M B i C i j = μ 0 4 π 0 2 π 0 1 R 3 j sin γ C x i B x i + R 3 j cos γ C y i B y i Δ X 2 + Δ Y 2 + h 2 d x d γ Δ X = x C x i B x i + B x i R 3 j cos γ O r x Δ Y = x C y i B y i + B y i R 3 j sin γ O r y
The mutual inductance between the arc segment C i D i and the jth loop of the drone receiver is represented as
M C i D i j = μ 0 4 π 0 2 π δ C i δ D i R 12 i R 3 j cos β γ Δ X 2 + Δ Y 2 + h 2 d β d γ Δ X = R 12 i cos β R 3 j cos γ O r x Δ Y = R 12 i sin β R 3 j sin γ O r y
The mutual inductance between the straight segment D i A i and the jth loop of the drone receiver is represented as
M D i A i j = μ 0 4 π 0 2 π 0 1 R 3 j sin γ A x i D x i + R 3 j cos γ A y i D y i Δ X 2 + Δ Y 2 + h 2 d x d γ Δ X = x A x i D x i + D x i R 3 j cos γ O r x Δ Y = x A y i D y i + D y i R 3 j sin γ O r y
Therefore, Mkij can be expressed as the superposition of the mutual inductance between each line segment and the jth loop of the drone receiver
M k i j = M A i B i j + M B i C i j + M C i D i j + M D i A i j
The mutual inductance between the annular-sector-shaped coil unit and the receiving coil on the drone side is represented as
M k r = j = 1 N 3 i = 1 N 1 M k i j
According to Equations (5) and (6), the mutual inductance between the circular coil in the transmitter and the circular coil in the drone receiver can be expressed as
M r = i = 1 N 2 j = 1 N 3 M i j
The coils in the transmitter are connected in series. The mutual inductance between the proposed transmitter and the circular receiver on the drone side can be expressed as
M s u m = k = 1 m M k r + M r = k = 1 m j = 1 N 2 i = 1 N 1 M k i j + M r
The amount of wire used for winding the transmitting coil can be expressed as
L q s u m = m i = 1 N 1 φ 2 δ A i R 11 i + φ 2 δ D i R 12 i + 2 D i A i + i = 1 N 2 2 π R i
where D i A i = R 1 i cos δ A i R 2 i cos δ D i and R i = R 2 i 1 d 1 .
Based on the calculation and derivation of the mutual inductance between the transmitting coil and the circular receiving coil on the drone side mentioned above, under the same receiving parameters, the total mutual inductance between the transmitter and the receiver on the drone side is closely related to the multiple transmitting parameters. The drone receiver’s movement in relation to the commonly used circular planar spiral transmitter leads to significant fluctuations in system performance. In the following section, under the same limitation of the maximum outer radius of the transmitter, the effect of changes in key parameters of the annular-sector-shaped coil array on the total mutual inductance as the drone receiver position varies will be investigated.

3.2. Characteristic Analysis Under Different Parameters Varying with the Drone Receiver Position Changing

In order to consider the improvement effect of different numbers of annular-sector-shaped coils on the mutual inductance stability, for different numbers of annular-sector-shaped coils, the innermost and outermost radii of the annular-sector-shaped coils are set to be the same. The corresponding vertex angles of the annular-sector-shaped coil are evenly distributed according to the number of annular-sector-shaped coils. According to the calculation method of mutual inductance, the changes in the mutual inductance as drone receiver position varied corresponding to different numbers of annular-sector-shaped coils were calculated, as shown in Table 1. Overall, the annular-sector-shaped coil array has a significant effect on improving the mutual inductance stability between the proposed transmitting coil and the circular receiving coil on the drone side. There are m humps on the surface of the position-dependent characteristic of mutual inductance between m annular-sector-shaped coil arrays and the receiving coil on the drone side. As the number of annular-sector-shaped coils increases, the upper part of the mutual inductance curve becomes smoother, which is more conducive to improving the overall mutual inductance stability. According to Equation (25), as the number of annular-sector-shaped coils increases, the amount of wire used in the transmitting coil array also increases. Taking into account the above factors, the number of annular-sector-shaped coils in the wireless power replenishment system for drones was chosen to be four.
The annular-sector-shaped coil array involves multiple parameters such as the maximum outer radius, minimum inner radius, number of coil turns, and coil apex angle. The effect of these parameter changes on the mutual inductance characteristics with varying drone receiver position is investigated in this paper. During the radial movement of the drone receiver under different maximum outer radii of the annular-sector-shaped coil array, the changes in mutual inductance with varying drone receiver position between the annular-sector-shaped coil array and the receiving coil on the drone side are shown in Figure 9a. The changes in total mutual inductance with varying drone receiver position between the receiving and transmitting sides are shown in Figure 9b. As the outer radius of the annular-sector-shaped coil increases, the peak point of the annular-sector-shaped coil array becomes higher and further away from the central position. Under the same limit of the mutual inductance fluctuation rate, the larger the outer radius of the annular-sector-shaped coil, the greater the allowable lateral offset. The maximum radius of the annular-sector-shaped coil cannot exceed the maximum size of the limited overall transmitting end.
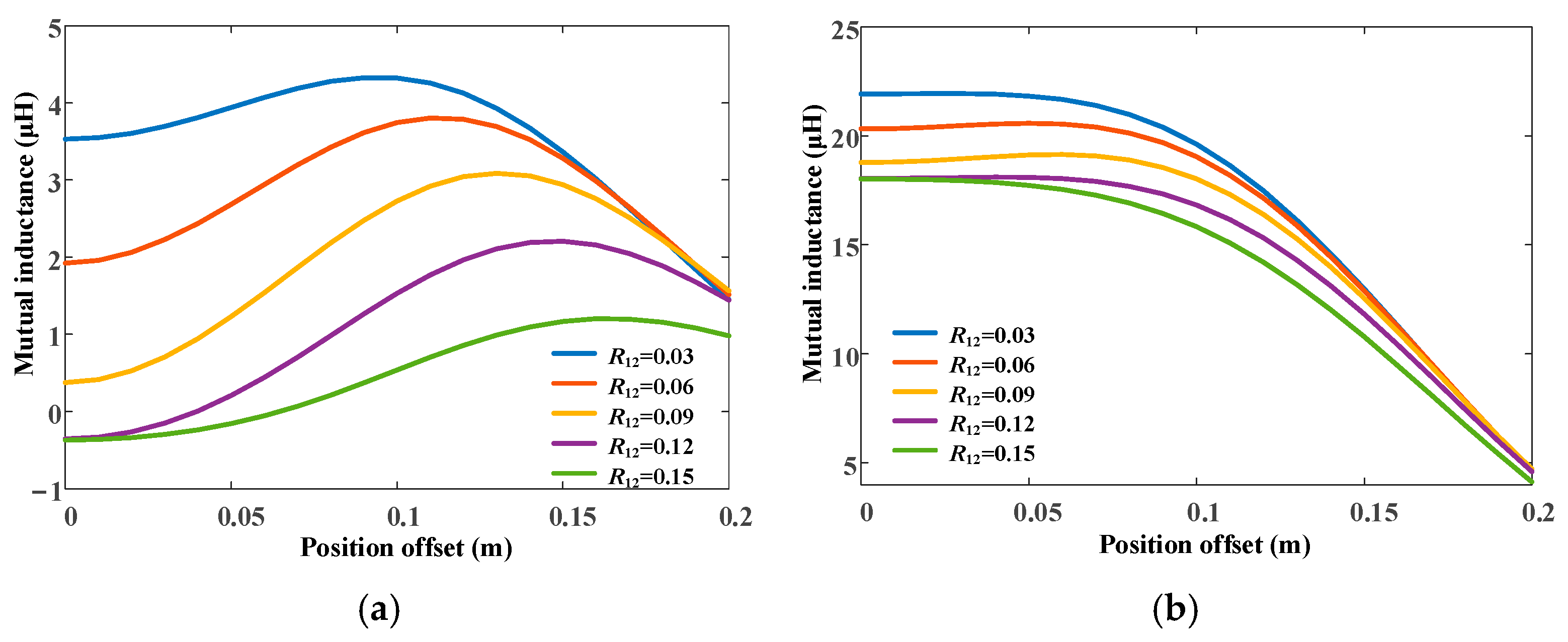
By changing the inner circle radius of the outermost turn of the annular-sector-shaped coil, the changes in mutual inductance with varying drone receiver position between the annular-sector-shaped coil array and the receiving coil were calculated as shown in Figure 10a. The changes in total mutual inductance with varying drone receiver position between the receiving and transmitting sides are shown in Figure 10b. As the inner radius of the annular-sector-shaped coil increases, the mutual inductance between the annular-sector-shaped coil array and the receiving coil on the drone side gradually decreases when the drone receiver is in the aligned position. Thus, the total mutual inductance between the transmitter and receiver on the drone side also gradually decreases. As the inner radius of the annular-sector-shaped coil increases, the peak point of the mutual inductance curve of the annular-sector-shaped coil array moves outward, but the value gradually decreases. Overall, the total mutual inductance characteristic curve between the transmitting and receiving sides with varying drone receiver position is affected by the radius of the inner turn of the annular-sector-shaped coil, corresponding to different maximum offset distances and mutual inductance at the aligned position.
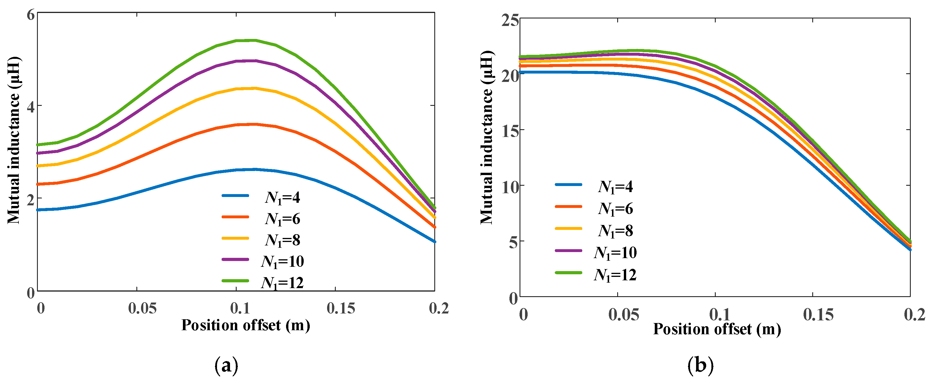
By changing the number of turns in the annular-sector-shaped coil and varying the position of the drone receiver, the mutual inductance variation characteristics between the annular-sector-shaped coil array and the receiving coil were calculated as shown in Figure 11a. The changes in total mutual inductance between the receiving and transmitting ends with varying drone receiver position are shown in Figure 11b. As the number of turns in the annular-sector-shaped coil increases, the mutual inductance between the annular-sector-shaped coil array and the receiving coil on the drone side gradually increases when the receiving coil is in the aligned position, and thus the total mutual inductance between the receiving and transmitting ends also gradually increases. As the number of turns in the annular-sector-shaped coil increases, the peak mutual inductance between the annular-sector-shaped coil array and the receiving coil on the drone side appears at almost the same position, and the maximum value gradually increases. Overall, the total mutual inductance characteristic curve between the transmitter and receiver with varying drone receiver position is also affected by the number of turns in the annular-sector-shaped coil, corresponding to different maximum offset distances and mutual inductance levels at the aligned position.
By changing the size of the apex angle of the annular-sector-shaped coil, as the position of the drone receiver changes, the mutual inductance variation characteristics between the annular-sector-shaped coil array and the receiving coil are calculated as shown in Figure 12a. The changes in total mutual inductance between the receiving and transmitting ends with varying drone receiver position are shown in Figure 12b. The total mutual inductance characteristic curve between the transmitter and receiver on the drone side is also affected by the size of the apex angle of the annular-sector-shaped coil, corresponding to different maximum offset distances and mutual inductance levels at the aligned position.
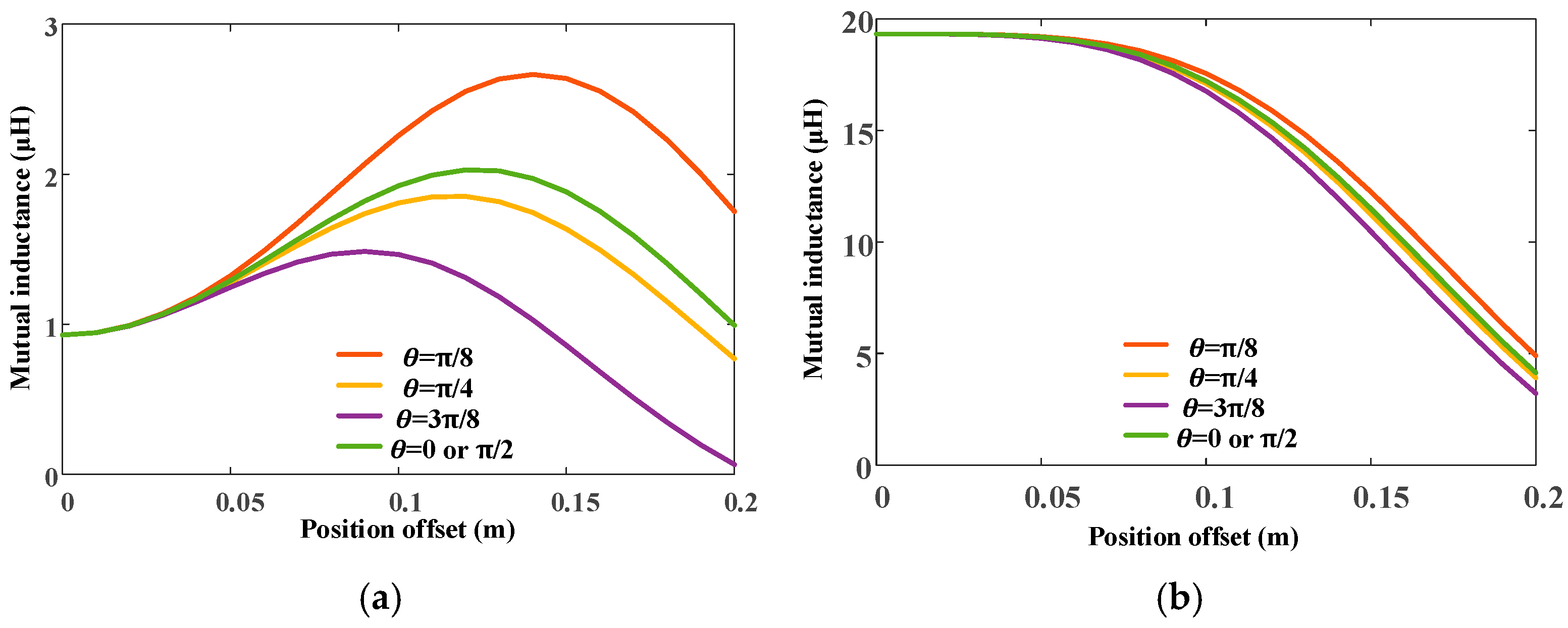
The above characteristic studies are conducted in the positive x-axis direction. It is worth noting that there are different mutual inductance variation characteristics with the drone receiver in different diameter directions. Considering the symmetry of the mutual inductance variation characteristics, the mutual inductance curve with varying drone receiver position is calculated by changing the movement angle θ within a quarter circle range, as shown in Figure 13. The apex angle of the annular-sector-shaped transmitting coil is π/4. As the radius of the receiving coil on the drone side changes with the angle in relation to the x-axis, the maximum mutual inductance between the annular-sector-shaped coil array and the receiving end appears at the angle of the annular-sector-shaped coil symmetry axis. The minimum value appears at the symmetrical position between the two annular-sector-shaped coils. The corresponding maximum total mutual inductance also occurs at the angle of the symmetrical axis of the annular-sector-shaped coil, and the minimum value occurs at the symmetrical position between the two annular-sector-shaped coils.

3.3. Misalignment Tolerance Improvement for Drone Landing Position

Through the above analysis, it can be observed that the annular-sector-shaped coil array has an improvement effect on the stability of the mutual inductance between the ground side and the drone side, as well as the misalignment tolerance of the drone’s landing position. Under the premise of unchanged drone receiver parameters and vertical distance, the stability of mutual inductance and the misalignment tolerance improvement of the drone receiver are affected by transmitter factors such as the outer radius, inner radius, number of coil turns, and vertex angle of the annular-sector-shaped coil array. In the above analysis, the larger the outer radius of the annular-sector-shaped coil array, the better the misalignment tolerance of the drone landing position. Therefore, without exceeding the maximum size limit of the transmitter, the outer radius of the annular-sector-shaped coil array was selected to be the same as that of the circular coil in Section 2.2. To improve the misalignment tolerance of couplers, enlarge the drone landing area, and reduce the control requirements of drone landing accuracy further, the misalignment tolerance improvement strategy of the drone receiver position based on the optimization of multiple parameters of the transmitter is proposed as shown in Figure 14.
Set the maximum radius R0 for the transmitter, the mutual inductance fluctuation rate limit δ0, the step size x0 for axial offset xii of the drone receiver position, and the change step size θ0 for the angle θjj between the transmitting coil radius corresponding to the center of the receiving coil and the x-axis. Furthermore, set the range of the parameters R12, N1, and φ to be optimized. In this article, R0 = 0.2 m, δ0 = 5%, x0 = 0.01 m, θ0 = 10°, R12 ∈ [0.01 m, 0.19 m], N1 ∈ [1, 15], φ ∈ [75°, 135°], xii ∈ [0.01 m, 0.19 m], θjj ∈ [0°, 360°]. For each multiparameter combination of R12(i), N1(j), and φ(k), further change the axial offset distance xii, and change θjj to the same axial offset distance. According to the aforementioned mutual inductance calculation formula for the transmitting and receiving ends, calculate the mutual inductance Msum(ii, jj) for different xii and θjj with varying drone receiver positions.
When the maximum and minimum values of the mutual inductance array satisfy the relationship [Max(Msum (ii, jj)) − Min(Msum (ii, jj))]/[Max(Msum (ii, jj)) + Min(Msum (ii, jj))] > δ0, this indicates that the mutual inductance fluctuation with varying drone receiver position exceeds the threshold at this axial offset degree. Record X(i, j, k) = xii-1 as the maximum allowable offset distance, and record the corresponding R12(i), N1(j), and φ(k). By looping through multiple parameters, R12, N1, and φ, the maximum allowable offset distance corresponding to all parameter combinations is obtained. Further select the maximum value of X(i, j, k) and calculate the amount of wire used for transmitting and sorting based on the corresponding multiparameter values of R12, N1, and φ. Further select the scenario corresponding to the minimum wire quantity as the multiparameter optimization result for improving the anti-offset capability of drone receiver position, and output the corresponding R12(i), N1(j), and φ(k). Through the above multiparameter optimization process and the aforementioned parameters, the optimized parameters in this paper are R12 = 0.10 m, N1 = 10 turns, and φ(k) = 105°. The characteristic curves of mutual inductance changes corresponding to angle changes at different drone receiver positions under these parameters are shown in Figure 15. The changes in mutual inductance characteristics between the proposed transmitter and the circular transmitter with varying drone receiver position are shown in Figure 16. When the mutual inductance fluctuation rate does not exceed 5%, the maximum drone receiver offset distance of the circular transmission coil is 0.08 m, and the corresponding maximum drone receiver offset distance of the proposed transmission coil is 0.12 m. The misalignment tolerance of drone landing position is effectively improved by applying the proposed transmitter and the optimized multiple parameters.

4. Experimental Verification

In order to verify the transmitter design and misalignment tolerance improvement strategy for drone landing position proposed in this paper, a circular transmitter and the proposed transmitter were wound as shown in Figure 17. The outer radius of the circular coil was 0.2 m and the number of turns was 20. Based on the circular coil and according to the theoretical research mentioned above, four annular-sector-shaped coils were added to create the proposed transmitting coil. The outer radius of each annular-sector-shaped coil was 0.2 m. The inner radius was 0.10 m. The number of turns was 10. The outer radius of the receiving coil on the drone side was 0.1 m and the number of turns was 20. All coils were tightly wound with Litz wire, with a diameter of 0.003 m. The vertical spacing between the receiving and transmitting sides was 0.08 m.
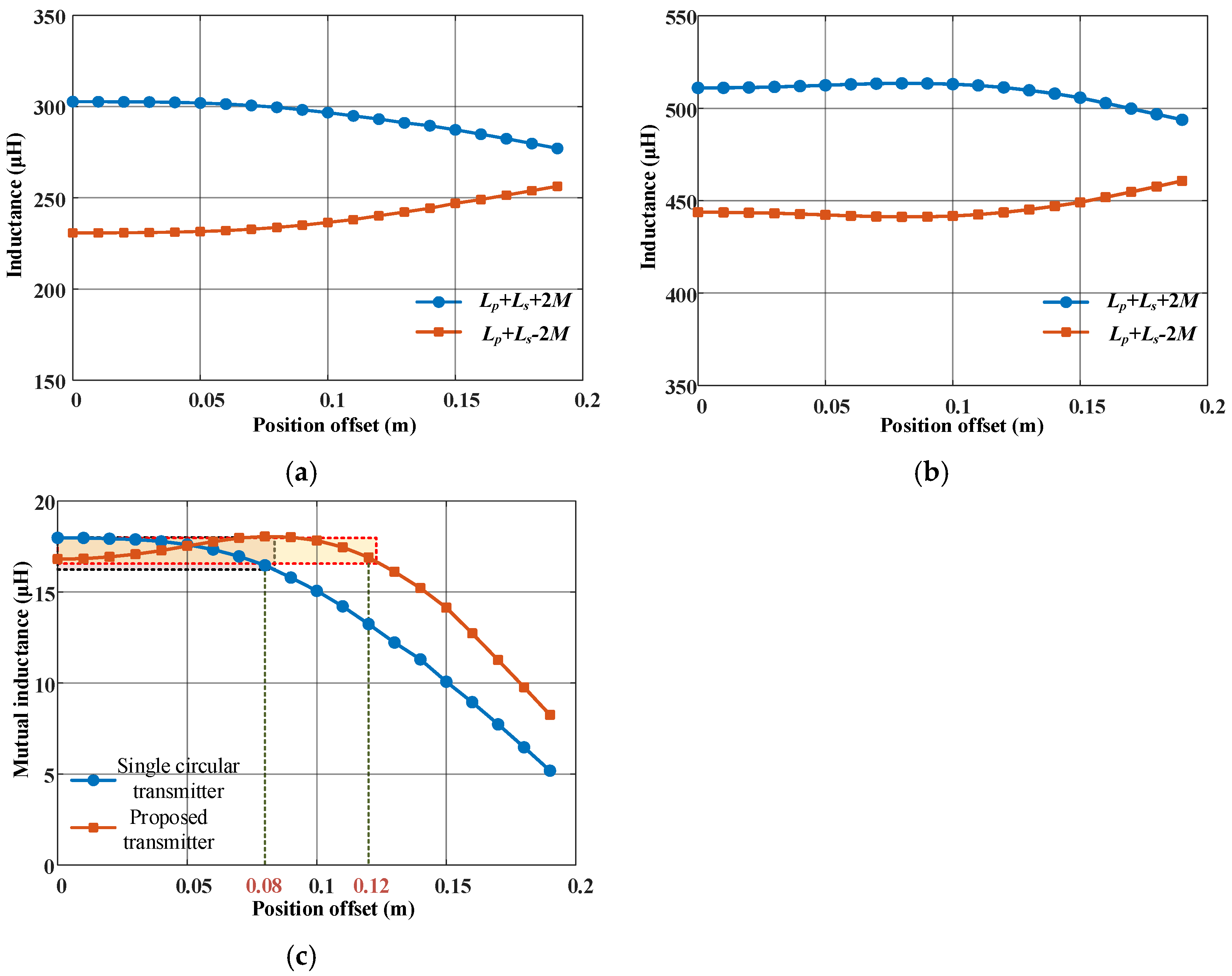
Firstly, we connected the transmitting coil and the receiving coil in series in the forward direction. We measured the total inductance value (Lsum1 = Lp + Ls + 2M) using the LCR analyzer (TH2817C, Changzhou Tonghui Electronic Co. Ltd., Changzhou, China). Then, we connected the transmitting coil and receiving coil in reverse series. We measured the total inductance value (Lsum2 = Lp + Ls − 2M) again using the LCR analyzer. According to the formula (Lsum1 − Lsum2 = 4M), the mutual inductance between the transmitting and receiving coils could be obtained. Whether it is a single circular transmission coil or the optimized proposed transmitter, the mutual inductance remains fixed at different angles within the 360° x-y plane when the misalignment distance of drone receiver is the same. The experimental results of inductances varying with the drone position’s offset distance of the drone receiver are shown in Figure 18. For the transmitting side using a circular transmitting coil, when the mutual inductance fluctuation between the transmitter and the drone receiver is limited to 5%, the corresponding maximum offset distance of the drone receiver is 8 cm. For the transmitting side using the proposed coil structure, under the same mutual inductance fluctuation limit, the corresponding maximum offset distance of the drone receiver is 12 cm. Through the coil structure and optimization method proposed in this paper, the maximum offset distance increases by 50% under the same receiving coil structure. The drone landing area of the stable wireless power replenishment system for drones is enlarged by 50%.
The experimental prototype of the wireless power replenishment system for drones based on the transmitter design with multiple annular-sector-shaped coils is built as shown in Figure 19a. The topology structure of this wireless power replenishment system for drones is shown in Figure 19b. The ground side includes a DC power supply, a high-frequency inverter, the LCC compensation circuit, and the transmitting coil. The drone side includes the receiving coil, the series compensation circuit, the rectifier, and the load. The high-frequency inverter adopts DSP (TMS320F28335, Texas Instruments, Dallas, USA) as the controller and a full bridge inverter circuit composed of 4 MOSFETs (IRFP4227PBF, Infineon Technologies AG, Munich, Germany). The receiving side uses four diodes (DSEP15-06A, IXYS, Lampoldshausen, Germany) to form a rectifier circuit. The system operates at a frequency of 100 kHz. The RMS value of the inverter output voltage is 80 V. The load resistance is 14 ohms.
The inductance of the transmitting coil is 419.13 μH. The inductance of the receiving coil on the drone side is 57.42 μH. The ground side adopts an LCC compensation structure, with inductance Lf = 25.21 μH and capacitance Cf = 100.10 nF, Ct = 6.33 nF. The drone side adopts a capacitor series compensation structure, with a compensation capacitor Cr = 44.16 nF. As shown in Figure 19, the voltages and currents could be measured by using the oscilloscope (TDS2014C, Tektronix, Beaverton, USA), the current probe (SRS6025, Sunraise, Nanjing, China), and the voltage probes (P1300, Cybertek, Shenzhen, China). Then, the receiving power (P = ULIL) and the efficiency could be measured ( η = U L I L U t I t ). The received power of the drone side and the efficiency of the system were measured at different drone receiver horizontal offsets as shown in Figure 20. Figure 21 shows the waveforms of the voltage and current in transmitting side and drone receiving side at different horizontal positions.
Through the above experimental verification, compared with the commonly used single circular transmitting coil structure, the proposed transmitting coil structure in this paper, which combines circular and annular-sector-shaped coil arrays, increases the maximum horizontal offset distance of drone receivers from 8 cm to 12 cm under the same maximum outer radius and the same mutual inductance fluctuation rate limitation. When the drone receiver is in the aligned position, the receiving power of the drone side is 135.27 W and the efficiency is 92.70%. When the central position of the drone receiver is offset by 8 cm, the maximum receiving power of the drone side and maximum efficiency are 141.07 W and 93.79%, respectively. When the drone receiver is at the maximum horizontal offset position of 12 cm, the receiving power of the drone side and efficiency are 132.13 W and 91.25%, respectively.
To highlight the advantages of the proposed system, a comparison of the characteristics of the system in this work and those in the existing literature is shown in Table 2. This paper proposes a wireless power replenishment system for drones based on a transmitter design with multiple annular-sector-shaped coils. The main advantage is improving the misalignment tolerance of the drone landing position in a limited area (a circular area with a diameter of 40 cm). A more detailed comparison is provided as follows. Though the transmitter size in [16] is smaller than that of this work, the misalignment tolerance is improved significantly. Compared with [31,32,33], this work can obtain higher misalignment tolerance ratios even with a smaller transmitter and a higher vertical height. The misalignment tolerance and ratio of this work are slightly lower than those in [34], while the output power and efficiency are higher than those in [34]. Compared with [34], the transmitting coil in this work does not use any ferrite cores, which is helpful for reducing the weight of the transmitting end and improving the convenience of transportation and installation.
When the position of the receiving coil deviates horizontally from the center of the transmitting coil, the corresponding annular-sector-shaped coil unit can enhance the coupling of the edge magnetic field, achieving good misalignment tolerance characteristics. The transmitter structure and the multiple parameter optimization method proposed in this paper effectively enhance the misalignment tolerance of the drone landing position, which is conducive to enlarging the stable area of drone landing and reducing the control requirements of landing accuracy during power replenishment for drones.

5. Conclusions

With the rapid development of drone technology and applications, wireless power transfer technology provides new ideas for autonomous and intelligent power replenishment for drones. This paper proposes a wireless power replenishment system for drones based on a transmitter design with multiple annular-sector-shaped coils, which improves the misalignment tolerance of the drone landing position and reduces the control requirements for landing accuracy. A universal analysis model and a numerical calculation method for mutual inductance based on the proposed transmitter and a common circular receiver are established. The effect of multiple parameters of the proposed transmitter on the variation in mutual inductance between the ground side and the drone side is studied. A misalignment tolerance improvement strategy of the wireless power replenishment system for drones based on the optimization of multiple parameters of the proposed transmitter is proposed. The experimental verification results show that, under the same maximum outer radius of 0.2 m and the same mutual inductance fluctuation rate of 5%, compared to a single circular transmitting coil, the maximum drone receiver offset distance of the proposed transmitting coil structure in all directions of a 360° x-y plane is increased by 50% (from 0.08 m to 0.12 m). The maximum power on the drone side and efficiency of the system are 141.07 W and 93.79%, respectively. When the drone receiver is at the maximum offset position of 0.12 m, the receiving power and efficiency are 132.13 W and 91.25%, respectively. The transmitter proposed in this paper improves the misalignment tolerance effectively without changing the drone receiver. This is of great significance for expanding the stable area range of drone landing for wireless power replenishment systems for drones.

Author Contributions

Conceptualization, H.L. and R.W.; methodology, H.L.; software, H.L. and D.H.; validation, H.L. and D.H.; formal analysis, H.L. and R.W.; investigation, H.L. and L.W.; resources, H.L.; data curation, H.L. and L.W.; writing—original draft preparation, H.L.; writing—review and editing, D.H. and L.W.; visualization, L.W.; supervision, H.L.; project administration, H.L.; funding acquisition, H.L. All authors have read and agreed to the published version of the manuscript.

Funding

This work was supported in part by the National Natural Science Foundation of China (52107003), in part by the Chinese Postdoctoral Science Foundation (2021M690867), and in part by the Postdoctoral Fund of Jiangsu Province (2021K030A).

Data Availability Statement

The data in this study are available upon request from the corresponding author.

Conflicts of Interest

Author Rong Wang was employed by the company State Grid Jiangsu Electric Power Co., Ltd. The remaining authors declare that the research was conducted in the absence of any commercial or financial relationships that could be construed as a potential conflict of interest.

References

  1. Wang, X.; Wu, P.; Hu, Y.; Cai, X.; Song, Q.; Chen, H. Joint Trajectories and Resource Allocation Design for Multi-UAV-Assisted Wireless Power Transfer with Nonlinear Energy Harvesting. Drones 2023, 7, 354. [Google Scholar] [CrossRef]
  2. Amendola, J.; Cenkeramaddi, L.R.; Jha, A. Drone Landing and Reinforcement Learning: State-of-Art, Challenges and Opportunities. IEEE Open J. Intell. Transp. Syst. 2024, 5, 520–539. [Google Scholar] [CrossRef]
  3. Choi, H.-W.; Kim, H.-J.; Kim, S.-K.; Na, W.S. An Overview of Drone Applications in the Construction Industry. Drones 2023, 7, 515. [Google Scholar] [CrossRef]
  4. Cai, C.; Wang, J.; Nie, H.; Zhang, P.; Lin, Z.; Zhou, Y. Effective-Configuration WPT Systems for Drones Charging Area Extension Featuring Quasi-Uniform Magnetic Coupling. IEEE Trans. Transp. Electrif. 2020, 6, 920–934. [Google Scholar] [CrossRef]
  5. Kang, K.-M.; Ko, Y.-S.; Lee, Y.-S.; Yi, J.; Won, C.-Y. The Operation Method of Hybrid Power Supply System Combining Lithium Polymer Battery and Supercapacitor for Industrial Drones. Energies 2023, 16, 7552. [Google Scholar] [CrossRef]
  6. Lozano-Hernández, Y.; Martínez de la Cruz, I.; Gutiérrez-Frías, O.; Lozada-Castillo, N.; Luviano-Juárez, A. Design Procedure of a Low-Cost System for Energy Replenishment in a Quadrotor UAV through a Battery Exchange Mechanism. Drones 2023, 7, 270. [Google Scholar] [CrossRef]
  7. Li, S.; Mi, C.C. Wireless Power Transfer for Electric Vehicle Applications. IEEE J. Emerg. Sel. Top. Power Electron. 2015, 3, 4–17. [Google Scholar] [CrossRef]
  8. Zhang, Z.; Pang, H.; Georgiadis, A.; Cecati, C. Wireless Power Transfer—An Overview. IEEE Trans. Ind. Electron. 2019, 66, 1044–1058. [Google Scholar] [CrossRef]
  9. Zhong, W.X.; Hui, S.Y.R. Maximum Energy Efficiency Tracking for Wireless Power Transfer Systems. IEEE Trans. Power Electron. 2015, 30, 4025–4034. [Google Scholar] [CrossRef]
  10. Li, J.; Huang, X.; Tan, L.; Wang, R. Resistance optimization of a coil with substrate and design of a high-power-density coupler for wireless power transfer. ISA Trans. 2023, 137, 692–705. [Google Scholar] [CrossRef] [PubMed]
  11. Deng, Q.; Wang, X.; Chen, J.; Gao, X.; Luo, P.; Wang, L. A Self-Balanced Multi-Channel Wireless Charging System for EV. IEEE Trans. Veh. Technol. 2024, 73, 16491–16502. [Google Scholar] [CrossRef]
  12. Li, Y.; Gui, L.; Jiang, Y.; Jing, R.; Li, Y.; He, Z. Optimal Configuration of Single-Layer Domino-Coils With Uniform Spacing for Online Monitoring Equipment in Smart Grid. IEEE Trans. Power Electron. 2024, 39, 14307–14317. [Google Scholar] [CrossRef]
  13. Liu, H.; Huang, X.; Tan, L.; Guo, J.; Wang, W.; Yan, C.; Xu, C. Dynamic Wireless Charging for Inspection Robots Based on Decentralized Energy Pickup Structure. IEEE Trans. Ind. Inform. 2018, 14, 1786–1797. [Google Scholar] [CrossRef]
  14. Huang, G.; Tu, W. A high-throughput wireless-powered relay network with joint time and power allocations. Comput. Netw. 2019, 160, 65–76. [Google Scholar] [CrossRef]
  15. Covic, G.A.; Boys, J.T. Inductive Power Transfer. Proc. IEEE 2013, 101, 1276–1289. [Google Scholar] [CrossRef]
  16. Xu, H.; Tan, L.; Gui, L.; Wu, Z.; Li, H.; Huang, X. Design of Magnetic Coupler for Wireless Power Transmission System Based on Magnetic Field Reconstruction. IEEE Trans. Power Electron. 2024, 39, 2855–2866. [Google Scholar] [CrossRef]
  17. Mohammad, M.; Choi, S.; Islam, Z.; Kwak, S.; Baek, J. Core Design and Optimization for Better Misalignment Tolerance and Higher Range of Wireless Charging of PHEV. IEEE Trans. Transp. Electrif. 2017, 3, 445–453. [Google Scholar] [CrossRef]
  18. Hossain, A.; Darvish, P.; Mekhilef, S.; Tey, K.S.; Tong, C.W. A New Coil Structure of Dual Transmitters and Dual Receivers With Integrated Decoupling Coils for Increasing Power Transfer and Misalignment Tolerance of Wireless EV Charging System. IEEE Trans. Ind. Electron. 2022, 69, 7869–7878. [Google Scholar] [CrossRef]
  19. Yan, K.; Dang, R.; Feng, X.; Wang, W. A New Magnetic Coupler with High Misalignment Tolerance and Inherent Constant Current–Constant Voltage for Underground Wireless Charging. Energies 2024, 17, 5130. [Google Scholar] [CrossRef]
  20. Liu, S.; Yan, X.; Xu, G.; Wang, G.; Liu, Y. An Eight-Coil Wireless Power Transfer Method for Improving the Coupling Tolerance Based on Uniform Magnetic Field. Processes 2024, 12, 2109. [Google Scholar] [CrossRef]
  21. Abdulhameed, M.; ElGhanam, E.; Osman, A.H.; Hassan, M.S. Design of a Misalignment-Tolerant Inductor–Capacitor–Capacitor-Compensated Wireless Charger for Roadway-Powered Electric Vehicles. Sustainability 2024, 16, 567. [Google Scholar] [CrossRef]
  22. ElGhanam, E.; Hassan, M.; Osman, A. Design of a High Power, LCC-Compensated, Dynamic, Wireless Electric Vehicle Charging System with Improved Misalignment Tolerance. Energies 2021, 14, 885. [Google Scholar] [CrossRef]
  23. Diekhans, T.; De Doncker, R.W. A dual-side controlled inductive power transfer system optimized for large coupling factor variations and partial load. IEEE Trans. Power Electron. 2015, 30, 6320–6328. [Google Scholar] [CrossRef]
  24. Jiang, J.; Li, Z.; Song, K.; Song, B.; Dong, S.; Zhu, C. A cascaded topology and control method for two-phase receivers of dynamic wireless power transfer systems. IEEE Access 2020, 8, 47445–47455. [Google Scholar] [CrossRef]
  25. Kindl, V.; Frivaldsky, M.; Zavrel, M.; Pavelek, M. Generalized Design Approach on Industrial Wireless Chargers. Energies 2020, 13, 2697. [Google Scholar] [CrossRef]
  26. López-Alcolea, F.J.; del Real, J.V.; Roncero-Sánchez, P.; Torres, A.P. Modeling of a magnetic coupler based on single- and double-layered rectangular planar coils with in-plane misalignment for wireless power transfer. IEEE Trans. Power Electron. 2020, 35, 5102–5121. [Google Scholar] [CrossRef]
  27. Domajnko, J.; Prosen, N. A Control of a z-Axis Rotation-Tolerant Wireless Power Transfer System Using a Double DD Coil. Electronics 2023, 12, 606. [Google Scholar] [CrossRef]
  28. Kraus, D.; Herzog, H.-G. Magnetic design of a Q-coil fora 10 kW DDQ system for inductive power transfer. In Proceedings of the 2019 IEEE PELS Workshop on Emerging Technologies: Wireless Power Transfer (WoW), London, UK, 18–21 June 2019; pp. 140–143. [Google Scholar] [CrossRef]
  29. Mosammam, B.M.; Mirsalim, M. New integrated tripolar pad using double-sided LCC compensation for wireless power transfer. IEEE Trans. Veh. Technol. 2020, 69, 15633–15643. [Google Scholar] [CrossRef]
  30. Ağçal, A.; Doğan, T.H. A Novel Folding Wireless Charging Station Design for Drones. Drones 2024, 8, 289. [Google Scholar] [CrossRef]
  31. Wu, S.; Cai, C.; Liu, X.; Chai, W.; Yang, S. Compact and Free-Positioning Omnidirectional Wireless Power Transfer System for Unmanned Aerial Vehicle Charging Applications. IEEE Trans. Power Electron. 2022, 37, 8790–8794. [Google Scholar] [CrossRef]
  32. Li, Y.; Sun, W.; Liu, J.; Liu, Y.; Yang, X.; Li, Y.; Hu, J.; He, Z. A New Magnetic Coupler With High Rotational Misalignment Tolerance for Unmanned Aerial Vehicles Wireless Charging. IEEE Trans. Power Electron. 2022, 37, 12986–12991. [Google Scholar] [CrossRef]
  33. Wang, J.; Chen, R.; Cai, C.; Zhang, J.; Wang, C. An Onboard Magnetic Integration-Based WPT System for UAV Misalignment-Tolerant Charging With Constant Current Output. IEEE Trans. Transp. Electrif. 2023, 9, 1973–1984. [Google Scholar] [CrossRef]
  34. Li, Z.; He, J.; Huo, Y.; Ban, M.; Liu, Y.; Liu, J. High-Misalignment Tolerance and Output Adjustable Wireless Charging System via Detuned Series–Series Compensated Reconfigurable Transmission Channels. IEEE Trans. Power Electron. 2023, 38, 11786–11801. [Google Scholar] [CrossRef]
Figure 1. Schematic diagram of the wireless power replenishment system for drones.
Figure 1. Schematic diagram of the wireless power replenishment system for drones.
Drones 08 00773 g001
Figure 2. Diagram of common circular magnetic energy couplers on both the ground side and the drone side.
Figure 2. Diagram of common circular magnetic energy couplers on both the ground side and the drone side.
Drones 08 00773 g002
Figure 3. Variation characteristics of mutual inductance between the circular transceivers with the variation in drone receiver position.
Figure 3. Variation characteristics of mutual inductance between the circular transceivers with the variation in drone receiver position.
Drones 08 00773 g003
Figure 4. Variation characteristics of mutual inductance under different turns ratios of the transmitter and drone receiver.
Figure 4. Variation characteristics of mutual inductance under different turns ratios of the transmitter and drone receiver.
Drones 08 00773 g004
Figure 5. Variation characteristics of mutual inductance under different radii of the transmitter and drone receiver.
Figure 5. Variation characteristics of mutual inductance under different radii of the transmitter and drone receiver.
Drones 08 00773 g005
Figure 6. Diagram of the proposed transmitter and circular receiver on the drone side.
Figure 6. Diagram of the proposed transmitter and circular receiver on the drone side.
Drones 08 00773 g006
Figure 7. Schematic diagram of the actual winding and approximate winding of the annular-sector-shaped coil unit.
Figure 7. Schematic diagram of the actual winding and approximate winding of the annular-sector-shaped coil unit.
Drones 08 00773 g007
Figure 8. Schematic diagram of mutual inductance calculation between the proposed transmitter and the planar spiral receiver on the drone side.
Figure 8. Schematic diagram of mutual inductance calculation between the proposed transmitter and the planar spiral receiver on the drone side.
Drones 08 00773 g008
Figure 9. Changes in mutual inductance with varying drone receiver horizontal position under different R11 (a) between the annular-sector-shaped coil array and the receiving coil and (b) between the receiving and transmitting sides.
Figure 9. Changes in mutual inductance with varying drone receiver horizontal position under different R11 (a) between the annular-sector-shaped coil array and the receiving coil and (b) between the receiving and transmitting sides.
Drones 08 00773 g009
Figure 10. Changes in mutual inductance characteristics with varying drone receiver position under different R12 (a) between the annular-sector-shaped coil array and the receiving coil and (b) between the receiving and transmitting sides.
Figure 10. Changes in mutual inductance characteristics with varying drone receiver position under different R12 (a) between the annular-sector-shaped coil array and the receiving coil and (b) between the receiving and transmitting sides.
Drones 08 00773 g010
Figure 11. Changes in mutual inductance characteristics with varying drone receiver position under different N1 (a) between the annular-sector-shaped coil array and the receiving coil and (b) between the receiving and transmitting sides.
Figure 11. Changes in mutual inductance characteristics with varying drone receiver position under different N1 (a) between the annular-sector-shaped coil array and the receiving coil and (b) between the receiving and transmitting sides.
Drones 08 00773 g011
Figure 12. Changes in mutual inductance characteristics with varying drone receiver position under different φ (a) between the annular-sector-shaped coil array and the receiving coil and (b) between the receiving and transmitting sides.
Figure 12. Changes in mutual inductance characteristics with varying drone receiver position under different φ (a) between the annular-sector-shaped coil array and the receiving coil and (b) between the receiving and transmitting sides.
Drones 08 00773 g012
Figure 13. Changes in mutual inductance characteristics with varying drone receiver position under different θ (a) between the annular-sector-shaped coil array and the receiving coil and (b) between the receiving and transmitting sides.
Figure 13. Changes in mutual inductance characteristics with varying drone receiver position under different θ (a) between the annular-sector-shaped coil array and the receiving coil and (b) between the receiving and transmitting sides.
Drones 08 00773 g013
Figure 14. Flow chart of the misalignment tolerance improvement strategy of the drone receiver horizontal position based on the optimization of multiple parameters of the transmitter.
Figure 14. Flow chart of the misalignment tolerance improvement strategy of the drone receiver horizontal position based on the optimization of multiple parameters of the transmitter.
Drones 08 00773 g014
Figure 15. Characteristic curves of mutual inductance changes corresponding to angle changes at different drone receiver horizontal positions under optimized parameters.
Figure 15. Characteristic curves of mutual inductance changes corresponding to angle changes at different drone receiver horizontal positions under optimized parameters.
Drones 08 00773 g015
Figure 16. Changes in mutual inductance characteristics between the proposed transmitter and the circular transmitter with varying drone receiver positions.
Figure 16. Changes in mutual inductance characteristics between the proposed transmitter and the circular transmitter with varying drone receiver positions.
Drones 08 00773 g016
Figure 17. Diagram of the transmitters and drone receiver wound with Litz wires.
Figure 17. Diagram of the transmitters and drone receiver wound with Litz wires.
Drones 08 00773 g017
Figure 18. Experimental results of mutual inductance varying with the drone position’s horizontal offset distance: (a) forward and reverse series inductances under a single circular transmitter; (b) forward and reverse series inductances under the proposed transmitter; (c) mutual inductance comparison.
Figure 18. Experimental results of mutual inductance varying with the drone position’s horizontal offset distance: (a) forward and reverse series inductances under a single circular transmitter; (b) forward and reverse series inductances under the proposed transmitter; (c) mutual inductance comparison.
Drones 08 00773 g018
Figure 19. Wireless power replenishment system for drones. (a) The experimental prototype. (b) The system topology structure.
Figure 19. Wireless power replenishment system for drones. (a) The experimental prototype. (b) The system topology structure.
Drones 08 00773 g019
Figure 20. Received power on the drone side and efficiency of the system at different drone receiver horizontal offsets.
Figure 20. Received power on the drone side and efficiency of the system at different drone receiver horizontal offsets.
Drones 08 00773 g020
Figure 21. Experimental waveforms of the voltage and current on the transmitting side and the drone receiving side at different drone receiver horizontal positions: (a) 0 cm, (b) 8 cm, (c) 12 cm, (d) 15 cm.
Figure 21. Experimental waveforms of the voltage and current on the transmitting side and the drone receiving side at different drone receiver horizontal positions: (a) 0 cm, (b) 8 cm, (c) 12 cm, (d) 15 cm.
Drones 08 00773 g021
Table 1. Changes in mutual inductance with varying drone receiver horizontal position corresponding to different numbers of annular-sector-shaped coils.
Table 1. Changes in mutual inductance with varying drone receiver horizontal position corresponding to different numbers of annular-sector-shaped coils.
mMsum M r k = 1 n M k r
2Drones 08 00773 i001Drones 08 00773 i002Drones 08 00773 i003
3Drones 08 00773 i004Drones 08 00773 i005
4Drones 08 00773 i006Drones 08 00773 i007
5Drones 08 00773 i008Drones 08 00773 i009
6Drones 08 00773 i010Drones 08 00773 i011
Table 2. Comprehensive performance comparison with previous works.
Table 2. Comprehensive performance comparison with previous works.
Ref.Transmitter SizeReceiver SizeMisalignment Tolerance and Ratio Δ M Vertical heightFrequencyOutput PowerEfficiency
[16]A circle with a diameter of 27 cmNot mentioned2 cm, 7.4% of the transmitter5%Not mentioned200 kHz100 W88.9%
[31]A circle with a diameter of 60 cm10.5 cm × 1.5 cm10 cm, 16.7% of the transmitterNot mentioned1.5 cm50 kHz325 W87.3%
[32]A circle with a diameter of 50 cm20 cm × 5 cm2 cm, 4% of the transmitter7%1 cm500 kHz128 W88.6%
[33]A circle with a diameter of 56 cmA circle with a diameter of 16 cm15 cm, 26.8% of the transmitterNot mentioned5 cm150 kHz150 W80%
[34]40 cm × 40 cm20 cm × 20 cm15 cm, 37% of the transmitter5%8 cm85 kHz126 W91.6%
This workA circle with a diameter of 40 cmA circle with a diameter of 20 cm12 cm, 30% of the transmitter5%8 cm100 kHz141 W93.79%
Disclaimer/Publisher’s Note: The statements, opinions and data contained in all publications are solely those of the individual author(s) and contributor(s) and not of MDPI and/or the editor(s). MDPI and/or the editor(s) disclaim responsibility for any injury to people or property resulting from any ideas, methods, instructions or products referred to in the content.

Share and Cite

MDPI and ACS Style

Liu, H.; Huang, D.; Wang, L.; Wang, R. Misalignment Tolerance Improvement of a Wireless Power Supply System for Drones Based on Transmitter Design with Multiple Annular-Sector-Shaped Coils. Drones 2024, 8, 773. https://doi.org/10.3390/drones8120773

AMA Style

Liu H, Huang D, Wang L, Wang R. Misalignment Tolerance Improvement of a Wireless Power Supply System for Drones Based on Transmitter Design with Multiple Annular-Sector-Shaped Coils. Drones. 2024; 8(12):773. https://doi.org/10.3390/drones8120773

Chicago/Turabian Style

Liu, Han, Dengjie Huang, Lin Wang, and Rong Wang. 2024. "Misalignment Tolerance Improvement of a Wireless Power Supply System for Drones Based on Transmitter Design with Multiple Annular-Sector-Shaped Coils" Drones 8, no. 12: 773. https://doi.org/10.3390/drones8120773

APA Style

Liu, H., Huang, D., Wang, L., & Wang, R. (2024). Misalignment Tolerance Improvement of a Wireless Power Supply System for Drones Based on Transmitter Design with Multiple Annular-Sector-Shaped Coils. Drones, 8(12), 773. https://doi.org/10.3390/drones8120773

Article Metrics

Back to TopTop