Next Article in Journal
Multi-Phase Trajectory Planning for Wind Energy Harvesting in Air-Launched UAV Swarm Rendezvous and Formation Flight
Next Article in Special Issue
Robust Consensus Tracking Control for Multi-Unmanned-Aerial-Vehicle (UAV) System Subjected to Measurement Noise and External Disturbance
Previous Article in Journal
Construction of a Deep Learning Model for Unmanned Aerial Vehicle-Assisted Safe Lightweight Industrial Quality Inspection in Complex Environments
 
 
Font Type:
Arial Georgia Verdana
Font Size:
Aa Aa Aa
Line Spacing:
Column Width:
Background:
Article

Adaptive Sliding Mode Control of Quadrotor System with Elastic Load Connection of Unknown Mass

School of Aeronautics and Astronautics, University of Electronic Science and Technology of China, Chengdu 611731, China
*
Author to whom correspondence should be addressed.
Drones 2024, 8(12), 708; https://doi.org/10.3390/drones8120708
Submission received: 8 October 2024 / Revised: 21 November 2024 / Accepted: 25 November 2024 / Published: 27 November 2024
(This article belongs to the Special Issue Swarm Intelligence-Inspired Planning and Control for Drones)

Abstract

During quadrotor load transport, the cable’s elasticity exacerbates load fluctuations, which may result in platform instability or a potential crash. This paper introduced a model of the connecting cable as a spring-damper system and established the dynamic model of the suspension system based on Newton’s law. Nonsingular fast terminal sliding mode control (NFTSMC) was employed for attitude, position, and anti-swing controller design. Adaptive controllers were integrated into altitude control to address uncertainties related to load mass and cable length. The inclusion of an anti-swing controller into the position control loop effectively dampens load oscillations while ensuring accurate position tracking. Numerical simulations demonstrated that the proposed controller outperforms both the energy-based controller and the conventional linear sliding mode controller.

1. Introduction

Quadrotor unmanned aerial vehicles (UAVs) emerge as a prominent area of focus in current low altitude transport research due to their simplicity, high agility, and particularly their vertical takeoff and landing capabilities [1,2,3]. They are extensively utilized in various capacities such as cargo transport, rescue and disaster relief, and construction surveying [4,5,6]. However, the introduction of loads increases the complexity of the entire system; more significantly, if the load swings excessively during transport, the cables may become entangled with the propeller, leading to potential system failure [7]. In response to these challenges, researchers proposed corresponding control methods that yielded some success in UAV position control and swing angle suppression.
UAV control technology has developed rapidly in recent years, and researchers have applied both PID and LQR to UAV control with good results. Eltayeb [8] and Zhang [9] devised a fuzzy PID controller that employs fuzzy logic for the adaptive adjustment of PID control parameters. References [10,11,12] explored the utilization of the linear quadratic regulator (LQR) algorithm in quadrotor control. The researchers linearized the nonlinear dynamic model of the quadrotor and implemented the LQR controller for attitude and position control. In reference [13,14], the authors applied FOC and sliding mode control to the control of quadrotor which showed good results. The fractional order sliding mode observer was designed in reference [15,16], and the results showed that it is more robust than the classical sliding mode observer. FOC shows great potential in enhancing the stability and robustness of UAV controllers, especially in dealing with uncertainty and perturbations. In the existing research, adaptive control methods are widely used in underactuated systems, which can solve the disturbance problems caused by position parameters in nonlinear systems. Most models of quadrotor UAVs are based on the assumption that the mass is constant, but such assumptions do not hold in practice. In actual quadrotor missions, uncertainty and unknown payload mass are inevitable. Therefore, it is necessary to introduce an adaptive control method into a quadrotor system.
Sliding mode control offers the benefits of robustness, adaptability to nonlinearity, and rapid transient response, making it particularly well-suited for complex systems with high uncertainty. Feng proposed non-singular terminal sliding modes in [17]. By designing a non-singular, nonlinear sliding mode surface, a faster rate of convergence is achieved, and effective control is ensured in all states without fear of the problem of singular failure. In recent years, this control method was applied to the control of quadrotor UAVs with good control results. For example, in [18], the authors applied a second-order sliding mode controller for altitude control of a quadrotor, demonstrating superior performance compared to three other reference controllers discussed in the paper. Ding [19] and Pan [20] proposed an adaptive sliding mode attitude controller that ensures a high convergence rate, even in the presence of model uncertainties and external disturbances. Lyapunov’s method is a key approach in control theory for analyzing the stability of nonlinear systems. By constructing a suitable positive definite function with a negative definite derivative under the system dynamics, this method facilitates the design of control algorithms that ensure stability. The authors in [21] developed an integral adaptive sliding mode controller utilizing the Lyapunov method to tackle challenges arising from variable payloads and external disturbances in quadrotor systems, with simulation results confirming the robustness of this approach. By incorporating nonlinear terms into the sliding surface, a terminal sliding mode was developed to improve system convergence. In [22,23,24], scholars implemented non-singular fast terminal sliding mode control in quadrotor systems. The simulation results indicated a significant enhancement in system performance and successful mitigation of singularity issues. In [25,26,27], researchers integrated the terminal sliding mode with adaptive control technology and applied it to quadrotor control. The findings demonstrated that the controller significantly improved the system’s resistance to interference, reduced buffeting, and enhanced the system’s response rate. Hence, the controller design in this paper is achieved through the integration of adaptive control and non-singular fast terminal sliding mode.
The main method of using unmanned aerial vehicles (UAVs) to operate on overhanging loads is to attach the loads to the quadrotor with cables [28], as shown in Figure 1. Researchers have developed various control methods based on this framework. Reference [29] tackled the overshoot issue in suspended systems by developing an adaptive control scheme grounded in Lyapunov theory, allowing for precise positioning and swing suppression of the quadrotor amidst external disturbances. To achieve global control of the system, [30] utilized the differential flatness of the system dynamics to design a feedback subsystem based on load trajectories and cable orientations, which significantly enhanced the maneuverability of the system. In [31], a feedback linearization approach was employed to develop inner and outer loop controllers, resulting in exponentially rapid convergence for both the quadrotor’s position and load swing. The validation results on an experimental platform confirmed the effectiveness of this controller. Reference [32] developed a load swing suppression system utilizing sliding mode control. Simulation studies with varying cable lengths demonstrated the effectiveness of this control strategy in reducing the maximum swing angle of the load and eliminating residual vibrations. Similarly, Shi [33] analyzed the periodic disturbances caused by load swings in suspended systems and implemented a disturbance observer to compensate for these effects. Both simulation and real-time experimental results demonstrated HESO effectiveness in accurately estimating periodic disturbances, thereby greatly improving the robustness of the system. In all of the aforementioned studies, the cable was treated as a rigid bar, neglecting its deformation during motion. While this simplification was reasonable within the context of the study, it may not be adequate in situations where cable deformation needs to be taken into account. Additionally, the deformation of the elastic bar introduces additional vibration, thereby complicating system control and impacting load stability and precise positioning.
The quadrotor is inherently underactuated, and this characteristic is further pronounced when a load is suspended beneath it, particularly with the added complexity of a variable cable length. Consequently, the inclusion of a variable cable length introduces greater challenges in controlling the system. In recent years, researchers made advancements in quadrotor suspended systems with variable cable lengths. The authors in [34] conducted an analysis of time-varying cables and developed a controller utilizing non-linear coupled feedback signals to achieve swing angle suppression and trajectory tracking. In a similar vein, the research in [35] involved an analysis of a variable-length cable suspension system and the evaluation of interaction forces between the quadrotor and the load, with control references being generated through trajectory planning. In [36], with variable cable lengths, the authors developed a three-dimensional model of the quadrotor and designed an energy coupling-based swing suppression strategy that dissipated energy to eliminate load swings. Simulations confirmed the effectiveness of this method even in the presence of disturbances. The authors in [37] examined the impact of cable elasticity and developed a two-dimensional suspension system model. They developed a nonlinear controller based on this model, establishing the stability of the controller using Lyapunov invariance theory and validating its effectiveness through simulation results. The researchers in [38] conducted a study on load uncertainty and developed an adaptive controller to estimate mass variations during flight. Referring to [39], authors utilized a spring-damper system to model the connecting cables and developed a controller based on energy methods, while also employing an adaptive controller to estimate system mass. In comparison to traditional rigid cables, variable-length and elastic cables are better suited for practical application needs. The controller was reconfigured to accommodate the variable length quadrotor suspended system in the aforementioned study. The objective of this research was to achieve comprehensive system control by incorporating a feedback signal, while maintaining the original controller’s structural integrity.
The main innovations and contributions of this article are outlined as follows:
  • The connecting cables were modeled as a spring-damper system to analyze the impact of elastic deformation on the quadrotor system, and air resistance was included to simulate the swing damping of the load, thus establishing a dynamic model.
  • The load swing is caused by the quadrotor’s flight. Expanding on this principle, a novel control strategy was proposed that integrates the swing angle controller with the horizontal position controller of the quadrotor, enabling both position tracking and suppression of swing angle. The controller proposed in this paper is capable of controlling the quadrotor even in the absence of a suspension load.
  • An adaptive controller was developed using non-singular fast terminal sliding mode control, incorporating a switching function and estimating the tension of the cable to mitigate the impact of unknown load weight and cable length on the system in multitasking scenarios.
The organizational structure of this paper is as follows: In Section 2, the dynamic model of the quadrotor elastic suspension system is presented. Section 3 introduces the control design process based on the non-singular fast terminal sliding mode control method, detailing the attitude controller, position controller, and swing angle controller. Section 4 describes simulated experiments performed to verify the effectiveness of the proposed controller. Finally, in Section 5, a summary of the paper’s content is provided along with future work directions.

2. Dynamic Model of Quadrotor Transport System

The quadrotor unmanned aerial vehicle (UAV) is an underactuated mechanical system, with the load typically suspended below it and functioning as a passive underactuated subsystem. The motion of this load introduces significant nonlinear coupling. Current research often simplifies the quadrotor-load system by assuming a rigid connection, but this assumption becomes inadequate in scenarios that require consideration of cable flexibility or deformation. Therefore, this paper utilized a spring-damper system to model the connecting cable between the quadrotor and the load, in order to investigate the control challenges associated with the elastic suspension system. Table 1 provides a summary of the symbols used in this section, along with their physical meanings, units, and values.

2.1. Dynamic Model and Transformation Matrix

When a load is suspended beneath a quadrotor using an elastic cable, the system exhibits similarities to a rigid suspension system. However, the increased degrees of freedom resulting from the swinging load and variable cable length significantly complicate the system’s dynamics. Analysis indicates that the oscillation of the load is primarily attributed to the quadrotor’s motion, allowing for the suppression of the swing angle by adjusting the quadrotor’s position control loop while simultaneously maintaining position tracking. The simplified model of the quadrotor suspended payload system with an elastic cable (QSPSE) studied in this paper is illustrated in Figure 2.
Figure 2 presents a simplified model of the QSPSE, including the necessary coordinate systems for analysis such as the ground coordinate system and the body-fixed coordinate system. The inertial coordinate system is utilized for describing the positions of both the quadrotor and the load. The body-fixed coordinate system is utilized for describing the quadrotor’s attitude changes. U z represents the total thrust of the quadrotor, which can be decomposed into three-axis components in the inertial coordinate system. As shown in Figure 2, the connecting cable is modeled as a standard second-order system, specifically characterized as a spring-damping system. Thus, the tension in the elastic cable can be expressed as T = k L t L 0 + c L ˙ . α represents the angle between the projection of the cable in the xoz plane in the ground coordinate system and the negative direction of the z-axis, while β denotes the angle between the cable and the plane xoz of the inertial coordinate system. When the quadrotor moves in the positive direction of the coordinate axis, the load swings in the negative direction. Therefore, a positive swing angle is defined when the load swings in the negative direction of the coordinate axis.
The following assumptions are made in order to guarantee the accuracy of the quadrotor’s flight performance.
Assumption 1:
The mass of the cable is neglected, and the connection point of the cable to the quadrotor is assumed to be at the center of mass of the quadrotor. The effects of torque due to eccentricity are disregarded. The load is treated as a point mass, and its attitude is not considered [40].
Assumption 2:
The payload is consistently suspended directly beneath the quadrotor, with the swing angle constrained to within 90 < α , β < 90 [41].
Assumption 3:
The cable is always under tension, such that the cable length satisfies L > L 0 and the tension in the cable satisfies T t > 0 [42].
Remark 1:
During oscillation, energy is dissipated in a spring-damping system, resulting in a decrease in vibration amplitude. In contrast, a simple spring system only allows for energy conversion without dissipation. Considering real-world energy loss, an elastic cable can be equivalently modeled as a spring-damping system, making it more representative of actual conditions.
Remark 2:
In the development of the model, it is justifiable to disregard the cable’s mass. In numerous practical scenarios, the relative load of the cable mass is minimal and has a limited impact on dynamic behavior. This simplification serves to streamline the model while still ensuring sufficient accuracy.
Remark 3:
In the event of a collision during flight, there is a high likelihood of cable slackening, which poses a significant risk to flight safety. Therefore, it is crucial to take measures to prevent slackness during transportation. Reference [39] provides evidence of cable relaxation and demonstrates that sudden disturbances will not lead to loosening of the suspension cable.
During the quadrotor flight, the relationship between the ground coordinate system and the body-fixed coordinate system can be described using Euler angles. The rotation matrix facilitates the conversion of vectors expressed in the body-fixed coordinate system to the ground coordinate system. Thus, the transformation matrix from the body-fixed coordinate system to the ground coordinate system is defined as follows:
R B E = cos θ cos ψ sin f sin θ cos ψ cos f sin ψ cos f sin θ cos ψ + sin f sin ψ cos θ sin ψ sin f sin θ sin ψ + cos f cos ψ cos f sin θ sin ψ sin f cos ψ sin θ sin f cos θ cos f cos θ
In the ground coordinate system, based on the definition of the swing angle, the positions of the quadrotor and the load satisfy the following relationship:
x l = x q L sin α cos β y l = y q L sin β z l = z q L cos α cos β
Similarly, the tension in the cable can be decomposed as follows:
T x = T sin α cos β T y = T sin β T z = T cos α cos β
The lift of the quadrotor can be decomposed as follows:
F x = U z cos ϕ sin θ cos ψ + sin f sin ψ F y = U z cos ϕ sin θ sin ψ sin ϕ cos ψ F z = U z cos ϕ cos θ
The dynamic equations of the quadrotor in the ground coordinate system are derived from force analysis according to Newton’s second law and can be expressed as follows:
M x ¨ q = F x T x M y ¨ q = F y T y M z ¨ q = F z T z M g
Thus, we obtain the position dynamics equation of the quadrotor:
x ¨ q = F x M k L t L 0 + c L ˙ M sin α cos β y ¨ q = F y M k L t L 0 + c L ˙ M sin β z ¨ q = F z M k L t L 0 + c L ˙ M cos α cos β g
The effective load damping is explained using the drag model suggested in [43], which is defined as follows:
F d = 1 2 K 2 v l 2 + K 1 v l + K 0 sgn v l
where, F d represents the drag force acting on the load, and v l denotes the velocity of the load in the ground coordinate system. This is defined as follows:
F d = f x , f y , f z T
v l = x ˙ l y ˙ l z ˙ l = x ˙ q L ˙ sin α cos β L α ˙ cos α cos β + L β ˙ sin α sin β y ˙ q L ˙ sin β L β ˙ cos β z ˙ q L ˙ cos α cos β + L α ˙ sin α cos β + L β ˙ cos α sin β
The dynamic equation for the load is given by the following:
m x ¨ l = T x f x m y ¨ l = T y f y m z ¨ l = T z f z m g
By substituting Equation (2) into Equation (10) and solving for the variable, we can derive the following results:
L ¨ = F x M sin α cos β + F y M sin β + F z M cos α cos β + L β ˙ 2 + L α ˙ 2 cos 2 β k L L 0 + c L ˙ 1 m + 1 M + F L α ¨ = F x M L cos α cos β F z M L sin α cos β 2 L ˙ α ˙ L + 2 α ˙ β ˙ sin β cos β + F α β ¨ = F x M L sin α sin β + F y M L cos β F z M L cos α sin β 2 L ˙ β ˙ L α ˙ 2 sin β cos β + F β
where
F L = f x sin α cos β + f y sin β + f z cos α cos β m F α = f x cos α f z sin α m L cos β F β = f x sin α sin β + f y cos β f z cos α sin β m L
According to Assumption 1, the connection point of the load to the quadrotor is situated at the center of mass of the quadrotor, and this has no impact on the attitude dynamics equations [44]. Therefore, the attitude dynamics equations of the quadrotor can be formulated as follows:
τ + G m = J ω ˙ B + ω B × J ω B
The rate of change of the attitude angles is related to the body’s angular velocity and is defined by
ϕ ˙ θ ˙ ψ ˙ = 1 tan θ sin ϕ tan θ cos ϕ 0 cos ϕ sin ϕ 0 sin ϕ / cos θ cos ϕ / cos θ p q r
Substituting the relevant expressions, the attitude dynamic equations of the UAV are given by
f ¨ = 1 I x x U 2 + θ ˙ ψ ˙ I y y I z z + J R P θ ˙ Ω θ ¨ = 1 I y y U 3 + f ˙ ψ ˙ I z z I x x + J R P f ˙ Ω ψ ¨ = 1 I z z U 4 + f ˙ θ ˙ I x x I y y
where Ω = v 1 + v 2 v 3 v 4 .

2.2. Control Allocation Model

Taking into account the layout and configuration of the UAV, the control allocation model for the UAV lift, three-axis torques, and propeller speeds can be formulated as follows:
U 1 U 2 U 3 U 4 = c T c T c T c T 2 2 d c T 2 2 d c T 2 2 d c T 2 2 d c T 2 2 d c T 2 2 d c T 2 2 d c T 2 2 d c T c M c M c M c M ω - 1 2 ω - 2 2 ω - 3 2 ω - 4 2

3. Controller Design

The quadrotor elastic suspension controller comprises an inner attitude controller, an outer position controller, and a swing angle controller. This paper employed the non-singular fast terminal sliding mode approach for controller design to improve control accuracy. Compared to traditional linear sliding mode control, the terminal sliding mode surface incorporates nonlinear terms to enhance convergence speed. With a carefully designed parameter configuration, the system avoids the singularity problem when the error approaches zero, thereby achieving superior control accuracy and rapid response. This makes it particularly well-suited for high-performance control of nonlinear systems. The control framework of the system is depicted in Figure 3.
For QSPSE, the state variables are defined as follows:
ξ = x , y , z , f , θ , ψ , α , β
The state error is defined as follows:
e = ξ d - ξ
Based on the dynamic equations, each state variable of the quadrotor elastic suspension system can be represented as a second-order system. To control this system effectively, a non-singular fast terminal sliding surface applicable to any second-order system was designed in this paper and expressed as follows:
s = e + c 1 e μ 1 + c 2 e ˙ μ 2
By differentiating the Equation (19), we obtain the following:
s ˙ = e ˙ + c 1 μ 1 e μ 1 1 e ˙ + c 2 μ 2 e ˙ μ 2 1 e ¨
where, c 1 and c 2 are positive constants. p 1 , q 1 , p 2 , and q 2 are all positive odd numbers, and 1 < μ 1 < μ 2 < 2 , μ 1 = p 1 / q 1 , μ 2 = p 2 / q 2 .
The state equations for a second-order system can be expressed in the following form:
ξ ˙ 1 = ξ 2 ξ ˙ 2 = f ξ + g ξ u
where ξ 1 and ξ 2 represent the system’s state variables, which are defined in Equation (17). In the case of position, ξ 1 represents velocity and ξ 2 represents acceleration. f ξ is a nonlinear function of the system, describing the inherent dynamics of the system. g ξ represents the control input, which is a function that relates to the control input and describes its impact on the system’s dynamics.
For the control system described in this paper, the approaching law was set to be an exponential approaching law, expressed as follows:
s ˙ = k s ε sgn s
According to Equations (18)–(22), the expression for the control input of any second-order system is given by the following:
u ξ = e ˙ 2 μ 2 / c 2 μ 2 1 + c 1 μ 1 e μ 1 1 + ξ ¨ d f ξ + k ξ s ξ + ε ξ sgn s ξ g ξ
All controller designs presented in this paper were derived from this method, and their stability established using the Lyapunov method. Substituting Equation (23) into Equation (21) and combining it with Equation (20) yields the derivative of the sliding surface as below:
s ˙ ξ = c 2 μ 2 e ˙ μ 2 1 k ξ s ξ + ε ξ sgn s ξ
The Lyapunov function is constructed as follows:
V = 1 2 s ξ 2
Taking the derivative of Equation (25) yields the following:
V ˙ = s ξ s ˙ ξ
Taking the derivative of the sliding surface into the Equation (26) gives the following:
V ˙ = c 2 μ 2 e ˙ μ 2 1 k ξ s ξ 2 + ε ξ s ξ
Combined with the definition of μ 2 , V ˙ < 0 can be obtained. The sliding mode surface is reachable, the controller is stable.

3.1. Attitude Controller Design

The form of the attitude dynamics equation written as Equation (21) is as follows:
f ˙ 1 = f 2 f ˙ 2 = f ϕ + g ϕ u ϕ θ ˙ 1 = θ 2 θ ˙ 2 = f θ + g θ u θ ψ ˙ 1 = ψ 2 ψ ˙ 2 = f ψ + g ψ u ψ
where
g f = 1 / I x x , f ϕ = θ ˙ ψ ˙ I y y I z z + J R P θ ˙ Ω / I x x g θ = 1 / I y y , f θ = f ˙ ψ ˙ I z z I x x + J R P f ˙ Ω / I y y g ψ = 1 / I z z , f ψ = f ˙ θ ˙ I x x I y y / I z z
By substituting Equation (28) into Equation (23), the attitude control equation can be obtained:
u ϕ = I x x e ˙ ϕ 2 μ ϕ 2 / c ϕ 2 μ ϕ 2 1 + c ϕ 1 μ ϕ 1 e ϕ μ ϕ 1 1 + ϕ ¨ d + k ϕ s ϕ + ε ϕ sgn s ϕ θ ˙ ψ ˙ I y y I z z J R P θ ˙ Ω
u θ = I y y e ˙ θ 2 μ θ 2 / c θ 2 μ θ 2 1 + c θ 1 μ θ 1 e θ μ θ 1 1 + θ ¨ d + k θ s θ + ε θ sgn s θ ϕ ˙ ψ ˙ I z z I x x J R P · ˙ Ω
u ψ = I z z e ˙ ψ 2 μ ψ 2 / c ψ 2 μ ψ 2 1 + c ψ 1 μ ψ 1 e ψ μ ψ 1 1 + ψ ¨ d + k ψ s ψ + ε ψ sgn s ψ ϕ ˙ θ ˙ I x x I y y
The attitude loop equation is similar, and the controller design method is the same. The roll angle ϕ is taken as an example to prove its stability, and the following Lyapunov function is constructed:
V ϕ = 1 2 s ϕ 2
Take the derivative of (33), you obtain the following:
V ˙ ϕ = s ϕ s ˙ ϕ = s ϕ e ˙ ϕ + c ϕ 1 μ ϕ 1 e ϕ μ ϕ 1 1 e ˙ ϕ + c ϕ 2 μ ϕ 2 e ˙ ϕ μ ϕ 2 1 e ¨ ϕ = s ϕ e ˙ ϕ + c ϕ 1 μ ϕ 1 e ϕ μ ϕ 1 1 e ˙ ϕ + c ϕ 2 μ ϕ 2 e ˙ ϕ μ ϕ 2 1 ϕ ¨ d ϕ ¨ = s ϕ e ˙ ϕ + c ϕ 1 μ ϕ 1 e ϕ μ ϕ 1 1 e ˙ ϕ + c ϕ 2 μ ϕ 2 e ˙ ϕ μ ϕ 2 1 ϕ ¨ d 1 / I x x u ϕ + θ ˙ ψ ˙ I y y I z z + J R P θ ˙ Ω = s ϕ e ˙ ϕ + c ϕ 1 μ ϕ 1 e ϕ μ ϕ 1 1 e ˙ ϕ + c ϕ 2 μ ϕ 2 e ˙ ϕ μ ϕ 2 1 e ϕ 2 μ ϕ 2 / c ϕ 2 μ ϕ 2 1 + c ϕ 1 μ ϕ 1 e ϕ μ ϕ 1 1 k ϕ s ϕ ε ϕ sgn s ϕ = s ϕ c ϕ 2 μ ϕ 2 e ˙ ϕ μ ϕ 2 1 k ϕ s ϕ + ε ϕ sgn s ϕ = c ϕ 2 μ ϕ 2 e ˙ ϕ μ ϕ 2 1 s ϕ 2 + s ϕ
Combined with the definition of c ϕ 2 and μ ϕ 2 = p 2 / q 2 , e ˙ μ ϕ 2 1 0 can be obtained. To sum up, V ˙ 0 can be obtained, the sliding mode surface is reachable, the controller is stable.

3.2. Position Controller Design

3.2.1. Altitude Controller Design

The damping term in the dynamic model is primarily included to represent the complexities of the physical environment and has no impact on controller design. The mass of the load primarily affects the tension and length of the cable, and these two quantities are challenging to measure. An adaptive controller is integrated into the altitude control system to estimate cable force and cable length, addressing challenges associated with measuring cable tension and length in practical applications, thereby mitigating the effects of the unknown load mass by calculating the cable force.
The altitude equation can be written in the form of Equation (21):
z ˙ 1 = z 2 z ˙ 2 = f z + g z u z
where
f z = g T ^ z M g z = cos f cos θ M
By substituting Equation (35) into Equation (23), we can obtain the altitude control equation:
u z = M e ˙ 2 - μ 2 / c 2 μ 2 1 + c 1 μ 1 e μ 1 - 1 + z ¨ d + g + k z s z + ε z sgn s z + T ^ z cos ϕ cos θ
In order to prove the stability of the controller, the following Lyapunov function is constructed:
V z = 1 2 s z 2 + 1 2 γ T ˜ z 2
where, T ˜ z represents the error between the estimated uncertainty and the actual uncertainty. This is defined as follows:
T ˜ z = T z T ^ z
On assuming that the vertical component of the cable’s force changes slowly, the following simplifications can be obtained:
T ˜ ˙ z = T ^ ˙ z
By differentiating the Equation (38), we obtain the following:
V ˙ z = s z s ˙ z + T ˜ z 1 γ T ^ ˙ z = s z e ˙ z + c z 1 μ z 1 e z μ z 1 1 e ˙ z + c z 2 μ z 2 e ˙ z μ z 2 1 e ¨ z + T ˜ z 1 γ T ^ ˙ z = s z e ˙ z + c z 1 μ z 1 e z μ z 1 1 e ˙ z + c z 2 μ z 2 e ˙ z μ z 2 1 z ¨ d z ¨ + T ˜ z 1 γ T ^ ˙ z = s z e ˙ z + c z 1 μ z 1 e z μ z 1 1 e ˙ z + c z 2 μ z 2 e ˙ z μ z 2 1 z ¨ d u z M cos ϕ cos θ + T z M + g + T ˜ z 1 γ T ^ ˙ z = s z e ˙ z + c z 1 μ z 1 e z μ z 1 1 e ˙ z + c z 2 μ z 2 e ˙ z μ z 2 1 e z 2 μ z 2 / c z 2 μ z 2 c z 1 μ z 1 e z μ z 1 1 k z s z ε z sgn s z + T ˜ + T ˜ z 1 γ T ^ ˙ z = s z c z 2 μ z 2 e ˙ z μ z 2 1 k z s z + ε z sgn s z + T ˜ + T ˜ z 1 γ T ^ ˙ z = c z 2 μ z 2 e ˙ z μ z 2 1 ( s z 2 + s z ) T ˜ c z 2 μ z 2 e ˙ z μ z 2 1 s z 1 γ T ^ ˙
The adaptive law can be expressed as follows:
T ^ ˙ z = γ c z 2 μ z 2 e ˙ μ z 2 1 s z
By combining Equation (42) and the definitions of c z 2 and μ z 2 , V ˙ 0 can be obtained. The sliding mode surface is reachable, the controller is stable.
To adapt to different task scenarios and quickly respond to changes in parameter uncertainties, the following switching function is designed:
γ = η 1 , i f v z > v 0 η 2 , i f v z v 0
Thus, the estimated values of the cable force and cable length can be obtained:
T ^ = T ^ z cos α cos β
L ^ = T ^ k

3.2.2. Horizontal Position Controller

To facilitate the design of the swing angle controller, a virtual control input is established for the horizontal position controller:
u x = cos ϕ sin θ cos ψ + sin ϕ sin ψ u y = cos ϕ sin θ sin ψ sin ϕ cos ψ
The horizontal dynamic equation can be written in the form of Equation (21):
x ˙ 1 = x 2 x ˙ 2 = f x + g x u x y ˙ 1 = y 2 y ˙ 2 = f y + g y u y
where
f x = T ^ x M , g x = U z M f y = T ^ y M g x = U z M
By substituting Equation (47) into Equation (23), we can obtain the horizontal position control equation:
u x = M e ˙ x 2 μ x 2 / c x 2 μ x 2 1 + c x 1 μ 1 e x μ x 1 1 + x ¨ d + k x s x + ε x sgn s x + T ^ x U z u y = M e ˙ y 2 μ y 2 / c y 2 μ y 2 1 + c y 1 μ y 1 e y μ y 1 1 + y ¨ d + k y s y + ε y sgn s y + T ^ y U z
The dynamic equation of the horizontal position and the dynamic equation of the altitude are identical in form, and the same controller design method is used, so the proof process is similar.
The desired attitude angle can be determined using virtual control variables:
ϕ d = arcsin sin ψ d u x cos ψ d u y θ d = arcsin cos ψ d u x + sin ψ d u y cos ϕ d

3.3. Anti-Swing Controller

The virtual control input for the rotation angle controller is defined in a manner consistent with that of the virtual control for the horizontal position:
u α = a 1 cos α + a 3 sin α u β = a 1 sin α sin β a 2 cos β a 3 cos α sin β
where
a 1 = cos ϕ sin θ cos ψ + sin ϕ sin ψ a 2 = cos ϕ sin θ sin ψ sin ϕ cos ψ a 3 = cos ϕ cos θ
The expression from Equation (51) is substituted into Equation (11) and rewritten in the form of Equation (21), as depicted below:
α ˙ 1 = α 2 α ˙ 2 = f α + g α u α β ˙ 1 = β 2 β ˙ 2 = f β + g β u β
where
f α = 2 L ^ ˙ α ˙ L ^ + 2 α ˙ β ˙ sin β cos β , g α = U z M L cos β f β = 2 L ^ ˙ β ˙ L ^ α ˙ 2 sin β cos β , g β = U z M L
By substituting the Equation (53) into Equation (23), the swing angle control equation can be obtained:
u α = M L ^ cos β U z e ˙ α 2 μ α 2 / c α 2 μ α 2 1 + c α 1 μ α 1 e α μ α 1 1 + 2 L ^ ˙ α ˙ L ^ 2 α ˙ β ˙ sin β cos β + k α s α + ε α sgn s α u β = M L ^ U z e ˙ β 2 μ β 2 / c β 2 μ β 2 1 + c β 1 μ β 1 e β μ β 1 1 + 2 L ^ ˙ β ˙ L ^ + α ˙ 2 sin β cos β + k β s β + ε β sgn s β
α is taken as an example to prove the stability of the above control. The following Lyapunov function is constructed:
V α = 1 2 s α 2
Taking the derivative of the above expression, the following expression is obtained:
V ˙ α = s α s ˙ α = s α e ˙ α + c α 1 μ α 1 e α μ α 1 1 e ˙ α + c α 2 μ α 2 e ˙ α μ α 2 1 e ¨ α = s α e ˙ α + c α 1 μ α 1 e α μ α 1 1 e ˙ α + c α 2 μ α 2 e ˙ α μ α 2 1 α ¨ d α ¨ = s α e ˙ α + c α 1 μ α 1 e α μ α 1 1 e ˙ α + c α 2 μ α 2 e ˙ α μ α 2 1 α ¨ d α ¨ = s α e ˙ α + c α 1 μ α 1 e α μ α 1 1 e ˙ α + c α 2 μ α 2 e ˙ α μ α 2 1 α ¨ d U z M L cos β u α + 2 L ^ ˙ α ˙ L ^ 2 α ˙ β ˙ sin β cos β = s α e ˙ α + c α 1 μ α 1 e α μ α 1 1 e ˙ α + c α 2 μ α 2 e ˙ α μ α 2 1 e α 2 μ α 2 / c α 2 μ α 2 1 + c α 1 μ α 1 e α μ α 1 1 k α s α ε α sgn s α = s α c α 2 μ α 2 e ˙ α μ α 2 1 k α s α + ε α sgn s α = c α 2 μ α 2 e ˙ α μ α 2 1 s α 2 + s α
Combined with the definition of c α 2 and μ α 2 = p 2 / q 2 , e ˙ μ α 2 1 0 can be obtained. To sum up, V ˙ α 0 can be obtained, the sliding mode surface is reachable, the controller is stable. The controller stability of β is proved to be similar to that of α .
The virtual control variables for swing angle and horizontal position are coupled in the following way:
v x = u x u α v y = u y + u β
At this point, the desired attitude angle equation is adjusted to the following format:
ϕ d = arcsin sin ψ d v x cos ψ d v y θ d = arcsin cos ψ d v x + sin ψ d v y cos ϕ d
In sliding mode control, the high-frequency switching of control inputs can lead to chattering in the system. To address this issue, the sign function in the control equation is substituted with a saturation function, defined as follows:
s a t s = 1 , s > Δ s / Δ , Δ s Δ 1 , s < Δ

4. Results

This section presents the simulation and evaluation of the proposed control scheme for the QSPSE using the MATLAB/Simulink platform. The performance of the proposed scheme is compared with that of the based energy control method in [39] and the PID−LQR control method in [45]. The LQR controller is employed for the attitude loop, while the PID controller is utilized for the position loop in the context of a PID−LQR controller. For the other controllers in the paper, the mass of the load is known. The control parameters utilized in this study are provided in Table 2 and Table 3.
This study evaluated the performance of the proposed controller by examining three task scenarios. The first scenario focused on maneuvering the quadrotor to a predetermined position with the initial load swing angle set at 0°. In the second scenario, the second scenario began with the load at an initial swing angle, and the controller guided the quadrotor back to the original position while managing the load’s swing. The third scenario involved controlling the quadrotor to follow a predefined trajectory. The simulation was conducted under ideal conditions, meaning that there is no wind or external interference. The simulation lasted for 15 s, with a step size of 0.001 s, and the solver was set to ODE1 Euler solver.

4.1. Case 1: Stationary Hover

The quadrotor was controlled to fly to the designated position and achieve a stationary hover. The initial and target values of each state variable in the QSPSE were set as follows:
ξ 0 = 0 , 0 , 0 , 0 , 0 , 0 , 0 , 0 ξ d = 2 , 2 , 2 , 0 , 0 , 0 , 0 , 0
The designed controller was applied to QSPSE, and numerical simulations were conducted for the aforementioned task scenarios, with results presented in Figure 4, Figure 5, Figure 6, Figure 7 and Figure 8. The red curve represents the proposed controller, the blue curve signifies the energy-based controller, the green curve corresponds to the PID−LQR controller, and the black curve indicates the steady-state values of the state variables.
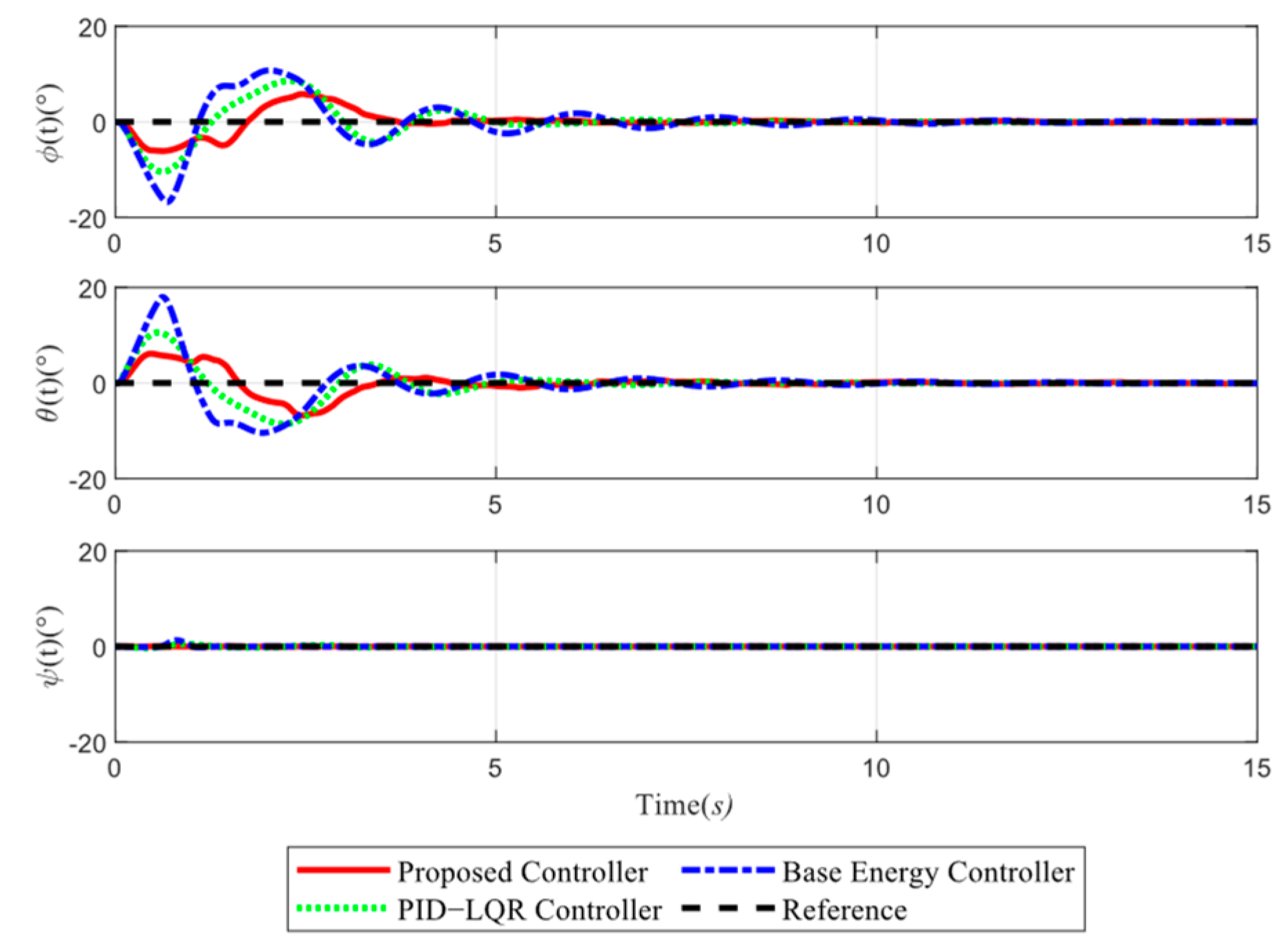
Figure 4 and Figure 5 show that all three controllers effectively steer the drone to the target location. The proposed controller makes the UAV attitude change less, and the platform stability is improved. Table 4 indicates that the proposed controller exhibits a smaller overshoot, with a reduction of 34.1% compared to the PID−LQR controllers and a decrease of 74.1% compared to the energy-based controller.
Figure 4. The position control of quadrotor in Case 1.
Figure 4. The position control of quadrotor in Case 1.
Drones 08 00708 g004
Figure 5. The attitude control of quadrotor in Case 1.
Figure 5. The attitude control of quadrotor in Case 1.
Drones 08 00708 g005
Figure 6 and Table 5 show that the proposed control strategy effectively mitigates load swing, leading to a decrease in swing amplitude and an accelerated convergence rate. The proposed controller in this paper theoretically increases the feedback of the swing angle controller as the swing angle increases. Consequently, the calculated attitude angle and position loop output decrease, resulting in slower movement of the quadrotor. The UAV position loop was coupled with the swing angle feedback to achieve position control, leading to a small overshoot while reducing the amplitude of the load swing angle. Table 5 shows that the swing angle overshoot is reduced by 71.2% and 64.9%, respectively, compared to the energy-based controller, and by 53.1% and 51.3% compared to the PID−LQR controller.
Figure 6. The curve of load swing angle in Case 1.
Figure 6. The curve of load swing angle in Case 1.
Drones 08 00708 g006
Figure 7 shows the fluctuation of the cable length. It can be seen from the figure that the cable length of the other two controllers has obvious oscillation, which is not conducive to the stability of the system. The proposed controller makes the cable reach the stable value quickly, which is more conducive to the stability of the system.
Figure 7. The curve of the length of cable in Case 1.
Figure 7. The curve of the length of cable in Case 1.
Drones 08 00708 g007
Figure 8 depicts the comparison between the estimated and actual values of the cable tension and length, with specific values outlined in Table 6. The estimated errors are 6.7% and 2.3%, respectively. The findings indicate that the adaptive controller effectively mitigates the impact of unknown load mass on the system, thereby enhancing the system’s capacity to adapt to uncertain parameters.
Figure 8. Estimation curve of cable force and cable length in Case 1.
Figure 8. Estimation curve of cable force and cable length in Case 1.
Drones 08 00708 g008
The simulation above shows that in a stable system, each state variable will either converge to a steady state or oscillate within a small range with minimal impact. Due to the presence of numerous state variables, directly evaluating system stability is relatively complex. To address this issue, this paper introduced energy as a criterion for evaluating system stability. When the system is in a stable state, both the quadrotor and the load remain stationary, indicating zero kinetic energy. As such, the kinetic energy of the load serves as a metric for assessing load stability, while that of the quadrotor can be utilized to gauge position control stability. The overall kinetic energy is employed to determine system stability.
Figure 9 depicts the kinetic energy changes of the system and its internal components, from which the stability time of the system can be determined. Table 7 presents the adjustment time of the system, with the proposed controller system having the shortest stability time at 5.37 s, which is 9.7% higher than that of the PID−LQR controller and 54.1% higher than that of the energy-based controller.

4.2. Case 2: Anti-Swing Control

Given an initial swing angle, the control system aims to suppress the angle and return the quadrotor to its starting position. The initial values and desired values for each state variable of the QSPSE are set as below. The simulation results are presented in Figure 10, Figure 11, Figure 12, Figure 13 and Figure 14.
ξ 0 = 0 , 0 , 0 , 0 , 0 , 0 , π 4 , π 4 ξ d = 0 , 0 , 0 , 0 , 0 , 0 , 0 , 0
In this scenario, the initial swing angle of the load is non-zero, resulting in an overall system instability. The current control objective is to stabilize the load swing and maintain the quadrotor’s position unchanged. Figure 10 and Figure 11 depict the position and attitude control curves of the quadrotor, showing that three controllers effectively return the quadrotor to its initial position. The attitude angles display only minimal fluctuations, showcasing robust disturbance rejection performance. Table 8 shows detailed data regarding the amount of overshoot in position control in Case 2.
The load swing angle curve depicted in Figure 12 shows the effectiveness of the proposed controller in mitigating swing angle, leading to a more rapid reduction in amplitude and rapid stabilization. The overshoot value of the load swing angle is detailed in Table 9, providing evidence that the control method presented in this paper yields a smaller swing amplitude for the load. The overshoot of the swing angle exhibits reductions of 15.2% and 29.3% in comparison to the PID−LQR controller, and decreases of 21.5% and 30.8% compared to the energy-based controller. The load swing theoretically causes the quadcopters to move near to the initial point. In conjunction with Case 1, it can be observed that enhanced position tracking correlates with increased motion velocity, thereby yielding a greater swing angle. The controller developed in this paper separates the design of position control and swing angle control controllers, coupling the two control quantities. Compared to other controllers, a larger overshoot is traded for a smaller swing angle overshoot, thereby accelerating the convergence rate of the swing angle.
Figure 13 shows that the proposed controller accelerates the convergence of cable length to a stable value, providing further evidence of its contribution to system stability.
Figure 14 and Table 10 illustrate the simulation results of the adaptive controller. The estimated error of the adaptive controller is 5.1% for the cable tension and 1.7% for the length of cable. The energy change curve is depicted in Figure 15, while the system’s adjustment time is detailed in Table 11.
Figure 15 shows the kinetic energy changes of the system and its components in Case 2. Table 11 shows the adjustment time of the system. Compared with the PID−LQR controller, the proposed controller’s adjustment time is 12.3% faster and 21.9% faster than the monthly energy-based controller.
Under Case 2, a square-wave signal with an amplitude of 2 and a duration of 1 s is superimposed onto the fifth second of the angular acceleration curve for the swing angle. The system is subjected to simulated external forces and loads, and its response is observed. The simulation results are presented below.
As shown in Figure 16 and Figure 17, despite the interference of external forces, the UAV is still able to return to its initial position, and the swing angle will quickly converge to 0.

4.3. Case 3: Spiral Ascent

The initial values and desired values for each state variable of the QSPSE are set as follows:
ξ 0 = 0 , 0 , 0 , 0 , 0 , 0 , 0 , 0 ξ d = 2 sin t , 2 cos t , 0.5 t , 0 , 0 , 0 , 0 , 0
The simulation results are depicted in Figure 18, Figure 19, Figure 20, Figure 21 and Figure 22. Analysis of Figure 18 and Figure 19 illustrates that the proposed control strategy surpasses the energy-based controller and PID−LQR controller in tracking the sinusoidal trajectory, exhibiting reduced variations in the quadrotor’s attitude angles and leading to improved platform stability. The proposed controller has a 92.1% reduction in phase lag compared to the PID−LQR controller for the x position, and an 89.9% reduction compared to the energy-based controller. For the y position, the proposed controller has an 89.1% reduction in phase lag compared to the PID−LQR controller and an 89.2% reduction compared to the energy-based controller.
Figure 20 and Table 12 show that the energy-based controller leads to a greater swing angle, reaching a peak value twice as large as that of the proposed controller, thus adversely affecting system stability. For α , the maximum swing angle is reduced by 1.7% and 4%, respectively, compared to the other two controllers. For β , the proposed controller reduces the maximum swing angle by 55.1% compared to the PID−LQR control and by 65.4% compared to the energy-based controller.
The variation in cable length, as depicted in Figure 21, illustrates that the energy-based controller and PID−LQR controller induce larger fluctuations in cable length due to the increased swing angle, while the proposed controller maintains only minor fluctuations around the stable value without significant oscillation. The adaptive results shown in Figure 22 and Table 13 indicate that the proposed adaptive strategy exhibits minimal estimation error in this task scenario. Combining these two scenarios, it can be concluded that the adaptive controller is capable of meeting the control requirements across different character scenes. In this scenario, the estimated error of the adaptive controller is less than 1%. The kinetic energy change of the system is illustrated in Figure 23. It can be observed from the figure that the controller proposed in this paper tends to stabilize the energy change more rapidly, indicating that the system is already in a stable state.

5. Conclusions

This study focused on the elastic suspended system of a quadrotor, in which the connecting rod was modeled as a spring-damper system to facilitate the development of a corresponding mathematical model. Based on this model, a sliding mode controller for the quadrotor was designed. In order to effectively suppress load swing during position tracking, a swing angle controller was also implemented, integrating processed swing angle feedback into the quadrotor’s position control loop. Simulation results demonstrated that the proposed controller can not only quickly position the quadrotor at the target location or along a predefined sinusoidal trajectory but also effectively mitigate load oscillations. Even with an initial swing angle, the controller successfully returns the quadrotor to its starting position, showcasing strong control performance. The proposed control strategy effectively tracks the sinusoidal signal while significantly suppressing load motion, achieving system stability. Additionally, the adaptive control strategy adeptly estimates the cable’s force in various scenarios, mitigating the impact of mass uncertainty on the overall system and resulting in excellent control outcomes.
In a realistic environment, intricate airflow patterns, communication delays, sensor noise, and external disturbances can have a significant impact on control accuracy and stability, thereby increasing the complexity of system debugging. Future work will focus on validating and enhancing response experiments based on experimental data to improve result reliability. Additionally, research efforts should concentrate on addressing the uncertainty of model parameters in quadrotor unmanned transport systems and potential external disturbances during transportation. Given the underactuation of the quadrotor UAV itself, there is practical value in delving into robust controller design with strong anti-jamming capabilities.

Author Contributions

Conceptualization, L.R. and J.L.; methodology, L.R. and J.L.; software, L.R.; validation, L.R., D.C. and Z.F.; formal analysis, J.L.; investigation, D.C.; resources, Z.F.; data curation, J.L. and D.C.; writing—original draft preparation, L.R.; writing—review and editing, L.R., B.C., J.L., D.C. and Z.F.; visualization, L.R.; supervision, B.C.; project administration, L.R. and B.C. All authors have read and agreed to the published version of the manuscript.

Funding

This research received no external funding.

Data Availability Statement

The data are contained within the article.

Conflicts of Interest

The authors declare no conflicts of interest.

References

  1. Ghadiri, H.; Emami, M.; Khodadadi, H. Adaptive Super-Twisting Non-Singular Terminal Sliding Mode Control for Tracking of Quadrotor with Bounded Disturbances. Aerosp. Sci. Technol. 2021, 112, 106616. [Google Scholar] [CrossRef]
  2. Santoso, F.; Garratt, M.A.; Anavatti, S.G.; Petersen, I. Robust Hybrid Nonlinear Control Systems for the Dynamics of a Quadrotor Drone. IEEE Trans. Syst. Man Cybern. Syst. 2018, 50, 3059–3071. [Google Scholar]
  3. Jiang, F.; Pourpanah, F.; Hao, Q. Design, Implementation, and Evaluation of a Neural-Network-Based Quadrotor UAV System. IEEE Trans. Ind. Electron. 2020, 67, 2076–2085. [Google Scholar] [CrossRef]
  4. Eliker, K.; Zhang, W. Finite-Time Adaptive Integral Backstepping Fast Terminal Sliding Mode Control Application on Quadrotor UAV. Int. J. Control. Autom. Syst. 2019, 18, 415–430. [Google Scholar] [CrossRef]
  5. Cai, Z.; Zhang, S.; Jing, X. Model Predictive Controller for Quadrotor Trajectory Tracking Based on Feedback Linearization. IEEE Access 2021, 9, 162909–162918. [Google Scholar] [CrossRef]
  6. Xie, W.; Cabecinhas, D.; Cunha, R.; Silvestre, C. Cooperative Path Following Control of Multiple Quadrotors with Unknown External Disturbances. IEEE Trans. Syst. Man Cybern. Syst. 2022, 52, 667–679. [Google Scholar] [CrossRef]
  7. Tang, S.; Wuest, V.; Kumar, V. Aggressive Flight with Suspended Payloads Using Vision-Based Control. IEEE Robot. Autom. Lett. 2018, 3, 1152–1159. [Google Scholar] [CrossRef]
  8. Eltayeb, A.; Rahmat, M.F.; Eltoum, M.A.M.; Ibrahim, M.H.S.; Basri, M.A.M. Trajectory Tracking for the Quadrotor UAV Utilizing Fuzzy PID Control Approach. In Proceedings of the 2020 International Conference on Computer, Control, Electrical, and Electronics Engineering (ICCCEEE), Khartoum, Sudan, 26 February 2021–1 March 2021; Volume 42, pp. 1–6. [Google Scholar]
  9. Zhang, Z.; Pan, X.; Zhang, Z.; Zhou, Z. Research on Autonomous Mobile Landing Method for Quadrotor UAV Based on Fuzzy PID. In Proceedings of the 2023 3rd International Conference on Electrical Engineering and Control Science (IC2ECS), Hangzhou, China, 29–31 December 2023; Volume 33, pp. 751–754. [Google Scholar]
  10. Madeiras, J.; Cardeira, C.; Oliveira, P.; Batista, P.; Silvestre, C. Saturated Trajectory Tracking Controller in the Body-Frame for Quadrotors. Drones 2024, 8, 163. [Google Scholar] [CrossRef]
  11. Abougarair, A.J.; Almgallesh, H.; Shashoa, N.A.A. Dynamics and Optimal Control of Quadrotor. In Proceedings of the 2024 IEEE 4th International Maghreb Meeting of the Conference on Sciences and Techniques of Automatic Control and Computer Engineering (MI-STA), Tripoli, Libya, 19–21 May 2024; Volume 6, pp. 136–141. [Google Scholar]
  12. Huang, W.; Huang, J.; Wang, B.; Zhang, Y.; Zhang, Y. Cascaded Trajectory Tracking Control for A Quadrotor UAV with Consideration of Actuator Dynamics. In Proceedings of the 2022 41st Chinese Control Conference (CCC), Hefei, China, 25–27 July 2022; pp. 2848–2853. [Google Scholar]
  13. Izaguirre-Espinosa, C.; Muñoz-Vázquez, A.J.; Sánchez-Orta, A.; Parra-Vega, V.; Castillo, P. Attitude Control of Quadrotors Based on Fractional Sliding Modes: Theory and Experiments. IET Control. Theory Appl. 2016, 10, 825–832. [Google Scholar] [CrossRef]
  14. Labbadi, M.; Cherkaoui, M. Adaptive Fractional-Order Nonsingular Fast Terminal Sliding Mode Based Robust Tracking Control of Quadrotor UAV with Gaussian Random Disturbances and Uncertainties. IEEE Trans. Aerosp. Electron. Syst. 2021, 57, 2265–2277. [Google Scholar] [CrossRef]
  15. Borja-Jaimes, V.; Coronel-Escamilla, A.; Escobar-Jiménez, R.F.; Adam-Medina, M.; Guerrero-Ramírez, G.V.; Sánchez-Coronado, E.M.; García-Morales, J. Fractional-Order Sliding Mode Observer for Actuator Fault Estimation in a Quadrotor UAV. Mathematics 2024, 12, 1247. [Google Scholar] [CrossRef]
  16. Hernández-Pérez, M.A.; Delgado-Reyes, G.; Borja-Jaimes, V.; Valdez-Martínez, J.S.; Cervantes-Bobadilla, M. An Adaptation of a Sliding Mode Classical Observer to a Fractional-Order Observer for Disturbance Reconstruction of a UAV Model: A Riemann–Liouville Fractional Calculus Approach. Mathematics 2023, 11, 4876. [Google Scholar] [CrossRef]
  17. Feng, Y.; Yu, X.-H.; Man, Z.-H. Non-Singular Terminal Sliding Mode Control and Its Application for Robot Manipulators. In Proceedings of the ISCAS 2001. The 2001 IEEE International Symposium on Circuits and Systems (Cat. No.01CH37196), Sydney, NSW, Australia, 6–9 May 2001; Volume 2, pp. 545–548. [Google Scholar]
  18. Muñoz, F.; González-Hernández, I.; Salazar, S.; Espinoza, E.S.; Lozano, R. Second Order Sliding Mode Controllers for Altitude Control of a Quadrotor UAS: Real-Time Implementation in Outdoor Environments. Neurocomputing 2017, 233, 61–71. [Google Scholar] [CrossRef]
  19. Ding, Y.; Wang, J.; Zhang, J.; Xi, L. Design of Quadrotor Attitude Controller Based on Data-Driven Model-Free Adaptive Sliding Mode Control. Int. J. Dyn. Control. 2023, 12, 1404–1414. [Google Scholar]
  20. Pan, J.; Shao, B.; Xiong, J.; Zhang, Q. Attitude Control of Quadrotor UAVs Based on Adaptive Sliding Mode. Int. J. Control. Autom. Syst. 2023, 21, 2698–2707. [Google Scholar] [CrossRef]
  21. Eltayeb, A.; Rahmat, M.F.; Basri, M.A.M.; Eltoum, M.A.M.; Mahmoud, M.S. Integral Adaptive Sliding Mode Control for Quadrotor UAV Under Variable Payload and Disturbance. IEEE Access 2022, 10, 94754–94764. [Google Scholar] [CrossRef]
  22. Jennan, N.; Mellouli, E.M. Robust Control for a Drone Quadrotor Using Fuzzy Logic-Based Fast Terminal Sliding Mode Control. J. Braz. Soc. Mech. Sci. Eng. 2024, 46, 432. [Google Scholar] [CrossRef]
  23. Eliker, K.; Grouni, S.; Tadjine, M.; Zhang, W. Quadrotor Nonsingular Finite-Time Adaptive Robust Saturated Command-Filtered Control System under the Presence of Uncertainties and Input Saturation. Nonlinear Dyn. 2021, 104, 1363–1387. [Google Scholar] [CrossRef]
  24. Mallavalli, S.; Fekih, A. An Observer-Based Backstepping Integral Nonsingular Fast Terminal Sliding Mode Fault Tolerant Control Design for Quadrotors Under Different Types of Actuator Faults. Int. J. Control. Autom. Syst. 2023, 21, 4015–4031. [Google Scholar] [CrossRef]
  25. Han, G.; Mofid, O.; Mobayen, S.; Khooban, M.H. Adaptive Prescribed Performance Based on Recursive Nonsingular Terminal Sliding Mode Control for Quad-Rotor Systems under Uncertainty and Disturbance: Real-Time Validation. Aerosp. Sci. Technol. 2024, 147, 109028. [Google Scholar] [CrossRef]
  26. Shevidi, A.; Hashim, H.A. Quaternion-Based Adaptive Backstepping Fast Terminal Sliding Mode Control for Quadrotor UAVs with Finite Time Convergence. Results Eng. 2024, 23, 102497. [Google Scholar] [CrossRef]
  27. Chen, X. Barrier Function-Based Adaptive Super-Twisting Integral Terminal Sliding Mode Control for a Quad-Rotor UAV. IEEE Access 2024, 12, 3992–3999. [Google Scholar] [CrossRef]
  28. Ding, F.; Sun, C.; Ai, Y.; Huang, J. Sliding Mode Control for Quadrotor-Slung Load Transportation System with State Constraints. In Proceedings of the 2022 IEEE International Conference on Cyborg and Bionic Systems (CBS), Wuhan, China, 24–26 March 2023; Volume 84, pp. 368–373. [Google Scholar]
  29. Liang, X.; Fang, Y.; Sun, N.; Lin, H.; Zhao, X. Adaptive Nonlinear Hierarchical Control for a Rotorcraft Transporting a Cable-Suspended Payload. IEEE Trans. Syst. Man Cybern. Syst. 2021, 51, 4171–4182. [Google Scholar] [CrossRef]
  30. Gajbhiye, S.; Cabecinhas, D.; Silvestre, C.; Cunha, R. Geometric Finite-Time Inner-Outer Loop Trajectory Tracking Control Strategy for Quadrotor Slung-Load Transportation. Nonlinear Dyn. 2021, 107, 2291–2308. [Google Scholar] [CrossRef]
  31. Yang, S.; Xian, B. Exponential Regulation Control of a Quadrotor Unmanned Aerial Vehicle with a Suspended Payload. IEEE Trans. Control. Syst. Technol. 2020, 28, 2762–2769. [Google Scholar] [CrossRef]
  32. Kusznir, T.; Smoczek, J. Sliding Mode-Based Control of a UAV Quadrotor for Suppressing the Cable-Suspended Payload Vibration. J. Control. Sci. Eng. 2020, 2020, 5058039. [Google Scholar] [CrossRef]
  33. Shi, D.; Wu, Z.; Chou, W. Harmonic Extended State Observer Based Anti-Swing Attitude Control for Quadrotor with Slung Load. Electronics 2018, 7, 83. [Google Scholar] [CrossRef]
  34. Yang, Y.; Zhang, D.; Xi, H.; Zhang, G. Anti-swing Control and Trajectory Planning of Quadrotor Suspended Payload System with Variable Length Cable. Asian J. Control 2021, 24, 2424–2436. [Google Scholar] [CrossRef]
  35. Huang, J.; Tao, H.; Wang, Y.; Sun, J.-Q. Suppressing UAV Payload Swing with Time-Varying Cable Length through Nonlinear Coupling. Mech. Syst. Signal Process. 2023, 185, 109790. [Google Scholar] [CrossRef]
  36. Zhang, Y.; Fan, B.; Sun, L.; Huang, G.; Zhao, Y. An Enhanced Energy Coupling-Based Control Method for Quadrotor UAV Suspended Payload with Variable Rope Length. Int. J. Precis. Eng. Manuf. 2024, 25, 2321–2336. [Google Scholar] [CrossRef]
  37. Chang, P.; Yang, S. Nonlinear Control Method Design of a Quadrotor Unmanned Aerial Vehicle with a Suspended Load Using an Elastic Rope. In Proceedings of the 2022 International Conference on Advanced Robotics and Mechatronics (ICARM), Guilin, China, 9–11 July 2022; pp. 826–831. [Google Scholar]
  38. Outeiro, P.; Cardeira, C.; Oliveira, P. Control Architecture for a Quadrotor Transporting a Cable-Suspended Load of Uncertain Mass. Drones 2023, 7, 201. [Google Scholar] [CrossRef]
  39. Chang, P.; Yang, S.; Tong, J.; Zhang, F. A New Adaptive Control Design for a Quadrotor System with Suspended Load by an Elastic Rope. Nonlinear Dyn. 2023, 111, 19073–19092. [Google Scholar] [CrossRef]
  40. Bingöl, Ö.; Güzey, H.M. Neuro Sliding Mode Control of Quadrotor UAVs Carrying Suspended Payload. Adv. Robot. 2021, 35, 255–266. [Google Scholar] [CrossRef]
  41. Xian, B.; Wang, S.; Yang, S. An Online Trajectory Planning Approach for a Quadrotor UAV with a Slung Payload. IEEE Trans. Ind. Electron. 2020, 67, 6669–6678. [Google Scholar] [CrossRef]
  42. Lv, Z.-Y.; Wu, Y.; Rui, W. Nonlinear Motion Control for a Quadrotor Transporting a Cable-Suspended Payload. IEEE Trans. Veh. Technol. 2020, 69, 8192–8206. [Google Scholar] [CrossRef]
  43. Zhu, Y.; Zheng, Z.; Shao, J.; Huang, H.; Zheng, W.X. Modeling, Robust Control Design, and Experimental Verification for Quadrotor Carrying Cable-Suspended Payload. IEEE Trans. Autom. Sci. Eng. 2024, 1–15. [Google Scholar] [CrossRef]
  44. Peris, C.; Norton, M.; Khoo, S.Y. Adaptive Multi Surface Sliding Mode Control of a Quadrotor Slung Load System. In Proceedings of the 2024 10th International Conference on Automation, Robotics and Applications (ICARA), Athens, Greece, 22–24 February 2024; pp. 251–255. [Google Scholar]
  45. Liu, C.; Pan, J.; Chang, Y. PID and LQR Trajectory Tracking Control for an Unmanned Quadrotor Helicopter: Experimental Studies. In Proceedings of the 2016 35th Chinese Control Conference (CCC), Chengdu, China, 27–29 July 2016; pp. 10845–10850. [Google Scholar]
Figure 1. Diagram of a quadrotor carrying a suspended load.
Figure 1. Diagram of a quadrotor carrying a suspended load.
Drones 08 00708 g001
Figure 2. Simplified model and coordinate of QSPSE.
Figure 2. Simplified model and coordinate of QSPSE.
Drones 08 00708 g002
Figure 3. Framework diagram of system control.
Figure 3. Framework diagram of system control.
Drones 08 00708 g003
Figure 9. The curve of system energy in Case 1.
Figure 9. The curve of system energy in Case 1.
Drones 08 00708 g009
Figure 10. The position control of quadrotor in Case 2.
Figure 10. The position control of quadrotor in Case 2.
Drones 08 00708 g010
Figure 11. The attitude control of quadrotor in Case 2.
Figure 11. The attitude control of quadrotor in Case 2.
Drones 08 00708 g011
Figure 12. The curve of load swing angle in Case 2.
Figure 12. The curve of load swing angle in Case 2.
Drones 08 00708 g012
Figure 13. The curve of the length of cable in Case 2.
Figure 13. The curve of the length of cable in Case 2.
Drones 08 00708 g013
Figure 14. Estimation curve of cable vertical force and cable length in Case 2.
Figure 14. Estimation curve of cable vertical force and cable length in Case 2.
Drones 08 00708 g014
Figure 15. The curve of system energy in Case 2.
Figure 15. The curve of system energy in Case 2.
Drones 08 00708 g015
Figure 16. The position control of quadrotor under external disturbance in Case 2.
Figure 16. The position control of quadrotor under external disturbance in Case 2.
Drones 08 00708 g016
Figure 17. The curve of load swing angle under external disturbance in Case 2.
Figure 17. The curve of load swing angle under external disturbance in Case 2.
Drones 08 00708 g017
Figure 18. The position control of quadrotor in Case 3.
Figure 18. The position control of quadrotor in Case 3.
Drones 08 00708 g018
Figure 19. The attitude control of quadrotor in Case 3.
Figure 19. The attitude control of quadrotor in Case 3.
Drones 08 00708 g019
Figure 20. The curve of load swing angle in Case 3.
Figure 20. The curve of load swing angle in Case 3.
Drones 08 00708 g020
Figure 21. The curve of the length of cable in Case 3.
Figure 21. The curve of the length of cable in Case 3.
Drones 08 00708 g021
Figure 22. Estimation curve of cable vertical force and cable length in Case 3.
Figure 22. Estimation curve of cable vertical force and cable length in Case 3.
Drones 08 00708 g022
Figure 23. The curve of system kinetic energy in Case 3.
Figure 23. The curve of system kinetic energy in Case 3.
Drones 08 00708 g023
Table 1. Definition of all the symbols in the dynamics equations.
Table 1. Definition of all the symbols in the dynamics equations.
SymbolPhysical MeaningUnitValue
U 1 , U 2 , U 3 , U 4 The input of QSPSE(N), (N·m)\
T t The tension of the elastic cable(N)\
L t The length of the elastic cable(m)\
α t ,The swing angle of the cable( )\
x q t , y q t , z q t The position of the quadrotor(m)\
x l t , y l t , z l t The position of the load(m)\
f , θ , ψ The attitude of the quadrotor( )\
τ The three-axis torques of quadrotor(N·m)\
G m The gyroscopic torques of propeller(N·m)\
ω B The angular velocity of quadrotorrad/s\
L 0 The initial length of the cable(m)0.6
k The elastic coefficient of cable(N/m)12
c The damping coefficient of the cable(Ns/m)6
M , m The mass of quadrotor and slung load(kg)2, 0.5
J = d i a g I x x , I y y , I z z The moment of inertia in three-axes direction(Kg·m2)0.0211, 0.0211, 0.0366
J r p Total moment of inertia of motor and propeller(Kg·m2)1.29 × 10−4
c T The lift coefficient of rotor(N/(rad/s)2)1.10 × 10−5
d The arm length of quadrotor(m)0.225
c M The reverse torque coefficient of rotor(N·m/(rad/s)2)1.12 × 10−7
ω - i The rotational speed of rotor(rad/s)\
Table 2. System controller parameters.
Table 2. System controller parameters.
Parameter c 1 c 2 k ε μ 1 μ 2
x 0.21.51.50.19/711/7
y 0.21.51.50.19/711/7
z 0.50.850.19/711/7
α 0.51.520.19/711/7
β 0.51.52.10.19/711/7
Table 3. Adaptive controller parameters.
Table 3. Adaptive controller parameters.
ParameterValue
η 1 8
η 1 50
v 0 0.5
Table 4. The results of position control in Case 1.
Table 4. The results of position control in Case 1.
Simulation ExperimentPID−LQR ControllerBase Energy ControllerProposed Controller
Overshoot of x q t 0.024 m0.126 m0.033 m
Overshoot of y q t 0.024 m0.2 m0.018 m
Overshoot of z q t 0.034 m0.009 m0.003 m
Table 5. The result of anti-swing control in Case 1.
Table 5. The result of anti-swing control in Case 1.
Simulation ExperimentPID−LQR ControllerBase Energy ControllerProposed Controller
Overshoot of α t 24.04°39.18°11.27°
Overshoot of β t 23.21°35.25°11.3°
Table 6. The estimation results of the force and length of the cable in Case 1.
Table 6. The estimation results of the force and length of the cable in Case 1.
Simulation ExperimentEstimated ValueActual Value
Force of Cable4.571 N4.9 N
Length of Cable0.8857 m0.9064 m
Table 7. The results of adjusting time of simulation experiment in Case 1.
Table 7. The results of adjusting time of simulation experiment in Case 1.
Simulation ExperimentPID−LQR ControllerBase Energy ControllerProposed Controller
Adjusting Time of Position5.95 s11.71 s5.37 s
Adjusting Time of Anti-swing4.95 s10.73 s3.95 s
Adjusting Time of System5.95 s11.71 s5.37 s
Table 8. The results of position control in Case 2.
Table 8. The results of position control in Case 2.
Simulation ExperimentPID−LQR ControllerBase Energy ControllerProposed Controller
Overshoot of x q t 0.105 m0.051 m0.216 m
Overshoot of y q t 0.153 m0.103 m0.372 m
Overshoot of z q t 0.038 m0.038 m0.217 m
Table 9. The swing angle control result in Case 2.
Table 9. The swing angle control result in Case 2.
Simulation ExperimentPID−LQR ControllerBase Energy ControllerProposed Controller
Overshoot of α t 17.47°18.87°14.82°
Overshoot of β t 23.21°23.7°16.4°
Table 10. The estimation results of the vertical force and length of the cable in Case 2.
Table 10. The estimation results of the vertical force and length of the cable in Case 2.
Simulation ExperimentEstimated ValueActual Value
Force of Cable4.65 N4.9 N
Length of Cable0.8906 m0.9064 m
Table 11. The results of adjusting time of simulation experiment in Case 2.
Table 11. The results of adjusting time of simulation experiment in Case 2.
Simulation ExperimentPID−LQR ControllerBase Energy ControllerProposed Controller
Adjusting Time of Position9.82 s11.03 s8.61 s
Adjusting Time of Anti-swing9.11 s10.29 s5.68 s
Adjusting Time of System9.82 s11.03 s8.61 s
Table 12. The swing angle control result in Case 3.
Table 12. The swing angle control result in Case 3.
Simulation ExperimentPID−LQR ControllerBase Energy ControllerProposed Controller
Maximum of α t 25.39°24.81°25.81°
Maximum of β t 32.91°42.69°14.79°
Table 13. Estimation result of adaptive controller at the tenth second in Case 3.
Table 13. Estimation result of adaptive controller at the tenth second in Case 3.
Simulation ExperimentEstimated ValueActual Value
Force of Cable5.11 N5.071 N
Length of Cable0.9194 m0.9176 m
Disclaimer/Publisher’s Note: The statements, opinions and data contained in all publications are solely those of the individual author(s) and contributor(s) and not of MDPI and/or the editor(s). MDPI and/or the editor(s) disclaim responsibility for any injury to people or property resulting from any ideas, methods, instructions or products referred to in the content.

Share and Cite

MDPI and ACS Style

Ru, L.; Liu, J.; Chen, B.; Chen, D.; Fan, Z. Adaptive Sliding Mode Control of Quadrotor System with Elastic Load Connection of Unknown Mass. Drones 2024, 8, 708. https://doi.org/10.3390/drones8120708

AMA Style

Ru L, Liu J, Chen B, Chen D, Fan Z. Adaptive Sliding Mode Control of Quadrotor System with Elastic Load Connection of Unknown Mass. Drones. 2024; 8(12):708. https://doi.org/10.3390/drones8120708

Chicago/Turabian Style

Ru, Longchao, Jiale Liu, Binqi Chen, Dengnuo Chen, and Zeyin Fan. 2024. "Adaptive Sliding Mode Control of Quadrotor System with Elastic Load Connection of Unknown Mass" Drones 8, no. 12: 708. https://doi.org/10.3390/drones8120708

APA Style

Ru, L., Liu, J., Chen, B., Chen, D., & Fan, Z. (2024). Adaptive Sliding Mode Control of Quadrotor System with Elastic Load Connection of Unknown Mass. Drones, 8(12), 708. https://doi.org/10.3390/drones8120708

Article Metrics

Back to TopTop