Insensitive Mechanism-Based Nonlinear Model Predictive Guidance for UAVs Intercepting Maneuvering Targets with Input Constraints
Abstract
1. Introduction
- 1.
- We propose the basic concept of the Insensitive Mechanism (IM), which is expressed by concrete formulations through a UAV interception scenario. This concept is then transformed into an additional cost function within the NMPC framework.
- 2.
- To estimate the target states while reducing the required information acquisition, we design a fixed-time sliding mode disturbance observer to obtain information on the target’s maneuverability.
- 3.
- The UAV interception task is then formulated into a comprehensive Quadratic Programming (QP) problem with the consideration of soft constraints. Consequently, a guidance algorithm that integrates NMPC with IM is presented.
- 4.
- To refine the algorithm, we adjust the parameters and qualitatively analyze the reasons. For the reason that NMPC considers more about the predicted position, we design a determination of maximum input to correct the trajectory in a timely manner.
2. Preliminaries and Problem Statement
2.1. Engagement Kinematics of UAVs
2.2. Nonlinear Model Predictive Control
2.3. Problem Statement
3. Insensitive Mechanism-Based Nonlinear Model Predictive Guidance
3.1. Design of Insensitive Mechanism
3.2. NMPC-IM Guidance Law with Fixed-Time Sliding Mode Observer
3.2.1. Full Description of the QP Problem
3.2.2. Fixed-Time Sliding Mode Observer for Acceleration Estimation of Maneuvering Target
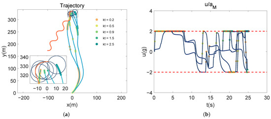
3.2.3. Maximum Input Determination
4. Simulation Results
4.1. Experimental Settings and Datasets
4.2. Selection of the Desired Output
4.3. Compare pure NMPC-IM with PNG
4.4. Effectiveness Validation of Maximum Input Determination
4.5. Comparison of NMPC-IM with PNG and NMPC
4.6. Further Testing of The NMPC-IM Algorithm
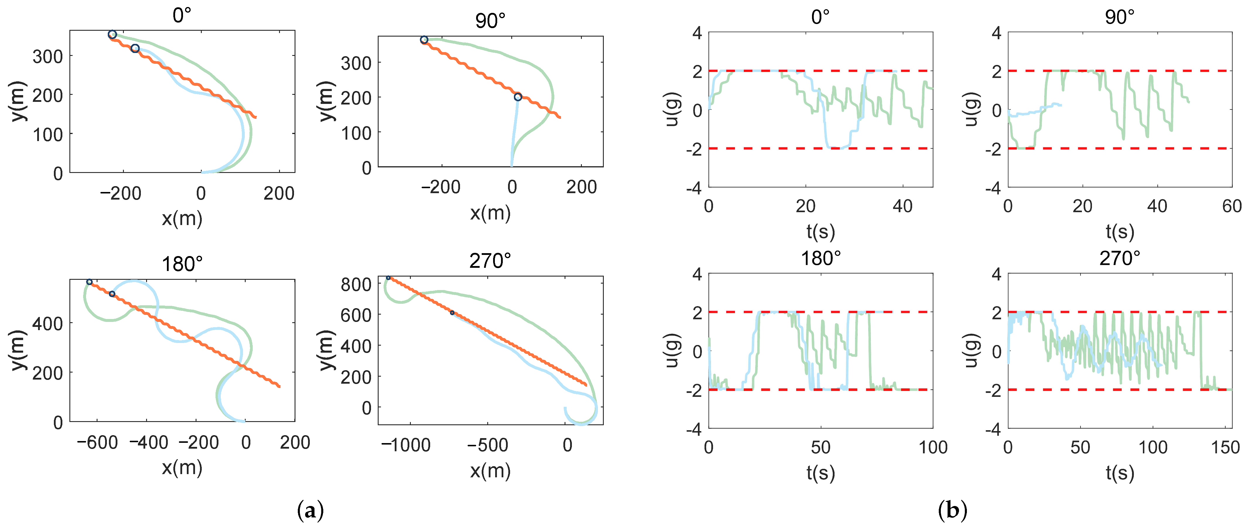
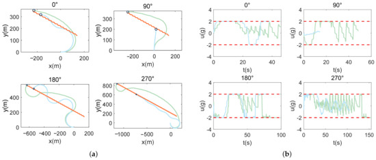
4.6.1. Different Initial Heading Angles of M
4.6.2. Add Disturbance Observer
5. Conclusions
Author Contributions
Funding
Data Availability Statement
Acknowledgments
Conflicts of Interest
References
- Ramezani, M.; Amiri Atashgah, M.A. Energy-Aware Hierarchical Reinforcement Learning Based on the Predictive Energy Consumption Algorithm for Search and Rescue Aerial Robots in Unknown Environments. Drones 2024, 8, 283. [Google Scholar] [CrossRef]
- Yan, T.; Liu, C.; Gao, M.; Jiang, Z.; Li, T. A Deep Reinforcement Learning-Based Intelligent Maneuvering Strategy for the High-Speed UAV Pursuit-Evasion Game. Drones 2024, 8, 309. [Google Scholar] [CrossRef]
- Shima, T.; Shinar, J. Time-Varying Linear Pursuit-Evasion Game Models with Bounded Controls. J. Guid. Control. Dyn. 2002, 25, 425–432. [Google Scholar] [CrossRef]
- Shao, J.; Xu, Y.; Luo, D. Cooperative combat decision-making research for multi UAVs. Inf. Control. 2018, 47, 347–354. [Google Scholar] [CrossRef]
- Liang, X.; Zhou, B.; Jiang, L.; Meng, G.; Xiu, Y. Collaborative pursuit-evasion game of multi-UAVs based on Apollonius circle in the environment with obstacle. Connect. Sci. 2023, 35, 2168253. [Google Scholar] [CrossRef]
- Xiong, H.; Zhang, Y. Reinforcement learning-based formation-surrounding control for multiple quadrotor UAVs pursuit-evasion games. ISA Trans. 2024, 145, 205–224. [Google Scholar] [CrossRef] [PubMed]
- Zhang, R.; Zong, Q.; Zhang, X.; Dou, L.; Tian, B. Game of Drones: Multi-UAV Pursuit-Evasion Game With Online Motion Planning by Deep Reinforcement Learning. IEEE Trans. Neural Netw. Learn. Syst. 2023, 34, 7900–7909. [Google Scholar] [CrossRef] [PubMed]
- Fu, X.; Xu, Z.; Wang, H. Generalization strategy design of UAVs pursuit evasion game based on DDPG. J. Northwestern Polytech. Univ. 2022, 40, 47–55. [Google Scholar] [CrossRef]
- Qin, H.L.; Meng, Z.H. Autonomous Exploration and Mapping System Using Heterogeneous UAVs and UGVs in GPS-Denied Environments. IEEE Trans. Veh. Technol. 2019, 68, 1339–1350. [Google Scholar] [CrossRef]
- Li, J.Q.; Zhang, G.Q. Integrating Dynamic Event-Triggered and Sensor-Tolerant Control: Application to USV-UAVs Cooperative Formation System for Maritime Parallel Search. IEEE Trans. Intell. Transp. Syst. 2023, 25, 3986–3998. [Google Scholar] [CrossRef]
- Zhou, X.B.; Yu, X. UAV Collision Avoidance Based on Varying Cells Strategy. IEEE Trans. Aerosp. Electron. Syst. 2019, 55, 1743–1755. [Google Scholar] [CrossRef]
- Ghawghawe, S.N.; Ghose, D. Pure proportional navigation against time-varying target manoeuvres. IEEE Trans. Aerosp. Electron. Syst. 1996, 32, 1336–1347. [Google Scholar] [CrossRef]
- Li, Z.; Xia, Y.; Su, C.; Deng, J.; Fu, J.; He, W. Missile Guidance Law Based on Robust Model Predictive Control Using Neural-Network Optimization. IEEE Trans. Neural Netw. Learn. Syst. 2015, 26, 1803–1809. [Google Scholar] [CrossRef] [PubMed]
- Kang, S.; Wang, J.; Li, G.; Shan, J. MPC-consensus based optimal cooperative guidance law design. In Proceedings of the 2016 IEEE Chinese Guidance, Navigation and Control Conference (CGNCC), Nanjing, China, 12 August 2016; pp. 336–341. Available online: https://kns.cnki.net/KCMS/detail/detail.aspx?filename=ZGHU201608003062&dbname=IPFDTEMP (accessed on 23 January 2017).
- He, X.; Chen, W.; Yang, L. Suboptimal Impact-Angle-Constrained Guidance Law Using Linear Pseudospectral Model Predictive Spread Control. IEEE Access 2020, 8, 102040–102050. [Google Scholar] [CrossRef]
- Zhao, S.; Chen, W.; Yang, L. Cooperative Optimal Guidance Law with Simultaneous Attack and Impact Angle Constraint Using Linear Pseudospectral Model Predictive Control. In Proceedings of the 2021 12th International Conference on Mechanical and Aerospace Engineering (ICMAE), Athens, Greece, 16–19 July 2021; pp. 511–517. [Google Scholar] [CrossRef]
- Bhattacharjee, D.; Chakravarthy, A.; Subbarao, K. Nonlinear Model Predictive Control and Collision-Cone-Based Missile Guidance Algorithm. J. Guid. Control. Dyn. 2021, 44, 1481–1497. [Google Scholar] [CrossRef]
- Çetin, A.T.; Koyuncu, E. Model Predictive Control-Based Guidance with Impact Angle Constraints for Visual Quadrotor Interception. In Proceedings of the 2023 9th International Conference on Control, Decision and Information Technologies (CoDIT), Rome, Italy, 3–6 July 2023; pp. 1–6. [Google Scholar] [CrossRef]
- Bhattacharjee, D.; Chakravarthy, A.; Subbarao, K. Nonlinear Model Predictive Control Based Missile Guidance for Target Interception. In Proceedings of the AIAA Scitech 2020 Forum, Orlando, FL, USA, 6–10 January 2020. AIAA Paper 2020–0865. [Google Scholar] [CrossRef]
- Kwon, W.H.; Han, S.H. Receding Horizon Control: Model Predictive Control for State Models; Springer: London, UK, 2006; pp. 8–11, 84–85. [Google Scholar]
- Lianos, D.; Shtessel, Y.; Shkolnikov, I. Integrated guidance-control system of a homing interceptor—Sliding mode approach. In Proceedings of the AIAA Guidance, Navigation, and Control Conference and Exhibit, Montreal, QC, Canada, 6–9 August 2001. AIAA 2001–4218. [Google Scholar] [CrossRef]
- Paul, N.; Ghose, D. Longitudinal-Acceleration-Based Guidance Law for Maneuvering Targets Inspired by Hawk’s Attack Strategy. J. Guid. Control. Dyn. 2023, 46, 1437–1447. [Google Scholar] [CrossRef]
- Moore, T.Y.; Biewener, A.A. Outrun or Outmaneuver: Predator–Prey Interactions as a Model System for Integrating Biomechanical Studies in a Broader Ecological and Evolutionary Context. Integr. Comp. Biol. 2015, 55, 1188–1197. [Google Scholar] [CrossRef] [PubMed]
- Chen, J.; Xu, Y.; Zheng, Z. Neural Network and Extended State Observer-Based Model Predictive Control for Smooth Braking at Preset Points in Autonomous Vehicles. Drones 2024, 8, 273. [Google Scholar] [CrossRef]
- Wang, D.; Gao, Y.; Wei, W. Sliding mode observer-based model predictive tracking control for Mecanum-wheeled mobile robot. ISA Trans. 2024, 151, 51–61. [Google Scholar] [CrossRef] [PubMed]
- Basin, M.; Bharath Panathula, C.; Shtessel, Y. Multivariable continuous fixed-time second-order sliding mode control: Design and convergence time estimation. IET Control. Theory Appl. 2017, 11, 1104–1111. [Google Scholar] [CrossRef]
- Zhang, M.J. Research of Multi-interceptor Cooperative Guidance Law with Line-of-sight Angle Constraint. Master’s Thesis, National University of Defense Technology, Changsha, China, October 2019. [Google Scholar] [CrossRef]
- Boyd, S.; Vandenberghe, L. Convex Optimization; Cambridge University Press: Cambridge, UK, 2004; pp. 31–32. [Google Scholar]














| Variables | Value | Variables | Value |
|---|---|---|---|
| 1 | 0.1 s | 2 | 10 m |
| 14 m/s | 10 m/s | ||
| 2 g | −2 g | ||
| 1 g | −1 g | ||
| 50 | 25 | ||
| 0.1 | 1 | ||
| 3 | 100 | 200 | |
| Equation (25) | [p/2] | ||
| 50 | 3 | ||
| Equation (24) | 3 | ||
| 4 | 0 g | 5 | 50 m |
| 6 | 0 |
| Guidance Laws | ||||
|---|---|---|---|---|
| s | s | s | s | |
| 1 = 3.1628 g | g | g | g | |
| s | s | s | s | |
| g | g | g | g |
| Guidance Laws | ||||
|---|---|---|---|---|
| s | s | s | s | |
| g | g | g | g | |
| s | s | s | s | |
| g | g | g | g |
| Guidance Laws | (s) | (g) | Computation Time 1 (s) |
|---|---|---|---|
| 30.3 | 2.6829 | 0.2784 | |
| 30.7 | 1.5450 | 3.3304 | |
| NMPC-IM | 31.8 | 1.2876 | 1.5531 |
| Guidance Laws | (s) | (g) | Computation Time (s) |
|---|---|---|---|
| 15.0 | 3.0351 | 0.2098 | |
| 14.7 | 1.5293 | 1.1526 | |
| NMPC-IM | 14.6 | 1.4304 | 0.9277 |
Disclaimer/Publisher’s Note: The statements, opinions and data contained in all publications are solely those of the individual author(s) and contributor(s) and not of MDPI and/or the editor(s). MDPI and/or the editor(s) disclaim responsibility for any injury to people or property resulting from any ideas, methods, instructions or products referred to in the content. |
© 2024 by the authors. Licensee MDPI, Basel, Switzerland. This article is an open access article distributed under the terms and conditions of the Creative Commons Attribution (CC BY) license (https://creativecommons.org/licenses/by/4.0/).
Share and Cite
Huang, D.; Zhang, M.; Zhan, T.; Ma, J. Insensitive Mechanism-Based Nonlinear Model Predictive Guidance for UAVs Intercepting Maneuvering Targets with Input Constraints. Drones 2024, 8, 608. https://doi.org/10.3390/drones8110608
Huang D, Zhang M, Zhan T, Ma J. Insensitive Mechanism-Based Nonlinear Model Predictive Guidance for UAVs Intercepting Maneuvering Targets with Input Constraints. Drones. 2024; 8(11):608. https://doi.org/10.3390/drones8110608
Chicago/Turabian StyleHuang, Danpeng, Mingjie Zhang, Taideng Zhan, and Jianjun Ma. 2024. "Insensitive Mechanism-Based Nonlinear Model Predictive Guidance for UAVs Intercepting Maneuvering Targets with Input Constraints" Drones 8, no. 11: 608. https://doi.org/10.3390/drones8110608
APA StyleHuang, D., Zhang, M., Zhan, T., & Ma, J. (2024). Insensitive Mechanism-Based Nonlinear Model Predictive Guidance for UAVs Intercepting Maneuvering Targets with Input Constraints. Drones, 8(11), 608. https://doi.org/10.3390/drones8110608

