Potential-Field-RRT: A Path-Planning Algorithm for UAVs Based on Potential-Field-Oriented Greedy Strategy to Extend Random Tree
Abstract
1. Introduction
2. Related Works
2.1. Problem Definition
2.2. Rapidly-Exploring Random Tree
| Algorithm 1 RRT |
| Input: Map, , ; |
| Output: ; |
| 1 : , , ; |
| 2 : while do |
| 3 : ; |
| 4 : ; |
| 5 : ; |
| 6 : ; |
| 7 : if then |
| 8 : ; |
| 9 : ; |
| 10: if then |
| 11: return ; |
- : Given a weighted map , it returns a random coordinate point in the map as a guide point .
- : Given and guide point , it calculates the point closest to in V as the extended proximal point , and returns it.
- : Given and , it takes as the starting point as the guide, intercepts the point at which the set step length of the upper guide distance is , and returns to .
- : Given and , it returns or after collision checking. In addition, the calculated distances are all Euclidean distances.
2.3. Artificial Potential Field
2.4. Analysis of the Advantages and Disadvantages of Two Algorithms
3. Potential-Field-RRT
3.1. Greedy Strategy Based on Potential-Field Orientation
3.2. Root Node Iterates Once
| Algorithm 2 PF-RRT |
| Input: , , ; |
| Output: ; |
| 1 : , , , ; |
| 2 : ; |
| 3 : while do |
| 4 : ; |
| 5 : ; |
| 6 : ; |
| 7 : while do |
| 8 : ; |
| 9 : ; |
| 10: if and then |
| 11: ; |
| 12: if then |
| 13: ; |
| 14: ; |
| 15: ; |
| 16: ; |
| 17: else ; |
| 18: if then |
| 19: return ; |
- : Given the map information, the map is sliced, and the potential-field force matrix is calculated and output according to Equation (9).
- : Unlike other RRT algorithms, here the field-averaged force of the detected segment path is calculated and returned based on the input potential-field force matrix .
4. Simulation Experiment and Analysis
4.1. Simulation Environment and Its Initial Conditions
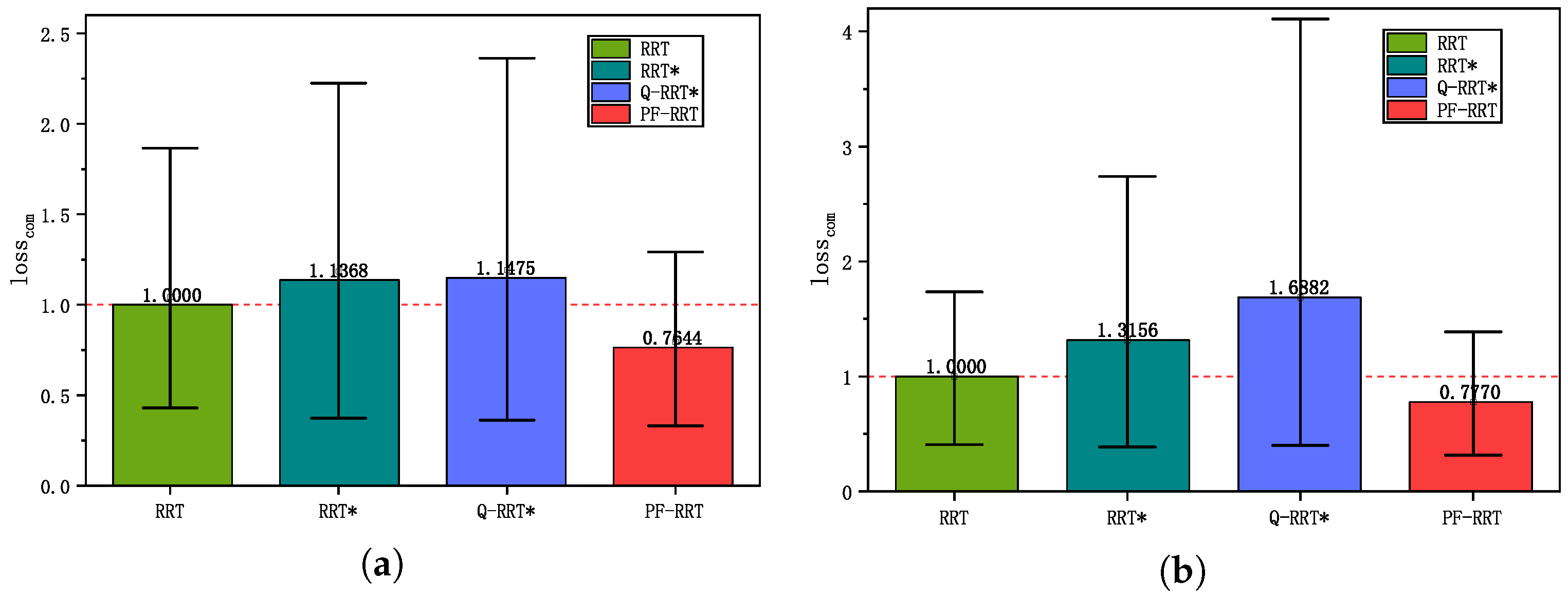
4.2. Analysis of Experimental Results in the Two-Dimensional Plane
4.3. Analysis of Experimental Results in Three-Dimensional Space
4.4. 3D Simulation and Physical Flight
5. Conclusions
Author Contributions
Funding
Data Availability Statement
Conflicts of Interest
References
- Chamola, V.; Kotesh, P.; Agarwal, A.; Gupta, N.; Guizani, M. A comprehensive review of unmanned aerial vehicle attacks and neutralization techniques. Ad Hoc Netw. 2021, 111, 102324. [Google Scholar] [CrossRef] [PubMed]
- Ha, S.W.; Paul, Q.; Moon, Y.H. Improvement of UAV attitude information estimation performance using image processing and kalman filter. J. Converg. Inf. Technol. 2018, 8, 135–142. [Google Scholar]
- Evers, L.; Dollevoet, T.; Barros, A.I.; Monsuur, H. Robust UAV mission planning. Ann. Oper. Res. 2014, 222, 293–315. [Google Scholar] [CrossRef]
- Wang, Z.; Yue, P. Marine Island UAV Aerial Photography: A Path-Planning Algorithm-Based Study. J. Coast. Res. 2020, 106, 642–645. [Google Scholar]
- Wang, S.; Xu, S.; Yu, C.; Wu, H.; Liu, Q.; Liu, D.; Jin, L.; Zheng, Y.; Song, J.; He, X. Obstacle Avoidance and Profile Ground Flight Test and Analysis for Plant Protection UAV. Drones 2022, 6, 125. [Google Scholar] [CrossRef]
- Li, J.; Liu, H.; Lai, K.K.; Ram, B. Vehicle and UAV Collaborative Delivery Path Optimization Model. Mathematics 2022, 10, 3744. [Google Scholar] [CrossRef]
- Papadopoulou, E.E.; Vasilakos, C.; Zouros, N.; Soulakellis, N. DEM-Based UAV Flight Planning for 3D Mapping of Geosites: The Case of Olympus Tectonic Window, Lesvos, Greece. ISPRS Int. J. Geo-Inf. 2021, 10, 535. [Google Scholar] [CrossRef]
- Sun, W.; Fan, K.; Huang, T.; Cui, J. Path Optimization of UAV Inspection Suspended Track Based on Dynamic Adaptive Ant Colony Optimization. In Proceedings of the 2022 6th International Conference on Automation, Control and Robots (ICACR), Shanghai, China, 23–25 September 2022; pp. 142–147. [Google Scholar]
- Samar, R.; Rehman, A. Autonomous terrain-following for unmanned air vehicles. Mechatronics 2011, 21, 844–860. [Google Scholar] [CrossRef]
- Stentz, A. Optimal and efficient path planning for partially known environments. In Intelligent Unmanned Ground Vehicles: Autonomous Navigation Research at Carnegie Mellon; Springer: Berlin/Heidelberg, Germany, 1997; pp. 203–220. [Google Scholar]
- Daniel, K.; Nash, A.; Koenig, S.; Felner, A. Theta*: Any-angle path planning on grids. J. Artif. Intell. Res. 2010, 39, 533–579. [Google Scholar] [CrossRef]
- Ferguson, D.; Stentz, A. Field D*: An interpolation-based path planner and replanner. In Robotics Research: Results of the 12th International Symposium ISRR; Springer: Berlin/Heidelberg, Germany, 2007; pp. 239–253. [Google Scholar]
- Tu, J.; Yang, S.X. Genetic algorithm based path planning for a mobile robot. In Proceedings of the 2003 IEEE International Conference on Robotics and Automation (Cat. No. 03CH37422), Taipei, Taiwan, 14–19 September 2003; Volume 1, pp. 1221–1226. [Google Scholar]
- Dorigo, M.; Maniezzo, V.; Colorni, A. Ant system: Optimization by a colony of cooperating agents. IEEE Trans. Syst. Man Cybern. Part B Cybern. 1996, 26, 29–41. [Google Scholar] [CrossRef] [PubMed]
- Oleiwi, B.K.; Roth, H.; Kazem, B.I. A hybrid approach based on ACO and GA for multi objective mobile robot path planning. Appl. Mech. Mater. 2014, 527, 203–212. [Google Scholar] [CrossRef]
- Kennedy, J.; Eberhart, R.C. A discrete binary version of the particle swarm algorithm. In Proceedings of the 1997 IEEE International Conference on Systems, Man, and Cybernetics, Computational Cybernetics and Simulation, Orlando, FL, USA, 12–15 October 1997; Volume 5, pp. 4104–4108. [Google Scholar]
- Khuswendi, T.; Hindersah, H.; Adiprawita, W. Uav path planning using potential field and modified receding horizon A* 3D algorithm. In Proceedings of the 2011 International Conference on Electrical Engineering and Informatics, Bandung, Indonesia, 17–19 July 2011; pp. 1–6. [Google Scholar]
- Saravanakumar, S.; Asokan, T. Multipoint potential field method for path planning of autonomous underwater vehicles in 3D space. Intell. Serv. Robot. 2013, 6, 211–224. [Google Scholar] [CrossRef]
- Raja, R.; Dutta, A.; Venkatesh, K.S. New potential field method for rough terrain path planning using genetic algorithm for a 6-wheel rover. Robot. Auton. Syst. 2015, 72, 295–306. [Google Scholar] [CrossRef]
- LaValle, S.M. Rapidly-exploring random trees: A new tool for path planning. In The Annual Research Report; Iowa State University: Ames, IA, USA, 1998. [Google Scholar]
- Kavraki, L.E.; Kolountzakis, M.N.; Latombe, J.C. Analysis of probabilistic roadmaps for path planning. IEEE Trans. Robot. Autom. 1998, 14, 166–171. [Google Scholar] [CrossRef]
- Kuffner, J. RRT-Connect: An efficient approach to single-query path planning. In Proceedings of the IEEE International Conference on Robotics and Automation, San Francisco, CA, USA, 24–28 April 2000; pp. 473–479. [Google Scholar]
- Karaman, S.; Walter, M.R.; Perez, A.; Frazzoli, E.; Teller, S. Anytime motion planning using the RRT. In Proceedings of the 2011 IEEE International Conference on Robotics and Automation, Shanghai, China, 9–13 May 2011; pp. 1478–1483. [Google Scholar]
- Jeong, I.B.; Lee, S.J.; Kim, J.H. Quick-RRT*: Triangular inequality-based implementation of RRT* with improved initial solution and convergence rate. Expert Syst. Appl. 2019, 123, 82–90. [Google Scholar] [CrossRef]
- Urmson, C.; Simmons, R. Approaches for heuristically biasing RRT growth. In Proceedings of the 2003 IEEE/RSJ International Conference on Intelligent Robots and Systems (IROS 2003) (Cat. No. 03CH37453), Las Vegas, NV, USA, 27–31 October 2003; Volume 2, pp. 1178–1183. [Google Scholar]
- Gammell, J.D.; Srinivasa, S.S.; Barfoot, T.D. Informed RRT: Optimal sampling-based path planning focused via direct sampling of an admissible ellipsoidal heuristic. In Proceedings of the 2014 IEEE/RSJ International Conference on Intelligent Robots and Systems, Chicago, IL, USA, 14–18 September 2014; pp. 2997–3004. [Google Scholar]
- Li, Y.; Wei, W.; Gao, Y.; Wang, D.; Fan, Z. PQ-RRT*: An improved path planning algorithm for mobile robots. Expert Syst. Appl. 2020, 152, 113425. [Google Scholar] [CrossRef]
- Liao, B.; Wan, F.; Hua, Y.; Ma, R.; Zhu, S.; Qing, X. F-RRT*: An improved path planning algorithm with improved initial solution and convergence rate. Expert Syst. Appl. 2021, 184, 115457. [Google Scholar] [CrossRef]
- Guo, Y.; Liu, X.; Jiang, W.; Zhang, W. Collision-Free 4D Dynamic Path Planning for Multiple UAVs Based on Dynamic Priority RRT* and Artificial Potential Field. Drones 2023, 7, 180. [Google Scholar] [CrossRef]




















| Method | ||||||||
|---|---|---|---|---|---|---|---|---|
| RRT | 56.83 | 56.51 | 77.67 | 44.26 | 0.90 | 0.26 | 21.74 | 0.02 |
| RRT* | 45.93 | 45.43 | 60.44 | 37.90 | 1.37 | 0.39 | 28.21 | 0.03 |
| RRT-C | 39.52 | 39.07 | 49.91 | 35.71 | 1.49 | 0.48 | 20.14 | 0.04 |
| DG-RRT | 38.74 | 38.37 | 47.10 | 34.58 | 0.79 | 0.21 | 17.10 | 0.01 |
| Method | ||||||||
|---|---|---|---|---|---|---|---|---|
| RRT | 56.24 | 55.51 | 75.01 | 34.24 | 0.96 | 0.27 | 15.54 | 0.03 |
| RRT* | 45.68 | 45.34 | 59.29 | 35.56 | 1.79 | 0.53 | 20.36 | 0.06 |
| RRT-C | 39.25 | 39.04 | 45.71 | 37.83 | 2.64 | 1.01 | 18.05 | 0.12 |
| DG-RRT | 37.96 | 37.58 | 49.69 | 34.52 | 0.87 | 0.17 | 13.06 | 0.01 |
Disclaimer/Publisher’s Note: The statements, opinions and data contained in all publications are solely those of the individual author(s) and contributor(s) and not of MDPI and/or the editor(s). MDPI and/or the editor(s) disclaim responsibility for any injury to people or property resulting from any ideas, methods, instructions or products referred to in the content. |
© 2023 by the authors. Licensee MDPI, Basel, Switzerland. This article is an open access article distributed under the terms and conditions of the Creative Commons Attribution (CC BY) license (https://creativecommons.org/licenses/by/4.0/).
Share and Cite
Huang, T.; Fan, K.; Sun, W.; Li, W.; Guo, H. Potential-Field-RRT: A Path-Planning Algorithm for UAVs Based on Potential-Field-Oriented Greedy Strategy to Extend Random Tree. Drones 2023, 7, 331. https://doi.org/10.3390/drones7050331
Huang T, Fan K, Sun W, Li W, Guo H. Potential-Field-RRT: A Path-Planning Algorithm for UAVs Based on Potential-Field-Oriented Greedy Strategy to Extend Random Tree. Drones. 2023; 7(5):331. https://doi.org/10.3390/drones7050331
Chicago/Turabian StyleHuang, Tai, Kuangang Fan, Wen Sun, Weichao Li, and Haoqi Guo. 2023. "Potential-Field-RRT: A Path-Planning Algorithm for UAVs Based on Potential-Field-Oriented Greedy Strategy to Extend Random Tree" Drones 7, no. 5: 331. https://doi.org/10.3390/drones7050331
APA StyleHuang, T., Fan, K., Sun, W., Li, W., & Guo, H. (2023). Potential-Field-RRT: A Path-Planning Algorithm for UAVs Based on Potential-Field-Oriented Greedy Strategy to Extend Random Tree. Drones, 7(5), 331. https://doi.org/10.3390/drones7050331

