Multi-UAV Formation Control in Complex Conditions Based on Improved Consistency Algorithm
Abstract
1. Introduction
2. UAV Dynamics Modeling and Consistency Algorithm
2.1. UAV Formation Description
2.2. UAV Kinematics Model
2.3. The Basic Principle of Consensus Algorithm
3. Improved Consistency Algorithm
3.1. Formation State Control
3.2. Formation Control Protocol Adjustment under Constraints
3.3. Convergence Proof of Improved Consistency Algorithm
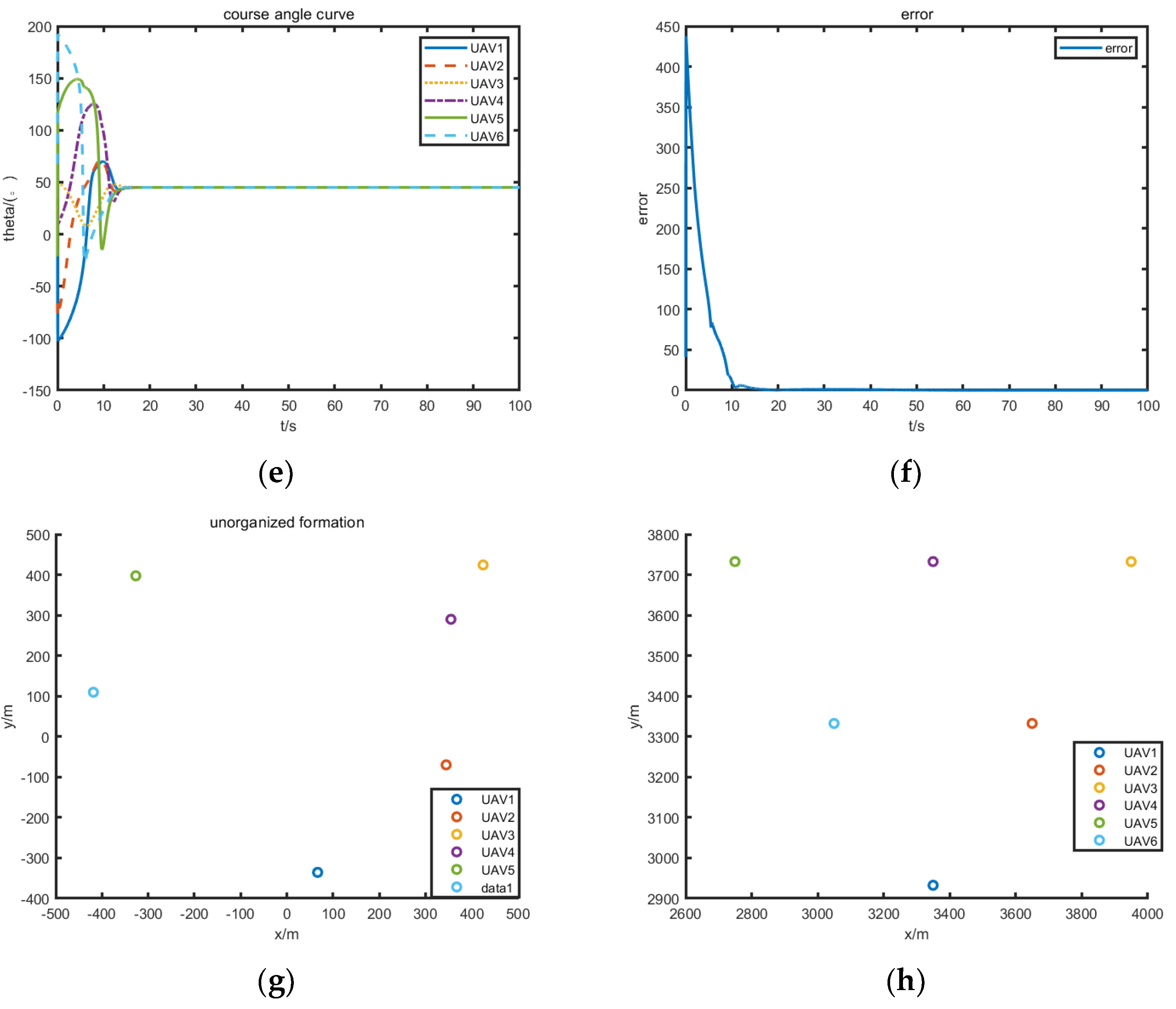
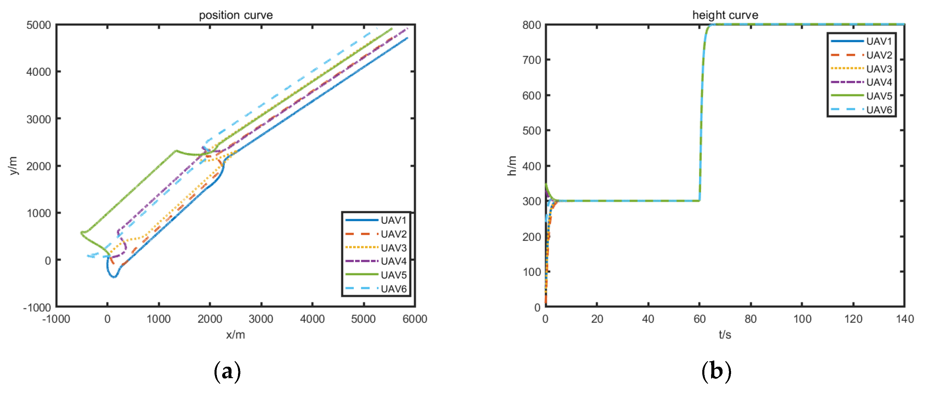
4. Simulation and Results
5. Conclusions
Author Contributions
Funding
Data Availability Statement
Conflicts of Interest
References
- Zhang, G.J.; Yan, H. Application and future development of unmanned aerial vehicle in forestry. J. For. Eng. 2019, 4, 8–16. (In Chinese) [Google Scholar]
- Dai, W.; Zhang, H.T. Application analysis of UAV in future naval warfare field. J. Ordnance Equip. Eng. 2018, 39, 21–24. (In Chinese) [Google Scholar]
- Han, L.; Ren, Z. Research on cooperative control method and application for multiple unmanned aerial vehicles. Navig. Position. Timing 2018, 5, 1–7. (In Chinese) [Google Scholar]
- Zong, Q.; Wang, D.; Shao, S.; Zhang, B.; Han, Y. Research status and development of multi UAV coordinated formation flight control. J. Harbin Inst. Technol. 2017, 49, 1–14. [Google Scholar]
- Pacher, M.; D’Azzo, J.J.; Proud, A.W. Tight Formation Flight Control. J. Guid. Control Dyn. 2001, 24, 246–254. [Google Scholar] [CrossRef]
- Han, Q.; Zhang, A.; Wang, X.; Cao, R. Leader-following consensus of multi-agent system with multiple leaders under formation control. In Proceedings of the 2020 IEEE 3rd International Conference of Safe Production and Informatization (IICSPI), Chongqing, China, 28–30 November 2020; pp. 380–384. [Google Scholar]
- Challa, V.R.; Ratnoo, A. Analysis of UAV Kinematic Constraints for Rigid Formation Flying. In Proceedings of the AIAA Guidance, Navigation, and Control Conference, San Diego, CA, USA, 4–8 January 2016. [Google Scholar]
- Luo, D.; Zhou, T.; Wu, S. Obstacle Avoidance and Formation Regrouping Strategy and Control for UAV Formation Flight. In Proceedings of the 10th IEEE International Conference on Control and Automation, Hangzhou, China, 12–14 June 2013; pp. 1921–1926. [Google Scholar]
- Vazquez Trejo, J.A.; Adam Medina, M.; Vázquez Trejo, J.A. Robust Observer-based Leader-Following Consensus for Multi-agent Systems. IEEE Lat. Am. Trans. 2021, 11, 1949–1958. [Google Scholar] [CrossRef]
- Cam, P.G.; Napolitano, M.R.; Brad, S.; Perhinschi, M.G. Design of Control Laws for Maneuvered Formation Flight. In Proceedings of the IEEE Proceedings of the American Control Conference, Boston, MA, USA, 30 June–2 July 2004; pp. 2344–2349. [Google Scholar]
- Jin, X.Z.; Wang, S.F.; Yang, G.H.; Ye, D. Robust adaptive hierarchical insensitive tracking control of a class of leader-follower agents. Inf. Sci. 2017, 406, 234–247. [Google Scholar] [CrossRef]
- Jin, X.; Haddad, W.M. An adaptive control architecture for leader-follower multiagent systems with stochastic disturbances and sensor and actuator attacks. Int. J. Control 2019, 92, 2561–2570. [Google Scholar] [CrossRef]
- Ebegbulem, J.; Guay, M. Distributed control of multiagent systems over unknown communication networks using extremum seeking. J. Process Control 2017, 59, 37–48. [Google Scholar] [CrossRef]
- Yun, X.; Alptekin, G.; Albayrak, O. Line and Circle Formation of Distributed Physical Mobile Robots. J. Robot. Syst. 1997, 14, 63–76. [Google Scholar] [CrossRef]
- Ren, W. Consensus strategies for cooperative control of vehicle formations. IET Control Theory Appl. 2007, 1, 505–512. [Google Scholar] [CrossRef]
- Gulzar, M.M.; Rizvi, S.T.H. Multi-agent cooperative control consensus: A comparative review. Electronics 2018, 7, 22. [Google Scholar] [CrossRef]
- Aust, T.; Talamali, M.S.; Dorigo, M.; Hamann, H.; Reina, A. The hidden benefits of limited communication and slow sensing in collective monitoring of dynamic environments. In Swarm Intelligence, Proceedings of the 13th International Conference, ANTS 2022, Málaga, Spain, 2–4 November 2022; Springer: Cham, Switzerland, 2022. [Google Scholar]
- Rausch, I.; Khaluf, Y.; Simoens, P. Collective decision-making on triadic graphs. In Complex Networks XI; Springer: Cham, Switzerland, 2020; pp. 119–130. [Google Scholar]
- Simoens, P.; Khaluf, Y. Adaptive foraging in dynamic environments using scale-free interaction networks Rausch. Front. Robot. AI 2020, 7, 86. [Google Scholar]
- Wei, Q.Q.; Liu, R.; Zhang, H. High-order consistency formation control method for quadrotor UAV. Electro.-Opt. Control 2019, 26, 1–5. [Google Scholar]
- Dong, X.W.; Yu, B.C.; Shi, Z.Y. Time-varying formation control for unmanned aerial vehicles: Theories and applications. IEEE Trans. Control Syst. Technol. 2014, 23, 340–348. [Google Scholar] [CrossRef]
- Zeng, Z.W. Research on Multi-Agent Collaborative Control Based on Nonlinear Quantitative and Structural Constraints. Ph.D. Thesis, National University of Defense Technology, Changsha, China, 2017. [Google Scholar]
- Zhao, J.; Xu, M.; Wang, Z. Dynamic Control Design for UAV Formation Tracking with Time Delays. In Proceedings of the IEEE 2nd International Conference on Electronic Technology, Communication and Information (ICETCI), Changchun, China, 27–29 May 2022. [Google Scholar]
- He, L.L.; Zhang, J.Q. Time-varying formation control for UAV swarm with directed interaction topology and communication delay. J. Beijing Univ. Aeronaut. Astronaut. 2020, 46, 314–323. (In Chinese) [Google Scholar]
- Dong, X.W.; Zhou, Y.; REN, Z. Time-Varying formation tracking for Second-Order Multi-Agent systems subjected to switching topologies with application to quadrotor formation flying. IEEE Trans. Electron. 2017, 64, 5014–5024. [Google Scholar] [CrossRef]
- Joongbo, S.; Chaeik, K. Controller Design for UAV Formation Flight Using Consensus based Decentralized Approach. In Proceedings of the AIAA Aerospace Conference, Seattle, WA, USA, 6–9 April 2009. [Google Scholar]
- Kuriki, Y.; Namerikawa, T. Consensus-based cooperative control for geometric configuration of UAVs flying in formation. In Proceedings of the IEEE SICE Annual Conference 2013, Nagoya, Japan, 14–17 September 2013; pp. 1237–1242. [Google Scholar]
- Sun, F.; Turkoglu, K. Nonlinear consensus strategies for multi-agent networks under switching topologies. Real-Time Receding Horiz. Approach. Aerosp. Sci. Technol. 2019, 87, 323–330. [Google Scholar]
- Desai, J.P.; Ostrowski, J.P.; Kumar, V. Modeling and Control of Formations of Nonholonomic Mobile Robots. IEEE Trans. Robot. Autom. 2002, 17, 905–908. [Google Scholar] [CrossRef]
- Wang, X.M. UAV Formation Flight Technology; Northwestern Polytechnical University Press: Xian, China, 2015; pp. 149–232. [Google Scholar]
- Ren, W. Consensus based formation control strategies for multi-vehicles systems. In Proceedings of the 2006 American Control Conference, Minneapolis, MN, USA, 14–16 June 2006. [Google Scholar]
- Peng, L.; Jia, Y. Consensus of a Class of Second-Order Multi-Agent Systems with Time-Delay and Jointly-Connected Topologies. IEEE Trans. Autom. Control 2010, 55, 778–784. [Google Scholar] [CrossRef]
- Peng, L.; Jia, Y. Multi-agent consensus with diverse time-delays and jointly-connected topologies. Automatic 2011, 47, 848–856. [Google Scholar]






| Number | 1 | 2 | 3 | 4 | 5 | 6 |
|---|---|---|---|---|---|---|
| 20 | 60 | 10 | 90 | 43 | 60 | |
| 66 | 56 | 96 | 56 | 86 | 86 | |
| 50 | 10 | 40 | 330 | 350 | 240 | |
| 15 | 35 | 55 | 75 | 65 | 90 | |
| 36 | −36 | 45 | −45 | −20 | 45 | |
| 4 | 3 | 2 | 1 | 5 | 3 |
| Parameter | ||||||
|---|---|---|---|---|---|---|
| Value | 10 | 600 | −5 | 5 | −30 | 30 |
| Parameter | ||||||
| Value | −5 | 5 | 50 | 300 | ||
| Parameter | ||||||
| Value | 0.6 | 1.1 | 0.66 | 10 | 0.3 | 0.3 |
Disclaimer/Publisher’s Note: The statements, opinions and data contained in all publications are solely those of the individual author(s) and contributor(s) and not of MDPI and/or the editor(s). MDPI and/or the editor(s) disclaim responsibility for any injury to people or property resulting from any ideas, methods, instructions or products referred to in the content. |
© 2023 by the authors. Licensee MDPI, Basel, Switzerland. This article is an open access article distributed under the terms and conditions of the Creative Commons Attribution (CC BY) license (https://creativecommons.org/licenses/by/4.0/).
Share and Cite
Tao, C.; Zhang, R.; Song, Z.; Wang, B.; Jin, Y. Multi-UAV Formation Control in Complex Conditions Based on Improved Consistency Algorithm. Drones 2023, 7, 185. https://doi.org/10.3390/drones7030185
Tao C, Zhang R, Song Z, Wang B, Jin Y. Multi-UAV Formation Control in Complex Conditions Based on Improved Consistency Algorithm. Drones. 2023; 7(3):185. https://doi.org/10.3390/drones7030185
Chicago/Turabian StyleTao, Canhui, Ru Zhang, Zhiping Song, Baoshou Wang, and Yang Jin. 2023. "Multi-UAV Formation Control in Complex Conditions Based on Improved Consistency Algorithm" Drones 7, no. 3: 185. https://doi.org/10.3390/drones7030185
APA StyleTao, C., Zhang, R., Song, Z., Wang, B., & Jin, Y. (2023). Multi-UAV Formation Control in Complex Conditions Based on Improved Consistency Algorithm. Drones, 7(3), 185. https://doi.org/10.3390/drones7030185
