Deep Learning-Based Pine Nematode Trees’ Identification Using Multispectral and Visible UAV Imagery
Abstract
1. Introduction
- We compared the characteristic differences in multispectral bands between healthy and PWD-infected trees by conducting experiments with data collected in the field.
- We conducted experiments by fusing multispectral and visible images and conducted multiple comparisons and ablation experiments.
- A deep learning YOLOv5l-based PWD-detection approach is proposed by combining multispectral and visible UAV imagery.
2. Materials and Methods
2.1. Preparation
2.2. Feature Spectral Band Selection for Multispectral Images
2.3. Improved YOLOv5l-Based Detection Method
3. Results and Discussion
3.1. Experimental Environment and Evaluation Index
3.2. Experimental Results
3.3. Discussion
4. Conclusions
Author Contributions
Funding
Data Availability Statement
Conflicts of Interest
References
- Zhao, B.G.; Futai, K.; Sutherland, J.R.; Takeuchi, Y. Pine Wilt Disease; Springer: Tokyo, Japan, 2008. [Google Scholar]
- Ye, J.R.; Wu, S.Q. Research Progress of Pine Wilt Disease. For. Pest Dis. 2022, 41, 1–10. [Google Scholar]
- Sousa, E.; Vale, F.; Abrantes, I. Pine Wilt Disease in Europe: Biological Interactions and Integrated Management; FNAPF: Lisbon, Portugal, 2015. [Google Scholar]
- Abelleira, A.; Picoaga, A.; Mansilla, J.P.; Aguin, O. Detection of Bursaphelenchus xylophilus, Causal Agent of Pine Wilt Disease on Pinus Pinaster in Northwestern Spain. Plant Dis. 2011, 95, 776–776. [Google Scholar] [CrossRef] [PubMed]
- Vollenweider, P.; Günthardt-Goerg, M.S. Diagnosis of Abiotic and Biotic Stress Factors Using the Visible Symptoms in Foliage. Environ. Pollut. 2006, 140, 562–571. [Google Scholar] [CrossRef]
- Ren, D.; Peng, Y.; Sun, H.; Yu, M.; Yu, J.; Liu, Z. A Global Multi-Scale Channel Adaptation Network for Pine Wilt Disease Tree Detection on UAV Imagery by Circle Sampling. Drones 2022, 6, 353. [Google Scholar] [CrossRef]
- Zhang, R.R.; Xia, L.; Chen, L.P.; Xie, C.C.; Chen, M.X.; Wang, W.J. Recognition of Wilt Wood Caused by Pine Wilt Nematode Based on U-Net Network and Unmanned Aerial Vehicle Imagery. Trans. Chin. Soc. Agric. Eng. 2020, 36, 61–68. [Google Scholar]
- Liu, W.D.; Tian, H.B.; Xie, J.J.; Zhao, E.T.; Zhang, J.G. Identification Methods for Forest Pest Areas of UAV Aerial Photography Based on Fully Convolutional Networks. Trans. Chin. Soc. Agric. Mach. 2019, 50, 179–185. [Google Scholar]
- Tao, H.; Li, C.; Zhao, D.; Deng, S.; Hu, H.; Xu, X.; Jing, W. Deep Learning-Based Dead Pine Tree Detection from Unmanned Aerial Vehicle Imagery. Int. J. Remote Sens. 2020, 41, 8238–8255. [Google Scholar] [CrossRef]
- Liu, S.C.; Wang, Q.; Tang, Q.; Liu, L.; He, H.Y.; Lu, J.F.; Dai, X.Q. High-resolution Imagery Identification of Trees with Pinewood Nematode Disease Based on Multi⁃Feature Extraction and Deep Learning with Attention Mechanism. J. For. Eng. 2022, 7, 177–184. [Google Scholar]
- Xu, X.L.; Tao, H.; Li, C.J.; Chen, C.; Guo, H.; Zhou, J.P. Detection and Location of Pine Wilt Disease Induced Dead Pine Trees Based on Faster R-CNN. Trans. Chin. Soc. Agric. Mach. 2020, 51, 228–236. [Google Scholar]
- Huang, L.M.; Wang, Y.X.; Xu, Q.; Liu, Q.H. Recognition of Abnormally Discolored Trees Caused by Pine Wilt Disease Using YOLO Algorithm and UAV Imagery. Trans. Chin. Soc. Agric. Eng. 2021, 37, 197–203. [Google Scholar]
- Bochkovskiy, A.; Wang, C.Y.; Liao, H.Y.M. Yolov4: Optimal Speed and Accuracy of Object Detection. arXiv 2020, arXiv:2004.10934. [Google Scholar]
- Sun, Y.; Zhou, Y.; Yuan, M.S.; Liu, W.P.; Luo, Y.Q.; Zong, S.X. UAV Real-Time Monitoring for Forest Pest Based on Deep Learning. Trans. Chin. Soc. Agric. Eng. 2018, 34, 74–81. [Google Scholar]
- Zhou, Z.D.; Li, R.R.; Ben, Z.Q.; He, B.Z.; Shi, Y.Y.; Dai, W.X. Automatic Identification of Bursaphelenchus xylophilus from Remote Sensing Imagery Using Residual Network. J. For. Eng. 2022, 7, 185–191. [Google Scholar]
- Hu, G.; Yin, C.; Wan, M.; Zhang, Y.; Fang, Y. Recognition of Diseased Pinus Trees in UAV Imagery Using Deep Learning and AdaBoost Classifier. Biosyst. Eng. 2020, 194, 138–151. [Google Scholar] [CrossRef]
- Oide, A.H.; Nagasaka, Y.; Tanaka, K. Performance of Machine Learning Algorithms for Fetecting Pine Wilt Disease Infection Using Visible Color Imagery by UAV Remote Sensing. Remote Sens. Appl. Soc. Environ. 2022, 28, 100869. [Google Scholar]
- Li, F.; Liu, Z.; Shen, W.; Wang, Y.; Wang, Y.; Ge, C.; Sun, F.; Lan, P. A Remote Sensing and Airborne Edge-computing Based Detection System for Pine Wilt Disease. IEEE Access 2021, 9, 66346–66360. [Google Scholar] [CrossRef]
- Franke, J.; Menz, G. Multi-Temporal Wheat Disease Detection by Multi-Spectral Remote Sensing. Precis. Agric. 2007, 8, 161–172. [Google Scholar] [CrossRef]
- Zong, S.X.; Bi, H.J. Monitoring Progress and Prospect of Pine Wilt Disease Based on UAV Remote Sensing. For. Pest Dis. 2022, 41, 45–51. [Google Scholar]
- Iordache, M.D.; Mantas, V.; Baltazar, E.; Pauly, K.; Lewyckyj, N. A Machine Learning Approach to Detecting Pine Wilt Disease Using Airborne Spectral Imagery. Remote Sens. 2020, 12, 2280. [Google Scholar] [CrossRef]
- Kim, S.R.; Lee, W.K.; Lim, C.H.; Kim, M.; Kafatos, M.C.; Lee, S.H.; Lee, S.S. Hyperspectral Analysis of Pine Wilt Disease to Determine an Optimal Detection Index. Forests 2018, 9, 115. [Google Scholar] [CrossRef]
- Iordache, M.D.; Mantas, V.; Baltazar, E.; Lewyckyj, N.; Souverijns, N. Application of Random Forest Classification to Detect The Pine Wilt Disease From High Resolution Spectral Images. In Proceedings of the IGARSS 2020-2020 IEEE International Geoscience and Remote Sensing Symposium, Waikoloa, HI, USA, 26 September–2 October 2020; pp. 4489–4492. [Google Scholar]
- Qin, J.; Wang, B.; Wu, Y.; Lu, Q.; Zhu, H. Identifying Pine Wood Nematode Disease Using UAV Imagery and Deep Learning Algorithms. Remote Sens. 2021, 13, 162. [Google Scholar] [CrossRef]
- Yu, R.; Luo, Y.; Li, H.; Yang, L.; Huang, H.; Yu, L.; Ren, L. Three-Dimensional Convolutional Neural Network Model for Early Detection of Pine Wilt Disease Using UAV-Based Hyperspectral Imagery. Remote Sens. 2021, 13, 4065. [Google Scholar] [CrossRef]
- Park, H.G.; Yun, J.P.; Kim, M.Y.; Jeong, S.H. Multichannel Object Detection for Detecting Suspected Trees with Pine Wilt Disease Using Multispectral Drone Imagery. IEEE J. Sel. Top. Appl. Earth Obs. Remote Sens. 2021, 14, 8350–8358. [Google Scholar] [CrossRef]
- Zhou, Y.; Liu, W.; Bi, H.; Chen, R.; Zong, S.; Luo, Y. A Detection Method for Individual Infected Pine Trees with Pine Wilt Disease Based on Deep Learning. Forests 2022, 13, 1880. [Google Scholar] [CrossRef]
- Zhu, X.; Lyu, S.; Wang, X.; Zhao, Q. TPH-YOLOv5: Improved YOLOv5 Based on Transformer Prediction Head for Object Detection on Drone-Captured Scenarios. In Proceedings of the IEEE/CVF International Conference on Computer Vision, Montreal, BC, Canada, 11–17 October 2021; pp. 2778–2788. [Google Scholar]
- Han, K.; Wang, Y.; Xu, C.; Guo, J.; Xu, C.; Wu, E.; Tian, Q. GhostNets on Heterogeneous Devices Via Cheap Operations. Int. J. Comput. Vis. 2022, 130, 1050–1069. [Google Scholar] [CrossRef]
- Woo, S.; Park, J.; Lee, J.Y.; Kweon, I.S. CBAM: Convolutional Block Attention Module. In Proceedings of the European Conference on Computer Vision (ECCV), Munich, Germany, 8–14 September 2018; pp. 3–19. [Google Scholar]
- Hou, Q.; Zhou, D.; Feng, J. Coordinate Attention for Efficient Mobile Network Design. In Proceedings of the IEEE/CVF Conference on Computer Vision and Pattern Recognition, Nashville, TN, USA, 20–25 June 2021; pp. 13713–13722. [Google Scholar]
- Vaswani, A.; Shazeer, N.; Parmar, N.; Uszkoreit, J.; Jones, L.; Gomez, A.N.; Kaiser, L.; Polosukhin, I. Attention Is All You Need. Adv. Neural Inf. Process. Syst. arXiv 2017, arXiv:1706.03762. [Google Scholar]
- Tan, M.; Pang, R.; Le, Q.V. Efficientdet: Scalable and Efficient Object Detection. In Proceedings of the IEEE/CVF Conference on Computer Vision and Pattern Recognition, Seattle, WA, USA, 13–19 June 2020; pp. 10781–10790. [Google Scholar]
- Radford, A.; Metz, L.; Chintala, S. Unsupervised Representation Learning with Deep Convolutional Generative Adversarial Networks. arXiv 2015, arXiv:1511.06434. [Google Scholar]
- Al Mansoori, S.; Kunhu, A.; Al Ahmad, H. Automatic Palm Trees Detection from Multispectral UAV Data Using Normalized Difference Vegetation Index and Circular Hough Transform. In Proceedings of the High-Performance Computing in Geoscience and Remote Sensing VIII, Berlin, Germany, 12–13 September 2018; Volume 10792, pp. 11–19. [Google Scholar]
- Wang, C.Y.; Bochkovskiy, A.; Liao, H.Y.M. YOLOv7: Trainable Bag-of-Freebies Sets New-State-of-the-Art for Real-Time Object Detectors. arXiv 2022, arXiv:2207.02696. [Google Scholar]
- Ge, Z.; Liu, S.; Wang, F.; Li, Z.; Sun, J. Yolox: Exceeding Yolo Series in 2021. arXiv 2021, arXiv:2107.08430. [Google Scholar]















| Flight Parameters | Visible Image | Multispectral Image |
|---|---|---|
| Flight altitude (m) | 350 | 100 |
| Flight speed (m/s) | 15 | 10 |
| Heading overlap rate (%) | 80 | 85 |
| Sideways overlap rate (%) | 80 | 85 |
| Shooting interval (s) | 8 | 5 |
| Imagery Type | No. of Original Images | No. of Images in Training Set | No. of Images with Expansion in Training Set | No. of Images in Validation Set (Original) | No. of Images in Validation Set (Image Splitting) |
|---|---|---|---|---|---|
| Visible | 1958 | 1615 | 9550 | 343 | 2058 |
| Multispectral | 965 | 965 | 5706 | 0 | 0 |
| Total | 2923 | 2580 | 15,256 | 343 | 2058 |
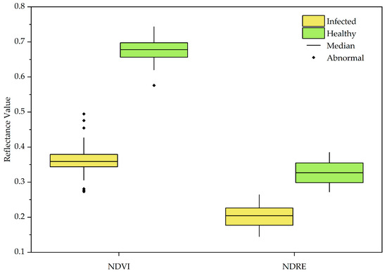
| Band and Vegetation Index | Range of Changes | Median of Reflectance Range | ||
|---|---|---|---|---|
| Infected Trees | Healthy Trees | Infected Trees | Healthy Trees | |
| Red | 5765~11,269 | 2461~5091 | 8805 | 3595.5 |
| Green | 5261~7619 | 3725~5967 | 6251 | 5393.5 |
| Blue | 2003~4431 | 1500~2225 | 2449 | 1783.5 |
| Near Infrared | 12,677~21,987 | 15,360~22,329 | 15,865 | 19,371 |
| Red Edge | 7435~13,817 | 7660~12,297 | 11,258 | 9412.5 |
| Red Edge 750 nm | 11,053~17,694 | 13,355~18,638 | 14,038 | 16,254.5 |
| NDVI | 0.273~0.495 | 0.576~0.744 | 0.359 | 0.678 |
| NDRE | 0.145~0.264 | 0.272~0.385 | 0.204 | 0.327 |
| Model | Experiment Name | Precision | Recall | mAP@0.5 | Parameters (in MB) | Detection Time (in s/sheet) |
|---|---|---|---|---|---|---|
| Base YOLOv5l | Dataset 1 | 0.802 | 0.630 | 0.643 | 91.11 | 0.131 |
| Dataset 2 | 0.891 | 0.844 | 0.843 | 91.09 | 0.125 | |
| Dataset 3 | 0.921 | 0.884 | 0.918 | 91.12 | 0.121 | |
| Improved YOLOv5l | Dataset 1 | 0.830 | 0.657 | 0.700 | 46.65 | 0.061 |
| Dataset 2 | 0.924 | 0.857 | 0.894 | 46.75 | 0.064 | |
| Dataset 3 | 0.981 | 0.973 | 0.987 | 46.69 | 0.067 |
| Model and Experiment Name | Mark Name | Import Module Name | Precision | Recall | mAP@0.5 | Parameters (in MB) | Detection Time (in s/sheet) | |||
|---|---|---|---|---|---|---|---|---|---|---|
| GhostNet | CBAM and CA | Transformer | BiFPN | |||||||
| Base YOLOv5l + Dataset 3 | M1 | 0.921 | 0.862 | 0.918 | 91.12 | 0.121 | ||||
| M2 | √ | 0.898 | 0.778 | 0.900 | 32.00 | 0.041 | ||||
| M3 | √ | √ | 0.967 | 0.910 | 0.944 | 44.40 | 0.064 | |||
| M4 | √ | √ | √ | 0.987 | 0.936 | 0.973 | 45.60 | 0.066 | ||
| M5 | √ | √ | √ | √ | 0.981 | 0.973 | 0.987 | 46.69 | 0.067 | |
| Model | Precision | Recall | mAP@0.5 | Parameters (in MB) | Detection Time (in s/sheet) |
|---|---|---|---|---|---|
| Improved YOLOv5l | 0.981 | 0.973 | 0.987 | 46.69 | 0.064 |
| Base YOLOv5l Faster R-CNN [11] | 0.921 | 0.862 | 0.918 0.775 | 91.12 548.32 | 0.121 1.94 |
| 0.830 | 0.712 | ||||
| YOLOv4 [12] | 0.946 | 0.749 | 0.893 | 256.26 | 1.02 |
| SSD300 [14] | 0.941 | 0.812 | 0.940 | 95.01 | 1.04 |
| YOLOv7 [36] | 0.923 | 0.937 | 0.968 | 149.18 | 1.05 |
| YOLOX [37] | 0.926 | 0.904 | 0.948 | 36.01 | 1.04 |
Disclaimer/Publisher’s Note: The statements, opinions and data contained in all publications are solely those of the individual author(s) and contributor(s) and not of MDPI and/or the editor(s). MDPI and/or the editor(s) disclaim responsibility for any injury to people or property resulting from any ideas, methods, instructions or products referred to in the content. |
© 2023 by the authors. Licensee MDPI, Basel, Switzerland. This article is an open access article distributed under the terms and conditions of the Creative Commons Attribution (CC BY) license (https://creativecommons.org/licenses/by/4.0/).
Share and Cite
Qin, B.; Sun, F.; Shen, W.; Dong, B.; Ma, S.; Huo, X.; Lan, P. Deep Learning-Based Pine Nematode Trees’ Identification Using Multispectral and Visible UAV Imagery. Drones 2023, 7, 183. https://doi.org/10.3390/drones7030183
Qin B, Sun F, Shen W, Dong B, Ma S, Huo X, Lan P. Deep Learning-Based Pine Nematode Trees’ Identification Using Multispectral and Visible UAV Imagery. Drones. 2023; 7(3):183. https://doi.org/10.3390/drones7030183
Chicago/Turabian StyleQin, Bingxi, Fenggang Sun, Weixing Shen, Bin Dong, Shencheng Ma, Xinyu Huo, and Peng Lan. 2023. "Deep Learning-Based Pine Nematode Trees’ Identification Using Multispectral and Visible UAV Imagery" Drones 7, no. 3: 183. https://doi.org/10.3390/drones7030183
APA StyleQin, B., Sun, F., Shen, W., Dong, B., Ma, S., Huo, X., & Lan, P. (2023). Deep Learning-Based Pine Nematode Trees’ Identification Using Multispectral and Visible UAV Imagery. Drones, 7(3), 183. https://doi.org/10.3390/drones7030183

