LECast: A Low-Energy-Consumption Broadcast Protocol for UAV Blockchain Networks
Abstract
1. Introduction
1.1. Research Motivation
- There is almost no research on green and energy-saving blockchains from the perspective of the broadcast protocol in blockchain networks;
- The low-energy-consumption broadcast protocol will inevitably avoid repetitive communication, but it will also affect the reliability and security of the broadcast. Therefore, how to balance these performances is also an important issue.
1.2. Our Contributions
- First, considering the limited capacity of a drone’s battery, the concept of a green blockchain network is proposed. The paper investigates the blockchain workflow, choosing the broadcasting process for energy consumption improvement. Then, a complete LECast broadcast protocol is presented in detail. To the best of our knowledge, this is the first study to improve blockchain energy consumption from the broadcast protocol perspective;
- Second, we model the energy consumption of communication between two drones, and build a broadcast tree, named the SPB Tree, for UAV blockchain networks, which can minimize the energy overhead. Meanwhile, the SPB Tree is not necessarily a binary tree, and the traditional binary naming rule cannot name the nodes (drones) within it. Therefore, we further transform the naming problem into an information source coding problem, proposing the EHC scheme, a node-naming rule for multiway trees;
- Furthermore, when a channel fails, subsequent nodes in the broadcast tree cannot receive the transaction or block data. Therefore, we propose MTSD, which splits the transaction or block data into multiple sub-data, and they are transmitted in parallel over multiple channels multiple times to ensure the security and reliability of the SPB Tree. To our best knowledge, this is the first study to combine multi-channel transmission and data-splitting in the blockchain network;
- Finally, we also analyze and simulate the broadcast latency, throughput, and broadcast coverage of the LECast protocol constructed from the SPB tree. The results show that LECast can not only effectively solve the high energy consumption problem in broadcasting, but also maintain superior performance in other aspects.
1.3. Structure of This Paper
2. Related Work
2.1. Green Blockchain Technology
2.2. Broadcast Protocol in Blockchain Networks
3. LECast Protocol for UAV Blockchain Networks
3.1. SPB Tree
3.2. EHC Scheme
- (1)
- Initial coding: First, each node is preliminarily encoded according to the Huffman code. However, the traditional Huffman code is binary, thus, we should make an improvement on the Huffman code. That is, the ary of the Huffman code is the same as the number of ways of the broadcast tree (n-ary corresponds to n-way tree);
- (2)
- Extension: Then, as computer systems can only recognize and manipulate binary numbers, we need to convert the results of the first step into binary. Here, we chose the extension method to convert these numbers. It should be noted that each digit needs to be expanded. If we only expand the digits that are not binary, it will cause their names to be duplicated with other nodes, such as the bold digits in Table 1 (node 8 in the third layer and node 12 in the fourth layer);Meanwhile, the specific extension method is to expand each digit into a binary number with n bits, where n is the same as the n in Step 1, such as the “Correct extension” results in Table 1. These results are the final naming for nodes on the n-way tree;
- (3)
- Addressing: The transmitting node splits the naming result into a group with n-bits and reads it in turn while addressing the receiving node, as shown in Table 2.
- Two or more nodes do not have the same name;
- Nodes are very simple to name and read.
3.3. MTSD Method
4. Performance Analysis
4.1. Security
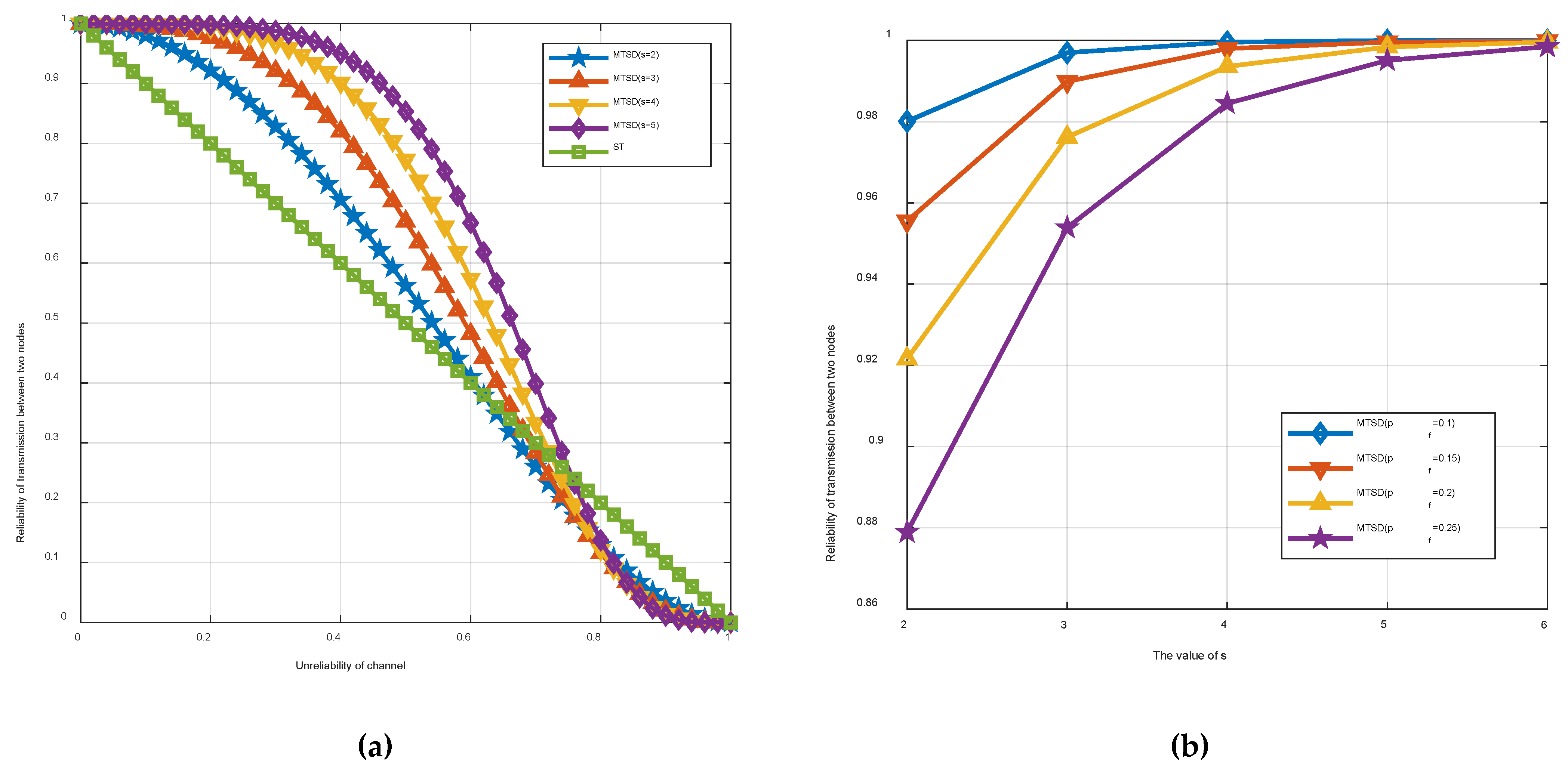
4.2. Reliability
4.3. Broadcast Coverage
4.4. Broadcast Latency
4.5. Throughput
4.6. Energy Consumption
5. Performance Simulations
6. Conclusions
Author Contributions
Funding
Data Availability Statement
Conflicts of Interest
References
- Niu, Z.; Zhou, S.; Sun, Y. Green communication and networking for Carbon-peaking and Carbon-neutrality: Challenges and solutions. J. Commun. 2022, 43, 1–14. [Google Scholar]
- Nguyen, V.-L.; Lin, P.-C.; Cheng, B.-C.; Hwang, R.H.; Lin, Y.D. Security and Privacy for 6G: A Survey on Prospective Technologies and Challenges. IEEE Commun. Surv. Tutor. 2021, 23, 2384–2428. [Google Scholar] [CrossRef]
- Liu, G.; Huang, Y.; Li, N.; Dong, J.; Jin, J.; Wang, Q.; Li, N. Vision, requirements and network architecture of 6G mobile network beyond 2030. China Commun. 2020, 17, 92–104. [Google Scholar] [CrossRef]
- Xu, X.; Sun, G.; Yu, H. An Efficient Blockchain PBFT Consensus Protocol in Energy Constrained IoT Applications. In Proceedings of the 2021 International Conference on UK-China Emerging Technologies (UCET), Chengdu, China, 4–6 November 2021; pp. 152–157. [Google Scholar]
- Luo, L.; Feng, J.; Yu, H.; Sun, G. Blockchain-Enabled Two-Way Auction Mechanism for Electricity Trading in Internet of Electric Vehicles. IEEE Internet Things J. 2022, 9, 8105–8118. [Google Scholar] [CrossRef]
- Ping, J.; Yan, Z.; Chen, S. A privacy-preserving blockchain-based method to optimize energy trading. IEEE Trans. Smart Grid, 2022; early access. [Google Scholar] [CrossRef]
- Chen, Y.; Luo, H.; Bian, Q. A Privacy Protection Method Based on Key Encapsulation Mechanism in Medical Blockchain. In Proceedings of the IEEE 21st International Conference on Communication Technology (ICCT), Tianjin, China, 13–16 October 2021; pp. 295–300. [Google Scholar]
- Porambage, P.P.; Gür, G.; Osorio, D.P.M.; Liyanage, M.; Gurtov, A.; Ylianttila, M. The Roadmap to 6G Security and Privacy. IEEE Open J. Commun. Soc. 2021, 2, 1094–1122. [Google Scholar] [CrossRef]
- Jiang, W.; Han, B.; Habibi, M.A.; Schotten, H.D. The Road Towards 6G: A Comprehensive Survey. IEEE Open J. Commun. Soc. 2021, 2, 334–366. [Google Scholar] [CrossRef]
- Wang, M.; Zhu, T.; Zhang, T.; Zhang, J.; Yu, S.; Zhou, W. Security and privacy in 6G networks: New areas and new challenges. Digit. Commun. Netw. 2020, 6, 281–291. [Google Scholar] [CrossRef]
- Li, M.; Yu, F.R.; Si, P.; Zhang, Y.; Qian, Y. Intelligent Resource Optimization for Blockchain-Enabled IoT in 6G via Collective Reinforcement Learning. IEEE Netw. 2022, 36, 175–182. [Google Scholar] [CrossRef]
- Xu, H.; Klaine, P.V.; Onireti, O.; Cao, B.; Imran, M.; Zhang, L. Blockchain-enabled resource management and sharing for 6G communications. Digital Commun. Netw. 2020, 6, 261–269. [Google Scholar] [CrossRef]
- Nair, R.; Gupta, S.; Soni, M.; Shukla, P.K.; Dhiman, G. An approach to minimize the energy consumption during blockchain transaction. Mater. Today Proc. 2020, 1–6. [Google Scholar] [CrossRef]
- Monrat, A.A.; Schelén, O.; Andersson, K. A Survey of Blockchain From the Perspectives of Applications, Challenges, and Opportunities. IEEE Access 2019, 7, 117134–117151. [Google Scholar] [CrossRef]
- Riyal, A.; Kumar, G.; Sharma, D.K.; Gupta, K.D.; Srivastava, G. Blockchain Tree Powered Green Communication for Efficient and Sustainable Connected Autonomous Vehicles. IEEE Trans. Green Commun. Netw. 2022, 6, 1428–1437. [Google Scholar] [CrossRef]
- Qian, K.; Liu, Y.; Shu, C.; Sun, Y.; Wang, K. Fine-grained Benchmarking and Targeted Optimization: Enabling Green IoT-oriented Blockchain in the 6G Era. IEEE Trans. Green Commun. Netw. 2022; early access. [Google Scholar] [CrossRef]
- Goyal, H.; Kausik, H.M.; Saha, S. ReLI: Real-Time Lightweight Byzantine Consensus in Low-Power IoT-Systems. In Proceedings of the 2022 18th International Conference on Network and Service Management (CNSM), Thessaloniki, Greece, 31 October–4 November 2022; pp. 275–281. [Google Scholar]
- Alsamhi, S.H.; Shvetsov, A.V.; Shvetsova, S.V.; Hawbani, A.; Guizan, M.; Alhartomi, M.A.; Ma, O. Blockchain-Empowered Security and Energy Efficiency of Drone Swarm Consensus for Environment Exploration. IEEE Trans. Green Commun. Netw. 2022; early access. [Google Scholar] [CrossRef]
- Shahzad, I.; Maqbool, A.; Rana, T.; Mirza, A.; Khan, W.Z.; Kim, S.W.; Zikria, Y.B.; Din, S. Blockchain-based green big data visualization: BGbV. Complex Intell. Syst. 2021, 8, 3707–3718. [Google Scholar] [CrossRef]
- Li, X.; Luo, H.; Duan, J. Security Analysis of Sharding in Blockchain with PBFT Consensus. In Proceedings of the 4th International Conference on Blockchain Technology (ICBCT’22), Shanghai, China, 25–27 March 2022; pp. 9–14. [Google Scholar]
- Hong, Z.; Guo, S.; Li, P.; Chen, W. Pyramid: A Layered Sharding Blockchain System. In Proceedings of the 2021 IEEE Conference on Computer Communications, Vancouver, BC, Canada, 10–13 May 2021; pp. 1–10. [Google Scholar]
- Li, W.; Feng, C.; Zhang, L.; Xu, H.; Cao, B.; Imran, M.A. A Scalable Multi-Layer PBFT Consensus for Blockchain. IEEE Trans. Parallel Distrib. Syst. 2021, 32, 1146–1160. [Google Scholar] [CrossRef]
- Dinh, T.; Wang, J.; Chen, G.; Liu, R.; Ooi, B.C.; Tan, K.L. Blockbench: A framework for analyzing private blockchains. In Proceedings of the 2017 ACM International Conference on Management of Data (SIGMOD’17), Chicago, IL, USA, 14–19 May 2017; pp. 1085–1100. [Google Scholar]
- Karp, R.; Schindelhauer, C.; Shenker, S.; Vocking, B. Randomized rumor spreading. In Proceedings of the 41st Annual Symposium on Foundations of Computer Science, Washington, DC, USA, 12–14 November 2000; pp. 565–574. [Google Scholar]
- Chawathe, Y.; Ratnasamy, S.; Breslau, L.; Lanham, N.; Shenker, S. Making gnutella-like p2p systems scalable. In Proceedings of the 2003 ACM International Conference on Applications, Technologies, Architectures, and Protocols for Computer Communications (SIGCOMM’03), Karlsruhe, Germany, 25–19 August 2003; pp. 407–418. [Google Scholar]
- Maymounkov, P.; Mazires, D. Kademlia: A peer-to-peer information system based on the XOR metric. In Proceedings of the 1st International Workshop on Peer-to-Peer System (IPTPS’02), Cambridge, MA, USA, 7–8 March 2002; pp. 53–65. [Google Scholar]
- Rohrer, E.; Tschorsch, F. Kadcast: A structured approach to broadcast in blockchain networks. In Proceedings of the 1st ACM Conference on Advances in Financial Technologies (AFT’19), Zurich, Switzerland, 21–23 October 2019; pp. 199–213. [Google Scholar]
- Neudecker, T.; Hartenstein, H. Network Layer Aspects of Permissionless Blockchains. IEEE Commun. Surv. Tutor. 2019, 21, 838–857. [Google Scholar] [CrossRef]
- Vyzovitis, D.; Napora, Y.; McCormick, D.; Dias, D.; Psaras, Y. GossipSub: Attack-resilient message propagation in the Filecoin and ETH2.0 networks. arXiv 2020, arXiv:2007.02754. [Google Scholar]
- Ozisik, A.P.; Andresen, G.; Levine, B.N.; Tapp, D.; Bissias, G.; Katkuri, S. Graphene: Efficient interactive set reconciliation applied to blockchain propagation. In Proceedings of the 2019 ACM Special Interest Group on Data Communication, Beijing, China, 19–23 August 2019; pp. 303–317. [Google Scholar]
- Imtiaz, M.A.; Starobinski, D.; Trachtenberg, A. Empirical Comparison of Block Relay Protocols. IEEE Trans. Netw. Serv. Manag. 2022; early access. [Google Scholar] [CrossRef]
- Bagula, A.; Abidoye, A.P.; Zodi, G.A.L. Service-aware clustering: An energy-efficient model for the internet-of-things. Sensors 2015, 16, 9. [Google Scholar] [CrossRef]
- Heinzelman, W.R.; Chandrakasan, A.; Balakrishnan, H. Energy-efficient communication protocol for wireless microsensor networks. In Proceedings of the 33rd Annual Hawaii International Conference on System Sciences, Maui, HI, USA, 4–7 January 2000; pp. 1–10. [Google Scholar]
- Heinzelman, W.B.; Chandrakasan, A.P.; Balakrishnan, H. An application-specific protocol architecture for wireless microsensor networks. IEEE Trans. Wirel. Commun. 2002, 1, 660–670. [Google Scholar] [CrossRef]
- Bondy, J.A.; Murty, U.S.R. Graph Theory with Applications; Elsevier: Amsterdam, The Netherlands, 1976. [Google Scholar]
- Westall, J.; Martin, J. An Introduction to Galois Fields and Reed-Solomon Coding; Clemson University: Clemson, SC, USA, 2020. [Google Scholar]
- Huffman, D.A. A Method for the Construction of Minimum-Redundancy Codes. Proc. IRE 1952, 40, 1098–1101. [Google Scholar] [CrossRef]
- Yang, X.; Luo, H.; Duan, J.; Yu, H. Ultra Reliable and Low Latency Authentication Scheme for Internet of Vehicles Based on Blockchain. In Proceedings of the 2022 IEEE Conference on Computer Communications Workshops (INFOCOM WKSHPS), Virtual, 2–5 May 2022; pp. 1–5. [Google Scholar]
- Chang, B.; Zhang, L.; Li, L.; Zhao, G.; Chen, Z. Optimizing Resource Allocation in URLLC for Real-Time Wireless Control Systems. IEEE Trans. Veh. Technol. 2019, 68, 8916–8927. [Google Scholar] [CrossRef]
- Luo, H.; Chen, W.; Chen, C.; Yang, Y.; Zhang, Y.; Wu, Y. Analysis of a Multichannel Lightweight Identity Authentication Method. In Proceedings of the IEEE 19th International Conference on Communication Technology (ICCT), Xi’an, China, 16–19 October 2019; pp. 1285–1290. [Google Scholar]
- Deng, Y.; Luo, H. A Distributed Identity Authentication Scheme for Differential Fault Attack. In Proceedings of the IEEE 21st International Conference on Communication Technology (ICCT), Tianjin, China, 13–16 October 2021; pp. 731–735. [Google Scholar]
- Cao, B.; Li, Y.; Zhang, L.; Zhang, L.; Mumtaz, S.; Zhou, Z.; Peng, M. When Internet of Things Meets Blockchain: Challenges in Distributed Consensus. IEEE Netw. 2019, 33, 133–139. [Google Scholar] [CrossRef]














| Node Number | Initial Coding | Wrong Extension | Correct Extension |
|---|---|---|---|
| 1 | 0 | 0 | 000 |
| 2 | 00 | 00 | 0000000 |
| 3 | 01 | 01 | 000001 |
| 4 | 000 | 000 | 000000000 |
| 5 | 001 | 001 | 000000001 |
| 6 | 010 | 010 | 000001000 |
| 7 | 011 | 011 | 000001001 |
| 8 | 012 | 0110 | 000001010 |
| 9 | 0010 | 0010 | 000000001000 |
| 10 | 0011 | 0011 | 000000001001 |
| 11 | 0012 | 00110 | 000000001010 |
| 12 | 0110 | 0110 | 000001001000 |
| Node Number | Naming Results | Reading Method |
|---|---|---|
| 1 | 000 | (000) |
| 2 | 000000 | (000) (000) |
| 3 | 000001 | (000) (001) |
| 4 | 000000000 | (000) (000) (000) |
| 5 | 000000001 | (000) (000) (001) |
| 6 | 000001000 | (000) (001) (000) |
| 7 | 000001001 | (000) (001) (001) |
| 8 | 000001010 | (000) (001) (010) |
| 9 | 000000001000 | (000) (000) (001) (000) |
| 10 | 000000001001 | (000) (000) (001) (001) |
| 11 | 000000001010 | (000) (000) (001) (010) |
| 12 | 000001001000 | (000) (001) (001) (000) |
| Parameters | Values |
|---|---|
| R | 100 Mbps |
| f | 1000 Hz |
| U | 1/64 |
| k | 1 MB |
Disclaimer/Publisher’s Note: The statements, opinions and data contained in all publications are solely those of the individual author(s) and contributor(s) and not of MDPI and/or the editor(s). MDPI and/or the editor(s) disclaim responsibility for any injury to people or property resulting from any ideas, methods, instructions or products referred to in the content. |
© 2023 by the authors. Licensee MDPI, Basel, Switzerland. This article is an open access article distributed under the terms and conditions of the Creative Commons Attribution (CC BY) license (https://creativecommons.org/licenses/by/4.0/).
Share and Cite
Luo, H.; Liu, S.; Xu, S.; Luo, J. LECast: A Low-Energy-Consumption Broadcast Protocol for UAV Blockchain Networks. Drones 2023, 7, 76. https://doi.org/10.3390/drones7020076
Luo H, Liu S, Xu S, Luo J. LECast: A Low-Energy-Consumption Broadcast Protocol for UAV Blockchain Networks. Drones. 2023; 7(2):76. https://doi.org/10.3390/drones7020076
Chicago/Turabian StyleLuo, Haoxiang, Shiyuan Liu, Shizhong Xu, and Jian Luo. 2023. "LECast: A Low-Energy-Consumption Broadcast Protocol for UAV Blockchain Networks" Drones 7, no. 2: 76. https://doi.org/10.3390/drones7020076
APA StyleLuo, H., Liu, S., Xu, S., & Luo, J. (2023). LECast: A Low-Energy-Consumption Broadcast Protocol for UAV Blockchain Networks. Drones, 7(2), 76. https://doi.org/10.3390/drones7020076

