Quantifying Within-Flight Variation in Land Surface Temperature from a UAV-Based Thermal Infrared Camera
Abstract
:1. Introduction
2. Materials and Methods
2.1. Description of the Study Sites
2.2. Data Collection
2.3. Apogee Sensor Calibration
2.4. Calibration and Evaluation of TeAx Data
3. Results
3.1. Apogee Calibration
3.2. Apogees/TeAx Comparison
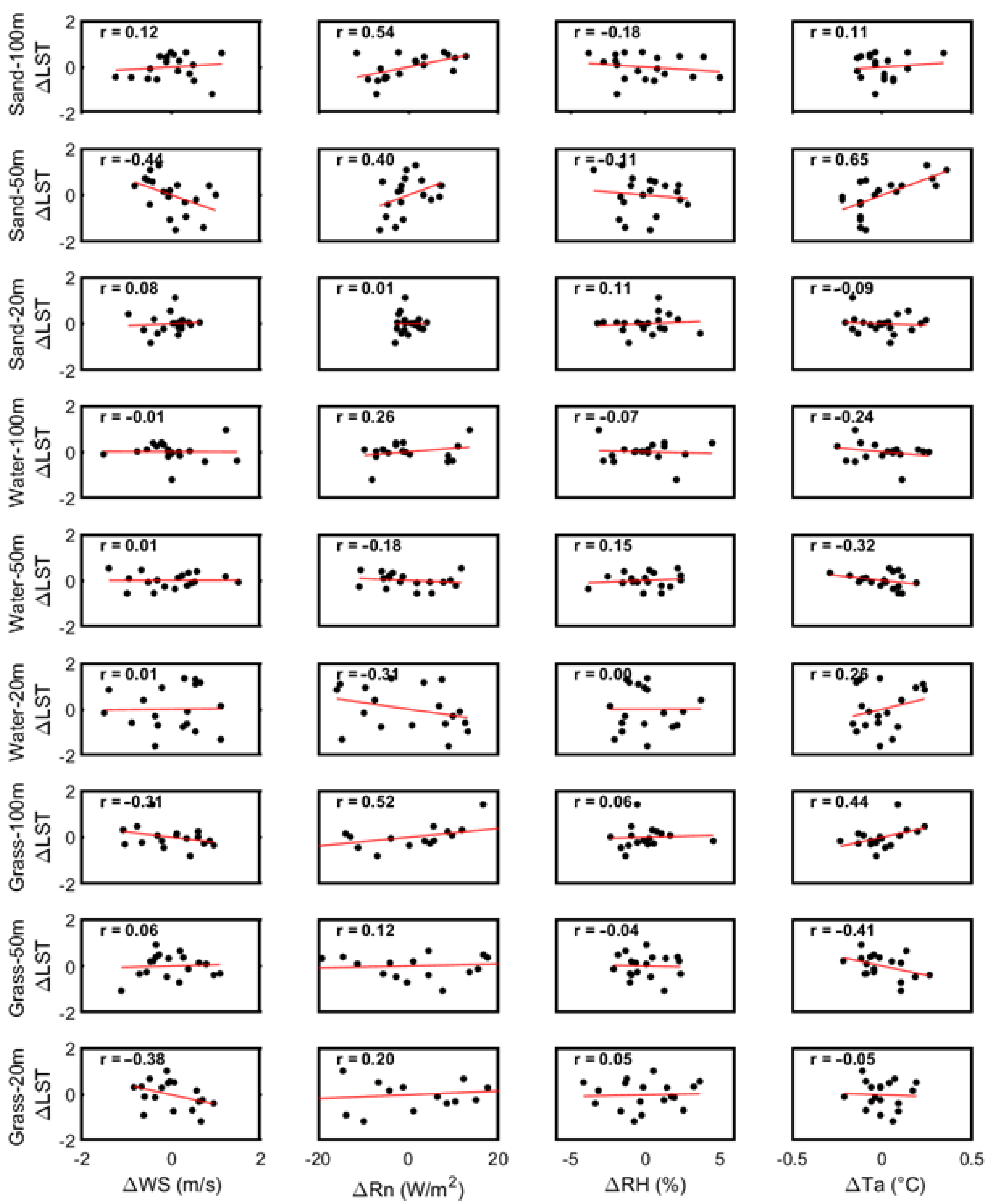
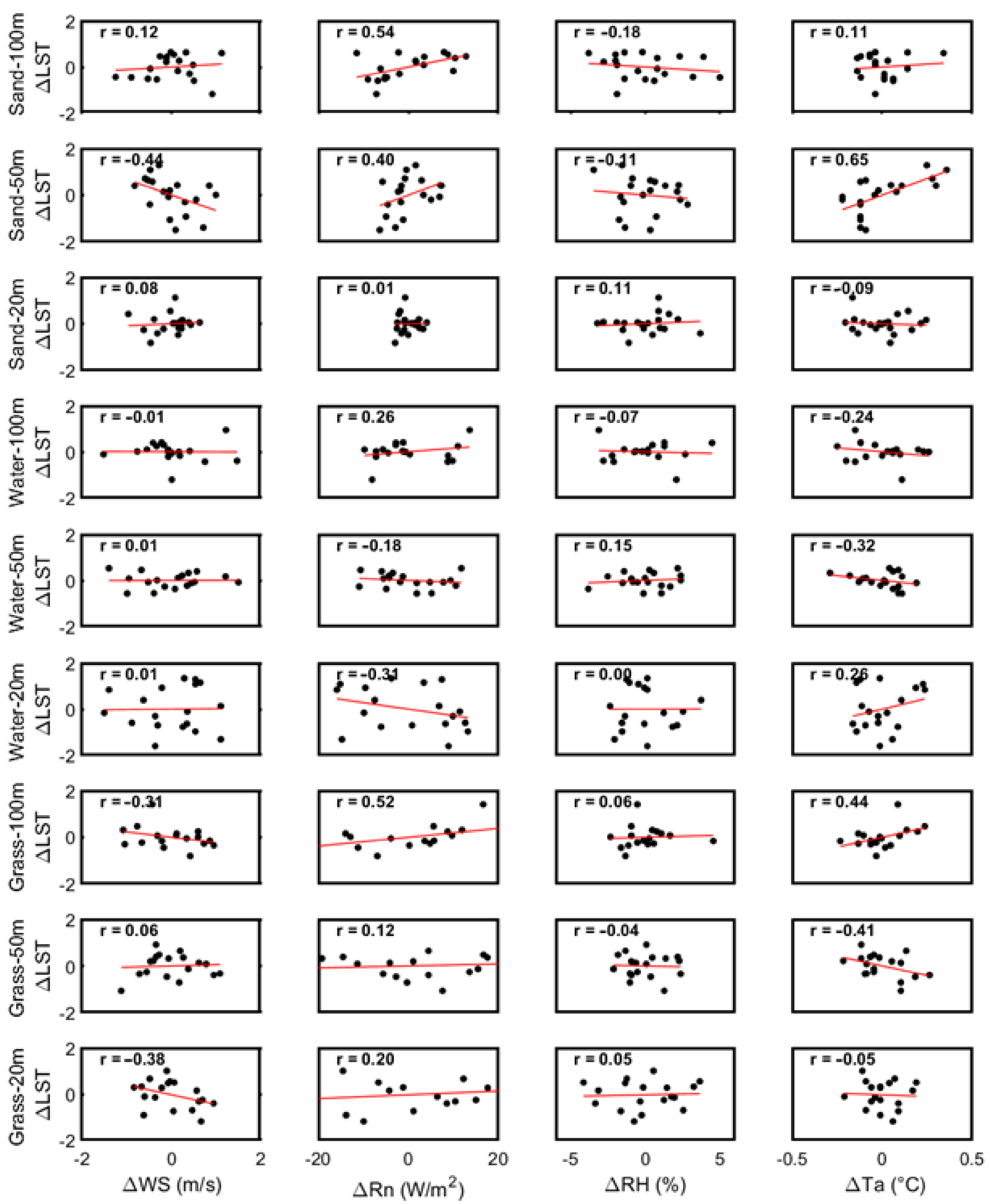
3.3. TeAx Measurements Variation
4. Discussion
5. Conclusions
Author Contributions
Funding
Data Availability Statement
Acknowledgments
Conflicts of Interest
References
- Coutts, A.M.; Harris, R.J.; Phan, T.; Livesley, S.J.; Williams, N.S.G.; Tapper, N.J. Thermal infrared remote sensing of urban heat: Hotspots, vegetation, and an assessment of techniques for use in urban planning. Remote Sens. Environ. 2016, 186, 637–651. [Google Scholar] [CrossRef]
- Wang, T.; Wang, Y.; Zhao, F.; Feng, H.; Liu, J.; Zhang, L.; Zhang, N.; Yuan, G.; Wang, D. A spatio-temporal temperature-based thresholding algorithm for underground coal fire detection with satellite thermal infrared and radar remote sensing. Int. J. Appl. Earth Obs. Geoinform. 2022, 110, 102805. [Google Scholar] [CrossRef]
- Baker, E.A.; Lautz, L.K.; McKenzie, J.M.; Aubry-Wake, C. Improving the accuracy of time-lapse thermal infrared imaging for hydrologic applications. J. Hydrol. 2019, 571, 60–70. [Google Scholar] [CrossRef]
- Khanal, S.; Fulton, J.; Shearer, S. An overview of current and potential applications of thermal remote sensing in precision agriculture. Comput. Electron. Agric. 2017, 139, 22–32. [Google Scholar] [CrossRef]
- Messina, G.; Modica, G. Applications of UAV Thermal Imagery in Precision Agriculture: State of the Art and Future Research Outlook. Remote. Sens. 2020, 12, 1491. [Google Scholar] [CrossRef]
- Santesteban, L.G.; Di Gennaro, S.F.; Herrero-Langreo, A.; Miranda, C.; Royo, J.B.; Matese, A. High-resolution UAV-based thermal imaging to estimate the instantaneous and seasonal variability of plant water status within a vineyard. Agric. Water Manag. 2017, 183, 49–59. [Google Scholar] [CrossRef]
- Stutsel, B.; Johansen, K.; Malbéteau, Y.M.; McCabe, M.F. Detecting Plant Stress Using Thermal and Optical Imagery From an Unoccupied Aerial Vehicle. Front. Plant Sci. 2021, 12, 734944. [Google Scholar] [CrossRef]
- Goto, K.; Yabuta, S.; Ssenyonga, P.; Tamaru, S.; Sakagami, J.-I. Response of leaf water potential, stomatal conductance and chlorophyll content under different levels of soil water, air vapor pressure deficit and solar radiation in chili pepper (Capsicum chinense). Sci. Hortic. 2021, 281, 109943. [Google Scholar] [CrossRef]
- Yan, H.; Shah, S.S.; Zhao, W.; Liu, F. Variations in water relations, stomatal characteristics, and plant growth between quinoa and pea under salt-stress conditions. Pak. J. Bot. 2019, 52, 1–7. [Google Scholar] [CrossRef]
- Zhou, Z.; Majeed, Y.; Naranjo, G.D.; Gambacorta, E.M. Assessment for crop water stress with infrared thermal imagery in precision agriculture: A review and future prospects for deep learning applications. Comput. Electron. Agric. 2021, 182, 106019. [Google Scholar] [CrossRef]
- Aragon, B.; Johansen, K.; Parkes, S.; Malbeteau, Y.; Al-Mashharawi, S.; Al-Amoudi, T.; Andrade, C.F.; Turner, D.; Lucieer, A.; McCabe, M.F. A Calibration Procedure for Field and UAV-Based Uncooled Thermal Infrared Instruments. Sensors 2020, 20, 3316. [Google Scholar] [CrossRef] [PubMed]
- Deane, S.; Avdelidis, N.P.; Ibarra-Castanedo, C.; Zhang, H.; Nezhad, H.Y.; Williamson, A.A.; Mackley, T.; Maldague, X.; Tsourdos, A.; Nooralishahi, P. Comparison of Cooled and Uncooled IR Sensors by Means of Signal-to-Noise Ratio for NDT Diagnostics of Aerospace Grade Composites. Sensors 2020, 20, 3381. [Google Scholar] [CrossRef] [PubMed]
- Malbéteau, Y.; Johansen, K.; Aragon, B.; Al-Mashhawari, S.K.; McCabe, M.F. Overcoming the Challenges of Thermal Infrared Orthomosaics Using a Swath-Based Approach to Correct for Dynamic Temperature and Wind Effects. Remote. Sens. 2021, 13, 3255. [Google Scholar] [CrossRef]
- Chen, S.; Laefer, D.F.; Mangina, E. State of Technology Review of Civilian UAVs. Recent Patents Eng. 2016, 10, 160–174. [Google Scholar] [CrossRef]
- Gonzalez-Dugo, V.; Zarco-Tejada, P.; Nicolás, E.; Nortes, P.A.; Alarcón, J.J.; Intrigliolo, D.S.; Fereres, E. Using high resolution UAV thermal imagery to assess the variability in the water status of five fruit tree species within a commercial orchard. Precis. Agric. 2013, 14, 660–678. [Google Scholar] [CrossRef]
- Elsayed, S.; Elhoweity, M.; Ibrahim, H.H.; Dewir, Y.H.; Migdadi, H.M.; Schmidhalter, U. Thermal imaging and passive reflectance sensing to estimate the water status and grain yield of wheat under different irrigation regimes. Agric. Water Manag. 2017, 189, 98–110. [Google Scholar] [CrossRef]
- Nieto, H.; Kustas, W.P.; Torres-Rua, A.; Alfieri, J.G.; Gao, F.; Anderson, M.C.; White, W.A.; Song, L.; del Mar Alsina, M.; Prueger, J.H.; et al. Evaluation of TSEB turbulent fluxes using different methods for the retrieval of soil and canopy component temperatures from UAV thermal and multispectral imagery. Irrig. Sci. 2019, 37, 389–406. [Google Scholar] [CrossRef]
- Perich, G.; Hund, A.; Anderegg, J.; Roth, L.; Boer, M.P.; Walter, A.; Liebisch, F.; Aasen, H. Assessment of Multi-Image Unmanned Aerial Vehicle Based High-Throughput Field Phenotyping of Canopy Temperature. Front. Plant Sci. 2020, 11, 150. [Google Scholar] [CrossRef]
- Granum, E.; Pérez-Bueno, M.L.; Calderón, C.E.; Ramos, C.; de Vicente, A.; Cazorla, F.M.; Barón, M. Metabolic responses of avocado plants to stress induced by Rosellinia necatrix analysed by fluorescence and thermal imaging. Eur. J. Plant Pathol. 2015, 142, 625–632. [Google Scholar] [CrossRef]
- Acorsi, M.G.; Gimenez, L.M.; Martello, M. Assessing the Performance of a Low-Cost Thermal Camera in Proximal and Aerial Conditions. Remote Sens. 2020, 12, 3591. [Google Scholar] [CrossRef]
- Döpper, V.; Gränzig, T.; Kleinschmit, B.; Förster, M. Challenges in UAS-Based TIR Imagery Processing: Image Alignment and Uncertainty Quantification. Remote Sens. 2020, 12, 1552. [Google Scholar] [CrossRef]
- Virtue, J.; Turner, D.; Williams, G.; Zeliadt, S.; McCabe, M.; Lucieer, A. Thermal Sensor Calibration for Unmanned Aerial Systems Using an External Heated Shutter. Drones 2021, 5, 119. [Google Scholar] [CrossRef]
- Wan, Q.; Brede, B.; Smigaj, M.; Kooistra, L. Factors Influencing Temperature Measurements from Miniaturized Thermal Infrared (TIR) Cameras: A Laboratory-Based Approach. Sensors 2021, 21, 8466. [Google Scholar] [CrossRef] [PubMed]
- Ribeiro-Gomes, K.; Hernández-López, D.; Ortega, J.F.; Ballesteros, R.; Poblete, T.; Moreno, M.A. Uncooled Thermal Camera Calibration and Optimization of the Photogrammetry Process for UAV Applications in Agriculture. Sensors 2017, 17, 2173. [Google Scholar] [CrossRef]
- Mesas-Carrascosa, F.-J.; Pérez-Porras, F.; de Larriva, J.E.M.; Frau, C.M.; Agüera-Vega, F.; Carvajal-Ramírez, F.; Martínez-Carricondo, P.; García-Ferrer, A. Drift Correction of Lightweight Microbolometer Thermal Sensors On-Board Unmanned Aerial Vehicles. Remote Sens. 2018, 10, 615. [Google Scholar] [CrossRef]
- Nugent, P.W.; Shaw, J.A.; Pust, N.J. Correcting for focal-plane-array temperature dependence in microbolometer infrared cameras lacking thermal stabilization. Opt. Eng. 2013, 52, 061304. [Google Scholar] [CrossRef]
- Kelly, J.; Kljun, N.; Olsson, P.-O.; Mihai, L.; Liljeblad, B.; Weslien, P.; Klemedtsson, L.; Eklundh, L. Challenges and Best Practices for Deriving Temperature Data from an Uncalibrated UAV Thermal Infrared Camera. Remote Sens. 2019, 11, 567. [Google Scholar] [CrossRef]
- Olbrycht, R.; Więcek, B. New approach to thermal drift correction in microbolometer thermal cameras. Quant. Infrared Thermogr. J. 2015, 12, 184–195. [Google Scholar] [CrossRef]
- Budzier, H.; Gerlach, G. Calibration of uncooled thermal infrared cameras. J. Sensors Sens. Syst. 2015, 4, 187–197. [Google Scholar] [CrossRef]
- Pestana, S.; Chickadel, C.C.; Harpold, A.; Kostadinov, T.S.; Pai, H.; Tyler, S.; Webster, C.; Lundquist, J.D. Bias Correction of Airborne Thermal Infrared Observations Over Forests Using Melting Snow. Water Resour. Res. 2019, 55, 11331–11343. [Google Scholar] [CrossRef]
- Torres-Rua, A. Vicarious Calibration of sUAS Microbolometer Temperature Imagery for Estimation of Radiometric Land Surface Temperature. Sensors 2017, 17, 1499. [Google Scholar] [CrossRef]
- Aubrecht, D.M.; Helliker, B.R.; Goulden, M.L.; Roberts, D.A.; Still, C.J.; Richardson, A.D. Continuous, long-term, high-frequency thermal imaging of vegetation: Uncertainties and recommended best practices. Agric. For. Meteorol. 2016, 228–229, 315–326. [Google Scholar] [CrossRef]
- Hammerle, A.; Meier, F.; Heinl, M.; Egger, A.; Leitinger, G. Implications of atmospheric conditions for analysis of surface temperature variability derived from landscape-scale thermography. Int. J. Biometeorol. 2016, 61, 575–588. [Google Scholar] [CrossRef] [PubMed]
- Pepe, M.; Fregonese, L.; Scaioni, M. Planning airborne photogrammetry and remote-sensing missions with modern platforms and sensors. Eur. J. Remote Sens. 2018, 51, 412–436. [Google Scholar] [CrossRef]
- Xiang, Y.; Ye, Y.; Peng, C.; Teng, M.; Zhou, Z. Seasonal variations for combined effects of landscape metrics on land surface temperature (LST) and aerosol optical depth (AOD). Ecol. Indic. 2022, 138, 108810. [Google Scholar] [CrossRef]
- Malbéteau, Y.; Parkes, S.; Aragon, B.; Rosas, J.; McCabe, M.F. Capturing the Diurnal Cycle of Land Surface Temperature Using an Unmanned Aerial Vehicle. Remote Sens. 2018, 10, 1407. [Google Scholar] [CrossRef]
- El Kenawy, A.M.; McCabe, M.F. A multi-decadal assessment of the performance of gauge- and model-based rainfall products over Saudi Arabia: Climatology, anomalies and trends. Int. J. Climatol. 2015, 36, 656–674. [Google Scholar] [CrossRef]
- Rosas, J.; Houborg, R.; McCabe, M.F. Sensitivity of Landsat 8 Surface Temperature Estimates to Atmospheric Profile Data: A Study Using MODTRAN in Dryland Irrigated Systems. Remote Sens. 2017, 9, 988. [Google Scholar] [CrossRef]
- Allred, B.; Martinez, L.; Fessehazion, M.K.; Rouse, G.; Koganti, T.; Freeland, R.; Eash, N.; Wishart, D.; Featheringill, R. Time of day impact on mapping agricultural subsurface drainage systems with UAV thermal infrared imagery. Agric. Water Manag. 2021, 256, 107071. [Google Scholar] [CrossRef]
- Song, D.; Zhang, X.; Zhou, X.; Shi, X.; Jin, X. Influences of wind direction on the cooling effects of mountain vegetation in urban area. Build. Environ. 2021, 209, 108663. [Google Scholar] [CrossRef]
- Song, B.; Park, K. Verification of Accuracy of Unmanned Aerial Vehicle (UAV) Land Surface Temperature Images Using In-Situ Data. Remote Sens. 2020, 12, 288. [Google Scholar] [CrossRef]
- Wu, Y.; Shan, Y.; Lai, Y.; Zhou, S. Method of calculating land surface temperatures based on the low-altitude UAV thermal infrared remote sensing data and the near-ground meteorological data. Sustain. Cities Soc. 2022, 78, 103615. [Google Scholar] [CrossRef]
- Kustas, W.P.; Norman, J.M. Use of remote sensing for evapotranspiration monitoring over land surfaces. Hydrol. Sci. J. 1996, 41, 495–516. [Google Scholar] [CrossRef]
- Elfarkh, J.; Simonneaux, V.; Jarlan, L.; Ezzahar, J.; Boulet, G.; Chakir, A.; Er-Raki, S. Evapotranspiration estimates in a traditional irrigated area in semi-arid Mediterranean. Comparison of four remote sensing-based models. Agric. Water Manag. 2022, 270, 107728. [Google Scholar] [CrossRef]
- Zhao, W.; Dong, X.; Wu, Z.; Wei, C.; Li, L.; Yu, D.; Fan, X.; Ma, Y. Using infrared thermal imaging technology to estimate the transpiration rate of citrus trees and evaluate plant water status. J. Hydrol. 2022, 615, 128671. [Google Scholar] [CrossRef]









| Date | Site | Flight Height (m) | Starting Time | Flight Duration (min) | Air Temperature (°C) | Absolute Humidity (g/m3) | Wind Speed (m/s) | Net Radiation (W/m2) | |
|---|---|---|---|---|---|---|---|---|---|
| 24 November 2020 | Olive farm | 100 | 09:49 | 18 | 18.0 | 5.37 | 0.9 | 91.2 | |
| 100 | 13:45 | 17 | 22.5 | 7.03 | 1.2 | 277.2 | |||
| 100 | 17:14 | 16 | 20.5 | 9.08 | 0.4 | 59.0 | |||
| 24 March 2022 | KAUST | Sand | 20 | 12:10 | 19 | 22.5 | 11.69 | 8.2 | 692.8 |
| 50 | 11:45 | 18 | 22.4 | 11.78 | 8.3 | 683.9 | |||
| 100 | 11:14 | 19 | 22.2 | 11.94 | 8.3 | 658.2 | |||
| Water | 20 | 14:07 | 18 | 22.7 | 11.88 | 9.1 | 604.7 | ||
| 50 | 13:44 | 18 | 22.7 | 12.05 | 9.2 | 637.6 | |||
| 100 | 13:12 | 18 | 22.7 | 11.94 | 8.4 | 672.9 | |||
| Grass | 20 | 15:34 | 19 | 22.6 | 11.86 | 8.5 | 380.1 | ||
| 50 | 15:12 | 17 | 22.8 | 11.89 | 8.2 | 448.5 | |||
| 100 | 14:48 | 16 | 22.7 | 12.15 | 8.6 | 516.1 | |||
| b | Before Calibration | After Calibration | ||||
|---|---|---|---|---|---|---|
| Apogee Name | RMSE (°C) | R2 | Bias (°C) | RMSE (°C) | R2 | Bias (°C) |
| Apogee-1 | 3.13 | 0.994 | 2.87 | 0.22 | 0.999 | 7.39 × 10−15 |
| Apogee-2 | 3.20 | 0.994 | 2.93 | 0.18 | 0.999 | −2.40 × 10−14 |
| Apogee-3 | 2.40 | 0.999 | 2.39 | 0.19 | 0.999 | −3.25 × 10−15 |
| Apogee-4 | 3.03 | 0.995 | 2.90 | 0.16 | 0.999 | 8.75 × 10−15 |
| Apogee-5 | 3.06 | 0.998 | 3.00 | 0.21 | 0.999 | 6.80 × 10−16 |
| Apogee-6 | 2.98 | 0.996 | 2.86 | 0.17 | 0.999 | −7.35 × 10−15 |
| Apogee Name | |||
|---|---|---|---|
| Apogee-1 | 0.8977 | 0.0886 | −1.5405 |
| Apogee-2 | 0.8935 | 0.0928 | −1.5535 |
| Apogee-3 | 1.0005 | 0.0031 | −2.4901 |
| Apogee-4 | 0.9238 | 0.0714 | −1.8514 |
| Apogee-5 | 0.9587 | 0.0389 | −2.3875 |
| Apogee-6 | 0.9263 | 0.0677 | −1.8137 |
| Flights | RMSE (°C) | Bias (°C) | |
|---|---|---|---|
| Sand | 20 m | 4.58 | 4.55 |
| 50 m | 4.43 | 4.44 | |
| 100 m | 3.54 | 3.56 | |
| Water | 20 m | 3.13 | 3.04 |
| 50 m | 4.30 | 4.29 | |
| 100 m | 4.32 | 4.31 | |
| Grass | 100 m | 2.89 | 2.88 |
| Olive 10 a.m. | Soil | 1.34 | −0.42 |
| Tree | 1.45 | −0.59 | |
| Olive 2 p.m. | Soil | 1.44 | −1.33 |
| Tree | 1.11 | −0.80 | |
| Olive 5:30 p.m. | Soil | 2.51 | −2.38 |
| Tree | 2.98 | −2.91 | |
Disclaimer/Publisher’s Note: The statements, opinions and data contained in all publications are solely those of the individual author(s) and contributor(s) and not of MDPI and/or the editor(s). MDPI and/or the editor(s) disclaim responsibility for any injury to people or property resulting from any ideas, methods, instructions or products referred to in the content. |
© 2023 by the authors. Licensee MDPI, Basel, Switzerland. This article is an open access article distributed under the terms and conditions of the Creative Commons Attribution (CC BY) license (https://creativecommons.org/licenses/by/4.0/).
Share and Cite
Elfarkh, J.; Johansen, K.; Angulo, V.; Camargo, O.L.; McCabe, M.F. Quantifying Within-Flight Variation in Land Surface Temperature from a UAV-Based Thermal Infrared Camera. Drones 2023, 7, 617. https://doi.org/10.3390/drones7100617
Elfarkh J, Johansen K, Angulo V, Camargo OL, McCabe MF. Quantifying Within-Flight Variation in Land Surface Temperature from a UAV-Based Thermal Infrared Camera. Drones. 2023; 7(10):617. https://doi.org/10.3390/drones7100617
Chicago/Turabian StyleElfarkh, Jamal, Kasper Johansen, Victor Angulo, Omar Lopez Camargo, and Matthew F. McCabe. 2023. "Quantifying Within-Flight Variation in Land Surface Temperature from a UAV-Based Thermal Infrared Camera" Drones 7, no. 10: 617. https://doi.org/10.3390/drones7100617
APA StyleElfarkh, J., Johansen, K., Angulo, V., Camargo, O. L., & McCabe, M. F. (2023). Quantifying Within-Flight Variation in Land Surface Temperature from a UAV-Based Thermal Infrared Camera. Drones, 7(10), 617. https://doi.org/10.3390/drones7100617

